Improved Serviceability and Environmental Performance of One-Way Slabs through the Use of Layered Natural and Recycled Aggregate Concrete
Abstract
1. Introduction
2. Parametric Study of Layered One-Way Slab Deflections
2.1. OpenSees Modeling of Time-Dependent Behavior
2.2. Concrete Types and Constitutive Relations
2.3. Formulation of the Parametric Study and Modeling
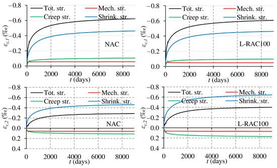
2.4. Parametric Analysis Results
2.4.1. Simply Supported One-Way Slabs
2.4.2. Continuous One-Way Slabs
3. LCA of Homogeneous and Layered One-Way Slabs
3.1. LCA Model
3.2. LCIA Results
4. Conclusions
- Within the considered parametric study, the largest influence on the time-dependent service-load deflection behavior of one-way slabs was exerted by relative humidity, as its decrease significantly increased creep and shrinkage; the quasi-permanent-to-design load ratio had a moderate effect on the results, whereas the change in concrete strength class from C25/30 to C30/37 did not have a significant effect.
- For both simply supported and continuous homogeneous one-way slabs, the deflections increased in the order of NAC, RAC50 and RAC100, which was expected due to the increased creep and shrinkage with increased amounts of RCA. However, the layered L-RAC100 slab exhibited a deflection behavior practically equal to NAC. This was explained by the differential shrinkage between the bottom RAC100 and the top NAC layer; analyzing cross-sectional strains and curvatures, it was shown that the larger shrinkage of the bottom RAC100 layer compensated for part of the load-induced deflections.
- The “cradle-to-gate” LCA showed that the RAC50 and L-RAC100 slabs have an equal or better environmental performance than the NAC slab. This means that, considering both structural and environmental assessments, L-RAC100 slabs can be viewed as an improved solution, compared with NAC slabs.
Supplementary Materials
Author Contributions
Funding
Conflicts of Interest
References
- Tam, V.W.Y.; Soomro, M.; Evangelista, A.C.J. A review of recycled aggregate in concrete applications (2000–2017). Constr. Build. Mater. 2018, 172, 272–292. [Google Scholar] [CrossRef]
- Silva, R.V.; de Brito, J.; Dhir, R.K. Establishing a relationship between the modulus of elasticity and compressive strength of recycled aggregate concrete. J. Clean. Prod. 2016, 112, 2171–2186. [Google Scholar] [CrossRef]
- Tošić, N.; de la Fuente, A.; Marinković, S. Shrinkage of recycled aggregate concrete: Experimental database and application of fib Model Code 2010. Mater. Struct. Constr. 2018, 51, 126. [Google Scholar] [CrossRef]
- Tošić, N.; de la Fuente, A.; Marinković, S. Creep of recycled aggregate concrete: Experimental database and creep prediction model according to the fib Model Code 2010. Constr. Build. Mater. 2019, 195, 590–599. [Google Scholar] [CrossRef]
- Tošić, N.; Marinković, S.; de Brito, J. Deflection control for reinforced recycled aggregate concrete beams: Experimental database and extension of the fib Model Code 2010 model. Struct. Concr. 2019, 1–15. [Google Scholar] [CrossRef]
- Tošić, N.; Kurama, Y. Parametric numerical study on service-load deflections of reinforced recycled aggregate concrete slabs and beams based on fib Model Code 2010. Struct. Concr. 2020. [Google Scholar] [CrossRef]
- ISO 14041. Environmental Management—Life Cycle Assessment: Goal and Scope Definition and Inventory Analysis; International Organization for Standardization: Geneva, Switzerland, 2006. [Google Scholar]
- Fraj, A.B.; Idir, R. Concrete based on recycled aggregates—Recycling and environmental analysis: A case study of Paris’ region. Constr. Build. Mater. 2017, 157, 952–964. [Google Scholar] [CrossRef]
- Kleijer, A.L.; Lasvaux, S.; Citherlet, S.; Viviani, M. Product-specific Life Cycle Assessment of ready mix concrete: Comparison between a recycled and an ordinary concrete. Resour. Conserv. Recycl. 2017, 122, 210–218. [Google Scholar] [CrossRef]
- Knoeri, C.; Sanyé-Mengual, E.; Althaus, H.-J. Comparative LCA of recycled and conventional concrete for structural applications. Int. J. Life Cycle Assess. 2013, 18, 909–918. [Google Scholar] [CrossRef]
- Marinković, S.; Dragaš, J.; Ignjatović, I.; Tošić, N. Environmental assessment of green concretes for structural use. J. Clean. Prod. 2017, 154, 633–649. [Google Scholar] [CrossRef]
- Dobbelaere, G.; de Brito, J.; Evangelista, L. Definition of an equivalent functional unit for structural concrete incorporating recycled aggregates. Eng. Struct. 2016, 122, 196–208. [Google Scholar] [CrossRef]
- Chan, R.; Liu, X.; Galobardes, I. Parametric study of functionally graded concretes incorporating steel fibres and recycled aggregates. Constr. Build. Mater. 2020, 242, 118186. [Google Scholar] [CrossRef]
- Xiao, J.; Sun, C.; Jiang, X. Flexural behaviour of recycled aggregate concrete graded slabs. Struct. Concr. 2015, 16, 249–261. [Google Scholar] [CrossRef]
- Liu, X.; Yan, M.; Galobardes, I.; Sikora, K. Assessing the potential of functionally graded concrete using fibre reinforced and recycled aggregate concrete. Constr. Build. Mater. 2018, 171, 793–801. [Google Scholar] [CrossRef]
- McKenna, F. OpenSees: A framework for earthquake engineering simulation. Comput. Sci. Eng. 2011. [Google Scholar] [CrossRef]
- Knaack, A.M.; Kurama, Y.C. Modeling Time-Dependent Deformations: Application for Reinforced Concrete Beams with Recycled Concrete Aggregates. ACI Struct. J. 2018, 115, 175–190. [Google Scholar] [CrossRef]
- ACI 209R-92. Prediction of Creep, Shrinkage, and Temperature Effects in Concrete Structures; American Concrete Institute: Farmington Hills, MI, USA, 1992. [Google Scholar]
- Tamai, S.; Shima, H.; Izumo, J.; Okamura, H. Average stress-strain relationship in post yield range of steel bar in concrete. Concr. Libr. JSCE 1988, 11, 117–129. [Google Scholar]
- Knaack, A.M.; Kurama, Y.C. Effect of recycled concrete coarse aggregates on service-load deflections of reinforced concrete columns. Eng. Struct. 2020, 204, 109955. [Google Scholar] [CrossRef]
- FIB. Fib Model Code for Concrete Structures 2010; International Federation for Structural Concrete (FIB): Lausanne, Switzerland, 2013; ISBN 9783433604090. [Google Scholar]
- Mazzoni, S.; McKenna, F.; Scott, M.H.; Fenves, G.L. OpenSees command language manual. Pac. Earthq. Eng. Res. Cent. 2006. Available online: https://opensees.berkeley.edu/OpenSees/manuals/usermanual/OpenSeesCommandLanguageManualJune2006.pdf (accessed on 8 December 2020).
- Mohd-Yassin, M.H.; Filippou, F.C. Nonlinear analysis of prestressed concrete structures. In Proceedings of the Structures Congress XII, Atlanta, GA, USA, 24–27 April 1994. [Google Scholar]
- Knaack, A.M. Sustainable concrete Structures Using Recycled Concrete Aggregate: Short-Term and Long-Term Behavior Considering Material Variability. Doctoral Dissertation, University of Notre Dame, Notre Dame, IN, USA, 2013. [Google Scholar]
- Tošić, N.; Knaack, A.; Kurama, Y. Supporting Documentation for Time-Dependent Concrete Material Models in OpenSees. 2020. Available online: https://data.mendeley.com/datasets/z4gxnhchky/3 (accessed on 9 December 2020). [CrossRef]
- Silva, R.V.; de Brito, J.; Dhir, R.K. Tensile strength behaviour of recycled aggregate concrete. Constr. Build. Mater. 2015, 83, 108–118. [Google Scholar] [CrossRef]
- Levy, S.M.; Helene, P. Durability of recycled aggregates concrete: A safe way to sustainable development. Cem. Concr. Res. 2004, 34, 1975–1980. [Google Scholar] [CrossRef]
- Limbachiya, M.; Meddah, M.S.; Ouchagour, Y. Use of recycled concrete aggregate in fly-ash concrete. Constr. Build. Mater. 2012, 27, 439–449. [Google Scholar] [CrossRef]
- Silva, R.V.; Neves, R.; de Brito, J.; Dhir, R.K. Carbonation behaviour of recycled aggregate concrete. Cem. Concr. Compos. 2015, 62, 22–32. [Google Scholar] [CrossRef]
- Tošić, N.; Marinković, S.; Ignjatović, I. A database on flexural and shear strength of reinforced recycled aggregate concrete beams and comparison to Eurocode 2 predictions. Constr. Build. Mater. 2016, 127, 932–944. [Google Scholar] [CrossRef]
- EN 1992-1-1. Eurocode 2: Design of Concrete Structures—Part 1-1: General Rules and Rules for Buildings; CEN: Brussels, Belgium, 2004; ISBN 978-0-580-62664-7. [Google Scholar]
- Arezoumandi, M.; Volz, J.; Khayat, K. Effect of Recycled Concrete Aggregate Replacement Level on Shear Strength of Reinforced Concrete Beams. ACI Mater. J. 2015, 112, 559–567. [Google Scholar] [CrossRef]
- Barbudo, A.; De Brito, J.; Evangelista, L.; Bravo, M.; Agrela, F. Influence of water-reducing admixtures on the mechanical performance of recycled concrete. J. Clean. Prod. 2013. [Google Scholar] [CrossRef]
- Beltrán, M.G.; Barbudo, A.; Agrela, F.; Galvín, A.P.; Jiménez, J.R. Effect of cement addition on the properties of recycled concretes to reach control concretes strengths. J. Clean. Prod. 2014, 79, 124–133. [Google Scholar] [CrossRef]
- Dilbas, H.; Şimşek, M.; Çakir, Ö. An investigation on mechanical and physical properties of recycled aggregate concrete (RAC) with and without silica fume. Constr. Build. Mater. 2014. [Google Scholar] [CrossRef]
- Etxeberria, M.; Vázquez, E.; Marí, A.; Barra, M. Influence of amount of recycled coarse aggregates and production process on properties of recycled aggregate concrete. Cem. Concr. Res. 2007, 37, 735–742. [Google Scholar] [CrossRef]
- Folino, P.; Xargay, H. Recycled aggregate concrete—Mechanical behavior under uniaxial and triaxial compression. Constr. Build. Mater. 2014, 56, 21–31. [Google Scholar] [CrossRef]
- Gholampour, A.; Ozbakkaloglu, T. Time-dependent and long-term mechanical properties of concretes incorporating different grades of coarse recycled concrete aggregates. Eng. Struct. 2018, 157, 224–234. [Google Scholar] [CrossRef]
- Arlindo, G. Influence of recycled concrete aggregates on concrete durability. In Proceedings of the International RILEM Conference on the Use of Recycled Materials in Buildings and Structures, Barcelona, Spain, 8–11 November 2004. [Google Scholar]
- Ignjatović, I.; Marinković, S.; Tošić, N. Shear behaviour of recycled aggregate concrete beams with and without shear reinforcement. Eng. Struct. 2017, 141, 386–401. [Google Scholar] [CrossRef]
- Kim, S.W.; Yun, H. Do Influence of recycled coarse aggregates on the bond behavior of deformed bars in concrete. Eng. Struct. 2013. [Google Scholar] [CrossRef]
- Kou, S.C.; Poon, C.S.; Dixon, C.; Chan, D. Influence of fly ash as cement replacement on the properties of recycled aggregate concrete. J. Mater. Civ. Eng. 2007, 19, 709–717. [Google Scholar] [CrossRef]
- Kou, S.C.; Poon, C.S. Long-term mechanical and durability properties of recycled aggregate concrete prepared with the incorporation of fly ash. Cem. Concr. Compos. 2013, 37, 12–19. [Google Scholar] [CrossRef]
- Malešev, M.; Radonjanin, V.; Marinković, S. Recycled concrete as aggregate for structural concrete production. Sustainability 2010, 2, 1204–1225. [Google Scholar] [CrossRef]
- Pacheco, J.; de Brito, J.; Chastre, C.; Evangelista, L. Uncertainty of shear resistance models: Influence of recycled concrete aggregate on beams with and without shear reinforcement. Eng. Struct. 2019, 109905. [Google Scholar] [CrossRef]
- Pedro, D.; De Brito, J.; Evangelista, L. Influence of the use of recycled concrete aggregates from different sources on structural concrete. Constr. Build. Mater. 2014. [Google Scholar] [CrossRef]
- Reis, N.; de Brito, J.; Correia, J.R.; Arruda, M.R.T. Punching behaviour of concrete slabs incorporating coarse recycled concrete aggregates. Eng. Struct. 2015, 100, 238–248. [Google Scholar] [CrossRef]
- De Juan, M.S.; Gutierrez, P.A.; Gutiérrez, P.A. Influence of recycled aggregate quality on concrete properties. In Proceedings of the International Rilem Conference on the Use of Recycled Materials in Buildings and Structures, Barcelona, Spain, 8–11 November 2004; pp. 545–553. [Google Scholar]
- Soares, D.; De Brito, J.; Ferreira, J.; Pacheco, J. Use of coarse recycled aggregates from precast concrete rejects: Mechanical and durability performance. Constr. Build. Mater. 2014, 71, 263–272. [Google Scholar] [CrossRef]
- Thomas, C.; Setién, J.; Polanco, J.A.; Alaejos, P.; Sánchez De Juan, M. Durability of recycled aggregate concrete. Constr. Build. Mater. 2013. [Google Scholar] [CrossRef]
- Tošić, N.; Marinković, S.; Dašić, T.; Stanić, M. Multicriteria optimization of natural and recycled aggregate concrete for structural use. J. Clean. Prod. 2015, 87, 766–776. [Google Scholar] [CrossRef]
- Ridzuan, A.R.M.; Ibrahim, A.; Ismail, A.M.M.; Diah, A.B.M. Durablity performance of recycled aggregate concrete. In Proceedings of the International Conference on Achieving Sustainability in Construction, Dundee, UK, 5–6 July 2005. [Google Scholar]
- Zhou, C.; Chen, Z. Mechanical properties of recycled concrete made with different types of coarse aggregate. Constr. Build. Mater. 2017, 134, 497–506. [Google Scholar] [CrossRef]
- Dos Santos, J.R.; Branco, F.; De Brito, J. Mechanical properties of concrete with coarse recycled aggregates. Struct. Eng. Int. J. Int. Assoc. Bridg. Struct. Eng. 2004, 14, 213–215. [Google Scholar] [CrossRef]
- Akbarnezhad, A.; Ong, K.C.G.; Zhang, M.H.; Tam, C.T.; Foo, T.W.J. Microwave-assisted beneficiation of recycled concrete aggregates. Constr. Build. Mater. 2011. [Google Scholar] [CrossRef]
- Barra, M.; Vázquez, E. Properties of concretes with recycled aggregates: Influence of properties of the aggregates and their interpretation. In Proceedings of the International Symposium Sustainable Construction: Use of Recycled Concrete Aggregate, London, UK, 11–12 November 1998. [Google Scholar]
- Berndt, M.L. Properties of sustainable concrete containing fly ash, slag and recycled concrete aggregate. Constr. Build. Mater. 2009. [Google Scholar] [CrossRef]
- Butler, L.; West, J.S.; Tighe, S.L. The effect of recycled concrete aggregate properties on the bond strength between RCA concrete and steel reinforcement. Cem. Concr. Res. 2011, 41, 1037–1049. [Google Scholar] [CrossRef]
- Dhir, R.K.; Paine, K.A.; O’Leary, S. Use of recycled concrete aggregate in concrete pavement construction: A case study. In Proceedings of the Sustainable Waste Management, Proceedings of the International Symposium, Dundee, UK, 9–11 September 2003. [Google Scholar]
- Ferreira, L.; de Brito, J.; Barra, M. Influence of the pre-saturation of recycled coarse concrete aggregates on concrete properties. Mag. Concr. Res. 2011, 63, 617–627. [Google Scholar] [CrossRef]
- Fonseca, N.; De Brito, J.; Evangelista, L. The influence of curing conditions on the mechanical performance of concrete made with recycled concrete waste. Cem. Concr. Compos. 2011, 33, 637–643. [Google Scholar] [CrossRef]
- Guerra, M.; Ceia, F.; De Brito, J.; Júlio, E. Anchorage of steel rebars to recycled aggregates concrete. Constr. Build. Mater. 2014, 72, 113–123. [Google Scholar] [CrossRef]
- Kou, S.C.; Poon, C.S.; Agrela, F. Comparisons of natural and recycled aggregate concretes prepared with the addition of different mineral admixtures. Cem. Concr. Compos. 2011, 33, 788–795. [Google Scholar] [CrossRef]
- Kou, S.C.; Poon, C.S.; Etxeberria, M. Residue strength, water absorption and pore size distributions of recycled aggregate concrete after exposure to elevated temperatures. Cem. Concr. Compos. 2014, 53, 73–82. [Google Scholar] [CrossRef]
- Lin, Y.H.; Tyan, Y.Y.; Chang, T.P.; Chang, C.Y. An assessment of optimal mixture for concrete made with recycled concrete aggregates. Cem. Concr. Res. 2004. [Google Scholar] [CrossRef]
- Nagataki, S.; Gokce, A.; Saeki, T.; Hisada, M. Assessment of recycling process induced damage sensitivity of recycled concrete aggregates. Cem. Concr. Res. 2004. [Google Scholar] [CrossRef]
- Pacheco, J.; de Brito, J.; Chastre, C.; Evangelista, L. Experimental investigation on the variability of the main mechanical properties of concrete produced with coarse recycled concrete aggregates. Constr. Build. Mater. 2019, 201, 110–120. [Google Scholar] [CrossRef]
- Poon, C.S.; Shui, Z.H.; Lam, L.; Fok, H.; Kou, S.C. Influence of moisture states of natural and recycled aggregates on the slump and compressive strength of concrete. Cem. Concr. Res. 2004, 34, 31–36. [Google Scholar] [CrossRef]
- Tangchirapat, W.; Rattanashotinunt, C.; Buranasing, R.; Jaturapitakkul, C. Influence of fly ash on slump loss and strength of concrete fully incorporating recycled concrete aggregates. J. Mater. Civ. Eng. 2013. [Google Scholar] [CrossRef]
- Wang, Z.; Wang, L.; Cui, Z.; Zhou, M. Effect of recycled coarse aggregate on concrete compressive strength. Trans. Tianjin Univ. 2011. [Google Scholar] [CrossRef]
- Yang, K.H.; Chung, H.S.; Ashour, A.F. Influence of type and replacement level of recycled aggregates on concrete properties. ACI Mater. J. 2008, 105, 289–296. [Google Scholar] [CrossRef]
- Corinaldesi, V. Mechanical and elastic behaviour of concretes made of recycled-concrete coarse aggregates. Constr. Build. Mater. 2010, 24, 1616–1620. [Google Scholar] [CrossRef]
- González-Fonteboa, B.; Martínez-Abella, F.; Eiras-López, J.; Seara-Paz, S. Effect of recycled coarse aggregate on damage of recycled concrete. Mater. Struct. Constr. 2011. [Google Scholar] [CrossRef]
- Khodair, Y.; Bommareddy, B. Self-consolidating concrete using recycled concrete aggregate and high volume of fly ash, and slag. Constr. Build. Mater. 2017. [Google Scholar] [CrossRef]
- Sadati, S.; Arezoumandi, M.; Khayat, K.H.; Volz, J.S. Shear performance of reinforced concrete beams incorporating recycled concrete aggregate and high-volume fly ash. J. Clean. Prod. 2016, 115, 284–293. [Google Scholar] [CrossRef]
- Adams, M.P.; Fu, T.; Cabrera, A.G.; Morales, M.; Ideker, J.H.; Isgor, O.B. Cracking susceptibility of concrete made with coarse recycled concrete aggregates. Constr. Build. Mater. 2016. [Google Scholar] [CrossRef]
- Kou, S.C.; Poon, C.S.; Chan, D. Influence of fly ash as a cement addition on the hardened properties of recycled aggregate concrete. Mater. Struct. 2008, 41, 1191–1201. [Google Scholar] [CrossRef]
- Corinaldesi, V. Structural concrete prepared with coarse recycled concrete aggregate: From investigation to design. Adv. Civ. Eng. 2011. [Google Scholar] [CrossRef]
- Matias, D.; De Brito, J.; Rosa, A.; Pedro, D. Mechanical properties of concrete produced with recycled coarse aggregates—Influence of the use of superplasticizers. Constr. Build. Mater. 2013. [Google Scholar] [CrossRef]
- Ozbakkaloglu, T.; Gholampour, A.; Xie, T. Mechanical and durability properties of recycled aggregate concrete: Effect of recycled aggregate properties and content. J. Mater. Civ. Eng. 2018. [Google Scholar] [CrossRef]
- Razaqpur, A.G.; Fathifazl, G.; Isgor, B.; Abbas, A.; Fournier, B.; Foo, S. How to produce high quality concrete mixes with recycled concrete aggregate. Int. Conf. Waste Eng. Manag. ICWEM 2010, 2010, 11–35. [Google Scholar]
- Xiao, J.; Zhang, K.; Akbarnezhad, A. Variability of stress-strain relationship for recycled aggregate concrete under uniaxial compression loading. J. Clean. Prod. 2018. [Google Scholar] [CrossRef]
- Soares, D.; De Brito, J.; Ferreira, J.; Pacheco, J. In situ materials characterization of full-scale recycled aggregates concrete structures. Constr. Build. Mater. 2014. [Google Scholar] [CrossRef]
- Abbas, A.; Fathifazl, G.; Isgor, O.B.; Razaqpur, A.G.; Fournier, B.; Foo, S. Durability of recycled aggregate concrete designed with equivalent mortar volume method. Cem. Concr. Compos. 2009. [Google Scholar] [CrossRef]
- Gurdián, H.; García-Alcocel, E.; Baeza-Brotons, F.; Garcés, P.; Zornoza, E. Corrosion behavior of steel reinforcement in concrete with recycled aggregates, fly ash and spent cracking catalyst. Materials 2014, 4, 3176–3197. [Google Scholar] [CrossRef] [PubMed]
- Kurda, R.; de Brito, J.; Silvestre, J.D. Combined economic and mechanical performance optimization of recycled aggregate concrete with high volume of fly ash. Appl. Sci. 2018, 8, 1189. [Google Scholar] [CrossRef]
- Domingo-Cabo, A.; Lázaro, C.; López-Gayarre, F.; Serrano-López, M.A.; Serna, P.; Castaño-Tabares, J.O. Creep and shrinkage of recycled aggregate concrete. Constr. Build. Mater. 2009, 23, 2545–2553. [Google Scholar] [CrossRef]
- Knaack, A.M.; Kurama, Y.C. Sustained Service Load Behavior of Concrete Beams with Recycled Concrete Aggregates. ACI Struct. J. 2015, 112, 565–578. [Google Scholar] [CrossRef]
- Dones, R.; Bauer, C.; Bolliger, R.; Burger, B.; Heck, T.; Röder, A.; Paul Scherrer Institut; Emmenegger, M.F.; Frischknecht, R.; Jungbluth, N.; et al. Life Cycle Inventories of Energy Systems: Results for Current Systems in Switzerland and Other UCTE Countries; Paul Scherer Institut Villigen, Swiss Centre for Life Cycle Inventories: Dübendorf, Switzerland, 2007. [Google Scholar]
- Kellenberger, D.; Althaus, H.-J.; Jungbluth, N.; Künninger, T.; Lehmann, M.; Thalmann, P. Life Cycle inventories of Building Products; EMPA Dübendorf, Swiss Centre for Life Cycle Inventories: Dübendorf, Switzerland, 2007. [Google Scholar]
- Spielmann, M.; Bauer, C.; Dones, R.; Tuchschmid, M. Transport Services. Ecoinvent report no. 14. Swiss Cent. Life Cycle Invent. 2007. [Google Scholar] [CrossRef]
- Marinković, S.; Radonjanin, V.; Malešev, M.; Lukić, I. Life Cycle Environmental Impact Assessment of Concrete. In Sustainability of Constructions—Integrated Approach to Life-time Structural Engineering. COST action C25. Proceedings of Seminar; Bragança, L., Koukkari, H., Blok, R., Gervasio, H., Veljković, M., Plewako, Z., Landolfo, R., Ungureanu, V., Silva, L.S., Haller, P., Eds.; Addprint AG: Possendorf, Germany, 2008; pp. 3.5–3.16. [Google Scholar]
- Guinée, J.B.; Gorrée, M.; Heijungs, R.; Huppes, G.; Kleijn, R.; de Koning, A.; van Oers, L.; Wegener Sleeswijk, A.; Suh, S.; Udo de Haes, H.A.; et al. Handbook on Life Cycle Assessment. Operational Guide to the ISO Standards. I: LCA in Perspective. IIa: Guide. IIb: Operational Annex. III: Scientific Background; Kluwer Academic Publishers: Dordrecht, The Netherlands, 2002; ISBN 1-4020-0228-9. [Google Scholar]
- CEMBUREAU. Environmental Product Declaration (EPD) according to EN 15804 and ISO 14025: Portland Cement (CEM I) produced in Europe; CEMBUREAU—European Cement Association: Brussels, Belgium, 2015. [Google Scholar]
- CEMBUREAU. Environmental Product Declaration (EPD) according to EN 15804 and ISO 14025: Portland-Composite Cement (CEM II) produced in Europe; CEMBUREAU—European Cement Association: Brussels, Belgium, 2015. [Google Scholar]
- Marinković, S.; Radonjanin, V.; Malešev, M.; Ignjatović, I. Comparative environmental assessment of natural and recycled aggregate concrete. Waste Manag. 2010, 30, 2255–2264. [Google Scholar] [CrossRef]










| Concrete Class | Concrete Type | Cement (kg/m3) | Fine Aggregate (kg/m3) | Coarse Aggregate (kg/m3) | (w/c)eff | |
|---|---|---|---|---|---|---|
| NA | RCA | |||||
| C25/30 | NAC | 340 (42) | 744 (112) | 1077 (107) | / | 0.55 (0.04) |
| RAC50 | 359 (24) | 743 (114) | 523 (56) | 501 (69) | 0.50 (0.06) | |
| RAC100 | 364 (36) | 717 (113) | / | 1012 (117) | 0.51 (0.04) | |
| C30/37 | NAC | 374 (44) | 730 (70) | 1050 (72) | / | 0.49 (0.04) |
| RAC50 | 381 (35) | 728 (60) | 521 (41) | 484 (47) | 0.49 (0.04) | |
| RAC100 | 380 (29) | 743 (116) | / | 947 (122) | 0.48 (0.04) | |
| Type of Data | Source (File Name in Ecoinvent V2.0) | Geography |
|---|---|---|
| Energy | ||
| Coal mining and distribution | Ecoinvent [89] (hard coal, at regional storage/kg/EEU) | EU average |
| Diesel production, distribution, and usage | Ecoinvent [89] (diesel, at regional storage/kg/RER) (diesel, burned in building machine/MJ/GLO) | EU average |
| Natural gas production, distribution, and usage | Ecoinvent [89] (natural gas, high pressure, at consumer/MJ/RER) (natural gas, burned in industrial furnace >100 kW/MJ/RER) | EU average |
| Electricity | Ecoinvent [89] (production mix RER/kWh/RER) | EU average |
| Concrete components | ||
| Cement production | CEMBUREAU (the European Cement Association) EPDs for CEMI, CEMII and CEMIII [94,95] | EU average |
| NA production | Ecoinvent [90] (gravel, round, at mine/kg/CH) (gravel, crushed, at mine/kg/CH) | estimated as EU average |
| RCA production | Industry (Marinković et al., 2008) [92] | Serbia |
| Concrete | ||
| Concrete production | Kellenberger et al. (2007) [90] | estimated as EU average |
| Transportation of concrete components | ||
| Road and river | Ecoinvent [91] (transport, lorry 16–32 t, EURO5/tkm/RER) (transport, barge/tkm/RER) | EU average |
| Material | Route | Transport Distance (km) | Transport Type | |
|---|---|---|---|---|
| From | To | |||
| River NA | Place of extraction | Concrete plant | 100 × 2 | Barge 10,000 t |
| Crushed NA | Place of extraction | Concrete plant | 100 × 2 | Truck 16–32 t |
| Recycled aggregate | Recycling plant1 | Concrete plant | 20 × 2 | Truck 16–32 t |
| Mobile recycling plant 2 | Demolition site | 50 × 2 | Truck 16–32 t | |
| Cement | Cement factory | Concrete plant | 100 × 2 | Truck 16–32 t |
| NAC | RAC50 | L-RAC100 | |||
|---|---|---|---|---|---|
| GWP (g CO2-eq.) | C25/30 | mean | 68.5 | 69.6 | 69.2 |
| CoV (%) | 14.7 | 10.7 | 13.1 | ||
| C30/37 | mean | 74.7 | 74.6 | 72.9 | |
| CoV (%) | 11.0 | 8.0 | 10.0 | ||
| EP (g PO43−-eq.) | C25/30 | mean | 25.0 | 23.2 | 23.6 |
| CoV (%) | 10.8 | 8.9 | 11.7 | ||
| C30/37 | mean | 26.4 | 24.6 | 24.5 | |
| CoV (%) | 7.1 | 5.9 | 10.3 | ||
| AP (g SO2-eq.) | C25/30 | mean | 155.8 | 148.6 | 149.7 |
| CoV (%) | 12.3 | 9.3 | 11.9 | ||
| C30/37 | mean | 166.7 | 158.1 | 156.4 | |
| CoV (%) | 7.7 | 6.5 | 9.8 | ||
| POCP (g C2H4-eq.) | C25/30 | mean | 15.7 | 14.7 | 14.9 |
| CoV (%) | 13.3 | 9.4 | 12.8 | ||
| C30/37 | mean | 16.7 | 15.7 | 15.5 | |
| CoV (%) | 7.8 | 6.4 | 10.3 | ||
| ADPFF (MJ) | C25/30 | mean | 405.2 | 373.3 | 376.3 |
| CoV (%) | 17.3 | 10.5 | 16.5 | ||
| C30/37 | mean | 431.4 | 399.6 | 392.0 | |
| CoV (%) | 8.2 | 6.7 | 12.6 |
Publisher’s Note: MDPI stays neutral with regard to jurisdictional claims in published maps and institutional affiliations. |
© 2020 by the authors. Licensee MDPI, Basel, Switzerland. This article is an open access article distributed under the terms and conditions of the Creative Commons Attribution (CC BY) license (http://creativecommons.org/licenses/by/4.0/).
Share and Cite
Tošić, N.; Marinković, S.; Kurama, Y. Improved Serviceability and Environmental Performance of One-Way Slabs through the Use of Layered Natural and Recycled Aggregate Concrete. Sustainability 2020, 12, 10278. https://doi.org/10.3390/su122410278
Tošić N, Marinković S, Kurama Y. Improved Serviceability and Environmental Performance of One-Way Slabs through the Use of Layered Natural and Recycled Aggregate Concrete. Sustainability. 2020; 12(24):10278. https://doi.org/10.3390/su122410278
Chicago/Turabian StyleTošić, Nikola, Snežana Marinković, and Yahya Kurama. 2020. "Improved Serviceability and Environmental Performance of One-Way Slabs through the Use of Layered Natural and Recycled Aggregate Concrete" Sustainability 12, no. 24: 10278. https://doi.org/10.3390/su122410278
APA StyleTošić, N., Marinković, S., & Kurama, Y. (2020). Improved Serviceability and Environmental Performance of One-Way Slabs through the Use of Layered Natural and Recycled Aggregate Concrete. Sustainability, 12(24), 10278. https://doi.org/10.3390/su122410278

