Shade-Grown Coffee in Colombia Benefits Soil Hydraulic Conductivity
Abstract
:1. Introduction
2. Materials and Methods
2.1. Study Area
2.2. Vegetation Sampling
2.3. Soil Sampling
2.4. Data Analysis
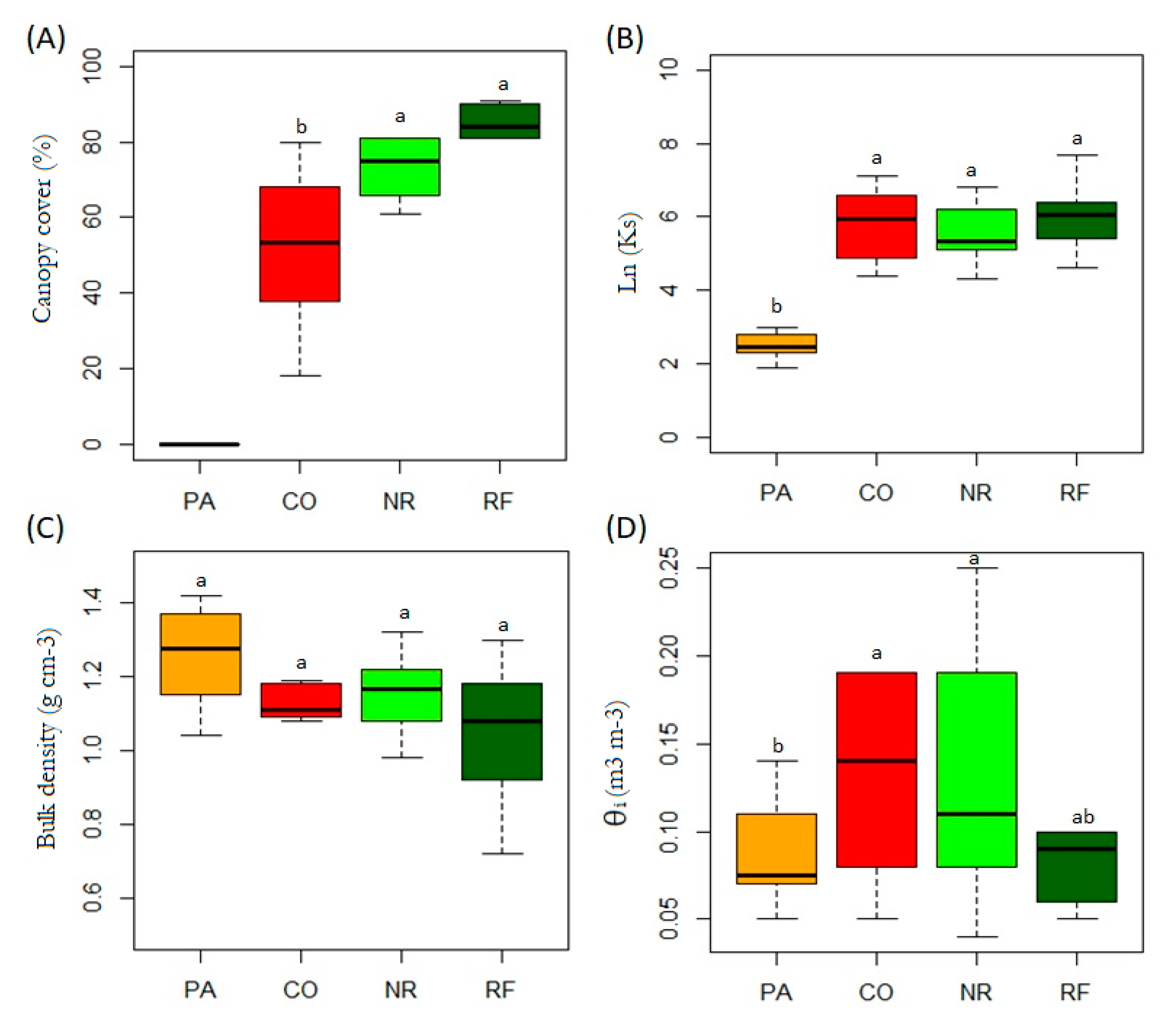
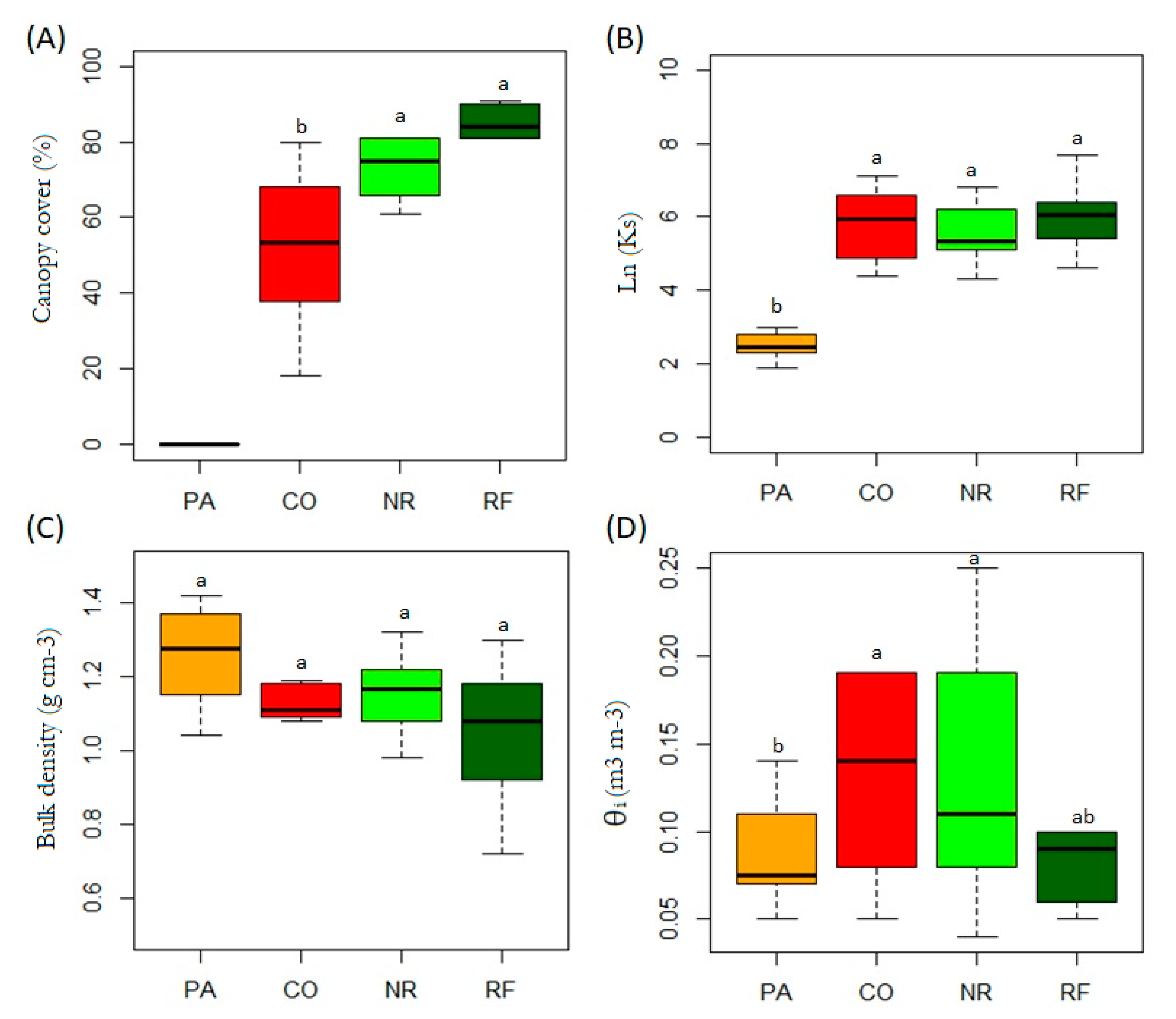
3. Results
4. Discussion
5. Conclusions
Author Contributions
Funding
Acknowledgments
Conflicts of Interest
References
- Milder, J.C.; Arbuthnot, M.; Blackman, A.; Brooks, S.E.; Giovannucci, D.; Gross, L.; Kennedy, E.T.; Komives, K.; Lambin, E.F.; Lee, A.; et al. An Agenda for Assessing and Improving Conservation Impacts of Sustainability Standards in Tropical Agriculture: Conservation and Sustainability Standards. Conserv. Biol. 2015, 29, 309–320. [Google Scholar] [CrossRef] [PubMed]
- Foley, J.A. Global Consequences of Land Use. Science 2005, 309, 570–574. [Google Scholar] [CrossRef] [PubMed] [Green Version]
- Cannell, M.G.R.; Van Noordwijk, M.; Ong, C.K. The Central Agroforestry Hypothesis: The Trees Must Acquire Resources That the Crop Would Not Otherwise Acquire. Agrofor. Syst. 1996, 34, 27–31. [Google Scholar] [CrossRef]
- Meylan, L.; Gary, C.; Allinne, C.; Ortiz, J.; Jackson, L.; Rapidel, B. Evaluating the Effect of Shade Trees on Provision of Ecosystem Services in Intensively Managed Coffee Plantations. Agric. Ecosyst. Environ. 2017, 245, 32–42. [Google Scholar] [CrossRef]
- Jha, S.; Bacon, C.M.; Philpott, S.M.; Ernesto Méndez, V.; Läderach, P.; Rice, R.A. Shade Coffee: Update on a Disappearing Refuge for Biodiversity. BioScience 2014, 64, 416–428. [Google Scholar] [CrossRef] [Green Version]
- Ibanez, M.; Blackman, A. Is Eco-Certification a Win–Win for Developing Country Agriculture? Organic Coffee Certification in Colombia. World Dev. 2016, 82, 14–27. [Google Scholar] [CrossRef]
- Chazdon, R.L. Beyond Deforestation: Restoring Forests and Ecosystem Services on Degraded Lands. Science 2008, 320, 1458–1460. [Google Scholar] [CrossRef] [Green Version]
- Brancalion, P.H.S.; Niamir, A.; Broadbent, E.; Crouzeilles, R.; Barros, F.S.M.; Almeyda Zambrano, A.M.; Baccini, A.; Aronson, J.; Goetz, S.; Reid, J.L.; et al. Global Restoration Opportunities in Tropical Rainforest Landscapes. Sci. Adv. 2019, 5, 1–11. [Google Scholar] [CrossRef] [Green Version]
- De Beenhouwer, M.; Aerts, R.; Honnay, O. A Global Meta-Analysis of the Biodiversity and Ecosystem Service Benefits of Coffee and Cacao Agroforestry. Agric. Ecosyst. Environ. 2013, 175, 1–7. [Google Scholar] [CrossRef]
- Zimmermann, B.; Elsenbeer, H.; De Moraes, J.M. The Influence of Land-Use Changes on Soil Hydraulic Properties: Implications for Runoff Generation. For. Ecol. Manag. 2006, 222, 29–38. [Google Scholar] [CrossRef]
- Marín-Castro, B.E.; Geissert, D.; Negrete-Yankelevich, S.; Gómez-Tagle Chávez, A. Spatial Distribution of Hydraulic Conductivity in Soils of Secondary Tropical Montane Cloud Forests and Shade Coffee Agroecosystems. Geoderma 2016, 283, 57–67. [Google Scholar] [CrossRef]
- Gageler, R.; Bonner, M.; Kirchhof, G.; Amos, M.; Robinson, N.; Schmidt, S.; Shoo, L.P. Early Response of Soil Properties and Function to Riparian Rainforest Restoration. PLoS ONE 2014, 9, 1–8. [Google Scholar] [CrossRef]
- Mendes, M.S.; Latawiec, A.E.; Sansevero, J.B.B.; Crouzeilles, R.; de Moraes, L.F.D.; Castro, A.; Pinto, H.N.A.; Brancalion, P.H.S.; Rodrigues, R.R.; Chazdon, R.L.; et al. Look down—There Is a Gap—the Need to Include Soil Data in Atlantic Forest Restoration. Restor. Ecol. 2019, 27, 361–370. [Google Scholar] [CrossRef]
- Lozano-Baez, S.; Cooper, M.; Ferraz, S.; Ribeiro Rodrigues, R.; Pirastru, M.; Di Prima, S. Previous Land Use Affects the Recovery of Soil Hydraulic Properties after Forest Restoration. Water 2018, 10, 453. [Google Scholar] [CrossRef] [Green Version]
- Pereira, N.A.; Di Prima, S.; Bovi, R.C.; da Silva, L.F.S.; de Godoy, G.; Naves, R.P.; Cooper, M. Does the Process of Passive Forest Restoration Affect the Hydrophysical Attributes of the Soil Superficial Horizon? Water 2020, 12, 1689. [Google Scholar] [CrossRef]
- Jačka, L.; Pavlásek, J.; Pech, P.; Kuráž, V. Assessment of Evaluation Methods Using Infiltration Data Measured in Heterogeneous Mountain Soils. Geoderma 2016, 276, 74–83. [Google Scholar] [CrossRef]
- Cullotta, S.; Bagarello, V.; Baiamonte, G.; Gugliuzza, G.; Iovino, M.; La Mela Veca, D.S.; Maetzke, F.; Palmeri, V.; Sferlazza, S. Comparing Different Methods to Determine Soil Physical Quality in a Mediterranean Forest and Pasture Land. Soil Sci. Soc. Am. J. 2016, 80, 1038–1056. [Google Scholar] [CrossRef]
- Di Prima, S.; Bagarello, V.; Angulo-Jaramillo, R.; Bautista, I.; Cerdà, A.; del Campo, A.; González-Sanchis, M.; Iovino, M.; Lassabatere, L.; Maetzke, F. Impacts of Thinning of a Mediterranean Oak Forest on Soil Properties Influencing Water Infiltration. J. Hydrol. Hydromech. 2017, 65, 276–286. [Google Scholar] [CrossRef] [Green Version]
- Zema, D.A.; Plaza-Alvarez, P.A.; Xu, X.; Carra, B.G.; Lucas-Borja, M.E. Influence of Forest Stand Age on Soil Water Repellency and Hydraulic Conductivity in the Mediterranean Environment. Sci. Total Environ. 2021, 753, 142006. [Google Scholar] [CrossRef] [PubMed]
- Rangel-Ch, J.O. Integrated climate of the Perijá massif, Colombia. In Colombia Diversidad Biótica XVIII: Biodiversidad y Territorio de la Serranía de Perijá (César-Colombia); Universidad Nacional de Colombia: Bogotá, Colombia, 2019; pp. 92–128. [Google Scholar]
- Cotes, G.D.A.; Muegue, L.D. Análisis de Las Características Fisicoquímicas de Dos Tipos de Suelos Ubicados En La Vía Becerril, La Jagua de Ibirico En El Departamento Del César. Rev. Agunkuyâa 2018, 2, 5–19. [Google Scholar] [CrossRef]
- Madera, L.C.; Angulo, L.C.; Díaz, L.C.; Rojano, R. Water Quality Evaluation on Some Tributary Points of César River (Colombia) Using Aquatic Macro Invertebrates as Pollution Bioindicators. Inf. Tecnol. 2016, 27, 103–110. [Google Scholar] [CrossRef]
- Camargo, M.F.A. La Transformación del Bosque Seco Desde la Mirada Geográfico-Ambiental, en la Cuenca Hidrográfica del Río César; Universidad de Ciencias Aplicadas y Ambientales: Bogotá, Colombia, 2017. [Google Scholar]
- USDA-Natural Resources Conservation Service. Soil Survey Staff. In Keys to Soil Taxonomy, 12th ed.; USDA-Natural Resources Conservation Service: Washington, DC, USA, 2014. [Google Scholar]
- Viani, R.A.G.; Barreto, T.E.; Farah, F.T.; Rodrigues, R.R.; Brancalion, P.H.S. Monitoring Young Tropical Forest Restoration Sites: How Much to Measure? Trop. Conserv. Sci. 2018, 11, 1–9. [Google Scholar] [CrossRef] [Green Version]
- Lozano-Baez, S.E.; Cooper, M.; Frosini de Barros Ferraz, S.; Ribeiro Rodrigues, R.; Castellini, M.; Di Prima, S. Recovery of Soil Hydraulic Properties for Assisted Passive and Active Restoration: Assessing Historical Land Use and Forest Structure. Water 2019, 11, 86. [Google Scholar] [CrossRef] [Green Version]
- CanopyCapture a Smarter Way to Measure Canopy Cover. Available online: https://nikp29.github.io/CanopyCapture/ (accessed on 9 July 2021).
- Lassabatère, L.; Angulo-Jaramillo, R.; Soria Ugalde, J.M.; Cuenca, R.; Braud, I.; Haverkamp, R. Beerkan Estimation of Soil Transfer Parameters through Infiltration Experiments—BEST. Soil Sci. Soc. Am. J. 2006, 70, 521. [Google Scholar] [CrossRef]
- Di Prima, S.; Stewart, R.D.; Abou Najm, M.R.; Ribeiro Roder, L.; Giadrossich, F.; Campus, S.; Angulo Jaramillo, R.; Yilmaz, D.; Roggero, P.P.; Pirastru, M. BEST-WR: An Adapted BEST Algorithm for the Hydraulic Characterization of Regular and Water-Repellent Soils. Submitted. J. Hydrol. 2021, in press. [Google Scholar]
- Abou Najm, M.R.; Stewart, R.D.; Di Prima, S.; Lassabatere, L. A Simple Correction Term to Model Infiltration in Water-Repellent Soils. Water Res. 2021, 57. [Google Scholar] [CrossRef]
- Buczko, U.; Bens, O.; Hüttl, R.F. Water Infiltration and Hydrophobicity in Forest Soils of a Pine–Beech Transformation Chronosequence. J. Hydrol. 2006, 331, 383–395. [Google Scholar] [CrossRef]
- Dekker, L.W.; Ritsema, C.J. How Water Moves in a Water Repellent Sandy Soil: 1. Potential and Actual Water Repellency. Water Resour. Res. 1994, 30, 2507–2517. [Google Scholar] [CrossRef]
- Reynolds, W.D.; Drury, C.F.; Yang, X.M.; Tan, C.S. Optimal Soil Physical Quality Inferred through Structural Regression and Parameter Interactions. Geoderma 2008, 146, 466–474. [Google Scholar] [CrossRef]
- Kirkwood, T.B.L. Geometric Means and Measures of Dispersion. Biometrics 1979, 35, 908–909. [Google Scholar]
- Strassburg, B.B.N.; Iribarrem, A.; Beyer, H.L.; Cordeiro, C.L.; Crouzeilles, R.; Jakovac, C.C.; Braga Junqueira, A.; Lacerda, E.; Latawiec, A.E.; Balmford, A.; et al. Global Priority Areas for Ecosystem Restoration. Nature 2020, 586, 724–729. [Google Scholar] [CrossRef] [PubMed]
- Marín-Castro, B.E.; Negrete-Yankelevich, S.; Geissert, D. Litter Thickness, but Not Root Biomass, Explains the Average and Spatial Structure of Soil Hydraulic Conductivity in Secondary Forests and Coffee Agroecosystems in Veracruz, Mexico. Sci. Total Environ. 2017, 607–608, 1357–1366. [Google Scholar] [CrossRef] [PubMed]
- Benegas, L.; Ilstedt, U.; Roupsard, O.; Jones, J.; Malmer, A. Effects of Trees on Infiltrability and Preferential Flow in Two Contrasting Agroecosystems in Central America. Agric. Ecosyst. Environ. 2014, 183, 185–196. [Google Scholar] [CrossRef]
- Soethe, N.; Lehmann, J.; Engels, C. Root Morphology and Anchorage of Six Native Tree Species from a Tropical Montane Forest and an Elfin Forest in Ecuador. Plant Soil 2006, 279, 173–185. [Google Scholar] [CrossRef]
- Beer, J.; Muschler, R.; Kass, D.; Somarriba, E. Shade Management in Coffee and Cacao Plantations. Agrofor. Syst. 1997, 38, 139–164. [Google Scholar] [CrossRef]
- Cannavo, P.; Sansoulet, J.; Harmand, J.-M.; Siles, P.; Dreyer, E.; Vaast, P. Agroforestry Associating Coffee and Inga Densiflora Results in Complementarity for Water Uptake and Decreases Deep Drainage in Costa Rica. Agric. Ecosyst. Environ. 2011, 140, 1–13. [Google Scholar] [CrossRef]
- Ilstedt, U.; Bargués Tobella, A.; Bazié, H.R.; Bayala, J.; Verbeeten, E.; Nyberg, G.; Sanou, J.; Benegas, L.; Murdiyarso, D.; Laudon, H.; et al. Intermediate Tree Cover Can Maximize Groundwater Recharge in the Seasonally Dry Tropics. Sci. Rep. 2016, 6, 1–12. [Google Scholar] [CrossRef]
- Ilstedt, U.; Malmer, A.; Verbeeten, E.; Murdiyarso, D. The Effect of Afforestation on Water Infiltration in the Tropics: A Systematic Review and Meta-Analysis. For. Ecol. Manag. 2007, 251, 45–51. [Google Scholar] [CrossRef]
- Lin, B.B.; Richards, P.L. Soil Random Roughness and Depression Storage on Coffee Farms of Varying Shade Levels. Agric. Water Manag. 2007, 92, 194–204. [Google Scholar] [CrossRef]
- Siles, G.; Rey, P.J.; Alcántara, J.M.; Bastida, J.M.; Herreros, J.L. Effects of Soil Enrichment, Watering and Seedling Age on Establishment of Mediterranean Woody Species. Acta Oecol. 2010, 36, 357–364. [Google Scholar] [CrossRef]
- Cerda, R.; Allinne, C.; Gary, C.; Tixier, P.; Harvey, C.A.; Krolczyk, L.; Mathiot, C.; Clément, E.; Aubertot, J.-N.; Avelino, J. Effects of Shade, Altitude and Management on Multiple Ecosystem Services in Coffee Agroecosystems. Eur. J. Agron. 2017, 82, 308–319. [Google Scholar] [CrossRef]
- Albrecht, A.; Kandji, S.T. Carbon Sequestration in Tropical Agroforestry Systems. Agric. Ecosyst. Environ. 2003, 99, 15–27. [Google Scholar] [CrossRef]
- Vaast, P.; Bertrand, B.; Perriot, J.-J.; Guyot, B.; Génard, M. Fruit Thinning and Shade Improve Bean Characteristics and Beverage Quality of Coffee (Coffea Arabica L.) under Optimal Conditions. J. Sci. Food Agric. 2006, 86, 197–204. [Google Scholar] [CrossRef]
- Martínez, L.J.; Zinck, J.A. Temporal Variation of Soil Compaction and Deterioration of Soil Quality in Pasture Areas of Colombian Amazonia. Soil Tillage Res. 2004, 75, 3–18. [Google Scholar] [CrossRef]
- Ziegler, A.D.; Giambelluca, T.W.; Tran, L.T.; Vana, T.T.; Nullet, M.A.; Fox, J.; Vien, T.D.; Pinthong, J.; Maxwell, J.F.; Evett, S. Hydrological Consequences of Landscape Fragmentation in Mountainous Northern Vietnam: Evidence of Accelerated Overland Flow Generation. J. Hydrol. 2004, 287, 124–146. [Google Scholar] [CrossRef]
- Zimmermann, B.; Elsenbeer, H. Spatial and Temporal Variability of Soil Saturated Hydraulic Conductivity in Gradients of Disturbance. J. Hydrol. 2008, 361, 78–95. [Google Scholar] [CrossRef] [Green Version]
- Hassler, S.K.; Zimmermann, B.; van Breugel, M.; Hall, J.S.; Elsenbeer, H. Recovery of Saturated Hydraulic Conductivity under Secondary Succession on Former Pasture in the Humid Tropics. For. Ecol. Manag. 2011, 261, 1634–1642. [Google Scholar] [CrossRef]
- Leite, P.A.M.; de Souza, E.S.; dos Santos, E.S.; Gomes, R.J.; Cantalice, J.R.; Wilcox, B.P. The Influence of Forest Regrowth on Soil Hydraulic Properties and Erosion in a Semiarid Region of Brazil. Ecohydrology 2018, 11, 1–12. [Google Scholar] [CrossRef]
- Zwartendijk, B.W.; van Meerveld, H.J.; Ghimire, C.P.; Bruijnzeel, L.A.; Ravelona, M.; Jones, J.P.G. Rebuilding Soil Hydrological Functioning after Swidden Agriculture in Eastern Madagascar. Agric. Ecosyst. Environ. 2017, 239, 101–111. [Google Scholar] [CrossRef] [Green Version]
- Zimmermann, B.; Papritz, A.; Elsenbeer, H. Asymmetric Response to Disturbance and Recovery: Changes of Soil Permeability under Forest–Pasture–Forest Transitions. Geoderma 2010, 159, 209–215. [Google Scholar] [CrossRef]
- Ghimire, C.P.; Bruijnzeel, L.A.; Bonell, M.; Coles, N.; Lubczynski, M.W.; Gilmour, D.A. The Effects of Sustained Forest Use on Hillslope Soil Hydraulic Conductivity in the Middle Mountains of Central Nepal: Sustained Forest Use and Soil Hydraulic Conductivity. Ecohydrology 2014, 7, 478–495. [Google Scholar] [CrossRef]
- Bonell, M.; Purandara, B.K.; Venkatesh, B.; Krishnaswamy, J.; Acharya, H.A.K.; Singh, U.V.; Jayakumar, R.; Chappell, N. The Impact of Forest Use and Reforestation on Soil Hydraulic Conductivity in the Western Ghats of India: Implications for Surface and Sub-Surface Hydrology. J. Hydrol. 2010, 391, 47–62. [Google Scholar] [CrossRef]
- Lozano-Baez, S.E.; Cooper, M.; Meli, P.; Ferraz, S.F.B.; Rodrigues, R.R.; Sauer, T.J. Land Restoration by Tree Planting in the Tropics and Subtropics Improves Soil Infiltration, but Some Critical Gaps Still Hinder Conclusive Results. For. Ecol. Manag. 2019, 444, 89–95. [Google Scholar] [CrossRef]
- Elsenbeer, H. Hydrologic Flowpaths in Tropical Rainforest Soilscapes? A Review. Hydrol. Process. 2001, 15, 1751–1759. [Google Scholar] [CrossRef]
- Doerr, S.H.; Shakesby, R.A.; Walsh, R.P.D. Soil Water Repellency: Its Causes, Characteristics and Hydro-Geomorphological Significance. Earth Sci. Rev. 2000, 51, 33–65. [Google Scholar] [CrossRef]
- Müller, K.; Deurer, M. Review of the Remediation Strategies for Soil Water Repellency. Agric. Ecosyst. Environ. 2011, 144, 208–221. [Google Scholar] [CrossRef]
- Kajiura, M.; Tokida, T.; Seki, K. Effects of Moisture Conditions on Potential Soil Water Repellency in a Tropical Forest Regenerated after Fire. Geoderma 2012, 181–182, 30–35. [Google Scholar] [CrossRef]
- Johnson, M.S.; Lehmann, J.; Steenhuis, T.S.; Vargem de Oliveira, L.; Fernandes, E.C.M. Spatial and Temporal Variability of Soil Water Repellency of Amazonian Pastures. Soil Res. 2005, 43, 319–326. [Google Scholar] [CrossRef]
- Lozano-Baez, S.E.; Cooper, M.; de Barros Ferraz, S.F.; Ribeiro Rodrigues, R.; Lassabatere, L.; Castellini, M.; Di Prima, S. Assessing Water Infiltration and Soil Water Repellency in Brazilian Atlantic Forest Soils. Appl. Sci. 2020, 10, 1950. [Google Scholar] [CrossRef] [Green Version]
- Jaramillo, J.D.F. Repelencia al Agua En Suelos: Una Síntesis. Rev. Acad. Colomb. Cienc. 2006, 30, 215–232. [Google Scholar]





| Variable | CO | NR | RF |
|---|---|---|---|
| Canopy cover (%) | 52 ± 22 b | 73 ± 8 a | 85 ± 4 a |
| Vegetation height of tree (m) | 10.6 ± 5.9 b | 6.8 ± 3.4 a | 6.5 ± 1.8 a |
| DBH (m) | 0.22 ± 0.14 a | 0.23 ± 0.16 b | 0.15 ± 0.08 c |
| Total number of trees | 5 | 32 | 19 |
| Variable | Land-Cover | Min | Max | Mean | CV |
|---|---|---|---|---|---|
| Ks | CO | 78 | 1198 | 322 a | 126 |
| NR | 71 | 937 | 244 a | 102 | |
| PA | 7 | 20 | 12 b | 34 | |
| RF | 102 | 2127 | 469 a | 121 | |
| BD | CO | 1.08 | 1.19 | 1.13 a | 5 |
| NR | 0.98 | 1.32 | 1.16 a | 12 | |
| PA | 1.04 | 1.42 | 1.26 a | 15 | |
| RF | 0.72 | 1.30 | 1.04 a | 21 | |
| θi | CO | 0.05 | 0.19 | 0.13 a | 6 |
| NR | 0.04 | 0.25 | 0.13 a | 8 | |
| PA | 0.05 | 0.14 | 0.08 b | 4 | |
| RF | 0.05 | 0.10 | 0.08 a, b | 2 | |
| θs | CO | 0.22 | 0.73 | 0.47 b | 16 |
| NR | 0.16 | 0.39 | 0.28 a | 7 | |
| PA | 0.36 | 0.72 | 0.53 b | 11 | |
| RF | 0.22 | 0.55 | 0.35 a | 9 |
Publisher’s Note: MDPI stays neutral with regard to jurisdictional claims in published maps and institutional affiliations. |
© 2021 by the authors. Licensee MDPI, Basel, Switzerland. This article is an open access article distributed under the terms and conditions of the Creative Commons Attribution (CC BY) license (https://creativecommons.org/licenses/by/4.0/).
Share and Cite
Lozano-Baez, S.E.; Domínguez-Haydar, Y.; Di Prima, S.; Cooper, M.; Castellini, M. Shade-Grown Coffee in Colombia Benefits Soil Hydraulic Conductivity. Sustainability 2021, 13, 7768. https://doi.org/10.3390/su13147768
Lozano-Baez SE, Domínguez-Haydar Y, Di Prima S, Cooper M, Castellini M. Shade-Grown Coffee in Colombia Benefits Soil Hydraulic Conductivity. Sustainability. 2021; 13(14):7768. https://doi.org/10.3390/su13147768
Chicago/Turabian StyleLozano-Baez, Sergio Esteban, Yamileth Domínguez-Haydar, Simone Di Prima, Miguel Cooper, and Mirko Castellini. 2021. "Shade-Grown Coffee in Colombia Benefits Soil Hydraulic Conductivity" Sustainability 13, no. 14: 7768. https://doi.org/10.3390/su13147768
APA StyleLozano-Baez, S. E., Domínguez-Haydar, Y., Di Prima, S., Cooper, M., & Castellini, M. (2021). Shade-Grown Coffee in Colombia Benefits Soil Hydraulic Conductivity. Sustainability, 13(14), 7768. https://doi.org/10.3390/su13147768

