(Not) Doing the Right Things for the Wrong Reasons: An Investigation of Consumer Attitudes, Perceptions, and Willingness to Pay for Bio-Based Plastics
Abstract
1. Introduction
1.1. Bio-Based Plastic
Lack of Knowledge
1.2. Attitudes
1.3. Overview of Studies
2. Study 1
2.1. Materials and Method
2.1.1. Participants and Procedure
2.1.2. Attitudes
2.2. Results
2.3. Discussion
3. Study 2
3.1. Materials and Method
3.1.1. Participants and Procedure
3.1.2. Willingness to Pay
3.1.3. Importance to Recycle
3.2. Results
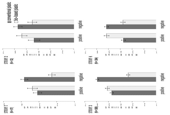
3.2.1. Attitudes
3.2.2. Importance to Recycle
3.2.3. Willingness to Pay
3.3. Discussion
4. Study 3
4.1. Materials and Method
4.1.1. Participants and Procedure
4.1.2. Perceptions of Bio-Based Plastic
4.2. Results
4.2.1. Attitudes
4.2.2. Importance to Recycle
4.2.3. Perceptions of Bio-Based Plastic
4.2.4. Willingness to Pay
4.3. Discussion
5. Study 4
5.1. Conditions and Hypotheses
5.1.1. Control Condition
5.1.2. Negative Condition
5.1.3. Balanced Condition
5.1.4. Willingness to Pay and Attitudes
5.1.5. Importance to Recycle
5.1.6. Other Hypotheses
5.2. Materials and Methods
5.2.1. Procedure
5.2.2. Participants
5.2.3. Manipulation
5.2.4. Willingness to Pay
5.3. Results
5.3.1. Attitudes
5.3.2. Manipulation Check
5.3.3. Willingness to Pay and Attitudes
Effect of Manipulation on Attitudes
Overall Willingness to Pay
The Effect of Condition on Willingness to Pay
The Effect of Overall Attitude on Willingness to Pay
5.3.4. Importance to Recycle
5.4. Discussion
6. General Discussion
6.1. Misconceptions
6.2. Willingness to Pay
6.3. Limitations and Future Directions
7. General Conclusions
Supplementary Materials
Author Contributions
Funding
Institutional Review Board Statement
Informed Consent Statement
Data Availability Statement
Conflicts of Interest
References
- PlasticsEurope. Plastic–The Facts 2019: An analysis of European Plastics Production, Demand and Waste Data; PlaticsEurope: Brussels, Belgium, 2019. [Google Scholar]
- Hamilton, L.A.; Feit, S. Plastic & Climate: The Hidden Costs of a Plastic Planet; Kristler, A., Muffett, C., Eds.; CIEL: Washington, DC, USA, 2019. [Google Scholar]
- RESTCo. Media Coverage of Plastic Pollution. Available online: https://www.restco.ca/Plastic_Pollution_Media_Coverage.shtml (accessed on 20 July 2020).
- Heidbreder, L.M.; Bablok, I.; Drews, S.; Menzel, C. Tackling the plastic problem: A review on perceptions, behaviors, and interventions. Sci. Total Environ. 2019, 668, 1077–1093. [Google Scholar] [CrossRef]
- Herbes, C.; Beuthner, C.; Ramme, I. Consumer attitudes towards biobased packaging–A cross-cultural comparative study. J. Clean. Prod. 2018, 194, 203–218. [Google Scholar] [CrossRef]
- European Bioplastics. Bioplastics Market Data. Available online: https://www.european-bioplastics.org/market/ (accessed on 17 December 2019).
- Bourguignon, D. Plastics in a Circular Economy: Opportunities and Challenges; European Parliamentary Research Service: Brussels, Belgium, 2017. [Google Scholar]
- Ellen McArthur Foundation. The New Plastic Economy: Rethinking the Future of Plastics & Catalysing Action in the New Plastics Economy; GAM Digital: Barcelona, Spain, 2016. [Google Scholar]
- PAI Partners. ESG Lab | The Plastics Issue. Available online: https://www.paipartners.com/mediaitem/the-plastics-issue/ (accessed on 11 January 2021).
- Crippa, M.; Guizzardi, D.; Muntean, M.; Schaaf, E.; Solazzo, E.; Monforti-Ferrario, F.; Olivier, J.; Vignati, E. Fossil CO2 Emissions of All World Countries–2020 Report; EU Emissions Database for Global Atmospheric Research (EDGAR): Luxembourg, Luxembourg, 2020. [Google Scholar]
- Murcia Valderrama, M.A.; van Putten, R.-J.; Gruter, G.-J.M. The potential of oxalic–And glycolic acid based polyesters (review). Towards CO2 as a feedstock (Carbon Capture and Utilization–CCU). Eur. Polym. J. 2019, 119, 445–468. [Google Scholar]
- Ritchie, H.; Our World in Data. Plastic Pollution. Available online: https://ourworldindata.org/plastic-pollution (accessed on 6 November 2020).
- van den Oever, M.; Molenveld, K.; van der Zee, M.; Bos, H. Bio-Based and Biodegradable Plastics–Facts and Figures: Focus on Food Packaging in the Netherlands; Wageningen Food & Biobased Research: Wageningen, The Netherlands, 2017. [Google Scholar]
- Klein, F.; Emberg, A.; Menrad, K.; Möhring, W.; Blesin, J.-M. Influencing factors for the purchase intention of consumers choosing bioplastic products in Germany. Sustain. Prod. Consum. 2019, 19, 33–43. [Google Scholar] [CrossRef]
- Eerhart, A.J.J.E.; Faaij, A.P.C.; Patel, M.K. Replacing fossil based PET with biobased PEF; process analysis, energy and GHG balance. Energy Environ. Sci. 2012, 5, 6407–6422. [Google Scholar] [CrossRef]
- Orset, C.; Barret, N.; Lemaire, A. How consumers of plastic water bottles are responding to environmental policies? Waste Manag. 2017, 61, 13–27. [Google Scholar] [CrossRef] [PubMed]
- Kainz, U.; Zapilko, M.; Decker, T.; Menrad, K. Consumer-relevant information about bioplastics. In First International Conference on Resource Efficiency in Interorganizational Networks–ResEff 2013, Proceedings of the First International Conference on Resource Efficiency in Interorganizational Networks, Göttingen, Germany, 13–14 November 2013; Geldermann, J., Schumann, M., Eds.; Universitätsverlag Göttingen: Göttingen, Germany, 2013; pp. 391–402. [Google Scholar]
- Koutsimanis, G.; Getter, K.; Behe, B.; Harte, J.; Almenar, E. Influences of packaging attributes on consumer purchase decisions for fresh produce. Appetite 2012, 59, 270–280. [Google Scholar] [CrossRef] [PubMed]
- Lynch, D.H.; Klaassen, P.; Broerse, J.E. Unraveling Dutch citizens’ perceptions on the bio-based economy: The case of bioplastics, bio-jetfuels and small-scale bio-refineries. Ind. Crop. Prod. 2017, 106, 130–137. [Google Scholar] [CrossRef]
- Dilkes-Hoffman, L.; Ashworth, P.; Laycock, B.; Pratt, S.; Lant, P. Public attitudes towards bioplastics—Knowledge, perception and end-of-life management. Resour. Conserv. Recycl. 2019, 151, 104479. [Google Scholar] [CrossRef]
- InnProBio, Biodegradability: Exposing Some of the Myths and Facts. 2017. Available online: https://www.biobasedconsultancy.com/uploads/files/InnProBio_Factsheet_n3.pdf (accessed on 10 January 2021).
- Blesin, J.-M.; Jaspersen, M.; Möhring, W. Boosting plastics’ image? Communicative challenges of innovative bioplastics. J. Hist. Polym. Mater. Plast. Herit. Hist. 2017, 3, 1–5. [Google Scholar]
- Ajzen, I.; Fishbein, M. The Influence of Attitudes on Behavior. In The Handbook of Attitudes; Albarracín, D., Johnson, B.T., Zanna, M.P., Eds.; Erlbaum: Mahwah, NJ, USA, 2005; pp. 173–221. [Google Scholar]
- Koenig-Lewis, N.; Palmer, A.; Dermody, J.; Urbye, A. Consumers’ evaluations of ecological packaging—Rational and emotional approaches. J. Environ. Psychol. 2014, 37, 94–105. [Google Scholar] [CrossRef]
- Sijtsema, S.J.; Onwezen, M.C.; Reinders, M.J.; Dagevos, H.; Partanen, A.; Meeusen, M. Consumer perception of bio-based products—An exploratory study in 5 European countries. J. Life Sci. 2016, 77, 61–69. [Google Scholar] [CrossRef]
- Zwicker, M.V.; Nohlen, H.U.; Dalege, J.; Gruter, G.-J.M.; van Harreveld, F. Applying an attitude network approach to consumer behaviour towards plastic. J. Environ. Psychol. 2020, 69, 101433. [Google Scholar] [CrossRef]
- Palan, S.; Schitter, C. Prolific.ac—A subject pool for online experiments. J. Behav. Exp. Financ. 2018, 17, 22–27. [Google Scholar] [CrossRef]
- Champely, S.; Ekstrom, C.; Dalgaard, P.; Gill, J.; Weibelzahl, S.; Anandklumar, A.; Ford, C.; Volcic, R.; de Rosario, H. Basic Functions for Power Analysis; R Core Team: Vienna, Austria, 2020. [Google Scholar]
- Thompson, M.M.; Zanna, M.P.; Griffin, D.W. Let’s not be indifferent about (attitudinal) ambivalence. In Attitude Strength: Antecedents and Consequences; Lawrence Erlbaum Associates, Inc.: Hillsdale, NJ, USA, 1995; pp. 361–386. [Google Scholar]
- van Harreveld, F.; Nohlen, H.U.; Schneider, I.K. The ABC of ambivalence: Affective, behavioral, and cognitive consequences of attitudinal conflict. In Advances in Experimental Social Psychology; Elsevier: Amsterdam, The Netherlands, 2015; pp. 285–324. [Google Scholar]
- Kaplan, K.J. On the ambivalence-indifference problem in attitude theory and measurement: A suggested modification of the semantic differential technique. Psychol. Bull. 1972, 77, 361–372. [Google Scholar] [CrossRef]
- Itzchakov, G.; Van Harreveld, F. Feeling torn and fearing rue: Attitude ambivalence and anticipated regret as antecedents of biased information seeking. J. Exp. Soc. Psychol. 2018, 75, 19–26. [Google Scholar] [CrossRef]
- Taufik, D.; Reinders, M.J.; Molenveld, K.; Onwezen, M.C. The paradox between the environmental appeal of bio-based plastic packaging for consumers and their disposal behaviour. Sci. Total Environ. 2020, 705, 135820. [Google Scholar] [CrossRef]
- Haider, T.P.; Völker, C.; Kramm, J.; Landfester, K.; Wurm, F.R. Plastics of the future? The impact of biodegradable polymers on the environment and on society. Angew. Chem. Int. Ed. 2019, 58, 50–62. [Google Scholar] [CrossRef]
- European Bioplastics. Biobased Plastics–Fostering A Resource Efficient Circular Economy: Benefits, Feedstock Types, Sustainable Sourcing, Land Use; European Bioplastics: Berlin, Germany, 2020. [Google Scholar]
- Lovett, J.; de Bie, F. Sustainable Sourcing of Feedstocks for Bioplastics: Clarifying Sustainability Aspects around Feedstock Use for the Production of Bioplastics; Corbion Group: Amsterdam, The Netherlands, 2016. [Google Scholar]
- Bioplastics NEWS. Available online: https://bioplasticsnews.com/2018/09/12/bioplastic-feedstock-1st-2nd-and-3rd-generations/ (accessed on 22 March 2021).
- Carrington, M.J.; Neville, B.; Whitwell, G. Why ethical consumers don’t walk their talk: Towards a framework for understanding the gap between the ethical purchase intentions and actual buying behaviour of ethically minded consumers. J. Bus. Ethics 2010, 97, 139–158. [Google Scholar] [CrossRef]
- Bulmer, S. Principles of Statistics; Dover Publications: New York, NY, USA, 1979. [Google Scholar]
- IEA. World Energy Outlook 2014; IEA, Ed.; IEA: Paris, France, 2014. [Google Scholar]
- Confente, I.; Scarpi, D.; Russo, I. Marketing a new generation of bio-plastics products for a circular economy: The role of green self-identity, self-congruity, and perceived value. J. Bus. Res. 2020, 112, 431–439. [Google Scholar] [CrossRef]
- Sheeran, P. Intention—Behavior relations: A conceptual and empirical review. Eur. Rev. Soc. Psychol. 2002, 12, 1–36. [Google Scholar] [CrossRef]
- Bissing-Olson, M.J.; Fielding, K.; Iyer, A. Experiences of pride, not guilt, predict pro-environmental behavior when pro-environmental descriptive norms are more positive. J. Environ. Psychol. 2016, 45, 145–153. [Google Scholar] [CrossRef]
- Poškus, M.S. Using social norms to encourage sustainable behaviour: A meta-analysis. Psychology 2016, 53, 44–58. [Google Scholar]
- Jaeger, C.M.; Schultz, P.W. Coupling social norms and commitments: Testing the underdetected nature of social influence. J. Environ. Psychol. 2017, 51, 199–208. [Google Scholar] [CrossRef]





| Concepts Assessed | Study 1 (N = 97) | Study 2 (N = 52) | Study 3 (N = 508) | Study 4 (N = 304) |
|---|---|---|---|---|
| Attitudes | ✓ | ✓ | ✓ | ✓ |
| Perceived importance to recycle | ✓ | ✓ | ✓ | |
| Willingness to pay | ✓ | ✓ | ✓ | |
| Perceptions of bio-based plastic | ✓ | |||
| Manipulation of level of knowledge | ✓ | |||
| Prior knowledge | ✓ |
| Study 1 | Study 2 | Study 3 | Study 4 | |
|---|---|---|---|---|
| N | 97 | 52 | 508 | 304 |
| Gender | ||||
| Female (%) | 61 (62.9%) | 29 (55.8%) | 268 (52.8%) | 164 (53.9%) |
| Male (%) | 36 (37.1%) | 23 (44.2%) | 232 (45.7%) | 137 (45.1%) |
| Preferred not to say/other (%) | 0 (0%) | 0 (0%) | 8 (1.6%) | 3 (1.0%) |
| Mean age (SD) | 33.9 (12.1) | 28.5 (9.7) | 32.4 (10.8) | 34.7 (12.1) |
| Age range | 18–64 years | 18–68 years | 18–72 years | 18–74 years |
| Education completed (%) | ||||
| secondary education | 30.9% | 26.9% | 24.2% | 26.9% |
| undergraduate degree | 50.5% | 42.3% | 47.4% | 42.3% |
| postgraduate education | 8.4% | 21.2% | 17.9% | 21.2% |
| trade/technical/or vocational training | 9.3% | 9.6% | 8.7% | 9.6% |
| primary school | 1.0% | 0.0% | 1.8% | 0.0% |
| Country of residence | ||||
| United Kingdom | 58% | 46% | 33.1% | 61.5% |
| Europe | 28% | 44% | 46.1% | 29.6% |
| North America | 14% | 8% | 17.1% | 4.3% |
| Other | 0% | 2% | 3.7% | 4.6% |
| Response Frequency (%) | ||||
|---|---|---|---|---|
| Recyclability | Biodegradability | Deforestation | Food Competition | |
| 1 Strongly disagree | 3 (0.6 %) | 4 (0.8%) | 39 (7.7%) | 19 (3.7%) |
| 2 | 6 (1.2%) | 8 (1.6%) | 58 (11.4%) | 23 (4.5%) |
| 3 | 10 (2%) | 7 (1.4%) | 86 (16.9%) | 40 (7.9%) |
| 4 Neither agree nor disagree | 96 (18.9%) | 87 (17.1%) | 172 (33.9%) | 207 (40.7%) |
| 5 | 92 (18.1%) | 100 (19.7%) | 81 (15.9%) | 121 (23.8%) |
| 6 | 144 (28.3%) | 143 (28.1%) | 50 (9.8%) | 69 (13.6%) |
| 7 Strongly agree | 155 (30.5%) | 154 (30.3%) | 19 (3.7%) | 27 (5.3%) |
| Total N | 506 (99.6%) | 503 (99%) | 505 (99.4%) | 506 (99.6%) |
| Message Condition | ||||
|---|---|---|---|---|
| Control | Negative | Balanced | ||
| Knowledge | Biodegradability | low | correct | correct |
| CO2 footprint | none | none | correct | |
| Attitude | + | − | +/− (stable) | |
| Condition | N | M (in GBP) | SD | |
|---|---|---|---|---|
| Bottle | Control | 95 | 1.10 | 0.3 |
| Negative | 94 | 1.05 | 0.3 | |
| Donation | Balanced | 115 | 1.10 | 0.3 |
| Control | 95 | 0.20 | 0.3 | |
| Negative | 94 | 0.18 | 0.3 | |
| Balanced | 115 | 0.22 | 0.3 |
Publisher’s Note: MDPI stays neutral with regard to jurisdictional claims in published maps and institutional affiliations. |
© 2021 by the authors. Licensee MDPI, Basel, Switzerland. This article is an open access article distributed under the terms and conditions of the Creative Commons Attribution (CC BY) license (https://creativecommons.org/licenses/by/4.0/).
Share and Cite
Zwicker, M.V.; Brick, C.; Gruter, G.-J.M.; van Harreveld, F. (Not) Doing the Right Things for the Wrong Reasons: An Investigation of Consumer Attitudes, Perceptions, and Willingness to Pay for Bio-Based Plastics. Sustainability 2021, 13, 6819. https://doi.org/10.3390/su13126819
Zwicker MV, Brick C, Gruter G-JM, van Harreveld F. (Not) Doing the Right Things for the Wrong Reasons: An Investigation of Consumer Attitudes, Perceptions, and Willingness to Pay for Bio-Based Plastics. Sustainability. 2021; 13(12):6819. https://doi.org/10.3390/su13126819
Chicago/Turabian StyleZwicker, Maria V., Cameron Brick, Gert-Jan M. Gruter, and Frenk van Harreveld. 2021. "(Not) Doing the Right Things for the Wrong Reasons: An Investigation of Consumer Attitudes, Perceptions, and Willingness to Pay for Bio-Based Plastics" Sustainability 13, no. 12: 6819. https://doi.org/10.3390/su13126819
APA StyleZwicker, M. V., Brick, C., Gruter, G.-J. M., & van Harreveld, F. (2021). (Not) Doing the Right Things for the Wrong Reasons: An Investigation of Consumer Attitudes, Perceptions, and Willingness to Pay for Bio-Based Plastics. Sustainability, 13(12), 6819. https://doi.org/10.3390/su13126819

