Compost and Sewage Sludge for the Improvement of Soil Chemical and Biological Quality of Mediterranean Agroecosystems
Abstract
1. Introduction
2. Materials and Methods
2.1. Soil Sampling and Mesocosm Set-Up
2.2. Soil Physico-Chemical and Microbiological Analyses
2.3. Toxicity Testing
2.4. Statistical Analysis
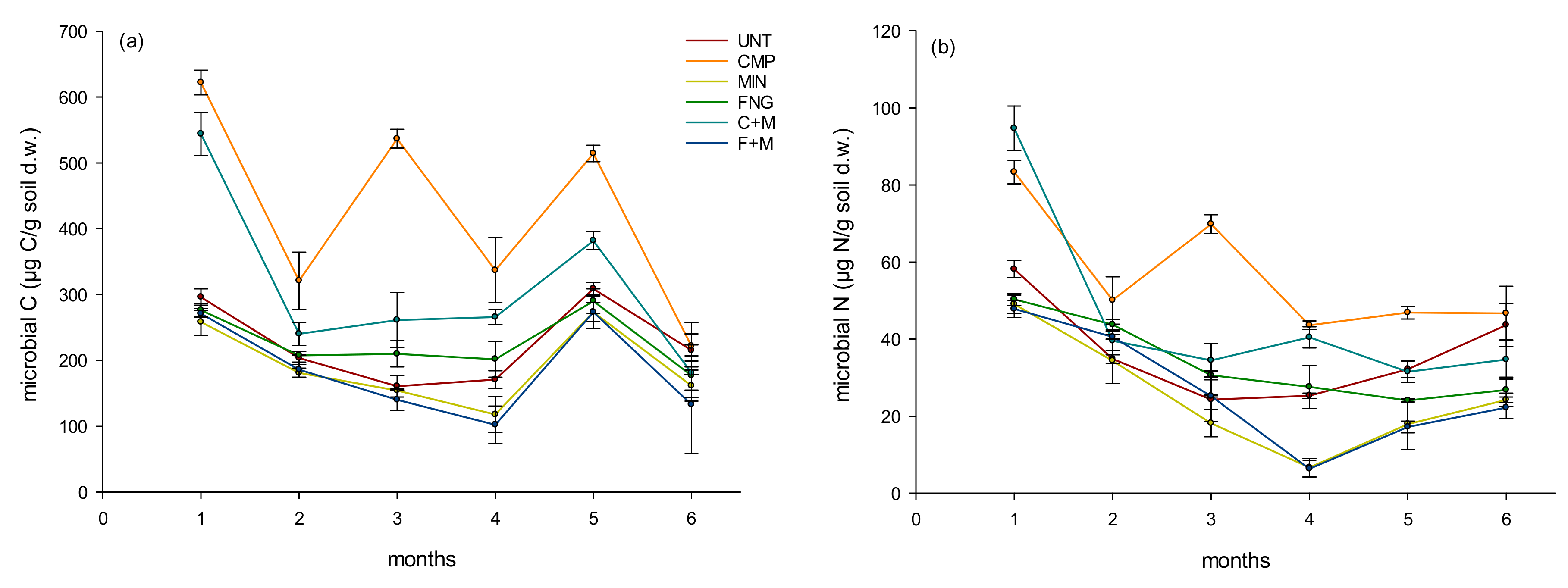
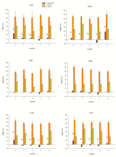
3. Results
4. Discussion
5. Conclusions
Supplementary Materials
Author Contributions
Funding
Data Availability Statement
Conflicts of Interest
References
- Davidson, E.A.; Janssens, I.A. Temperature sensitivity of soil carbon decomposition and feedbacks to climate change. Nat. Cell Biol. 2006, 440, 165–173. [Google Scholar] [CrossRef] [PubMed]
- Nortcliff, S. Soil Erosion and Carbon Dynamics. In Advances in Soil Science; Roose, E.J., Lal, R., Feller, C., Barthes, B., Stewart, B.A., Eds.; CRC Press (Taylor and Francis): Boca Raton, Fl, USA, 2006; p. 352. ISBN 1-56670-688-9. [Google Scholar]
- Wendling, B.; Jucksch, I.; Mendonça, E.D.S.; Neves, J.C.L.; Silva, I.R.; Da Costa, L.M. Organic-Matter Lability and Carbon-Management Indexes in Agrosylvopasture System on Brazilian Savannah. Commun. Soil Sci. Plant. Anal. 2008, 39, 1750–1772. [Google Scholar] [CrossRef]
- Agency for Toxic Substances and Disease Registry Division of Toxicology and Human Health Sciences (ATSDR). Agency for Toxic Substances and Disease Registry Toxicological. Atlanta, GA 30329-4027. 2015. [Google Scholar]
- Ren, X.; Zeng, G.; Tang, L.; Wang, J.; Wan, J.; Liu, Y.; Yu, J.; Yi, H.; Ye, S.; Deng, R. Sorption, transport and biodegradation—An insight into bioavailability of persistent organic pollutants in soil. Sci. Total. Environ. 2018, 1154–1163. [Google Scholar] [CrossRef] [PubMed]
- Renzi, R.F.G. Spatial Analysis and Prediction of Soil Organic Carbon in Friuli Venezia Giulia Region (Northern Italy). Geoinform. Geostat. Overv. 2014, 2. [Google Scholar] [CrossRef]
- Memoli, V.; De Marco, A.; Baldantoni, D.; De Nicola, F.; Maisto, G. Short- and long-term effects of a single application of two organic amendments. Ecosphere 2017, 8, e02009. [Google Scholar] [CrossRef]
- Morra, L.; Baiano, S.; Bilotto, M.; Bandantoni, D. The Replacement of Mineral Fertilizers with Biowaste Compost in a Seven-Year Experiment, Enhanced Vegetables Productivity, Soil Organic Carbon Content with minimum nitrate leaching Risk. In Proceedings of the 2nd International GRAB-IT Workshop, Capri Napoli, Italy, 27–29 June 2018; pp. 28–31. [Google Scholar]
- Latare, A.; Kumar, O.; Singh, S.; Gupta, A. Direct and residual effect of sewage sludge on yield, heavy metals content and soil fertility under rice–wheat system. Ecol. Eng. 2014, 69, 17–24. [Google Scholar] [CrossRef]
- Lloret, E.; Pascual, J.A.; Brodie, E.L.; Bouskill, N.J.; Insam, H.; Juárez, M.F.-D.; Goberna, M. Sewage sludge addition modifies soil microbial communities and plant performance depending on the sludge stabilization process. Appl. Soil Ecol. 2016, 101, 37–46. [Google Scholar] [CrossRef]
- Singh, R.P.; Singh, P.; Ibrahim, M.H.; Hashim, R. Land Application of Sewage Sludge: Physicochemical and Microbial Response Land Application of Sewage Sludge: Physicochemical and Microbial Response. Environ. Contam. Toxicol. 2011, 214, 41–61. [Google Scholar] [CrossRef]
- Baldantoni, D.; Saviello, G.; Alfani, A. Nutrients and non-essential elements in edible crops following long-term mineral and compost fertilization of a Mediterranean agricultural soil. Environ. Sci. Pollut. Res. 2018, 26, 35353–35364. [Google Scholar] [CrossRef]
- Baldantoni, D.; Bellino, A.; Morra, L.; Alfani, A. Compost Amendment Enhances Natural Revegetation of a Mediterranean Degraded Agricultural Soil. Environ. Manag. 2015, 56, 946–956. [Google Scholar] [CrossRef]
- Poulsen, P.H.; Abu Al-Soud, W.; Bergmark, L.; Magid, J.; Hansen, L.H.; Sørensen, S.J. Effects of fertilization with urban and agricultural organic wastes in a field trial—Prokaryotic diversity investigated by pyrosequencing. Soil Biol. Biochem. 2013, 57, 784–793. [Google Scholar] [CrossRef]
- Roig, N.; Sierra, J.; Martí, E.; Nadal, M.; Schuhmacher, M.; Domingo, J.L. Long-term amendment of Spanish soils with sewage sludge: Effects on soil functioning. Agric. Ecosyst. Environ. 2012, 158, 41–48. [Google Scholar] [CrossRef]
- Baldantoni, D.; Bellino, A.; Alfani, A. Soil compost amendment enhances tomato (Solanum lycopersicum L.) quality. J. Sci. Food Agric. 2016, 96, 4082–4088. [Google Scholar] [CrossRef] [PubMed]
- Baldantoni, D.; Morra, L.; Saviello, G.; Alfani, A. Nutrient and toxic element soil concentrations during repeated mineral and compost fertilization treatments in a Mediterranean agricultural soil. Environ. Sci. Pollut. Res. 2016, 23, 25169–25179. [Google Scholar] [CrossRef]
- Sort, X.; Alcan, J.M. Effects of sewage sludge amendment on soil aggregation. Land Degratation Dev. 1999, 12, 3–12. [Google Scholar] [CrossRef]
- Singh, R.; Agrawal, M. Potential benefits and risks of land application of sewage sludge. Waste Manag. 2008, 28, 347–358. [Google Scholar] [CrossRef] [PubMed]
- Bastida, F.; Jehmlich, N.; Martínez-Navarro, J.; Bayona, V.; García, C.; Moreno, J. The effects of struvite and sewage sludge on plant yield and the microbial community of a semiarid Mediterranean soil. Geoderma 2019, 337, 1051–1057. [Google Scholar] [CrossRef]
- Petrie, B.; Barden, R.; Kasprzyk-Hordern, B. A review on emerging contaminants in wastewaters and the environment: Current knowledge, understudied areas and recommendations for future monitoring. Water Res. 2015, 72, 3–27. [Google Scholar] [CrossRef]
- Epelde, L.; Becerril, J.M.; Kowalchuk, G.A.; Deng, Y.; Zhou, J.; Garbisu, C. Impact of Metal Pollution and Thlaspi caerulescens Growth on Soil Microbial Communities. Appl. Environ. Microbiol. 2010, 76, 7843–7853. [Google Scholar] [CrossRef]
- Burges, A.; Epelde, L.; Garbisu, C. Impact of repeated single-metal and multi-metal pollution events on soil quality. Chemosphere 2015, 120, 8–15. [Google Scholar] [CrossRef]
- Wang, Q.; Xiao, F.; He, T.; Wang, S. Responses of labile soil organic carbon and enzyme activity in mineral soils to forest conversion in the subtropics. Ann. For. Sci. 2013, 70, 579–587. [Google Scholar] [CrossRef]
- Legislative Decree 75. Decreto Legislativo n. 75/2010 e Successiva Modifica del 10 luglio 2013. Aggiornamento Degli Allegati del Decreto Legislativo 29 aprile 2010 n. 75, Concernente il Riordino e la Revisione della Disciplina in Materia di Fertilizzanti; Italy, 2010.
- Council Directive. 86/278/EEC of 12 June 1986 on the Protection of the Environment, and in Particular of the Soil, When Sewage Sludge is Used in Agriculture. 1986; 1–10.
- Legislative Decree 109. Disposizioni Urgenti per la Città di Genova, la Sicurezza della Rete Nazionale delle Infrastrutture e dei Trasporti, gli Eventi Sismici del 2016 e 2017, il Lavoro e le Altre Emergenze; Italy, 2018.
- Barrutia, O.; Garbisu, C.; Epelde, L.; Sampedro, M.; Goicolea, M.; Becerril, J.M. Plant tolerance to diesel minimizes its impact on soil microbial characteristics during rhizoremediation of diesel-contaminated soils. Sci. Total Environ. 2011, 409, 4087–4093. [Google Scholar] [CrossRef] [PubMed]
- Garbisu, C.; Alkorta, I.; Epelde, L. Assessment of soil quality using microbial properties and attributes of ecological relevance. Appl. Soil Ecol. 2011, 49, 1–4. [Google Scholar] [CrossRef]
- Pardo, T.; Clemente, R.; Epelde, L.; Garbisu, C.; Bernal, M. Evaluation of the phytostabilisation efficiency in a trace elements contaminated soil using soil health indicators. J. Hazard. Mater. 2014, 268, 68–76. [Google Scholar] [CrossRef] [PubMed]
- Iovieno, P.; Morra, L.; Leone, A.; Pagano, L.; Alfani, A. Effect of organic and mineral fertilizers on soil respiration and enzyme activities of two Mediterranean horticultural soils. Biol. Fertil. Soils 2009, 45, 555–561. [Google Scholar] [CrossRef]
- Legislative Decree 86. Attuazione della direttiva 86/278/CEE concernente la protezione dell’ambiente, in particolare del suolo, nell’utilizzazione dei fanghi di depurazione in agricoltura. Gazz. Uff. Ser. Gen. 1992, 38, 1–34. [Google Scholar]
- ARPA. Lombardia Elaborazione di Linee Guida per la Gestione dei Fanghi in Agricoltura. Committente: Regione Lombardia–DG Risorse Idriche e Servizi di Pubblica Utilità e Sviluppo Sostenibile. 2007. [Google Scholar]
- Vance, E.; Brookes, P.; Jenkinson, D. An extraction method for measuring soil microbial biomass C. Soil Biol. Biochem. 1987, 19, 703–707. [Google Scholar] [CrossRef]
- Schnürer, J.; Rosswall, T. Fluorescein Diacetate Hydrolysis as a Measure of Total Microbial Activity in Soil and Litter. Appl. Environ. Microbiol. 1982, 43, 1256–1261. [Google Scholar] [CrossRef]
- Dick, R.P.; Breakwell, D.P.; Turco, R.F. Soil Enzyme Activities and Biodiversity Measurements as Integrative Microbiological Indicators. In SSSA Special Publications; Wiley: Hoboken, NJ, USA, 2015; pp. 247–271. [Google Scholar]
- Rodríguez-Loinaz, G.; Onaindia, M.; Amezaga, I.; Mijangos, I.; Garbisu, C. Relationship between vegetation diversity and soil functional diversity in native mixed-oak forests. Soil Biol. Biochem. 2008, 40, 49–60. [Google Scholar] [CrossRef]
- EN Characterisation of Waste. Leaching. Compliance Test for Leaching of Granular Waste Materials and Sludges—Part 4: One Stage Batch at a Liquid to Solid Ratio of 10 l/kg for Materials with Particle Size Below 10 mm (Without or With Size Reduction); 2002 (EN 12457–1–4).
- ISO 8692:2012. Water Quality—Fresh Water Algal Growth Inhibition Test with Unicellular Green Algae; ISO: Geneva, Switzerland, 2012. [Google Scholar]
- OECD. Test No.8: Terrestrial Plant Test: Seedling Emergence and Seedling Growth Test; OECD Publishig: Paris, France, 2006. [Google Scholar]
- ISO. Determination of the Inhibition of the Mobility of Daphnia Magna Straus (Cladocera, Crustacea)—Acute Toxicity Test; ISO: Geneva, Switzerland, 2012. [Google Scholar]
- R Core Team. A Language and Environment for Statistical Computing; R Foundation for Statistical Computing: Vienna, Austria, 2020. [Google Scholar]
- Libralato, G.; Prato, E.; Migliore, L.; Cicero, A.; Manfra, L. A review of toxicity testing protocols and endpoints with Artemia spp. Ecol. Indic. 2016, 69, 35–49. [Google Scholar] [CrossRef]
- Muñoz-Leoz, B.; Garbisu, C.; Antigüedad, I.; Ruiz-Romera, E. Fertilization can modify the non-target effects of pesticides on soil microbial communities. Soil Biol. Biochem. 2012, 48, 125–134. [Google Scholar] [CrossRef]
- Kallenbach, C.; Grandy, A.S. Controls over soil microbial biomass responses to carbon amendments in agricultural systems: A meta-analysis. Agric. Ecosyst. Environ. 2011, 144, 241–252. [Google Scholar] [CrossRef]
- Reardon, C.L.; Wuest, S.B. Soil amendments yield persisting effects on the microbial communities—a 7-year study. Appl. Soil Ecol. 2016, 101, 107–116. [Google Scholar] [CrossRef]
- Mattana, S.; Petrovičová, B.; Landi, L.; Gelsomino, A.; Cortés, P.; Ortiz, O.; Renella, G. Sewage sludge processing determines its impact on soil microbial community structure and function. Appl. Soil Ecol. 2014, 75, 150–161. [Google Scholar] [CrossRef]
- Hamdi, H.; Hechmi, S.; Khelil, M.N.; Zoghlami, I.R.; Benzarti, S.; Mokni-Tlili, S.; Hassen, A.; Jedidi, N. Repetitive land application of urban sewage sludge: Effect of amendment rates and soil texture on fertility and degradation parameters. Catena 2019, 172, 11–20. [Google Scholar] [CrossRef]
- Bastida, F.; Jindo, K.; Moreno, J.L.; Hernandez, T.; Garcia, C.; Moreno, J.L. Effects of organic amendments on soil carbon fractions, enzyme activity and humus–enzyme complexes under semi-arid conditions. Eur. J. Soil Biol. 2012, 53, 94–102. [Google Scholar] [CrossRef]
- Diacono, M.; Montemurro, F. Long-term effects of organic amendments on soil fertility. A review. Agron. Sustain. Dev. 2010, 30, 401–422. [Google Scholar] [CrossRef]
- Ye, J.; Zhang, R.; Nielsen, S.; Joseph, S.D.; Huang, D.; Thomas, T. A Combination of Biochar–Mineral Complexes and Compost Improves Soil Bacterial Processes, Soil Quality, and Plant Properties. Front. Microbiol. 2016, 7. [Google Scholar] [CrossRef]
- Antunes, L.P.; Martins, L.F.; Pereira, R.V.; Thomas, A.M.; Barbosa, D.; Lemos, L.N.; Silva, G.M.M.; Moura, L.M.S.; Epamino, G.W.C.; Digiampietri, L.A.; et al. Microbial community structure and dynamics in thermophilic composting viewed through metagenomics and metatranscriptomics. Sci. Rep. 2016, 6. [Google Scholar] [CrossRef]
- Burns, R.G. Enzyme activity in soil: Location and a possible role in microbial ecology. Soil Biol. Biochem. 1982, 14, 423–427. [Google Scholar] [CrossRef]
- Saviello, G.; Iovieno, P.; Morelli, R.; Baldantoni, D. Long-Term Compost Amendment of a Mediterranean Horticultural Soil. Part I: Relationships Among Biological and Chemical Soil Quality and the Yield of Two Crops Long-Term Compost Amendment of a Mediterranean Horticultural Soil. Part I: Relationships Amo. In Proceedings of the RAMIRAN Conference, Versailles, France, 3–5 June 2013. [Google Scholar]
- Madejón, E.; Murillo, J.; Moreno, F.; López, M.; Arrue, J.; Álvaro-Fuentes, J.; Cantero-Martínez, C. Effect of long-term conservation tillage on soil biochemical properties in Mediterranean Spanish areas. Soil Tillage Res. 2009, 105, 55–62. [Google Scholar] [CrossRef]
- Ros, M. Soil microbial activity after restoration of a semiarid soil by organic amendments. Soil Biol. Biochem. 2003, 35, 463–469. [Google Scholar] [CrossRef]
- Dodor, D.E.; Tabatabai, M.A. Effect of cropping systems on phosphatases in soils. J. Plant Nutr. Soil Sci. 2003, 166, 7–13. [Google Scholar] [CrossRef]
- Ghosh, A.; Singh, A.; Kumar, R.; Manna, M.; Bhattacharyya, R.; Rahman, M.M.; Sharma, P.; Rajput, P.; Misra, S. Soil enzymes and microbial elemental stoichiometry as bio-indicators of soil quality in diverse cropping systems and nutrient management practices of Indian Vertisols. Appl. Soil Ecol. 2020, 145, 103304. [Google Scholar] [CrossRef]
- Makoi, J.H.J.R.; Ndakidemi, P.A. Selected soil enzymes: Examples of their potential roles in the ecosystem. African J. Biotechnol. 2008, 7, 181–191. [Google Scholar] [CrossRef]
- Mpeketula, P.M.G.; Snapp, S. Structural Stability Conditions Soil Carbon Gains from Compost Management and Rotational Diversity. Soil Sci. Soc. Am. J. 2018, 83, 203–211. [Google Scholar] [CrossRef]
- Saha, S.; Mina, B.; Gopinath, K.A.; Kundu, S.; Gupta, H.S. Organic amendments affect biochemical properties of a subtemperate soil of the Indian Himalayas. Nutr. Cycl. Agroecosyst. 2007, 80, 233–242. [Google Scholar] [CrossRef]
- Alkorta, I.; Epelde, L.; Mijangos, I.; Amezaga, I.; Garbisu, C. Bioluminescent Bacterial Biosensors for the Assessment of Metal Toxicity and Bioavailability in Soils. Rev. Environ. Health 2006, 21, 139–152. [Google Scholar] [CrossRef]
- Mohapatra, D.P.; Cledón, M.; Brar, S.K.; Surampalli, R.Y. Application of Wastewater and Biosolids in Soil: Occurrence and Fate of Emerging Contaminants. Water Air Soil Pollut. 2016, 227, 1–14. [Google Scholar] [CrossRef]
- Soler-Rovira, P.; Madejón, E.; Madejón, P.; Plaza, C. In situ remediation of metal-contaminated soils with organic amendments: Role of humic acids in copper bioavailability. Chemosphere 2010, 79, 844–849. [Google Scholar] [CrossRef]
- Urra, J.; Alkorta, I.; Mijangos, I.; Epelde, L.; Garbisu, C. Application of sewage sludge to agricultural soil increases the abundance of antibiotic resistance genes without altering the composition of prokaryotic communities. Sci. Total. Environ. 2019, 647, 1410–1420. [Google Scholar] [CrossRef] [PubMed]
- Giller, K.E.; Witter, E.; McGrath, S.P. Toxicity of heavy metals to microorganisms and microbial processes in agricultural soils: A review. Soil Biol. Biochem. 1998, 30, 1389–1414. [Google Scholar] [CrossRef]
- Murtaza, G.; Usman, Y.; Niazi, N.K.; Usman, M.; Hussain, T. Bioaccumulation of Potentially Toxic Elements in Cereal and Legume Crops: A Review. CLEAN Soil Air Water 2017, 45. [Google Scholar] [CrossRef]
- Dudka, S.; Miller, W.P. Accumulation of potentially toxic elements in plants and their transfer to human food chain. J. Environ. Sci. Heal. Part. B 1999, 34, 681–708. [Google Scholar] [CrossRef]
- Alkorta, I.; Aizpurua, A.; Riga, P.; Albizu, I.; Amézaga, I.; Garbisu, C. Soil Enzyme Activities as Biological Indicators of Soil Health. Rev. Environ. Health 2003, 18, 65–73. [Google Scholar] [CrossRef]
- Hu, X.-F.; Jiang, Y.; Shu, Y.; Hu, X.; Liu, L.; Luo, F. Effects of mining wastewater discharges on heavy metal pollution and soil enzyme activity of the paddy fields. J. Geochem. Explor. 2014, 147, 139–150. [Google Scholar] [CrossRef]
- Su, C.; Jiang, L.; Zhang, W. A review on heavy metal contamination in the soil worldwide: Situation, impact and remediation techniques. Environ. Skept. Critics 2014, 3, 24–38. [Google Scholar]
- Pattnaik, B.K.; Equeenuddin, S.M. Potentially toxic metal contamination and enzyme activities in soil around chromite mines at Sukinda Ultramafic Complex, India. J. Geochem. Explor. 2016, 168, 127–136. [Google Scholar] [CrossRef]
- Ghosh, S.K. Waste Management and Resource Efficiency; Springer Science and Business Media LLC: Berlin, Germany, 2019. [Google Scholar]
- Kucharski, J.; Boros, E.; Wyszkowska, J. Biochemical activity of nickel-contaminated soil. Polish J. Environ. Stud. 2009, 18, 1039–1044. [Google Scholar]
- Kozdrój, J.; Van Elsas, J.D. Response of the bacterial community to root exudates in soil polluted with heavy metals assessed by molecular and cultural approaches. Soil Biol. Biochem. 2000, 32, 1405–1417. [Google Scholar] [CrossRef]
- Renella, G.; Egamberdiyeva, D.; Landi, L.; Mench, M.; Nannipieri, P. Microbial activity and hydrolase activities during decomposition of root exudates released by an artificial root surface in Cd-contaminated soils. Soil Biol. Biochem. 2006, 38, 702–708. [Google Scholar] [CrossRef]
- Lorenz, N.; Hintemann, T.; Kramarewa, T.; Katayama, A.; Yasuta, T.; Marschner, P.; Kandeler, E. Response of microbial activity and microbial community composition in soils to long-term arsenic and cadmium exposure. Soil Biol. Biochem. 2006, 38, 1430–1437. [Google Scholar] [CrossRef]
- Memoli, V.; Eymar, E.; García-Delgado, C.; Esposito, F.; Panico, S.C.; De Marco, A.; Barile, R.; Maisto, G. Soil element fractions affect phytotoxicity, microbial biomass and activity in volcanic areas. Sci. Total. Environ. 2018, 636, 1099–1108. [Google Scholar] [CrossRef] [PubMed]






| Physico-Chemical Property | BC | SS | MF |
|---|---|---|---|
| pH | 7.7 | 7.8 | |
| Organic C (% d.m.) | 30.0 | 24.8 | |
| Total N (% d.m.) | 2.61 | 1.30 | 12 |
| Organic N (% total N) | 96.6 | ||
| Nitric N (% d.m.) | 7.5 | ||
| Ammoniacal N (% d.m.) | 4.5 | ||
| C/N | 12 | ||
| Humic and fulvic acids (% d.m.) | 11.9 | ||
| Total P (% d.m.) | 0.57 | 0.30 | |
| P2O5 (% d.m.) | 10 | ||
| Total K (µg/g d.m.) | 0.02 | 0.40 | |
| K2O (% d.m.) | 18 | ||
| SO3 (% d.m.) | 37 | ||
| Total Cd (μg/g d.m.) | 37.95 | 11.14 | |
| Total Cu (μg/g d.m.) | 147.91 | 297.44 | |
| Total Ni (μg/g d.m.) | 22.40 | 66.80 | |
| Total Mn (μg/g d.m.) | 167.12 | 189.58 | |
| Total Pb (μg/g d.m.) | bdl | 0.20 | |
| Total V (μg/g d.m.) | 23.41 | 121.02 | |
| Total Zn (μg/g d.m.) | 208.40 | 107.23 |
| Comparison | OM | Respiration | Hydrolase | β-glucosidase | Phosphatase | Microbial C | Microbial N |
|---|---|---|---|---|---|---|---|
| Two way ANOVA | |||||||
| treatment | 355.9 *** | 1040 *** | 20.41 *** | 31.08 *** | 143.5 *** | 85.419 *** | 94.335 *** |
| time | 52.17 *** | 1645 *** | 69.95 *** | 184.5 *** | 53.06 *** | 60.696 *** | 114.875 *** |
| treatment × time | 3.61 *** | 298.85 *** | 4.87 *** | 7.31 *** | 4.29 *** | 6.491 *** | 7.075 *** |
| Tukey (comparison for factor treatment) | |||||||
| CMP vs. UNT | 44.625 *** | 71.605 *** | 12.759 *** | 12.658 *** | 27.333 *** | 20.002 *** | 17.028 *** |
| CMP vs. MIN | 44.154 *** | 74.596 *** | 7.847 *** | 11.801 *** | 30.141 *** | 24.041 *** | 25.162 *** |
| CMP vs. F + M | 42.935 *** | 68.651 *** | 8.64 *** | 8.554 *** | 29.538 *** | 23.358 *** | 24.267 *** |
| CMP vs. FNG | 41.319 *** | 73.351 *** | 6.898 *** | 5.548 ** | 24.666 *** | 20.564 *** | 218.724 *** |
| CMP vs. C + M | 16.408 *** | 22.53 *** | 2.747 | 0.0147 | 12.807 *** | 11.782 *** | 8.532 *** |
| C + M vs. UNT | 28.216 *** | 49.076 *** | 10.011 *** | 12.643 *** | 14.525 *** | 8.220 *** | 8.497 *** |
| C + M vs. MIN | 27.745 *** | 52.066 *** | 5.1 ** | 11.786 *** | 17.333 *** | 12.259 *** | 16.630 *** |
| C + M vs. F + M | 26.527 *** | 46.121 *** | 5.893 *** | 8.539 *** | 16.73 *** | 11.576 *** | 15.736 *** |
| C + M vs. FNG | 24.911 *** | 50.821 *** | 4.151 * | 5.533 ** | 11.858 *** | 8.782 *** | 10.193 *** |
| FNG vs. UNT | 3.305 | 1.745 | 5.861 *** | 7.11 *** | 2.667 | 0.562 | 1.696 |
| FNG vs. MIN | 2.835 | 1.245 | 0.949 | 6.253 *** | 5.475 ** | 3.477 | 6.438 *** |
| FNG vs. F + M | 1.616 | 4.699 ** | 1.742 | 3.006 | 4.872 * | 2.794 | 5.543 ** |
| F + M vs. UNT | 1.689 | 2.954 | 4.118 | 4.104 | 2.205 | 3.356 | 5.095 ** |
| F + M vs. MIN | 1.219 | 5.945 *** | 0.793 | 3.247 | 0.603 | 0.683 | 1.696 |
| MIN vs. UNT | 0.471 | 2.991 | 4.911 * | 0.857 | 2.808 | 0.060 | 8.134 *** |
Publisher’s Note: MDPI stays neutral with regard to jurisdictional claims in published maps and institutional affiliations. |
© 2020 by the authors. Licensee MDPI, Basel, Switzerland. This article is an open access article distributed under the terms and conditions of the Creative Commons Attribution (CC BY) license (http://creativecommons.org/licenses/by/4.0/).
Share and Cite
Picariello, E.; Pucci, L.; Carotenuto, M.; Libralato, G.; Lofrano, G.; Baldantoni, D. Compost and Sewage Sludge for the Improvement of Soil Chemical and Biological Quality of Mediterranean Agroecosystems. Sustainability 2021, 13, 26. https://doi.org/10.3390/su13010026
Picariello E, Pucci L, Carotenuto M, Libralato G, Lofrano G, Baldantoni D. Compost and Sewage Sludge for the Improvement of Soil Chemical and Biological Quality of Mediterranean Agroecosystems. Sustainability. 2021; 13(1):26. https://doi.org/10.3390/su13010026
Chicago/Turabian StylePicariello, Enrica, Luca Pucci, Maurizio Carotenuto, Giovanni Libralato, Giusy Lofrano, and Daniela Baldantoni. 2021. "Compost and Sewage Sludge for the Improvement of Soil Chemical and Biological Quality of Mediterranean Agroecosystems" Sustainability 13, no. 1: 26. https://doi.org/10.3390/su13010026
APA StylePicariello, E., Pucci, L., Carotenuto, M., Libralato, G., Lofrano, G., & Baldantoni, D. (2021). Compost and Sewage Sludge for the Improvement of Soil Chemical and Biological Quality of Mediterranean Agroecosystems. Sustainability, 13(1), 26. https://doi.org/10.3390/su13010026

