Observational Study on the Impact of Large-Scale Photovoltaic Development in Deserts on Local Air Temperature and Humidity
Abstract
1. Introduction
2. Study Area and Method
2.1. Overview of the Study Area
2.2. Study Method
3. Results and Analysis
3.1. Temperature Variations
3.1.1. Diurnal Temperature Variations
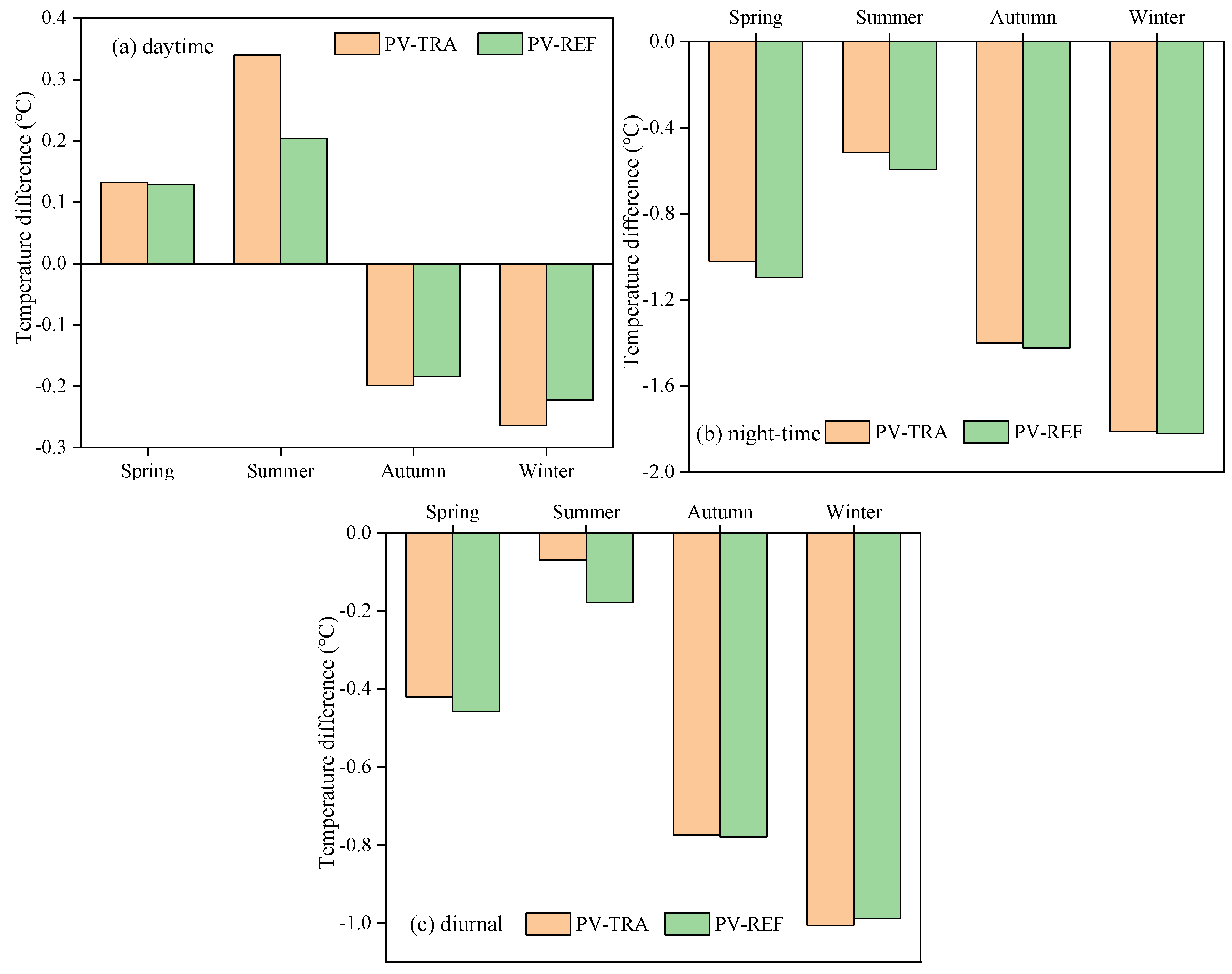
3.1.2. Daytime and Night-Time Variations in Temperature Difference
3.1.3. Variations in the Diurnal Temperature Range
3.2. Variations in Relative Humidity
3.2.1. Diurnal Variations in Relative Humidity
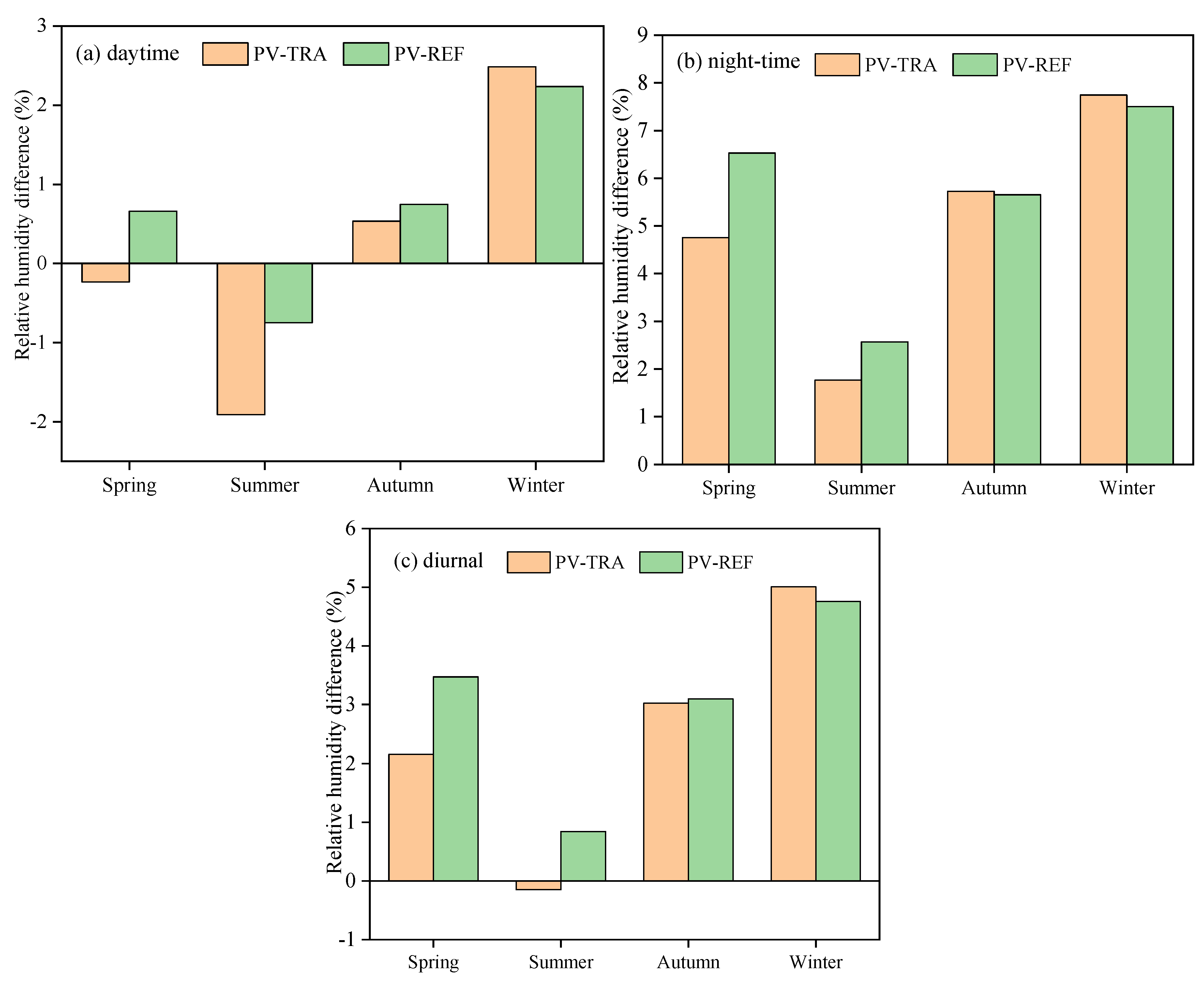
3.2.2. Daytime and Night-Time Variations in Relative Humidity Difference
3.2.3. Variations in the Diurnal Relative Humidity Ranges
4. Discussion
4.1. Impact of the PV Power Plant on Local Temperature
4.2. Impact of the PV Power Plant on Local Humidity
5. Conclusions
Author Contributions
Funding
Conflicts of Interest
References
- Petrolium, B. Statistical Review of World Energy 2014. In BP Statistical Review of World Energy; BP plc: London, UK, 2014. [Google Scholar]
- Donovan, J. IAEA’s Grossi at COP 25: More nuclear power needed for clean energy transition. Org. Int. Energía Atómica Bol. 2020, 61, 30. [Google Scholar]
- Atse, L.; van Sark, W. Chapter 5-Photovoltaic solar energy. In Technological Learning in the Transition to A Low-Carbon Energy System; Academic Press: Cambridge, MA, USA, 2020; pp. 65–86. [Google Scholar]
- Choudhary, P.; Srivastava, R.K. Sustainability perspectives-a review for solar photovoltaic trends and growth opportunities. J. Clean. Prod. 2019, 227, 589–612. [Google Scholar] [CrossRef]
- Sawin, J.L.; Sverrisson, F.; Rickerson, W. Renewables 2014 global status report. In REN21 Secretariat; REN21: Paris, France, 2014. [Google Scholar]
- International Energy Agency. Global Energy & CO2 Status Report 2017. In Global Energy & CO2 Status Report; International Energy Agency: New York, NY, USA; Edmonton, AB, Canada, 2018; pp. 1–14. [Google Scholar]
- International Energy Agency. 2018 World Energy Outlook: Executive Summary. In Oecd/Iea; International Energy Agency: New York, NY, USA; Edmonton, AB, Canada, 2018; p. 11. [Google Scholar]
- Dai, S.Y.; Niu, D.X.; Han, Y.R. Forecasting of energy-related CO2 emissions in China based on GM(1,1) and least squares support vector machine optimized by modified shuffled frog leaping algorithm for sustainability. Sustainability 2018, 10, 958. [Google Scholar] [CrossRef]
- Hao, C.; Duo-jie, D.C. Research of solar energy development of Qinghai Province. J. Qinghai Norm. Univ. Soc. Sci. Ed. 2011, 33, 17–19. [Google Scholar]
- Burg, B.R.; Ruch, P.; Paredes, S.; Michel, B. Placement and efficiency effects on radiative forcing of solar installations. In AIP Conference Proceedings American; Institute of Physics Inc.: London, UK, 2015; p. 1679. [Google Scholar]
- Oke, T.R. The energetic basis of the urban heat island. Q. J. R. Meteorol. Soc. 1982, 108, 1–24. [Google Scholar] [CrossRef]
- Masson, V.; Bonhomme, M.; Salagnac, J.-L.; Briottet, X.; Lemonsu, A. Solar panels reduce both global warming and urban heat island. Front. Environ. Sci. 2014, 2, 14. [Google Scholar] [CrossRef]
- Salamanca, F.; Georgescu, M.; Mahalov, A.; Moustaoui, M.; Martilli, A. Citywide impacts of cool roof and rooftop solar photovoltaic deployment on near-surface air temperature and cooling energy demand. Bound. Layer Meteorol. 2016, 161, 203–221. [Google Scholar] [CrossRef]
- Li, Y.; Kalnay, E.; Motesharrei, S.; Rivas, J.; Kucharski, F.; Kirk-Davidoff, D.; Bach, E.; Zeng, N. Climate model shows large-scale wind and solar farms in the Sahara increase rain and vegetation. Science. 2018, 361, 1019–1022. [Google Scholar] [CrossRef]
- Barron-Gafford, G.A.; Minor, R.L.; Allen, N.A.; Cronin, A.D.; Brooks, A.E.; Pavao-Zuckerman, M.A. The Photovoltaic Heat Island Effect: Larger solar power plants increase local temperatures. Sci. Rep. 2016, 6, 35070. [Google Scholar] [CrossRef]
- Broadbent, A.M.; Krayenhoff, E.S.; Georgescu, M.; Sailor, D.J. The observed effects of utility-scale photovoltaics on near-surface air temperature and energy balance. J. Appl. Meteorol. Climatol. 2019, 58, 989–1006. [Google Scholar] [CrossRef]
- Gao, X.Q.; Yang, L.W.; Lv, F. Observational study on the impact of the large solar farm on air temperature and humidity in desert areas of Golmud. Acta Energ. Sol. Sin. 2016, 11, 2909–2915. [Google Scholar]
- Yin, D.Y.; Ma, L.; Qu, J.J.; Zhao, S.P.; Yu, Y.; Tan, L.; Xiao, J. Effect of large photovoltaic power station on microclimate of desert region in Gonghe Basin. Bull. Soil Water Conserv. 2017, 37, 15–21. [Google Scholar]
- Chang, R.; Shen, Y.B.; Luo, Y.; Wang, B.; Yang, Z.B.; Guo, P. Observed surface radiation and temperature impacts from the large-scale deployment of photovoltaics in the barren area of Gonghe, China. Renew. Energy 2018, 118, 131–137. [Google Scholar] [CrossRef]
- Miao, Y.C.; Guo, J.P.; Liu, S.H.; Liu, H.; Li, Z.Q.; Zhang, W.C.; Zhai, P.M. Classification of summertime synoptic patterns in Beijing and their associations with boundary layer structure affecting aerosol pollution. Atmos. Chem. Phys. 2017, 17, 3097–3110. [Google Scholar] [CrossRef]
- Zhai, B. Characteristics of Leymus Chinensis Community in Photovoltaic Power Station and its Influence Mechanism. Master’s Thesis, Inner Mongolia Agricultural University, Hohhot, Inner Mongolia, 2019. [Google Scholar]
- Lu, X. The Environmental Effect Analysis of PV Power Plant Construction in Desert Gobbi-take Dongdongtan Million Kiloweatt Solar Power Demonstration Base, Jiuquan City as An Example. Master’s Thesis, Lanzhou University, Lanzhou, China, 2013. [Google Scholar]
- Asl-Soleimani, E.; Farhangi, S.; Zabihi, M.S. The effect of tilt angle, air pollution on performance of photovoltaic systems in Tehran. Renew. Energy 2001, 24, 459–468. [Google Scholar] [CrossRef]
- Shao, L.Y.; Dong, G.R.; Jin, J.; Gao, S.Y. Preliminary research on the necessity and possibility of developing ecological agriculture in Gonghe Basin, Qinghai Province. J. Nat. Resour. 1988, 3, 130–140. [Google Scholar]
- Yang, Y.H.; Piao, S.L. Variations in grassland vegetation cover in relation to climatic factors on the Tibetan Plateau. J. Plant Ecol. 2006, 30, 1–8. [Google Scholar]
- Yang, L.W.; Gao, X.Q.; Lv, F.; Hui, X.Y.; Ma, L.Y.; Hou, X.H. Study on the local climatic effects of large photovoltaic solar farms in desert areas. Sol. Energy 2017, 144, 244–253. [Google Scholar] [CrossRef]
- Fthenakis, V.; Yu, Y. Analysis of the potential for a heat island effect in large solar farms. In Proceedings of the 2013 IEEE 39th Photovoltaic Specialists Conference, Tampa, FL, USA, 16–21 June 2013. [Google Scholar]
- Wu, Z.; Dijkstra, P.; Koch, G.W.; Hungate, B.A. Biogeochemical and ecological feedbacks in grassland responses to warming. Nat. Clim. Chang. 2012, 2, 458–461. [Google Scholar] [CrossRef]
- Covey-Crump, E.M.; Attwood, R.G.; Atkin, O.K. Regulation of root respiration in two species of Plantago that differ in relative growth rate: The effect of short-and long-term changes in temperature. Plant. Cell Environ. 2002, 25, 1501–1513. [Google Scholar] [CrossRef]
- Peng, S.; Huang, J.; Sheehy, J.E.; Laza, R.C.; Visperas, R.M.; Zhong, X.; Centeno, G.S.; Khush, G.S.; Cassman, K.G. Rice yields decline with higher night temperature from global warming. Proc. Natl. Acad. Sci. USA 2004, 101, 9971–9975. [Google Scholar] [CrossRef] [PubMed]
- Shi, J.A.; Liu, Y.H.; Han, Q.F.; Jia, Z.K. Relationship between phonological phase and thermal conditions for alfalfa. J. Northwest A F Univ. 2009, 37, 39–46. [Google Scholar]
- Wang, S.C. Speed-up development of PV to ensure sustainable energy supply in China. Strategy Study CAE 2011, 13, 51–62. [Google Scholar]
- Wei, Z.J.; Han, G.D.; Zhao, G.; Li, D.X. Study on Desert Grassland Ecosystem in China; Science Press: Beijing, China, 2013. [Google Scholar]
- Cui, Y.; Chen, Z.H. Research progresses of the impacts of photovoltaic power plants on local climate. Adv. Clim. Chang. Res. 2018, 14, 593–601. [Google Scholar]






| Month | 2019/1 | 2 | 3 | 4 | 5 | 6 | 7 | 8 | 9 | 10 | 11 | 12 |
|---|---|---|---|---|---|---|---|---|---|---|---|---|
| PV site | 17.36 | 15.76 | 15.63 | 18.46 | 14.19 | 11.60 | 13.57 | 13.17 | 12.92 | 14.31 | 17.37 | 19.72 |
| TZ site | 15.52 | 13.90 | 14.65 | 16.75 | 12.90 | 10.27 | 11.60 | 11.40 | 10.45 | 12.76 | 14.78 | 17.51 |
| REF site | 15.91 | 14.54 | 15.37 | 17.05 | 13.01 | 10.60 | 12.02 | 12.06 | 11.64 | 12.64 | 15.66 | 17.56 |
| PV-TZ/PV (%) | 10.59 | 11.81 | 6.32 | 9.27 | 9.13 | 11.51 | 14.50 | 13.47 | 19.11 | 10.80 | 14.90 | 11.19 |
| PV-REF/PV (%) | 8.33 | 7.76 | 1.72 | 7.66 | 8.35 | 8.65 | 11.37 | 8.48 | 9.93 | 11.66 | 9.81 | 10.95 |
| Month | 2019/1 | 2 | 3 | 4 | 5 | 6 | 7 | 8 | 9 | 10 | 11 | 12 |
|---|---|---|---|---|---|---|---|---|---|---|---|---|
| PV site | 50.17 | 51.33 | 58.81 | 62.02 | 65.61 | 55.46 | 60.80 | 57.32 | 57.66 | 59.65 | 56.44 | 52.83 |
| TZ site | 44.69 | 47.30 | 53.73 | 55.42 | 60.62 | 50.42 | 57.00 | 54.00 | 49.28 | 54.86 | 48.73 | 42.72 |
| REF site | 46.84 | 47.23 | 52.81 | 54.53 | 59.52 | 52.05 | 58.27 | 55.23 | 54.38 | 56.99 | 52.49 | 46.50 |
| PV-TZ/PV (%) | 10.92 | 7.85 | 8.64 | 10.63 | 7.60 | 9.08 | 6.25 | 5.79 | 14.53 | 8.03 | 13.66 | 19.13 |
| PV-REF/PV (%) | 6.63 | 7.99 | 10.21 | 12.08 | 9.28 | 6.14 | 4.16 | 3.65 | 5.69 | 4.47 | 7.01 | 11.98 |
© 2020 by the authors. Licensee MDPI, Basel, Switzerland. This article is an open access article distributed under the terms and conditions of the Creative Commons Attribution (CC BY) license (http://creativecommons.org/licenses/by/4.0/).
Share and Cite
Wu, W.; Yue, S.; Zhou, X.; Guo, M.; Wang, J.; Ren, L.; Yuan, B. Observational Study on the Impact of Large-Scale Photovoltaic Development in Deserts on Local Air Temperature and Humidity. Sustainability 2020, 12, 3403. https://doi.org/10.3390/su12083403
Wu W, Yue S, Zhou X, Guo M, Wang J, Ren L, Yuan B. Observational Study on the Impact of Large-Scale Photovoltaic Development in Deserts on Local Air Temperature and Humidity. Sustainability. 2020; 12(8):3403. https://doi.org/10.3390/su12083403
Chicago/Turabian StyleWu, Wei, Shengjuan Yue, Xiaode Zhou, Mengjing Guo, Jiawei Wang, Lei Ren, and Bo Yuan. 2020. "Observational Study on the Impact of Large-Scale Photovoltaic Development in Deserts on Local Air Temperature and Humidity" Sustainability 12, no. 8: 3403. https://doi.org/10.3390/su12083403
APA StyleWu, W., Yue, S., Zhou, X., Guo, M., Wang, J., Ren, L., & Yuan, B. (2020). Observational Study on the Impact of Large-Scale Photovoltaic Development in Deserts on Local Air Temperature and Humidity. Sustainability, 12(8), 3403. https://doi.org/10.3390/su12083403
