Assessment of Outdoor Air Temperature with Different Shaded Area within an Urban University Campus in Hot-Humid Climate
Abstract
1. Introduction
2. Methods
2.1. Field Measurement
2.2. Building-Induced Shadows
2.3. Building Height Characteristics
2.4. Building H/W Ratio
2.5. Sky View Factor (SVF)
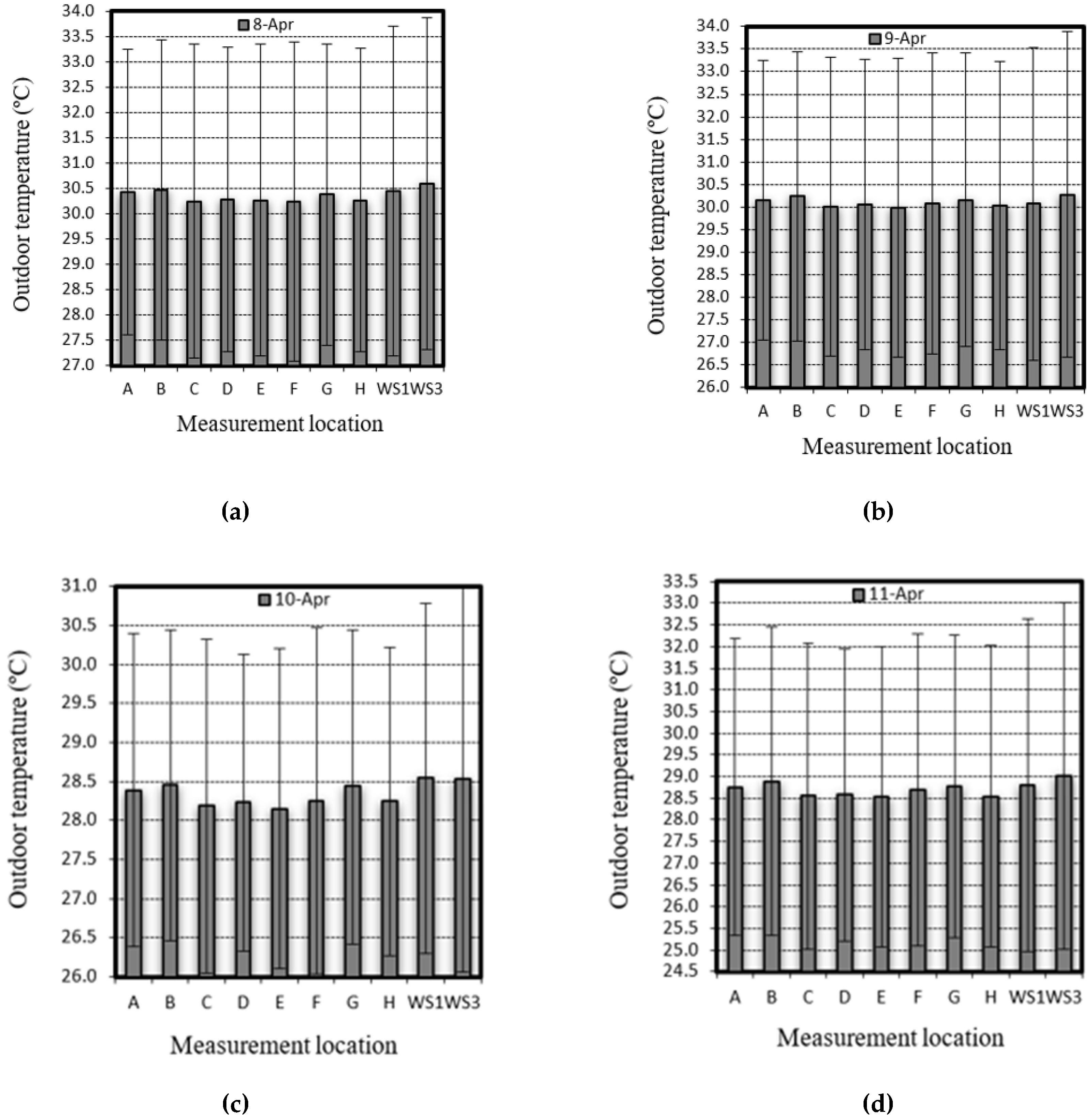
3. Result and Discussion
3.1. Outdoor Air Temperature
3.2. Building-Induced Shadows
3.3. Relationship between Outdoor Air Temperature and Land Cover
4. Conclusions
Author Contributions
Funding
Conflicts of Interest
References
- Tran, H.; Uchihama, D.; Ochi, S.; Yasuoka, Y. Assessment with satellite data of the urban heat island effects in Asian mega cities. Int. J. Appl. Earth Obs. 2006, 8, 34–48. [Google Scholar] [CrossRef]
- Allegrini, J.; Dorer, V.; Carmeliet, J. Influence of morphologies on the microclimate in urban neighbourhoods. J. Wind Eng. Ind. Aerodyn. 2015, 144, 108–117. [Google Scholar] [CrossRef]
- Gusson, C.S.; Duarte, D.H.S. Effects of built density and urban morphology on urban microclimate—Calibration of the Model ENVI-met V4 for the subtropical Sao Paulo, Brazil. Procedia Eng. 2016, 169, 2–10. [Google Scholar] [CrossRef]
- Zaki, S.A.; Hagishima, A.; Tanimoto, J.; Mohammad, A.F.; Razak, A.A. Estimation of aerodynamic parameters of urban building arrays using wind tunnel measurements. J. Eng. Sci. Technol. 2014, 9, 176–190. [Google Scholar]
- Mohammad, A.F.; Zaki, S.A.; Ikegaya, N.; Hagishima, A.; Ali, M.S.M. A new semi-empirical model for estimating the drag coefficient of the vertical random staggered arrays using LES. J. Wind Eng. Ind. Aerodyn. 2018, 180, 191–200. [Google Scholar] [CrossRef]
- Bao-Jie He, B.; Ding, L.; Prasad, D. Relationships among local-scale urban morphology, urban ventilation, urban heat island and outdoor thermal comfort under sea breeze influence. Sustain. Cities Soc. 2020, 60, 102289. [Google Scholar] [CrossRef]
- Burian, S.J.; Brown, M.J.; Linger, S.P. Morphological Analyses using 3D Building Databases: Los Angeles, California. Los Alamos Natl. Lab. 2002, 74, 836. [Google Scholar]
- Memon, R.A.; Leung, D.Y.C.; Chunho, L.I.U. A review on the generation, determination and mitigation of urban heat island. J. Environ. Sci. 2008, 20, 120–128. [Google Scholar] [CrossRef]
- Kruger, E.L.; Minella, F.O.; Rasia, F. Impact of urban geometry on outdoor thermal comfort and air quality from field measurements in Curitiba, Brazil. Build. Environ. 2011, 46, 621–634. [Google Scholar] [CrossRef]
- Perini, K.; Magliocco, A. Effects of vegetation, urban density, building height, and atmospheric conditions on local temperatures and thermal comfort. Urban For. Urban Green. 2014, 13, 495–506. [Google Scholar] [CrossRef]
- Sharmin, T.; Steemers, K.; Matzarakis, A. Analysis of microclimatic diversity and outdoor thermal comfort perceptions in the tropical megacity Dhaka, Bangladesh. Build. Environ. 2015, 94, 734–750. [Google Scholar] [CrossRef]
- Xi, T.; Li, Q.; Mochida, A.; Meng, Q. Study on the outdoor thermal environment and thermal comfort around campus clusters in subtropical urban areas. Build. Environ. 2012, 52, 162–170. [Google Scholar] [CrossRef]
- Oke, T.R. Boundary Layer Climates, 2nd ed.; Routledge Taylor Fr. Group: Vancouver, BC, Canada, 1987. [Google Scholar] [CrossRef]
- Giridharan, R.; Ganesan, S.; Lau, S.S. Daytime urban heat island effect in high-rise and high-density residential developments in Hong Kong. Energy Build. 2004, 36, 525–534. [Google Scholar] [CrossRef]
- Goh, K.C.; Chang, C.H. The relationship between height to width ratios and the heat island intensity at 22:00 h for Singapore. Int. J. Climatol. 1999, 19, 1011–1023. [Google Scholar] [CrossRef]
- Emmanuel, R.; Fernando, H.J.S. Urban heat islands in humid and arid climates: Role of urban form and thermal properties in Colombo, Sri Lanka and Phoenix, USA. Clim. Res. 2007, 34, 241–251. [Google Scholar] [CrossRef]
- Jamei, E.; Jamei, Y.; Rajagopalan, P.; Ossen, D.R.; Roushenas, S. Effect of built-up ratio on the variation of air temperature in a heritage city. Sustain. Cities Soc. 2015, 14, 280–292. [Google Scholar] [CrossRef]
- Jamei, E.; Rajagopalan, P.; Seyedmahmoudian, M.; Jamei, Y. Review on the impact of urban geometry and pedestrian level greening on outdoor thermal comfort. Renew. Sust. Energy Rev. 2016, 54, 1002–1017. [Google Scholar] [CrossRef]
- Bourbia, F.; Awbi, H. Building cluster and shading in urban canyon for hot dry climate. Renew. Energy 2004, 29, 249–262. [Google Scholar] [CrossRef]
- Wong, N.H.; Jusuf, S.K. Study on the microclimate condition along a green pedestrian canyon in Singapore. Archit. Sci. Rev. 2010, 53, 196–212. [Google Scholar] [CrossRef]
- Ahmed, A.Q.; Ossen, D.R.; Jamei, E.; Manaf, N.A.; Said, I.; Ahmad, M.H. Urban surface temperature behaviour and heat island effect in a tropical planned city. Theor. Appl. Climatol. 2015, 119, 493–514. [Google Scholar] [CrossRef]
- Johansson, E.; Emmanuel, R. The influence of urban design on outdoor thermal comfort in the hot, humid city of Colombo, Sri Lanka. Int. J. Biometeorol. 2006, 51, 119–133. [Google Scholar] [CrossRef] [PubMed]
- Eliasson, I. Infrared thermography and urban temperature patterns. Int. J. Remote Sens. 1992, 13, 869–879. [Google Scholar] [CrossRef]
- Oke, T.R. Canyon geometry and the nocturnal urban heat island: Comparison of scale model and field observations. Int. J. Climatol. 1981, 1, 237–254. [Google Scholar] [CrossRef]
- Arnfield, A.J. Two decades of urban climate research: A review of turbulence, exchanges of energy and water, and the urban heat island. Int. J. Climatol. 2003, 23, 1–26. [Google Scholar] [CrossRef]
- Nichol, J.E. High-resolution surface temperature patterns related to urban morphology in a tropical city: A satellite-based study. Am. Meteorol. Soc. 2006, 35, 135–146. [Google Scholar] [CrossRef]
- Watson, I.D.; Johnson, G.T. Graphical estimation of sky view factors in urban environments. Int. J. Climatol. 1987, 7, 193–197. [Google Scholar] [CrossRef]
- Bourbia, F.; Boucheriba, F. Impact of street design on urban microclimate for semi arid climate (Constantine). Renew. Energy 2010, 35, 343–347. [Google Scholar] [CrossRef]
- Golany, G.S. Urban design morphology and thermal performance. Atmos. Environ. 1996, 30, 455–465. [Google Scholar] [CrossRef]
- Santamouris, M.; Papanikolaou, N.; Livada, I.; Koronakis, I.; Georgakis, C.; Argiriou, a.; Assimakopoulos, D. On the impact of urban climate on the energy consumption of buildings. J. Sol. Energy 2001, 70, 201–216. [Google Scholar] [CrossRef]
- Oke, T.R. Street design and urban canopy layer climate. Energy Build. 1988, 11, 103–113. [Google Scholar] [CrossRef]
- Shashua-Bar, L.; Hoffman, M.E. Vegetation as a climatic component in the design of an urban street. Energy Build. 2000, 31, 221–235. [Google Scholar] [CrossRef]
- Zaki, S.A.; Othman, N.E.; Syahidah, S.W.; Yakub, F.; Muhammad-Sukki, F.; Ardila-Rey, J.A.; Shahidan, M.F.; Mohd Saudi, A.S. Effects of urban morphology on microclimate parameters in an urban university campus. Sustainability 2020, 12, 2962. [Google Scholar] [CrossRef]
- Zaki, S.A.; Toh, H.J.; Yakub, F.; Mohd Saudi, A.S.; Ardila-Rey, J.A.; Muhammad-Sukki, F. Effects of roadside trees and road orientation on thermal environment in a tropical city. Sustainability 2020, 12, 1053. [Google Scholar] [CrossRef]
- WMO. World Meteorological Organization Programmes: World Weather Information Service. 2015. Available online: https://worldweather.wmo.int/en/home.html (accessed on 16 June 2015).















| Point | Landmark Location | Point | Landmark Location |
|---|---|---|---|
| A | UTMKL field | E | Noise and Vibration Lab |
| B | Construction area | F | Zone between Block A and Block B |
| C | UTMKL main gate | G | Parking lot |
| D | Tennis court | H | Zone between Razak Tower and MJIIT |
| Location | Photograph of the Real Canyon | H/W Cross Section Illustration | H/W | Ratio of Building to Greenery (RBG) |
|---|---|---|---|---|
| A: UTMKL field | ![]() | ![]() | 0.49 | 1:1.42 |
| B: Construction area | ![]() | ![]() | 0.89 | 1:0.49 |
| C: UTMKL main gate | ![]() | ![]() | 0.27 | 1:4.32 |
| D: Tennis court | ![]() | ![]() | 0.16 | 1:0.34 |
| E: Noise and Vibration Lab | ![]() | ![]() | 0.20 | 1:1.15 |
| F: Zone between Block A and Block B | ![]() | ![]() | 0.43 | 1:1.01 |
| G: Parking lot | ![]() | ![]() | 0.18 | 1:1.04 |
| H: Zone between Razak Tower and MJIIT | ![]() | ![]() | 1.26 | 1:2.49 |
| Location | Description | Fish-Eye Photo | SVF |
|---|---|---|---|
| A | UTM KL field | ![]() | 0.75 |
| B | Construction area | ![]() | 0.79 |
| C | UTM KL main gate | ![]() | 0.61 |
| D | Tennis court | ![]() | 0.68 |
| E | Noise and Vibration Lab | ![]() | 0.62 |
| F | Zone between Block A and Block B | ![]() | 0.61 |
| G | Parking lot | ![]() | 0.97 |
| H | Zone between Razak Tower and MJIIT | ![]() | 0.83 |
| Location | Description | RBG | SVF | H/W | Average Air Temperature | ||||||
|---|---|---|---|---|---|---|---|---|---|---|---|
| April (2015) | |||||||||||
| 8th | 9th | 10th | 11th | 12th | 13th | 14th | |||||
![]() | UTM KL Field | 1:1.42 | 0.75 | 0.49 | 29.0 | 30.2 | 28.4 | 28.8 | 27.3 | 28.8 | 29.1 |
![]() | Construction Area | 1:0.49 | 0.79 | 0.89 | 29.1 | 30.2 | 28.5 | 28.9 | 27.3 | 28.9 | 29.2 |
![]() | UTM KL Main Gate | 1:4.32 | 0.61 | 0.27 | 28.8 | 30.0 | 28.2 | 28.6 | 26.9 | 28.6 | 28.9 |
![]() | Tennis Court | 1:0.34 | 0.68 | 0.16 | 28.8 | 30.0 | 28.2 | 28.6 | 27.0 | 28.7 | 28.9 |
![]() | Noise and Vibration Lab | 1:1.15 | 0.62 | 0.20 | 28.7 | 30.0 | 28.2 | 28.5 | 26.8 | 28.5 | 28.8 |
![]() | Zone Between Block A and Block B | 1:1.01 | 0.61 | 0.43 | 28.9 | 30.1 | 28.3 | 28.7 | 27.1 | 28.8 | 29.0 |
![]() | Parking Lot | 1:1.04 | 0.97 | 0.18 | 28.9 | 30.2 | 28.4 | 28.8 | 27.2 | 28.8 | 29.1 |
![]() | Zone between Razak Tower and MJIIT | 1:2.49 | 0.83 | 1.26 | 29.0 | 30.0 | 28.2 | 28.5 | 27.1 | 28.7 | 29.0 |
© 2020 by the authors. Licensee MDPI, Basel, Switzerland. This article is an open access article distributed under the terms and conditions of the Creative Commons Attribution (CC BY) license (http://creativecommons.org/licenses/by/4.0/).
Share and Cite
Zaki, S.A.; Syahidah, S.W.; Shahidan, M.F.; Ahmad, M.I.; Yakub, F.; Hassan, M.Z.; Md Daud, M.Y. Assessment of Outdoor Air Temperature with Different Shaded Area within an Urban University Campus in Hot-Humid Climate. Sustainability 2020, 12, 5741. https://doi.org/10.3390/su12145741
Zaki SA, Syahidah SW, Shahidan MF, Ahmad MI, Yakub F, Hassan MZ, Md Daud MY. Assessment of Outdoor Air Temperature with Different Shaded Area within an Urban University Campus in Hot-Humid Climate. Sustainability. 2020; 12(14):5741. https://doi.org/10.3390/su12145741
Chicago/Turabian StyleZaki, Sheikh Ahmad, Siti Wan Syahidah, Mohd Fairuz Shahidan, Mardiana Idayu Ahmad, Fitri Yakub, Mohamad Zaki Hassan, and Mohd Yusof Md Daud. 2020. "Assessment of Outdoor Air Temperature with Different Shaded Area within an Urban University Campus in Hot-Humid Climate" Sustainability 12, no. 14: 5741. https://doi.org/10.3390/su12145741
APA StyleZaki, S. A., Syahidah, S. W., Shahidan, M. F., Ahmad, M. I., Yakub, F., Hassan, M. Z., & Md Daud, M. Y. (2020). Assessment of Outdoor Air Temperature with Different Shaded Area within an Urban University Campus in Hot-Humid Climate. Sustainability, 12(14), 5741. https://doi.org/10.3390/su12145741

































