Moving Beyond the One-Size-Fits-All Model in Describing the Climate Conserving Behaviors of Malaysian Secondary Students
Abstract
1. Introduction
2. Background
2.1. Climate Conserving Behavior
2.2. Knowledge and Climate Conserving Behavior
2.3. Belief and Climate Conserving Behavior
2.4. Motivation and Climate Conserving Behavior
3. Methodology
3.1. Methods
3.2. Research Design and Sample
3.3. Instrumentation
4. Data Collection
5. Data Analysis
6. Results
6.1. Assessment of Measurement Model
6.2. Assessment of Structural Model
7. Discussion
8. Conclusions
Author Contributions
Funding
Conflicts of Interest
References
- IPCC. Summary for Policymakers. In Global Warming of 1.5°C. An IPCC Special Report on the Impacts of Global Warming of 1.5 °C above Pre-Industrial Levels and Related Global Greenhouse Gas Emission Pathways, in the Context of Strengthening the Global Response to the Threat of Climate Change; Masson-Delmotte, V., Zhai, P., Roberts, H.O.P., Skea, D., Shukla, J., Pirani, P.R., Moufouma-Okia, A., Péan, W., Pidcock, C., Connors, R., et al., Eds.; World Meteorological Organization: Geneva, Switzerland, 2018. [Google Scholar]
- Moser, S.C. Communicating Climate Change: History, Challenges, Process and Future Directions. WIREs Clim. Chang. 2010, 1, 31–53. [Google Scholar] [CrossRef]
- Abatzoglou, J.T.; Williams, A.P.; Barbero, R. Global Emergence of Anthropogenic Climate Change in Fire Weather Indices. Geophys. Res. Lett. 2019, 46, 326–336. [Google Scholar] [CrossRef]
- Ernesto, R.-C. Chapter 2 A Review of the Current Science of Climate Change. In Tourism and the Implications of Climate Change: Issues and Actions; Schott, C., Ed.; Bridging Tourism Theory and Practice; Emerald Group Publishing Limited: Bingley, UK, 2010; Volume 3, pp. 27–48. [Google Scholar] [CrossRef]
- Vezér, M.A. Computer Models and the Evidence of Anthropogenic Climate Change: An Epistemology of Variety-of-Evidence Inferences and Robustness Analysis. Stud. Hist. Philos. Sci. Part A 2016, 56, 95–102. [Google Scholar] [CrossRef]
- EPA. Global Anthropogenic Non-CO; US Environmental Protection Agency: Washington, DC, USA, 2012. [Google Scholar]
- IPCC. Summary for Policymakers. In Climate Change 2014: Impacts, Adaptation, and Vulnerability. Part A: Global and Sectoral Aspects. Contribution of Working Group II to the Fifth Assessment Report of the Intergovernmental Panel on Climate Change; Field, C.B., Barros, V.R., Dokken, D.J., Mach, K.J., Mastrandrea, M.D., Bilir, T.E., Chatterjee, M., Ebi, K.L., Estrada, Y.O., Genova, R.C., et al., Eds.; Cambridge University Press: Cambridge, UK; New York, NY, USA, 2014; pp. 1–32. [Google Scholar]
- Trenberth, K.E. Climate Change Caused by Human Activities Is Happening and It Already Has Major Consequences. J. Energy Nat. Resour. Law 2018, 36, 463–481. [Google Scholar] [CrossRef]
- Junsheng, H.; Akhtar, R.; Masud, M.M.; Rana, M.S.; Banna, H. The Role of Mass Media in Communicating Climate Science: An Empirical Evidence. J. Clean. Prod. 2019, 238, 117934. [Google Scholar] [CrossRef]
- Anderson, A. Climate Change Education for Mitigation and Adaptation. J. Educ. Sustain. Dev. 2012, 6, 191–206. [Google Scholar] [CrossRef]
- Liarakou, G.; Athanasiadis, I.; Gavrilakis, C. What Greek Secondary School Students Believe about Climate Change? Int. J. Environ. Sci. Educ. 2011, 6, 79–98. [Google Scholar]
- Sharma, A. Global Climate Change: What Has Science Education Got to Do with It? Sci. Educ. 2012, 21, 33–53. [Google Scholar] [CrossRef]
- Roychoudhury, A.; Shepardson, D.P.; Hirsch, A.; Niyogi, D.; Jignesh, M.; Top, S. The Need to Introduce System Thinking in Teaching Climate Change. Sci. Educ. 2017, 25, 73–81. [Google Scholar]
- Stevenson, R.B.; Nicholls, J.; Whitehouse, H. What Is Climate Change Education? Curric. Perspect. 2017, 37, 67–71. [Google Scholar] [CrossRef]
- UNFCCC. United Nations Framework Convention on Climate Change (UNFCCC). In The Paris Agreement; UNFCCC: New York, NY, USA, 2015. [Google Scholar]
- UNCED. UN Conference on Environment and Development. In Agenda 21—Action Plan for the Next Century; UNCED: Rio de Janeiro, Brazil, 1992. [Google Scholar]
- Dawson, V. Western Australian High School Students’ Understandings about the Socioscientific Issue of Climate Change. Int. J. Sci. Educ. 2015. [Google Scholar] [CrossRef]
- Varela, B.; Sesto, V.; García-Rodeja, I. An Investigation of Secondary Students’ Mental Models of Climate Change and the Greenhouse Effect. Res. Sci. Educ. 2018. [Google Scholar] [CrossRef]
- Chang, C.H.; Pascua, L. Singapore Students’ Misconceptions of Climate Change. Int. Res. Geogr. Environ. Educ. 2016, 25, 84–96. [Google Scholar] [CrossRef]
- Karpudewan, M.; Mohd Ali Khan, N.S. Experiential-Based Climate Change Education: Fostering Students’ Knowledge and Motivation towards the Environment. Int. Res. Geogr. Environ. Educ. 2017, 26, 207–222. [Google Scholar] [CrossRef]
- Shepardson, D.P.; Roychoudhury, A.; Hirsch, A.S.; Top, S.M. Students’ Conception of a Climate System. In Teaching and Learning about Climate Change: A Framework for Educators; Shepardson, D.P., Roychoudry, A., Hirsch, A.S., Eds.; Routledge: New York, NY, USA, 2017; pp. 69–84. [Google Scholar] [CrossRef]
- Reinfried, S.; Aeschbacher, U.; Rottermann, B. Improving Students Conceptual Understanding of the Greenhouse Effect Using Theory-Based Learning Materials That Promote Deep Learning. Int. Res. Geogr. Environ. Educ. 2012, 21, 155–178. [Google Scholar] [CrossRef]
- McNeal, K.S.; Libarkin, J.C.; Ledley, T.S.; Bardar, E.; Haddad, N.; Ellins, K.; Dutta, S. The Role of Research in Online Curriculum Development: The Case of EarthLabs Climate Change and Earth System Modules. J. Geosci. Educ. 2014, 62, 560–577. [Google Scholar] [CrossRef]
- Peel, A.; Sadler, T.; Kinslow, A.; Zangori, L.; Friedrichsen, P. Climate Change as an Issue for Socio-Scientific Issues Teaching and Learning. Teach. Learn. Clim. Chang. A Framew. Educ. 2017, 153–165. [Google Scholar]
- Stevenson, K.T.; Nils Peterson, M.; Bondell, H.D. Developing a Model of Climate Change Behavior among Adolescents. Clim. Chang. 2018, 151, 589–603. [Google Scholar] [CrossRef]
- Faria, F.; Klima, K.; Posen, I.D.; Azevedo, I.M.L. A New Approach of Science, Technology, Engineering, and Mathematics Outreach in Climate Change, Energy, and Environmental Decision Making. Sustainability 2015, 8, 261–271. [Google Scholar] [CrossRef]
- Brownlee, M.T.J.; Powell, R.B.; Hallo, J.C. A Review of the Foundational Processes That Influence Beliefs in Climate Change: Opportunities for Environmental Education Research. Environ. Educ. Res. 2013, 19, 1–20. [Google Scholar] [CrossRef]
- Dijkstra, E.M.; Goedhart, M.J. Development and Validation of the ACSI: Measuring Students’ Science Attitudes, pro-Environmental Behaviour, Climate Change Attitudes and Knowledge. Environ. Educ. Res. 2012, 18, 733–749. [Google Scholar] [CrossRef]
- Rule, A.C.; Meyer, M.A. Teaching Urban High School Students Global Climate Change Information and Graph Interpretation Skills Using Evidence from the Scientific Literature. J. Geosci. Educ. 2009, 57, 335–347. [Google Scholar] [CrossRef]
- Monroe, M.C.; Plate, R.R.; Oxarart, A.; Bowers, A.; Chaves, W.A. Identifying Effective Climate Change Education Strategies: A Systematic Review of the Research. Environ. Educ. Res. 2017, 4622, 1–22. [Google Scholar] [CrossRef]
- Alexandar, R.; Poyyamoli, G. Activity-Based Water Resources and Climate Change Education Among School Students in Puducherry. In Climate Change and the Sustainable Use of Water Resources; Leal Filho, W., Ed.; Springer Berlin Heidelberg: Berlin/Heidelberg, Germany, 2012; pp. 557–578. [Google Scholar] [CrossRef]
- Pruneau, D.; Gravel, H.; Bourque, W.; Langis, J. Experimentation with a Socio-Constructivist Process for Climate Change Education. Environ. Educ. Res. 2003, 9, 429–446. [Google Scholar] [CrossRef]
- Tang, K.H.D. Climate Change in Malaysia: Trends, Contributors, Impacts, Mitigation and Adaptations. Sci. Total Environ. 2019, 650, 1858–1871. [Google Scholar] [CrossRef] [PubMed]
- Stern, P.C. Psychology and the Science of Human-Environment Interactions. Am. Psychol. 2000, 55, 523–530. [Google Scholar] [CrossRef] [PubMed]
- Steg, L.; Vlek, C. Encouraging Pro-Environmental Behaviour: An Integrative Review and Research Agenda. J. Environ. Psychol. 2009, 29, 309–317. [Google Scholar] [CrossRef]
- Kollmuss, A.; Agyeman, J. Mind the Gap: Why Do People Act Environmentally and What Are the Barriers to pro-Environmental Behavior? Environ. Educ. Res. 2002. [Google Scholar] [CrossRef]
- Burgess, J.; Harrison, C.M.; Filius, P. Environmental Communication and the Cultural Politics of Environmental Citizenship. Environ. Plan. A Econ. Sp. 1998, 30, 1445–1460. [Google Scholar] [CrossRef]
- Ajzen, I. The Theory of Planned Behavior. Organ. Behav. Hum. Decis. Process. 1991, 50, 179–211. [Google Scholar] [CrossRef]
- Bang, H.-K.; Ellinger, A.E.; Hadjimarcou, J.; Traichal, P.A. Consumer Concern, Knowledge, Belief, and Attitude toward Renewable Energy: An Application of the Reasoned Action Theory. Psychol. Mark. 2000, 17, 449–468. [Google Scholar] [CrossRef]
- Gotch, C.; Hall, T. Understanding Nature-related Behaviors among Children through a Theory of Reasoned Action Approach. Environ. Educ. Res. 2004, 10, 157–177. [Google Scholar] [CrossRef]
- Kim, S.; Jeong, S.-H.; Hwang, Y. Predictors of Pro-Environmental Behaviors of American and Korean Students: The Application of the Theory of Reasoned Action and Protection Motivation Theory. Sci. Commun. 2012, 35, 168–188. [Google Scholar] [CrossRef]
- Stern, P.C.; Dietz, T.; Abel, T.; Guagnano, G.A.; Kalof, L. A Value-Belief-Norm Theory of Support for Social Movements: The Case of Environmentalism. Hum. Ecol. Rev. 1999, 6, 81–97. [Google Scholar]
- Fielding, K.S.; Hornsey, M.J. A Social Identity Analysis of Climate Change and Environmental Attitudes and Behaviors: Insights and Opportunities. Front. Psychol. 2016, 7, 121. [Google Scholar] [CrossRef]
- Karpudewan, M. The Relationships between Values, Belief, Personal Norms, and Climate Conserving Behaviors of Malaysian Primary School Students. J. Clean. Prod. 2019, 237, 1–10. [Google Scholar] [CrossRef]
- Chen, M.-F. An Examination of the Value-Belief-Norm Theory Model in Predicting pro-Environmental Behaviour in Taiwan. Asian J. Soc. Psychol. 2015, 18, 145–151. [Google Scholar] [CrossRef]
- Huang, H. Media Use, Environmental Beliefs, Self-Efficacy, and pro-Environmental Behavior. J. Bus. Res. 2016, 69, 2206–2212. [Google Scholar] [CrossRef]
- Skamp, K.; Boyes, E.; Stannistreet, M. Global Warming Responses at the Primary Secondary Interface 1. Students’ Beliefs and Willingness to Act. Aust. J. Environ. Educ. 2009, 25, 15–30. [Google Scholar] [CrossRef]
- Lehnert, M.; Fiedor, D.; Frajer, J.; Hercik, J.; Jurek, M. Czech Students and Mitigation of Global Warming: Beliefs and Willingness to Take Action. Environ. Educ. Res. 2019, 1–26. [Google Scholar] [CrossRef]
- Cheung, L.T.O.; Chow, A.S.Y.; Fok, L.; Yu, K.-M.; Chou, K.-L. The Effect of Self-Determined Motivation on Household Energy Consumption Behaviour in a Metropolitan Area in Southern China. Energy Effic. 2017, 10, 549–561. [Google Scholar] [CrossRef]
- Van Valkengoed, A.M.; Steg, L. Meta-Analyses of Factors Motivating Climate Change Adaptation Behaviour. Nat. Clim. Chang. 2019, 9, 158–163. [Google Scholar] [CrossRef]
- Bodzin, A.M.; Anastasio, D.; Sahagian, D.; Peffer, T.; Dempsey, C.; Steelman, R. Investigating Climate Change Understandings of Urban Middle-Level Students. J. Geosci. Educ. 2014, 62, 417–430. [Google Scholar] [CrossRef]
- Karpudewan, M.; Roth, W.-M.; Chandrakesan, K. Remediating Misconception on Climate Change among Secondary School Students in Malaysia. Environ. Educ. Res. 2015, 21, 631–648. [Google Scholar] [CrossRef]
- Lee, L.-S.; Lin, K.-Y.; Guu, Y.-H.; Chang, L.-T.; Lai, C.-C. The Effect of Hands-on ‘Energy-Saving House’ Learning Activities on Elementary School Students’ Knowledge, Attitudes, and Behavior Regarding Energy Saving and Carbon-Emissions Reduction. Environ. Educ. Res. 2013, 19, 620–638. [Google Scholar] [CrossRef]
- Karpudewan, M.; Roth, W.M.; Abdullah, M.N.S.B. Enhancing Primary School Students’ Knowledge about Global Warming and Environmental Attitude Using Climate Change Activities. Int. J. Sci. Educ. 2015, 37, 31–54. [Google Scholar] [CrossRef]
- Heimlich, J.E.; Ardoin, N.M. Understanding Behavior to Understand Behavior Change: A Literature Review. Environ. Educ. Res. 2008, 14, 215–237. [Google Scholar] [CrossRef]
- Hungerford, H.R.; Volk, T.L. Changing Learner Behavior through Environmental Education. J. Environ. Educ. 1990, 21, 8–21. [Google Scholar] [CrossRef]
- Ballantyne, R.; Fien, J.; Packer, J. Program Effectiveness in Facilitating Intergenerational Influence in Environmental Education: Lessons From the Field. J. Environ. Educ. 2001, 32, 8–15. [Google Scholar] [CrossRef]
- Harness, H.; Drossman, H. The Environmental Education through Filmmaking Project. Environ. Educ. Res. 2011, 17, 829–849. [Google Scholar] [CrossRef]
- Braun, T.; Dierkes, P. Evaluating Three Dimensions of Environmental Knowledge and Their Impact on Behaviour. Res. Sci. Educ. 2019, 49, 1347–1365. [Google Scholar] [CrossRef]
- Wi, A.; Chang, C.H. Promoting Pro-Environmental Behaviour in a Community in Singapore–from Raising Awareness to Behavioural Change. Environ. Educ. Res. 2019, 25, 1019–1037. [Google Scholar] [CrossRef]
- Anyanwu, R.; Le Grange, L.; Beets, P. Climate Change Science: The Literacy of Geography Teachers in the Western Cape Province, South Sfrica. S. Afr. J. Educ. 2015, 35, 1–9. [Google Scholar] [CrossRef]
- Halady, I.R.; Rao, P.H. Does Awareness to Climate Change Lead to Behavioral Change? Int. J. Clim. Chang. Strateg. Manag. 2010, 2, 6–22. [Google Scholar] [CrossRef]
- Frick, J.; Kaiser, F.G.; Wilson, M. Environmental Knowledge and Conservation Behavior: Exploring Prevalence and Structure in a Representative Sample. Personal. Individ. Differ. 2004, 37, 1597–1613. [Google Scholar] [CrossRef]
- Bofferding, L.; Kloser, M. Middle and High School Students’ Conceptions of Climate Change Mitigation and Adaptation Strategies. Environ. Educ. Res. 2015, 21, 275–294. [Google Scholar] [CrossRef]
- Shepardson, D.P.; Niyogi, D.; Choi, S.; Charusombat, U. Seventh Grade Students’ Conceptions of Global Warming and Climate Change. Environ. Educ. Res. 2009, 15, 549–570. [Google Scholar] [CrossRef]
- Kilinc, A.; Stanisstreet, M.; Boyes, E. Turkish Students’ Ideas about Global Warming. Int. J. Environ. Sci. Educ. 2008, 3, 89–98. [Google Scholar]
- Dunlap, R.E.; Van Liere, K.D. The “New Environmental Paradigm”. J. Environ. Educ. 1978, 9, 10–19. [Google Scholar] [CrossRef]
- Gagnon Thompson, S.C.; Barton, M.A. Ecocentric and Anthropocentric Attitudes toward the Environment. J. Environ. Psychol. 1994, 14, 149–157. [Google Scholar] [CrossRef]
- Fielding, K.S.; Head, B.W. Determinants of Young Australians’ Environmental Actions: The Role of Responsibility Attributions, Locus of Control, Knowledge and Attitudes. Environ. Educ. Res. 2012, 18, 171–186. [Google Scholar] [CrossRef]
- Schutte, N.S.; Bhullar, N. Approaching Environmental Sustainability: Perceptions of Self-Efficacy and Changeability. J. Psychol. 2017, 151, 321–333. [Google Scholar] [CrossRef] [PubMed]
- Dunlap, R.E.; Van Liere, K.D.; Mertig, A.G.; Jones, R.E. New Trends in Measuring Environmental Attitudes: Measuring Endorsement of the New Ecological Paradigm: A Revised NEP Scale. J. Soc. Issues 2000, 56, 425–442. [Google Scholar] [CrossRef]
- Hawcroft, L.J.; Milfont, T.L. The Use (and Abuse) of the New Environmental Paradigm Scale over the Last 30 Years: A Meta-Analysis. J. Environ. Psychol. 2010, 30, 143–158. [Google Scholar] [CrossRef]
- Dunlap, R.E. The New Environmental Paradigm Scale: From Marginality to Worldwide Use. J. Environ. Educ. 2008, 40, 3–18. [Google Scholar] [CrossRef]
- Landon, A.C.; Woosnam, K.M.; Keith, S.J.; Tarrant, M.A.; Rubin, D.M.; Ling, S.T. Understanding and Modifying Beliefs about Climate Change through Educational Travel. J. Sustain. Tour. 2019, 27, 292–307. [Google Scholar] [CrossRef]
- Vainio, A.; Paloniemi, R. Does Belief Matter in Climate Change Action? Public Underst. Sci. 2011, 22, 382–395. [Google Scholar] [CrossRef]
- Christensen, R.; Knezek, G. Impact of Middle School Student Energy Monitoring Activities on Climate Change Beliefs and Intentions. Sch. Sci. Math. 2018, 118, 43–52. [Google Scholar] [CrossRef]
- Ryan, R.M.; Deci, E.L. Self-Determination Theory and the Facilitation of Intrinsic Motivation, Social Development, and Well-Being. Am. Psychol. 2000, 55, 68–78. [Google Scholar] [CrossRef]
- Ryan, R.M.; Deci, E.L. Overview of Self-Determination Theory: An Organismic-Dialectical Perspective. In Handbook of Self-Determination Research; University of Rochester Press: Rochester, NY, USA, 2002; pp. 3–33. [Google Scholar]
- Osbaldiston, R.; Sheldon, K.M. Promoting Internalized Motivation for Environmentally Responsible Behavior: A Prospective Study of Environmental Goals. J. Environ. Psychol. 2003, 23, 349–357. [Google Scholar] [CrossRef]
- Cooke, A.N.; Fielding, K.S.; Louis, W.R. Environmentally Active People: The Role of Autonomy, Relatedness, Competence and Self-Determined Motivation. Environ. Educ. Res. 2016, 22, 631–657. [Google Scholar] [CrossRef]
- Karpudewan, M.; Roth, W.M.; Ismail, Z. The Effects of “Green Chemistry” on Secondary School Students’ Understanding and Motivation. Asia Pac. Educ. Res. 2013, 24, 35–43. [Google Scholar] [CrossRef]
- Shafiei, A.; Maleksaeidi, H. Pro-Environmental Behavior of University Students: Application of Protection Motivation Theory. Glob. Ecol. Conserv. 2020, 22, e00908. [Google Scholar] [CrossRef]
- Pongiglione, F. Motivation for Adopting Pro-Environmental Behaviors: The Role of Social Context. Ethics Policy Environ. 2014, 17, 308–323. [Google Scholar] [CrossRef]
- Carrico, A.R. Motivating Pro-Environmental Behavior: The Use of Feedback and Peer Education to Promote Energy Conservation in an Organizational Setting; Vanderbilt University: Nashville, TN, USA, 2009. [Google Scholar]
- Balundė, A.; Perlaviciute, G.; Steg, L. The Relationship Between People’s Environmental Considerations and Pro-Environmental Behavior in Lithuania. Front. Psychol. 2019, 10, 2319. [Google Scholar] [CrossRef]
- Van der Linden, S. Intrinsic Motivation and Pro-Environmental Behaviour. Nat. Clim. Chang. 2015, 5, 612–613. [Google Scholar] [CrossRef]
- Ringle, C.M.; Wende, S.; Becker, J.-M. “SmartPLS 3.” Boenningstedt SmartPLS GmbH 2015. Available online: http://www.smartpls.com (accessed on 6 March 2020).
- Hair, J.F.; Sarstedt, M.; Ringle, C.M.; Gudergan, S.P. Advanced Issues in Partial Least Squares Structural Equation Modeling; SAGE: Thousands Oaks, CA, USA, 2017. [Google Scholar]
- Arslan, H.O.; Cigdemoglu, C.; Moseley, C. A Three-Tier Diagnostic Test to Assess Pre-Service Teachers’ Misconceptions about Global Warming, Greenhouse Effect, Ozone Layer Depletion, and Acid Rain. Int. J. Sci. Educ. 2012, 34, 1667–1686. [Google Scholar] [CrossRef]
- Libarkin, J.C.; Gold, A.U.; Harris, S.E.; McNeal, K.S.; Bowles, R.P. A New, Valid Measure of Climate Change Understanding: Associations with Risk Perception. Clim. Chang. 2018, 150, 403–416. [Google Scholar] [CrossRef]
- Pelletier, L.G.; Tuson, K.M.; Green-Demers, I.; Noels, K.; Beaton, A.M. Why Are You Doing Things for the Environment? The Motivation Toward the Environment Scale (MTES)1. J. Appl. Soc. Psychol. 1998, 28, 437–468. [Google Scholar] [CrossRef]
- Hoppe, I.; Taddicken, M.; Reif, A. What Do People Know about Climate Change—And How Confident Are They? On Measurements and Analyses of Science Related Knowledge. J. Sci. Commun. 2018, 17, 1–26. [Google Scholar]
- Darner, R. An Empirical Test of Self-Determination Theory as a Guide to Fostering Environmental Motivation. Environ. Educ. Res. 2012, 18, 463–472. [Google Scholar] [CrossRef]
- Hair, J.F.; Ringle, C.M.; Sarstedt, M. PLS-SEM: Indeed a Silver Bullet. J. Mark. Theory Pract. 2011, 19, 139–152. [Google Scholar] [CrossRef]
- Hair, J.F.; Hult, G.T.M.; Ringle, C.; Sarstedt, M. A Primer on Partial Least Squares Structural Equation Modeling (PLS-SEM), 2nd ed.; Sage: Thousands Oaks, CA, USA, 2017. [Google Scholar]
- Hair, J.F.; Babin, B.J.; Krey, N. Covariance-Based Structural Equation Modeling in the Journal of Advertising: Review and Recommendations. J. Advert. 2017, 46, 163–177. [Google Scholar] [CrossRef]
- Fornell, C.; Larcker, D.F. Evaluating Structural Equation Models with Unobservable Variables and Measurement Error. J. Mark. Res. 1981, 18, 39–50. [Google Scholar] [CrossRef]
- Henseler, J.; Ringle, C.M.; Sarstedt, M. A New Criterion for Assessing Discriminant Validity in Variance-Based Structural Equation Modeling. J. Acad. Mark. Sci. 2015, 43, 115–135. [Google Scholar] [CrossRef]
- Gold, A.H.; Malhotra, A.; Segars, A.H. Knowledge Management: An Organizational Capabilities Perspective. J. Manag. Inf. Syst. 2001, 18, 185–214. [Google Scholar] [CrossRef]
- Kline, R.B. Principles and Practice of Structural Equation Modeling; Guilford Publications: New York, NY, USA, 2015. [Google Scholar]
- Kock, N.; Lynn, G.S. Lateral Collinearity and Misleading Results in Variance-Based SEM: An Illustration and Recommendations. J. Assoc. Inf. Syst. 2012, 13, 546–580. [Google Scholar] [CrossRef]
- Ramayah, T.; Cheah, J.; Chuah, F.; Ting, H.; Memon, M.A. Partial Least Squares Structural Equation Modeling (PLS-SEM) Using SmartPLS 3.0: An Updated and Practical Guide to Statistical Analysis, 2nd ed.; Singapore: Pearson, GA, USA, 2018. [Google Scholar]
- Cohen, J. Statistical Power Analysis for the Behavioral Sciences, 2nd ed.; Lawrence Erlbaum Associates: Hillsdale, NJ, USA, 1988. [Google Scholar]
- Fornell, C.; Cha, J. Partial Least Squares. In Advanced Methods of Marketing Research; Bagozzi, R., Ed.; Blackwell: Hoboken, NJ, USA, 1994; pp. 52–78. [Google Scholar]
- Kim, M.-S.; Kim, J.; Thapa, B. Influence of Environmental Knowledge on Affect, Nature Affiliation and Pro-Environmental Behaviors among Tourists. Sustainability 2018, 10, 3109. [Google Scholar] [CrossRef]
- Ministry of Education Malaysia [MOE]. Secondary School Standard Curriculum: Form 2 Science Curriculum and Assessment Standard Document; Curriculum Development Centre, Ministry of Education: Putrajaya, Malaysia, 2016. [Google Scholar]


| Antecedents | Subscales | Sources | No of Items |
| Knowledge | Global Warming | [89,90] | 5 |
| Greenhouse Effect | 3 | ||
| Ozone Layer Depletion | 4 | ||
| Acid Rain | 3 | ||
| Weather and Climate | 3 | ||
| Ocean and Climate Change | 3 | ||
| Land and Climate Change | 4 | ||
| Belief | Limits to Growth | New Ecological Paradigm (NEP) Scale [71] | 3 |
| Anti-anthropocentrism | 3 | ||
| Balance of Nature | 3 | ||
| Rejection of Exemptionalism | 3 | ||
| Eco-crisis | 3 | ||
| Motivation | Intrinsic Motivation | Motivation Toward the Environment Scale (MTES) [91] | 4 |
| Integrated Regulation | 4 | ||
| Identified Regulation | 4 | ||
| Introjected Regulation | 4 | ||
| External Regulation | 4 | ||
| Amotivation | 4 | ||
| Climate Conserving Behavior | Self-Reported Climate Conserving Behaviors [28] | 8 |
| Construct | Items | Loadings | AVE | CR |
|---|---|---|---|---|
| Knowledge | K1 | 0.890 | 0.508 | 0.942 |
| K2 | 0.627 | |||
| K3 | 0.802 | |||
| K4 | 0.730 | |||
| K5 | 0.680 | |||
| K6 | 0.730 | |||
| K7 | 0.630 | |||
| K8 | 0.810 | |||
| K9 | 0.779 | |||
| K10 | 0.738 | |||
| K12 | 0.713 | |||
| K14 | 0.793 | |||
| K15 | 0.614 | |||
| K18 | 0.580 | |||
| K22 | 0.627 | |||
| K23 | 0.532 | |||
| Belief | B1 | 0.651 | 0.585 | 0.954 |
| B2 | 0.802 | |||
| B3 | 0.751 | |||
| B4 | 0.863 | |||
| B5 | 0.702 | |||
| B6 | 0.833 | |||
| B7 | 0.768 | |||
| B8 | 0.841 | |||
| B9 | 0.759 | |||
| B10 | 0.818 | |||
| B11 | 0.667 | |||
| B12 | 0.782 | |||
| B13 | 0.676 | |||
| B14 | 0.811 | |||
| B 15 | 0.704 | |||
| Motivation | M1 | 0.909 | 0.692 | 0.981 |
| M2 | 0.858 | |||
| M3 | 0.788 | |||
| M4 | 0.945 | |||
| M5 | 0.949 | |||
| M6 | 0.927 | |||
| M7 | 0.906 | |||
| M8 | 0.846 | |||
| M9 | 0.804 | |||
| M10 | 0.875 | |||
| M11 | 0.702 | |||
| M12 | 0.921 | |||
| M13 | 0.795 | |||
| M14 | 0.870 | |||
| M15 | 0.678 | |||
| M16 | 0.888 | |||
| M18 | 0.578 | |||
| M19 | 0.515 | |||
| M20 | 0.643 | |||
| M21 | 0.909 | |||
| M22 | 0.843 | |||
| M23 | 0.918 | |||
| M24 | 0.87 | |||
| Climate Conserving Behaviors | PEB1 | 0.798 | 0.602 | 0.923 |
| PEB2 | 0.845 | |||
| PEB3 | 0.674 | |||
| PEB4 | 0.844 | |||
| PEB5 | 0.746 | |||
| PEB6 | 0.71 | |||
| PEB7 | 0.836 | |||
| PEB8 | 0.735 |
| Belief | Knowledge | Motivation | CCB | |
|---|---|---|---|---|
| Belief | 0.765 | |||
| Knowledge | −0.010 | 0.713 | ||
| Motivation | 0.331 | 0.336 | 0.832 | |
| CCB | 0.474 | 0.438 | 0.734 | 0.776 |
| Belief | Knowledge | Motivation | CCB | |
|---|---|---|---|---|
| B1 | 0.651 | −0.075 | 0.213 | 0.292 |
| B10 | 0.818 | −0.039 | 0.244 | 0.424 |
| B11 | 0.667 | −0.080 | 0.192 | 0.305 |
| B12 | 0.782 | 0.080 | 0.202 | 0.376 |
| B13 | 0.676 | −0.081 | 0.202 | 0.199 |
| B14 | 0.811 | 0.149 | 0.338 | 0.462 |
| B15 | 0.704 | −0.074 | 0.212 | 0.214 |
| B2 | 0.802 | 0.084 | 0.390 | 0.476 |
| B3 | 0.751 | −0.035 | 0.223 | 0.319 |
| B4 | 0.863 | −0.029 | 0.221 | 0.427 |
| B5 | 0.702 | −0.113 | 0.257 | 0.280 |
| B6 | 0.833 | −0.015 | 0.233 | 0.394 |
| B7 | 0.768 | −0.031 | 0.231 | 0.256 |
| B8 | 0.841 | −0.032 | 0.320 | 0.461 |
| B9 | 0.759 | 0.000 | 0.225 | 0.266 |
| K1 | −0.056 | 0.890 | 0.316 | 0.375 |
| K10 | 0.024 | 0.738 | 0.206 | 0.350 |
| K12 | −0.013 | 0.713 | 0.159 | 0.296 |
| K14 | 0.037 | 0.793 | 0.331 | 0.382 |
| K15 | 0.049 | 0.614 | 0.151 | 0.28 |
| K18 | 0.026 | 0.580 | 0.143 | 0.264 |
| K2 | 0.024 | 0.627 | 0.227 | 0.203 |
| K22 | 0.04 | 0.532 | 0.181 | 0.154 |
| K23 | −0.025 | 0.654 | 0.252 | 0.282 |
| K3 | −0.063 | 0.802 | 0.266 | 0.284 |
| K4 | 0.042 | 0.730 | 0.195 | 0.266 |
| K5 | 0.044 | 0.680 | 0.228 | 0.296 |
| K6 | −0.087 | 0.730 | 0.324 | 0.387 |
| K7 | −0.071 | 0.630 | 0.200 | 0.287 |
| K8 | 0.000 | 0.810 | 0.252 | 0.328 |
| K9 | −0.022 | 0.779 | 0.311 | 0.398 |
| M1 | 0.235 | 0.206 | 0.909 | 0.546 |
| M10 | 0.369 | 0.352 | 0.875 | 0.777 |
| M11 | 0.136 | 0.005 | 0.702 | 0.278 |
| M12 | 0.368 | 0.384 | 0.921 | 0.743 |
| M13 | 0.029 | 0.132 | 0.795 | 0.304 |
| M14 | 0.223 | 0.229 | 0.870 | 0.510 |
| M15 | 0.016 | 0.037 | 0.678 | 0.183 |
| M16 | 0.207 | 0.283 | 0.888 | 0.559 |
| M18 | 0.44 | 0.474 | 0.578 | 0.806 |
| M19 | 0.359 | 0.269 | 0.515 | 0.573 |
| M2 | 0.144 | 0.211 | 0.858 | 0.492 |
| M20 | −0.034 | −0.001 | 0.643 | 0.157 |
| M21 | 0.230 | 0.233 | 0.909 | 0.597 |
| M22 | 0.299 | 0.22 | 0.843 | 0.586 |
| M23 | 0.218 | 0.271 | 0.918 | 0.622 |
| M24 | 0.141 | 0.215 | 0.870 | 0.515 |
| M3 | 0.131 | 0.059 | 0.788 | 0.390 |
| M4 | 0.276 | 0.276 | 0.945 | 0.629 |
| M5 | 0.328 | 0.309 | 0.949 | 0.666 |
| M6 | 0.288 | 0.317 | 0.927 | 0.642 |
| M7 | 0.257 | 0.279 | 0.906 | 0.597 |
| M8 | 0.395 | 0.35 | 0.846 | 0.755 |
| M9 | 0.415 | 0.452 | 0.804 | 0.825 |
| CCB1 | 0.303 | 0.307 | 0.791 | 0.798 |
| CCB2 | 0.384 | 0.432 | 0.701 | 0.845 |
| CCB3 | 0.308 | 0.272 | 0.423 | 0.674 |
| CCB4 | 0.431 | 0.407 | 0.496 | 0.844 |
| CCB5 | 0.415 | 0.357 | 0.447 | 0.746 |
| CCB6 | 0.324 | 0.165 | 0.463 | 0.71 |
| CCB7 | 0.435 | 0.367 | 0.647 | 0.836 |
| CCB8 | 0.343 | 0.369 | 0.466 | 0.735 |
| Belief | Knowledge | Motivation | CCB | |
|---|---|---|---|---|
| Belief | ||||
| Knowledge | 0.122 | |||
| Motivation | 0.296 | 0.314 | ||
| CCB | 0.481 | 0.457 | 0.692 |
| Construct | Belief | Knowledge | Motivation | CCB (VIF) |
|---|---|---|---|---|
| Belief | 1.145 | |||
| Knowledge | 1.149 | |||
| Motivation | 1.291 | |||
| CCB |
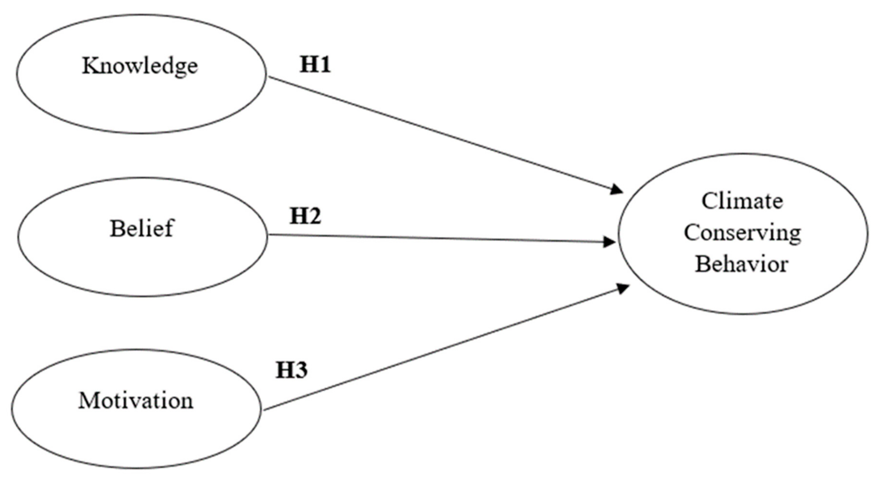
| Hypothesis | Relationship | Std Beta | Std Error | t-Value | Decision | R2 | f2 | Q2 | q2 |
|---|---|---|---|---|---|---|---|---|---|
| H1 | Knowledge -> CCB | 0.259 | 0.038 | 6.644 * | Supported | 0.655 | 0.165 | 0.383 | 0.057 |
| H2 | Belief -> CCB | 0.295 | 0.033 | 8.849 * | Supported | 0.218 | 0.078 | ||
| H3 | Motivation -> CCB | 0.546 | 0.038 | 14.693 * | Supported | 0.683 | 0.216 |
Publisher’s Note: MDPI stays neutral with regard to jurisdictional claims in published maps and institutional affiliations. |
© 2020 by the authors. Licensee MDPI, Basel, Switzerland. This article is an open access article distributed under the terms and conditions of the Creative Commons Attribution (CC BY) license (http://creativecommons.org/licenses/by/4.0/).
Share and Cite
Mohamed Ali Khan, N.S.; Karpudewan, M.; Annamalai, N. Moving Beyond the One-Size-Fits-All Model in Describing the Climate Conserving Behaviors of Malaysian Secondary Students. Sustainability 2021, 13, 18. https://doi.org/10.3390/su13010018
Mohamed Ali Khan NS, Karpudewan M, Annamalai N. Moving Beyond the One-Size-Fits-All Model in Describing the Climate Conserving Behaviors of Malaysian Secondary Students. Sustainability. 2021; 13(1):18. https://doi.org/10.3390/su13010018
Chicago/Turabian StyleMohamed Ali Khan, Nur Sabrina, Mageswary Karpudewan, and Nagaletchimee Annamalai. 2021. "Moving Beyond the One-Size-Fits-All Model in Describing the Climate Conserving Behaviors of Malaysian Secondary Students" Sustainability 13, no. 1: 18. https://doi.org/10.3390/su13010018
APA StyleMohamed Ali Khan, N. S., Karpudewan, M., & Annamalai, N. (2021). Moving Beyond the One-Size-Fits-All Model in Describing the Climate Conserving Behaviors of Malaysian Secondary Students. Sustainability, 13(1), 18. https://doi.org/10.3390/su13010018

