The Impact of the Digital Economy on CO2 Emissions: A Theoretical and Empirical Analysis
Abstract
:1. Introduction
2. Literature Review
3. Theoretical Model
3.1. Hypothesis of Production Function
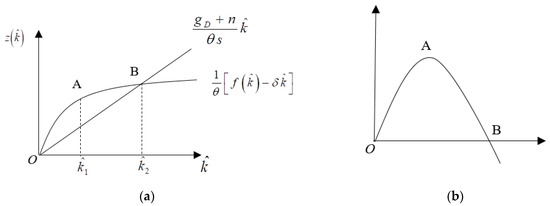
3.2. Dynamic Behavior and Equilibrium State of the Economy
4. Empirical Model, Variable Description, and Data
4.1. Variable Description and Data
4.2. Empirical Model Selection
5. Estimated Results and Discussion
5.1. Basic Regression Results
5.2. Robustness Test and Group Test
5.3. Endogeneity Test
6. Discussion and Conclusions
6.1. Discussion
6.2. Conclusions
Author Contributions
Funding
Institutional Review Board Statement
Informed Consent Statement
Data Availability Statement
Conflicts of Interest
References
- Ang, J.B. CO2 Emissions, Energy Consumption, and Output in France. Energy Policy 2007, 35, 4772–4778. [Google Scholar] [CrossRef]
 - Tapscott, D.; Lowy, A.; Ticoll, D. Blueprint to the Digital Economy: Wealth Creation in the Era of e-Business, 1st ed.; McGraw-Hill: New York, NY, USA, 1998; p. 384. [Google Scholar]
 - Ciocoiu, C.N. Integrating digital economy and green economy: Opportunities for sustainable development. Theor. Empirica. 2011, 6, 33–43. [Google Scholar]
 - Kuznets, S. Economic Growth and Income Inequality. Am. Econ. Rev. 1955, 45, 1–28. [Google Scholar]
 - Grossman, G.; Krueger, A. Economic environment and the economic growth. Q. J. Econ. 1995, 110, 353–377. [Google Scholar] [CrossRef] [Green Version]
 - Friedl, B.; Getzner, M. Determinants of CO2 emissions in a small open economy. Ecol. Econ. 2003, 45, 133–148. [Google Scholar] [CrossRef]
 - Managi, S.; Jena, P.R. Environmental productivity and Kuznets curve in India. Ecol. Econ. 2008, 65, 432–440. [Google Scholar] [CrossRef]
 - Dinda, S. Environmental Kuznets curve hypothesis: A survey. Ecol. Econ. 2004, 49, 431–455. [Google Scholar] [CrossRef] [Green Version]
 - Madlener, R.; Sunak, Y. Impacts of urbanization on urban structures and energy demand: What can we learn for urban energy planning and urbanization management? Sustain. Cities Soc. 2011, 1, 45–53. [Google Scholar] [CrossRef]
 - Wang, Y.; Li, L.; Kubota, J.; Han, R.; Zhu, X.; Lu, G. Does urbanization lead to more carbon emission? Evidence from a panel of BRICS countries. Appl. Energy 2016, 168, 375–380. [Google Scholar] [CrossRef]
 - Liddle, B. Demographic dynamics and per capita environmental impact: Using panel regressions and household decomposi-tions to examine population and transport. Popul. Environ. 2004, 26, 23–39. [Google Scholar] [CrossRef]
 - Chen, H.; Jia, B.; Lau, S.S.Y. Sustainable urban form for Chinese compact cities: Challenges of a rapid urbanized economy. Habitat. Int. 2008, 32, 28–40. [Google Scholar] [CrossRef]
 - Ewing, R.; Rong, F. The impact of urban form on US residential energy use. Hous. Policy Debate 2008, 19, 1–30. [Google Scholar] [CrossRef]
 - Liu, Y.; Yan, B.; Zhou, Y. Urbanization, economic growth, and carbon dioxide emissions in China: A panel cointegration and causality analysis. J. Geogr. Sci. 2016, 26, 131–152. [Google Scholar] [CrossRef] [Green Version]
 - Ji, X.; Chen, B. Assessing the energy-saving effect of urbanization in China based on stochastic impacts by regression on pop-ulation, affluence and technology (STIRPAT) model. J. Clean. Prod. 2017, 163, S306–S314. [Google Scholar] [CrossRef]
 - Peng, H.; Tan, X.; Li, Y.; Hu, L. Economic growth, foreign direct investment and CO2 emissions in China: A panel granger causality analysis. Sustainability 2016, 8, 233. [Google Scholar] [CrossRef] [Green Version]
 - Pao, H.; Tsai, C. Multivariate Granger causality between CO2 emissions, energy consumption, FDI (foreign direct investment) and GDP (gross domestic product): Evidence from a panel of BRIC (Brazil, Russian Federation, India, and China) countries. Energy 2011, 36, 685–693. [Google Scholar] [CrossRef]
 - Behera, S.R.; Dash, D.P. The effect of urbanization, energy consumption, and foreign direct investment on the carbon dioxide emission in the SSEA (South and Southeast Asian) region. Renew. Sust. Energ. Rev. 2017, 70, 96–106. [Google Scholar] [CrossRef]
 - Shaari, M.S.; Hussain, N.E.; Abdullah, H.; Kamil, S. Relationship among foreign direct investment, economic growth and CO2 emission: A panel data analysis. Int. J. Energy Econ. Policy 2014, 4, 706–715. [Google Scholar]
 - Keho, Y. Is foreign direct investment good or bad for the environment? Times series evidence from ECOWAS countries. Econ. Bull. 2015, 35, 1916–1927. [Google Scholar]
 - Tang, C.F.; Tan, B.W. The impact of energy consumption, income and foreign direct investment on carbon dioxide emissions in Vietnam. Energy 2015, 79, 447–454. [Google Scholar] [CrossRef]
 - Hu, J.; Wang, Z.; Lian, Y.; Huang, Q. Environmental regulation, foreign direct investment and green technological progress-Evidence from Chinese manufacturing industries. Int. J. Environ. Res. Public Health 2018, 15, 221. [Google Scholar]
 - Virkanen, J. Effect of urbanization on metal deposition in the bay of Töölönlahti, Southern Finland. Mar. Pollut. Bull. 1998, 36, 729–738. [Google Scholar] [CrossRef]
 - Duc, T.; Vachaud, G.; Bonnet, M.P.; Prieur, N.; Loi, V.D.; Anh, L.L. Experimental investigation and modelling approach of the impact of urban wastewater on a tropical river; a case study of the Nhue River, Hanoi, Viet Nam. J. Hydrol. 2007, 334, 347–358. [Google Scholar] [CrossRef]
 - Cheng, Z. The spatial correlation and interaction between manufacturing agglomeration and environmental pollution. Ecol. Indic. 2016, 61, 1024–1032. [Google Scholar] [CrossRef]
 - Zeng, D.; Zhao, L. Pollution havens and industrial agglomeration. J. Environ. Econ. Manag. 2009, 58, 141–153. [Google Scholar] [CrossRef] [Green Version]
 - Effiong, E.L. On the urbanization-pollution nexus in Africa: A semiparametric analysis. Qual. Quant. 2018, 52, 445–456. [Google Scholar] [CrossRef]
 - He, C.; Huang, Z.; Ye, X. Spatial heterogeneity of economic development and industrial pollution in urban China. Stoch. Environ. Res. Risk Assess. 2014, 28, 767–781. [Google Scholar] [CrossRef]
 - Zhang, K.; Dou, J. Agglomeration and pollution: Empirical analysis based on the 287 cities of China. J. Financ. Res. 2015, 12, 32–45. [Google Scholar]
 - Sudoh, O. The Knowledge Network in the Digital Economy and Sustainable Development. In Digital Economy and Social De-sign, 1st ed.; Springer: Tokyo, Japan, 2005; pp. 3–38. [Google Scholar]
 - Martynenko, T.S.; Vershinina, I.A. Digital economy: The possibility of sustainable development and overcoming social and environmental inequality in Russia. Revista Espacios 2018, 39, 12. [Google Scholar]
 - Qian, L.; Fang, Q.; Lu, Z. Research on the Synergy of Green Economy and Digital Economy in Stimulus Policies. Southwest Financ. 2020, 473, 3–13. [Google Scholar]
 - Sui, D.Z.; Rejeski, D.W. Environmental impacts of the emerging digital economy: The E-for-environment E-commerce? Environ. Manag. 2002, 29, 155–163. [Google Scholar] [CrossRef]
 - Shvakov, E.E.; Petrova, E.A. Newest Trends and Future Scenarios for a Sustainable Digital Economy Development. In Scientific and Technical Revolution: Yesterday, Today and Tomorrow, 1st ed.; Popkova, E., Sergi, B., Eds.; Springer: Cham, Switzerland, 2009; pp. 1378–1385. [Google Scholar]
 - Wu, Y.; Luo, C.; Luo, L. The impact of the development of the digital economy on Sulfur Dioxide emissions: Empirical evidence based on provincial panel data. J. Wuhan Polytech. 2021, 20, 82–88. [Google Scholar]
 - Taylor, W. The Green Solow Model. J. Econ. Growth 2010, 15, 127–153. [Google Scholar]
 - Bai, L.; Chen, X. Research on the synergy of green economy and digital economy in stimulus policies. J. Dongbei Univ. Financ. Econ. 2020, 131, 73–81. [Google Scholar]
 - Harrod, R.F. Toward a Dynamic Economics: Some Recent Developments of Economics Theory and Their Applications to Policy, 1st ed.; Macmillan: London, UK, 1942. [Google Scholar]
 - Inada, K. Some structure characteristics of Turnpike Theorems. Rev. Econ. Stud. 1964, 31, 43–58. [Google Scholar] [CrossRef]
 - Chow, G.C.; Li, J. Environmental Kuznets Curve: Conclusive econometric evidence for CO2. Pac. Econ. Rev. 2014, 19, 1–7. [Google Scholar] [CrossRef]
 - Adekunle, I. On the search for environmental sustainability in Africa: The role of governance. Environ. Sci. Pollut. R. 2021, 28, 14607–14620. [Google Scholar] [CrossRef] [PubMed]
 - Quayes, S. Probability of sustainability and social outreach of Microfinance Institutions. Econ. Bull. 2019, 39, 1047–1056. [Google Scholar]
 - Neagu, O. The link between economic complexity and carbon emissions in the European Union Countries: A model based on the Environmental Kuznets Curve (EKC) Approach. Sustainability 2019, 11, 4753. [Google Scholar] [CrossRef] [Green Version]
 - Zhang, N.; Yu, K.; Chen, Z. How does urbanization affect carbon dioxide emissions? A cross-country panel data analysis. Energ. Policy 2017, 107, 678–687. [Google Scholar] [CrossRef]
 - Azzimonti, M. Does partisan conflict deter FDI inflows to the US? J. Int. Econ. 2019, 120, 162–178. [Google Scholar] [CrossRef]
 - Song, Y.; Hao, F.; Hao, X.; Gozgor, G. Economic policy uncertainty, outward foreign direct investments, and green total factor productivity: Evidence from firm-level data in China. Sustainability 2021, 13, 2339. [Google Scholar] [CrossRef]
 - Pesaran, M.H. General diagnostic tests for cross section dependence in panels. Empir. Econ. 2021, 60, 13–50. [Google Scholar] [CrossRef]
 - Pesaran, M.H.; Yamagata, T. Testing slope homogeneity in large panels. J. Econom. 2005, 142, 50–93. [Google Scholar] [CrossRef] [Green Version]
 - Pesaran, M.H. Estimation and inference in large heterogeneous panels with a multifactor error structure. Econometrica 2006, 74, 967–1012. [Google Scholar] [CrossRef] [Green Version]
 - Eberhardt, M.; Teal, F. Productivity Analysis in Global Manufacturing Production; Department of Economics Discussion Paper Series; University of Oxford: Oxford, UK, 2010. [Google Scholar]
 



| Variable | Observations | Mean | SD | Minimum | Maximum | 
|---|---|---|---|---|---|
| lnCO2 | 2281 | 0.706 | 1.558 | −3.867 | 4.128 | 
| (lndigital)2 | 2582 | 33.391 | 27.571 | 0.000 | 162.066 | 
| lndigital | 2582 | 5.251 | 2.413 | −2.339 | 12.731 | 
| lngdpp | 2802 | 11.277 | 2.351 | 5.486 | 18.304 | 
| lnIO | 2374 | 12.788 | 2.613 | 6.029 | 20.133 | 
| Industry | 2702 | 26.210 | 12.805 | 0.960 | 87.797 | 
| Urban | 2895 | 57.677 | 23.683 | 9.375 | 100.000 | 
| Electricity | 2664 | 80.497 | 28.974 | 1.243 | 100.000 | 
| Variable | Fixed Coefficient | Random Coefficient | Difference | S.E. | 
|---|---|---|---|---|
| (lndigital)2 | −0.013 | −0.004 | −0.010 | 0.001 | 
| lndigital | 0.074 | 0.069 | 0.005 | 0.003 | 
| lngdpp | 0.718 | 0.005 | 0.714 | 0.049 | 
| lnIO | 0.018 | 0.023 | −0.005 | 0.001 | 
| Industry | 0.007 | 0.010 | −0.003 | 0.000 | 
| Urban | 0.004 | 0.024 | −0.020 | 0.003 | 
| Electricity | 0.007 | 0.014 | −0.007 | 0.001 | 
| constant | −8.603 | −2.633 | −5.971 | 0.460 | 
| chi2(8) = 365.36 | Probability > chi2 = 0.000 | |||
| Variable | 1 | 2 | 3 | 4 | 5 | 6 | 
|---|---|---|---|---|---|---|
| (lndigital)2 | −0.013 *** | −0.017 *** | −0.014 *** | −0.015 *** | −0.014 *** | −0.012 *** | 
| (−4.63) | (−5.86) | (−4.42) | (−3.99) | (−3.90) | (−3.84) | |
| lndigital | 0.119 *** | 0.098 *** | 0.076 ** | 0.074 ** | 0.067 ** | 0.070 ** | 
| (4.54) | (3.91) | (2.80) | (2.66) | (2.58) | (2.80) | |
| lngdpp | 0.925 *** | 0.845 *** | 0.909 *** | 0.868 *** | 0.787 *** | |
| (6.39) | (5.51) | (5.91) | (5.70) | (5.69) | ||
| lnIO | 0.018 * | 0.018 * | 0.018 * | 0.017 * | ||
| (1.94) | (1.88) | (1.88) | (1.85) | |||
| Industry | 0.006 ** | 0.006 ** | 0.006 ** | |||
| (2.37) | (2.53) | (2.36) | ||||
| Urban | 0.014 ** | 0.008 | ||||
| (2.35) | (1.46) | |||||
| Electricity | 0.008 ** | |||||
| (3.00) | ||||||
| constant | 0.557 *** | −9.679 *** | −8.946 *** | −9.860 *** | −10.210 *** | −9.656 *** | 
| (7.13) | (−5.98) | (−5.25) | (−5.87) | (−6.07) | (−6.34) | |
| Observations | 2087 | 2036 | 1804 | 1740 | 1740 | 1716 | 
| Countries | 190 | 186 | 180 | 178 | 178 | 178 | 
| R2 | 0.989 | 0.991 | 0.992 | 0.992 | 0.992 | 0.993 | 
| F statistics | 11.556 | 20.463 | 12.248 | 16.124 | 14.349 | 16.667 | 
| Country fixed effect | Yes | Yes | Yes | Yes | Yes | Yes | 
| Year fixed effect | Yes | Yes | Yes | Yes | Yes | Yes | 
| 1 | 2 | 3 | 4 | 5 | 6 | |
|---|---|---|---|---|---|---|
| Variable | CO2 | CO2 | PM2.5 | PM2.5 | PM2.5 | PM2.5 | 
| (lndigital)2 | −0.375 ** | −0.354 ** | ||||
| (−2.62) | (−2.39) | |||||
| lndigital | 1.929 ** | 1.749 * | ||||
| (2.67) | (2.03) | |||||
| (lnICT)2 | −0.020 *** | −0.011 ** | −0.592 ** | −0.529 ** | ||
| (−3.73) | (−2.57) | (−2.81) | (−2.32) | |||
| lnICT | 0.133 *** | 0.049 * | 1.399 * | 1.227 | ||
| (3.78) | (1.89) | (2.23) | (1.63) | |||
| lngdpp | 0.860 *** | 3.949 | 7.044 | |||
| (5.89) | (1.15) | (1.34) | ||||
| lnIO | 0.012 | −0.744 *** | −0.570 *** | |||
| (1.35) | (−3.79) | (−4.61) | ||||
| Industry | 0.006 ** | −0.231 * | −0.298 * | |||
| (2.65) | (−2.23) | (−2.23) | ||||
| Urban | 0.012 * | 0.296 | 0.082 | |||
| (1.82) | (1.21) | (0.29) | ||||
| Electricity | 0.008 ** | 0.135 ** | 0.137 ** | |||
| (2.75) | (2.88) | (2.85) | ||||
| Constant | 0.458 *** | −10.945 *** | 94.735 *** | 37.588 | 98.067 *** | 15.637 | 
| (6.42) | (−6.51) | (55.32) | (1.05) | (47.14) | (0.29) | |
| Observations | 1703 | 1420 | 1504 | 1259 | 1313 | 1103 | 
| Countries | 168 | 157 | 178 | 165 | 160 | 148 | 
| R2 | 0.990 | 0.993 | 0.965 | 0.961 | 0.937 | 0.932 | 
| F statistics | 7.765 | 17.149 | 3.636 | 3.105 | 3.967 | 4.579 | 
| Country fixed effect | Yes | Yes | Yes | Yes | Yes | Yes | 
| Year fixed effect | Yes | Yes | Yes | Yes | Yes | Yes | 
| Variable | High-Income and Upper-Middle-Income  | Low-Income and Lower-Middle-Income  | 
|---|---|---|
| (lndigital)2 | −0.010 ** | −0.004 | 
| (−3.10) | (−0.52) | |
| lndigital | 0.062 | 0.024 | 
| (1.64) | (0.58) | |
| lngdpp | 0.650 *** | 0.970 *** | 
| (4.52) | (3.66) | |
| lnIO | 0.002 | 0.026 ** | 
| (0.28) | (2.32) | |
| Industry | 0.001 | 0.007 | 
| (0.46) | (1.75) | |
| Urban | −0.002 | 0.020 | 
| (−0.48) | (1.36) | |
| Electricity | 0.014 *** | 0.003 | 
| (3.50) | (1.25) | |
| constant | −6.923 *** | −13.262 *** | 
| (−4.64) | (−4.18) | |
| Observations | 1064 | 652 | 
| Countries | 110 | 68 | 
| R2 | 0.985 | 0.983 | 
| F statistics | 35.873 | 4.236 | 
| Country fixed effect | Yes | Yes | 
| Year fixed effect | Yes | Yes | 
| Variable | 1 | 2 | 3 | 4 | 5 | 6 | 
|---|---|---|---|---|---|---|
| (lndigital)2 | −0.016 *** | −0.023 *** | −0.021 *** | −0.019 *** | −0.018 *** | −0.014 *** | 
| (−4.95) | (−6.49) | (−4.99) | (−5.15) | (−4.90) | (−3.94) | |
| lndigital | 0.136 *** | 0.143 *** | 0.126 *** | 0.105 *** | 0.097 *** | 0.084 *** | 
| (5.20) | (4.93) | (3.67) | (3.71) | (3.47) | (3.16) | |
| lngdpp | 0.975 *** | 0.889 *** | 0.961 *** | 0.922 *** | 0.841 *** | |
| (14.10) | (11.32) | (12.26) | (11.77) | (11.21) | ||
| lnIO | 0.010 * | 0.011 ** | 0.011 ** | 0.011 ** | ||
| (1.77) | (2.07) | (2.02) | (1.99) | |||
| Industry | 0.005 *** | 0.006 *** | 0.005 *** | |||
| (3.43) | (3.60) | (3.35) | ||||
| Urban | 0.013 *** | 0.009 ** | ||||
| (3.75) | (2.52) | |||||
| Electricity | 0.007 *** | |||||
| (4.46) | ||||||
| constant | 2.796 *** | −6.979 *** | −6.215 *** | −6.603 *** | −6.801 *** | −6.634 *** | 
| (14.47) | (−9.77) | (−7.60) | (−8.24) | (−8.44) | (−8.64) | |
| Observations | 1896 | 1849 | 1643 | 1587 | 1587 | 1571 | 
| R2 | 0.989 | 0.991 | 0.992 | 0.993 | 0.993 | 0.993 | 
| DWH test (p-value) | 0.189 | 0.011 | 0.029 | 0.065 | 0.083 | 0.230 | 
| Country fixed effect | Yes | Yes | Yes | Yes | Yes | Yes | 
| Year fixed effect | Yes | Yes | Yes | Yes | Yes | Yes | 
Publisher’s Note: MDPI stays neutral with regard to jurisdictional claims in published maps and institutional affiliations.  | 
© 2021 by the authors. Licensee MDPI, Basel, Switzerland. This article is an open access article distributed under the terms and conditions of the Creative Commons Attribution (CC BY) license (https://creativecommons.org/licenses/by/4.0/).
Share and Cite
Li, X.; Liu, J.; Ni, P. The Impact of the Digital Economy on CO2 Emissions: A Theoretical and Empirical Analysis. Sustainability 2021, 13, 7267. https://doi.org/10.3390/su13137267
Li X, Liu J, Ni P. The Impact of the Digital Economy on CO2 Emissions: A Theoretical and Empirical Analysis. Sustainability. 2021; 13(13):7267. https://doi.org/10.3390/su13137267
Chicago/Turabian StyleLi, Xiaoyan, Jia Liu, and Peijie Ni. 2021. "The Impact of the Digital Economy on CO2 Emissions: A Theoretical and Empirical Analysis" Sustainability 13, no. 13: 7267. https://doi.org/10.3390/su13137267
APA StyleLi, X., Liu, J., & Ni, P. (2021). The Impact of the Digital Economy on CO2 Emissions: A Theoretical and Empirical Analysis. Sustainability, 13(13), 7267. https://doi.org/10.3390/su13137267
        
                                                
