Transportation Equity in China: Does Commuting Time Matter?
Abstract
1. Introduction
2. Materials and Methods
2.1. Research Framework
2.2. Data
2.3. Measures and method
3. Results
3.1. Descriptive Statistics
3.2. Regression results
3.2.1. Commuting Time and Residents’ Perceived Social Equity
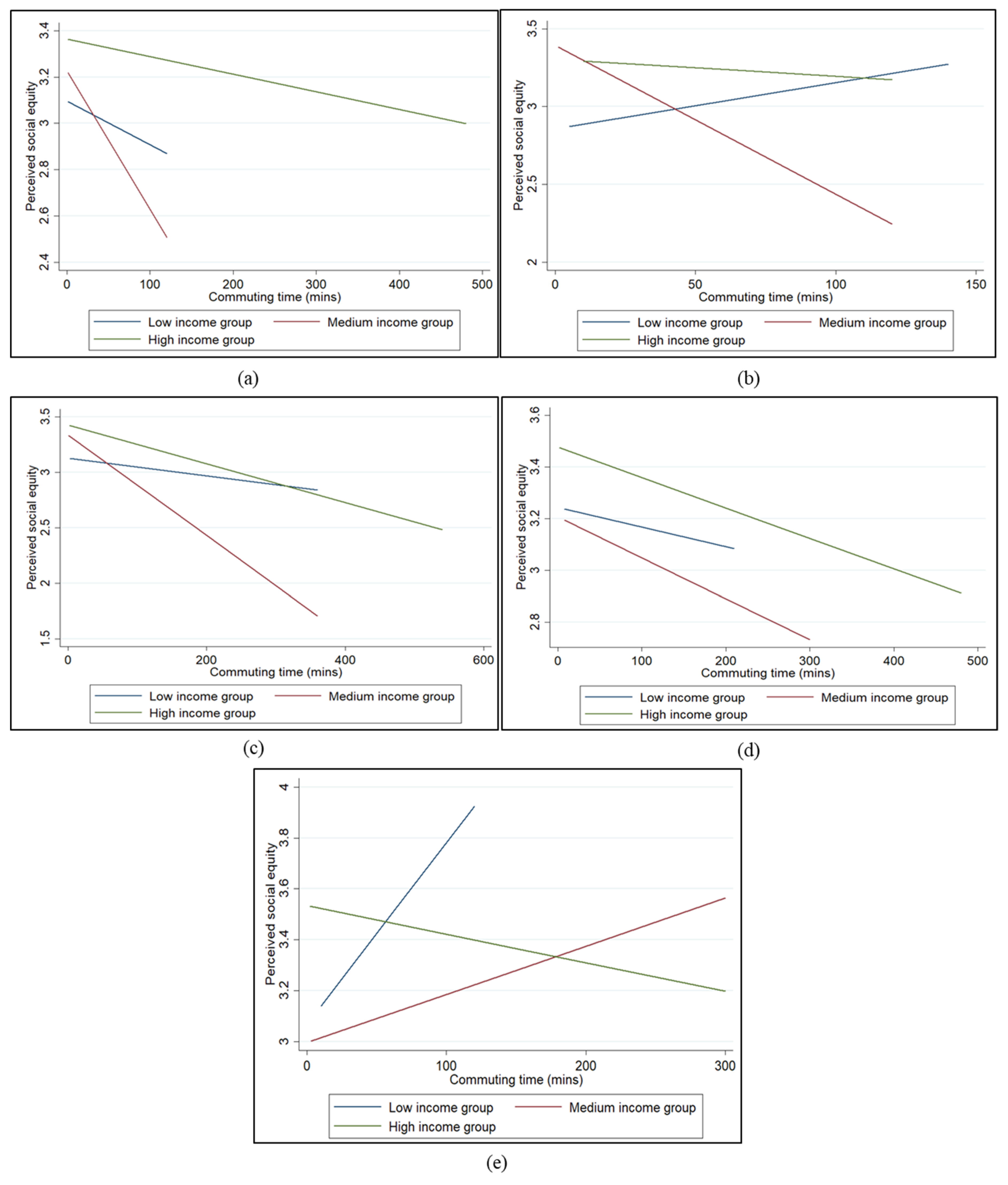
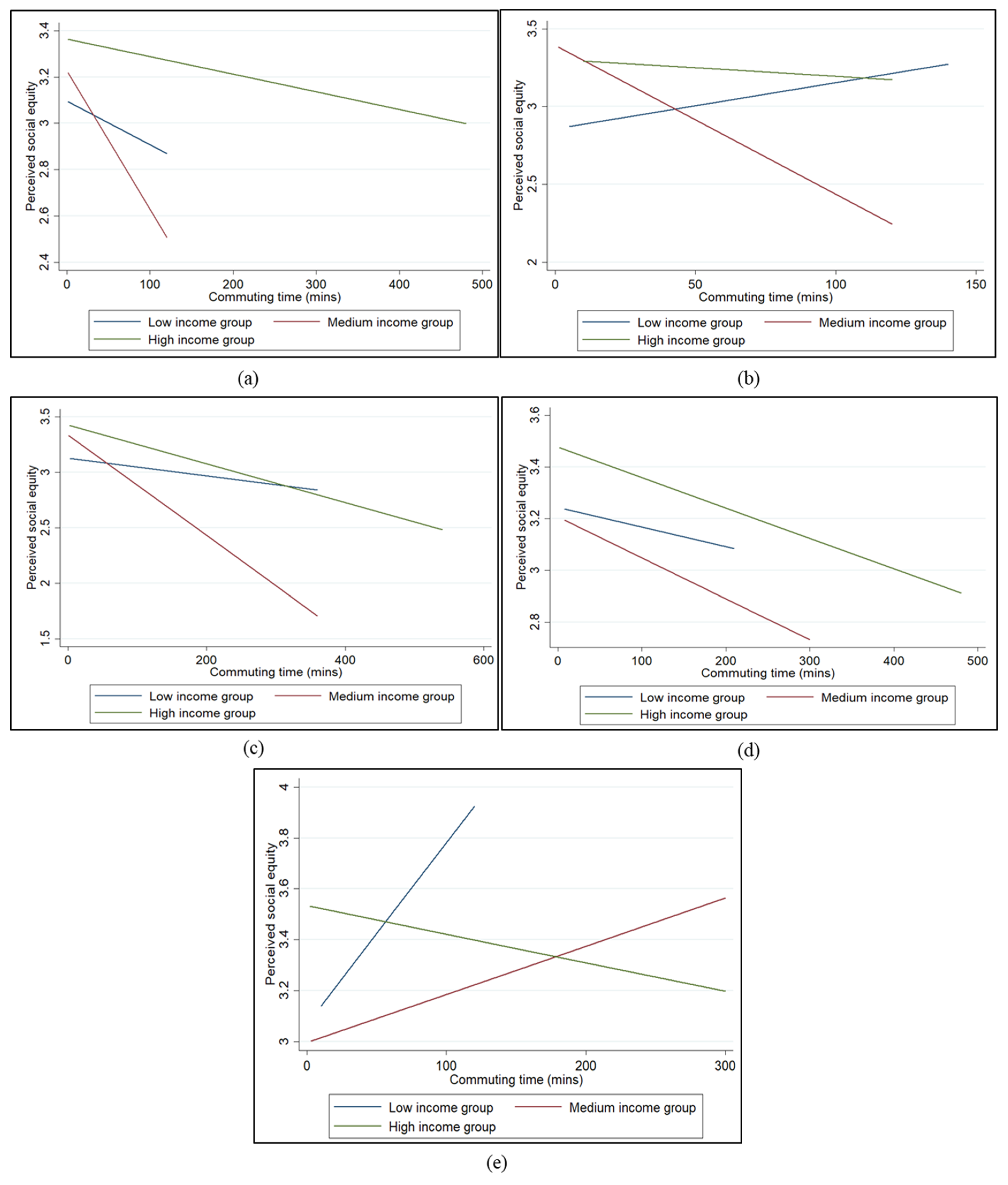
3.2.2. The Relationship between Commuting Time and Residents’ Perceived Social Equity as a Function of Mode of Transportation
3.3. Interaction analysis
4. Discussion
4.1. Commuting Affects Perceptions of Social Equity in Urban China
4.2. The “Commuting Paradox” Revisited from the Perspective of Social Equity
4.3. Policy Recommendations: Make Transportation More Equitable in Urban China
4.4. Strengths and Weaknesses
5. Conclusions
Author Contributions
Funding
Conflicts of Interest
References
- Welch, T.F. Equity in transport: The distribution of transit access and connectivity among affordable housing units. Transp. Policy 2013, 30, 283–293. [Google Scholar] [CrossRef]
- Pereira, R.H.; Schwanen, T.; Banister, D. Distributive justice and equity in transportation. Transp. Rev. 2017, 37, 170–191. [Google Scholar] [CrossRef]
- Hine, J.; Mitchell, F. Better for everyone? Travel experiences and transport exclusion. Urban Stud. 2001, 38, 319–332. [Google Scholar] [CrossRef]
- Litman, T. Evaluating Transportation Equity; Victoria Transport Policy Institute: Victoria, BC, Canada, 1999. [Google Scholar]
- Denmark, D. The outsiders: Planning and transport disadvantage. J. Plan. Educ. Res. 1998, 17, 231–245. [Google Scholar] [CrossRef]
- Guzman, L.A.; Oviedo, D.; Rivera, C. Assessing equity in transport accessibility to work and study: The Bogotá region. J. Transp. Geogr. 2017, 58, 236–246. [Google Scholar] [CrossRef]
- Ricciardi, A.M.; Xia, J.C.; Currie, G. Exploring public transport equity between separate disadvantaged cohorts: A case study in Perth, Australia. J. Transp. Geogr. 2015, 43, 111–122. [Google Scholar] [CrossRef]
- Jansuwan, S.; Christensen, K.M.; Chen, A. Assessing the transportation needs of low-mobility individuals: Case study of a small urban community in Utah. J. Urban Plan. Dev. 2013, 139, 104–114. [Google Scholar] [CrossRef]
- Grengs, J. Equity and the social distribution of job accessibility in Detroit. Environ. Plan. B Plan. Des. 2012, 39, 785–800. [Google Scholar] [CrossRef]
- Delbosc, A.; Currie, G. Transport problems that matter – social and psychological links to transport disadvantage. J. Transp. Geogr. 2011, 19, 170–178. [Google Scholar] [CrossRef]
- Ahmad, M. Independent-mobility rights and the state of public transport accessibility for disabled people: Evidence from southern Punjab in Pakistan. Adm. Soc. 2015, 47, 197–213. [Google Scholar] [CrossRef]
- Bombom, L.S.; Abdullahi, I. Travel patterns and challenges of physically disabled persons in Nigeria. GeoJournal 2016, 81, 519–533. [Google Scholar] [CrossRef]
- de Vasconcellos, E.A. Transport metabolism, social diversity and equity: The case of São Paulo, Brazil. J. Transp. Geogr. 2005, 13, 329–339. [Google Scholar] [CrossRef]
- Karner, A. Assessing public transit service equity using route-level accessibility measures and public data. J. Transp. Geogr. 2018, 67, 24–32. [Google Scholar] [CrossRef]
- Linovski, O.; Baker, D.M.; Manaugh, K. Equity in practice? Evaluations of equity in planning for bus rapid transit. Transp. Res. A Policy Pract. 2018, 113, 75–87. [Google Scholar] [CrossRef]
- Fan, Y.; Guthrie, A.; Levinson, D.M. Impact of light rail implementation on labor market accessibility: A transportation equity perspective. J. Transp. Land Use 2010, 5, 28–39. [Google Scholar] [CrossRef]
- Eliasson, J.; Mattsson, L.-G. Equity effects of congestion pricing: Quantitative methodology and a case study for Stockholm. Transp. Res. A Policy Pract. 2006, 40, 602–620. [Google Scholar] [CrossRef]
- Manaugh, K.; Badami, M.G.; El-Geneidy, A.M. Integrating social equity into urban transportation planning: A critical evaluation of equity objectives and measures in transportation plans in North America. Transp. Policy 2015, 37, 167–176. [Google Scholar] [CrossRef]
- Mobasheri, A.; Zipf, A.; Francis, L. Openstreetmap data quality enrichment through awareness raising and collective action tools—Experiences from a European project. Geo-Spat. Inf. Sci. 2018, 21, 234–246. [Google Scholar] [CrossRef]
- Zipf, A.; Mobasheri, A.; Rousell, A.; Hahmann, S. Crowdsourcing for individual needs—The case of routing and navigation for mobility-impaired persons. Eur. Handb. Crowdsourced Geogr. Inf. 2016, 325. [Google Scholar] [CrossRef]
- Ahmed, Q.I.; Lu, H.; Ye, S. Urban transportation and equity: A case study of Beijing and Karachi. Transp. Res. A Policy Pract. 2008, 42, 125–139. [Google Scholar] [CrossRef]
- Shen, Q. Urban transportation in Shanghai, China: Problems and planning implications. Int. J. Urban. Reg. Res. 1997, 21, 589–606. [Google Scholar] [CrossRef]
- Liu, Z.; He, C.; Zhang, Q.; Huang, Q.; Yang, Y. Extracting the dynamics of urban expansion in China using dmsp-ols nighttime light data from 1992 to 2008. Landsc. Urban Plan. 2012, 106, 62–72. [Google Scholar] [CrossRef]
- Shi, J.; Zhou, N. A quantitative transportation project investment evaluation approach with both equity and efficiency aspects. Res. Transp. Econ. 2012, 36, 93–100. [Google Scholar] [CrossRef]
- Yang, J.; Gakenheimer, R. Assessing the transportation consequences of land use transformation in urban China. Habitat. Int 2007, 31, 345–353. [Google Scholar] [CrossRef]
- Zhao, P. The determinants of the commuting burden of low-income workers: Evidence from Beijing. Environ. Plan A 2015, 47, 1736–1755. [Google Scholar] [CrossRef]
- Zhao, P.; Lu, B.; Roo, G.D. The impact of urban growth on commuting patterns in a restructuring city: Evidence from Beijing. Pap. Reg. Sci. 2011, 90, 735–754. [Google Scholar] [CrossRef]
- Li, S.M.; Liu, Y. The jobs-housing relationship and commuting in Guangzhou, China: Hukou and dual structure. J. Transp. Geogr. 2016, 54, 286–294. [Google Scholar] [CrossRef]
- Zhao, P.; Howden-Chapman, P. Social inequalities in mobility: The impact of the hukou system on migrants’ job accessibility and commuting costs in Beijing. Int. Dev. Plan. Rev. 2010, 32, 363–384. [Google Scholar] [CrossRef]
- Zhu, Z.; Li, Z.; Liu, Y.; Chen, H.; Zeng, J. The impact of urban characteristics and residents’ income on commuting in China. Transp. Res. D Transp. Environ. 2017, 57, 474–483. [Google Scholar] [CrossRef]
- Lin, D.; Allan, A.; Cui, J. Exploring differences in commuting behaviour among various income groups during polycentric urban development in China: New evidence and its implications. Sustainability 2016, 8, 1188. [Google Scholar] [CrossRef]
- Zhu, J.; Fan, Y. Commute happiness in Xi’an, China: Effects of commute mode, duration, and frequency. Travel Behav. Soc. 2018, 11, 43–51. [Google Scholar] [CrossRef]
- Stutzer, A.; Frey, B.S. Stress that doesn’t pay: The commuting paradox. Scand. J. Econ. 2008, 110, 339–366. [Google Scholar] [CrossRef]
- 300,000 Beijing Office Workers Living in Yanjiao. Available online: http://dy.163.com/v2/article/detail/DPVIV24B053717RU.html (accessed on 1 August 2019).
- Van Ommeren, J.; Rietveld, P. The commuting time paradox. J. Urban Econ. 2005, 58, 437–454. [Google Scholar] [CrossRef]
- Gordon, P.; Richardson, H.W.; Jun, M.-J. The commuting paradox evidence from the top twenty. J. Am. Plan. Assoc. 1991, 57, 416–420. [Google Scholar] [CrossRef]
- Wang, J.; Zhou, Y.; Liu, S. China labor-force dynamics survey: Design and practice. Chin. Sociol. Dialogue 2017, 2, 83–97. [Google Scholar] [CrossRef]
- Zhao, J.; Settles, B.H.; Sheng, X. Family-to-work conflict: Gender, equity and workplace policies. J. Comp. Family Stud. 2011, 42, 723–738. [Google Scholar] [CrossRef]
- Bobbitt-Zeher, D. Gender discrimination at work: Connecting gender stereotypes, institutional policies, and gender composition of workplace. Gend. Soc. 2011, 25, 764–786. [Google Scholar] [CrossRef]
- Wu, X.; Treiman, D.J. The household registration system and social stratification in China: 1955–1996. Demography 2004, 41, 363–384. [Google Scholar] [CrossRef]
- Bian, Y. Chinese social stratification and social mobility. Ann. Rev. Soc. 2002, 28, 91–116. [Google Scholar] [CrossRef]
- Brennan, J.; Naidoo, R. Higher education and the achievement (and/or prevention) of equity and social justice. High. Educ. 2008, 56, 287–302. [Google Scholar] [CrossRef]
- Künn-Nelen, A. Does commuting affect health? Health Econ. 2016, 25, 984–1004. [Google Scholar] [CrossRef] [PubMed]
- Lorenz, O. Does commuting matter to subjective well-being? J. Transp. Geogr. 2018, 66, 180–199. [Google Scholar] [CrossRef]
- Martin, A.; Goryakin, Y.; Suhrcke, M. Does active commuting improve psychological wellbeing? Longitudinal evidence from eighteen waves of the British household panel survey. Prev. Med. 2014, 69, 296–303. [Google Scholar] [CrossRef] [PubMed]
- Xie, Y.; Zhou, X. Income inequality in today’s China. Proc. Natl. Acad. Sci. USA 2014, 111, 6928–6933. [Google Scholar] [CrossRef] [PubMed]
- Su, C.-W.; Liu, T.-Y.; Chang, H.-L.; Jiang, X.-Z. Is urbanization narrowing the urban-rural income gap? A cross-regional study of China. Habitat. Int. 2015, 48, 79–86. [Google Scholar] [CrossRef]
- Zhao, P.; Lü, B.; De Roo, G. Impact of the jobs-housing balance on urban commuting in Beijing in the transformation era. J. Transp. Geogr. 2011, 19, 59–69. [Google Scholar] [CrossRef]
- Wang, D.; Chai, Y. The jobs–housing relationship and commuting in Beijing, China: The legacy of danwei. J. Transp. Geogr. 2009, 17, 30–38. [Google Scholar] [CrossRef]
- Lee, R.J.; Sener, I.N.; Jones, S.N. Understanding the role of equity in active transportation planning in the United States. Transp. Rev. 2017, 37, 211–226. [Google Scholar] [CrossRef]
- Bills, T.S.; Walker, J.L. Looking beyond the mean for equity analysis: Examining distributional impacts of transportation improvements. Transp. Policy 2017, 54, 61–69. [Google Scholar] [CrossRef]
- Beiler, M.O.; Mohammed, M. Exploring transportation equity: Development and application of a transportation justice framework. Transp. Res. D Transp. Environ. 2016, 47, 285–298. [Google Scholar] [CrossRef]


| Variable | Mean | Standard Deviation |
|---|---|---|
| Perceived social equity (1–5) | 3.26 | 0.93 |
| Daily commuting time (min) | 41.92 | 42.12 |
| Weekly working time (h) | 45.55 | 15.74 |
| Annual wages (yuan) | 48,248.31 | 55,860.67 |
| Age (years) | 39.52 | 9.92 |
| Gender (%) | ||
| Male | 53.52 | |
| Female | 46.48 | |
| Marital status (%) | ||
| Single | 16.59 | |
| Married | 79.70 | |
| Divorced or widowed | 3.70 | |
| Party member (%) | ||
| Yes | 18.96 | |
| No | 81.04 | |
| Hukou (%) | ||
| Agricultural hukou | 29.98 | |
| Non-agricultural hukou | 70.02 | |
| Educational attainment (%) | ||
| Primary school or below | 6.82 | |
| Junior high school | 24.78 | |
| Senior high school | 26.03 | |
| College or above | 42.37 | |
| Workplace (%) | ||
| In the neighbourhood | 35.40 | |
| In the town | 11.15 | |
| In the county | 37.80 | |
| Outside the county | 15.66 | |
| Occupation (%) | ||
| Civil servants and technicians | 20.02 | |
| Service personnel | 56.32 | |
| Farm personnel | 2.21 | |
| Manufacturing personnel | 21.05 | |
| Other | 0.40 |
| Transport Mode | Perceived Social Equity (Mean Value, min) | Commuting Time Daily (Mean Value, min) | Working Time Weekly (Mean Value, h) |
|---|---|---|---|
| Walking | 3.21 (SD = 0.94) | 20.68 (SD = 17.83) | 47.07 (SD = 16.91) |
| Bicycle | 3.12 (SD = 1.06) | 36.65 (SD = 27.60) | 45.35 (SD = 14.81) |
| Motorcycle | 3.25 (SD = 0.91) | 32.15 (SD = 34.18) | 47.68 (SD = 16.50) |
| Public transport | 3.29 (SD = 0.92) | 73.32 (SD = 51.34) | 42.79 (SD = 14.11) |
| Private car | 3.44 (SD = 0.87) | 48.19 (SD = 40.86) | 44.65 (SD = 14.35) |
| Independent Variables | Model 1 | Model 2 | ||
|---|---|---|---|---|
| OR | 95% CI | OR | CI | |
| Logarithm of the daily commute | 0.902 ** | (0.832, 0.979) | 0.692 | (0.242, 1.978) |
| Logarithm of weekly working time | 0.831 ** | (0.715, 0.965) | 1.042 | (0.250, 4.348) |
| Logarithm of annual wages | 1.400 *** | (1.281, 1.529) | 1.193 | (0.660, 2.155) |
| Control variables | ||||
| Gender (reference: male) | 1.091 | (0.948, 1.255) | 1.092 | (0.949, 1.256) |
| Age | 0.986 *** | (0.977, 0.994) | 0.986 *** | (0.977, 0.994) |
| Marital status (reference: single) | ||||
| Married | 0.883 | (0.714, 1.092) | 0.880 | (0.712, 1.089) |
| Divorced or widowed | 0.920 | (0.621, 1.364) | 0.917 | (0.618, 1.359) |
| Party member (reference: yes) | 0.764 *** | (0.634, 0.921) | 0.765 *** | (0.635, 0.922) |
| Hukou (reference: agricultural hukou) | 0.933 | (0.781, 1.115) | 0.933 | (0.781, 1.115) |
| Educational attainments (reference: primary school or below) | ||||
| Junior high school | 0.969 | (0.728, 1.290) | 0.974 | (0.731, 1.298) |
| Senior high school | 0.996 | (0.736, 1.347) | 1.004 | (0.742, 1.359) |
| College or above | 1.040 | (0.754, 1.437) | 1.043 | (0.755, 1.441) |
| Workplace (reference: in the neighbourhood) | ||||
| In the town | 1.142 | (0.905, 1.441) | 1.145 | (0.908, 1.445) |
| In the county | 1.024 | (0.864, 1.214) | 1.026 | (0.865, 1.216) |
| Outside the county | 0.930 | (0.743, 1.164) | 0.920 | (0.734, 1.152) |
| Occupation (reference: civil servants and technicians) | ||||
| Service personnel | 1.161 | (0.967, 1.395) | 1.162 | (0.968, 1.395) |
| Farm personnel | 2.519 *** | (1.493, 4.249) | 2.506 *** | (1.482, 4.236) |
| Manufacturing personnel | 1.046 | (0.827, 1.323) | 1.048 | (0.829, 1.326) |
| Others | 0.916 | (0.304, 2.758) | 0.918 | (0.304, 2.776) |
| Logarithm of the daily commute × logarithm of annual wages | 1.051 | (0.964, 1.146) | ||
| Logarithm of weekly working time × logarithm of annual wages | 0.999 | (0.872, 1.144) | ||
| Logarithm of the daily commute × logarithm of the working time weekly | 0.935 | (0.805, 1.085) | ||
| Number of individuals | 3212 | 3212 | ||
| Number of cities | 76 | 76 | ||
| Log likelihood | −3946.632 | −3945.632 | ||
| Chi-squared | 116.402 | 118.761 | ||
| Model 3: Walking | Model 4: Bicycle | Model 5: Motorcycle | Model 6: Public Transport | Model 7: Private Car | ||||||
|---|---|---|---|---|---|---|---|---|---|---|
| Independent variable | OR | 95% CI | OR | 95% CI | OR | 95% CI | OR | 95% CI | OR | 95% CI |
| Logarithm of daily commute time | 0.822 ** | (0.702, 0.962) | 0.789 | (0.549, 1.133) | 0.756 ** | (0.605, 0.946) | 0.877 | (0.707, 1.087) | 0.933 | (0.722, 1.205) |
| Logarithm of weekly working time | 0.949 | (0.723, 1.245) | 0.730 | (0.400, 1.331) | 0.832 | (0.597, 1.159) | 0.753 * | (0.554, 1.024) | 0.671 | (0.399, 1.128) |
| Logarithm of annual wages | 1.253 *** | (1.062, 1.480) | 1.820 *** | (1.240, 2.671) | 1.444 *** | (1.172, 1.780) | 1.356 *** | (1.138, 1.616) | 1.365 ** | (1.061, 1.756) |
| Control variables | ||||||||||
| Gender (reference: male) | 1.163 | (0.888, 1.523) | 1.535 | (0.912, 2.583) | 1.243 | (0.909, 1.700) | 1.086 | (0.809, 1.457) | 0.930 | (0.595, 1.454) |
| Age | 0.992 | (0.976, 1.009) | 0.979 | (0.951, 1.009) | 0.978 ** | (0.960, 0.997) | 0.970 *** | (0.951, 0.989) | 1.001 | (0.976, 1.027) |
| Marital status (reference: single) | ||||||||||
| Married | 0.974 | (0.644, 1.474) | 0.835 | (0.309, 2.256) | 0.652 * | (0.396, 1.074) | 1.099 | (0.731, 1.652) | 1.123 | (0.606, 2.082) |
| Divorced or widowed | 0.917 | (0.430, 1.957) | 0.768 | (0.211, 2.791) | 0.585 | (0.251, 1.363) | 1.237 | (0.525, 2.915) | 2.927 | (0.730, 11.741) |
| Party member (reference: yes) | 0.759 | (0.527, 1.093) | 1.018 | (0.456, 2.273) | 0.608 ** | (0.372, 0.993) | 0.916 | (0.628, 1.334) | 0.581 ** | (0.375, 0.899) |
| Hukou (ref: agricultural hukou) | 0.854 | (0.621, 1.173) | 1.088 | (0.559, 2.119) | 1.287 | (0.906, 1.829) | 0.927 | (0.618, 1.390) | 0.944 | (0.542, 1.642) |
| Educational attainment (reference: primary school or below) | ||||||||||
| Junior high school | 1.250 | (0.778, 2.010) | 1.983 * | (0.932, 4.219) | 0.474 ** | (0.253, 0.889) | 0.726 | (0.335, 1.570) | 0.974 | (0.246, 3.859) |
| Senior high school | 1.468 | (0.881, 2.447) | 1.354 | (0.590, 3.108) | 0.336 *** | (0.170, 0.663) | 0.981 | (0.460, 2.094) | 0.958 | (0.243, 3.769) |
| College or above | 1.664 * | (0.962, 2.877) | 0.816 | (0.306, 2.178) | 0.400 ** | (0.191, 0.839) | 0.916 | (0.416, 2.019) | 0.699 | (0.176, 2.780) |
| Workplace (reference: in the neighbourhood) | ||||||||||
| In the town | 1.186 | (0.701, 2.005) | 1.255 | (0.581, 2.711) | 0.895 | (0.575, 1.392) | 1.256 | (0.702, 2.248) | 0.816 | (0.401, 1.659) |
| In the county | 0.966 | (0.704, 1.325) | 1.380 | (0.766, 2.485) | 0.838 | (0.585, 1.200) | 1.137 | (0.742, 1.741) | 0.949 | (0.570, 1.582) |
| Beyond the county | 0.872 | (0.545, 1.397) | 1.199 | (0.526, 2.734) | 1.135 | (0.586, 2.196) | 0.908 | (0.557, 1.480) | 0.609 | (0.332, 1.119) |
| Occupation (reference: civil servants and technicians) | ||||||||||
| Service personnel | 1.086 | (0.759, 1.555) | 2.066 | (0.825, 5.176) | 1.193 | (0.752, 1.894) | 1.010 | (0.706, 1.445) | 1.159 | (0.744, 1.805) |
| Farm personnel | 2.126 * | (0.906, 4.990) | 12.602 * | (0.870, 182.455) | 3.147 ** | (1.183, 8.370) | 1.011 | (0.139, 7.343) | 4.278 | (0.067, 273.776) |
| Manufacturing personnel | 1.108 | (0.695, 1.766) | 2.250 | (0.800, 6.325) | 0.957 | (0.562, 1.628) | 0.905 | (0.543, 1.509) | 1.148 | (0.614, 2.146) |
| Others | 3.967 | (0.299, 52.676) | 0.407 | (0.015, 10.766) | 0.254 | (0.030, 2.126) | 0.384 | (0.055, 2.676) | 5.868 | (0.094, 367.340) |
| Number of individuals | 924 | 243 | 690 | 743 | 448 | |||||
| Number of cities | 75 | 49 | 71 | 63 | 67 | |||||
| Log likelihood | −1141.654 | −329.377 | −821.180 | −892.524 | −508.647 | |||||
| Chi-squared | 29.192 | 25.537 | 54.176 | 38.094 | 21.633 | |||||
| Model 8: Walking | Model 9: Bicycle | Model 10: Motorcycle | Model 11: Public Transport | Model 12: Private Car | ||||||
|---|---|---|---|---|---|---|---|---|---|---|
| Independent variable | OR | 95% CI | OR | 95% CI | OR | 95% CI | OR | 95% CI | OR | 95% CI |
| Logarithm of daily commute time | 0.498 | (0.058, 4.251) | 0.481 | (0.003, 72.493) | 0.053 * | (0.002, 1.462) | 0.747 | (0.030, 18.503) | 555.976 *** | (6.381, 48444.278) |
| Logarithm of weekly working time | 0.632 | (0.059, 6.780) | 1.378 | (0.001, 2334.851) | 0.387 | (0.007, 20.156) | 2.852 | (0.113, 71.925) | 0.001 * | (0.000, 2.363) |
| Logarithm of annual wages | 1.281 | (0.470, 3.486) | 3.712 | (0.187, 73.686) | 0.413 | (0.082, 2.066) | 1.374 | (0.367, 5.144) | 0.358 | (0.019, 6.843) |
| Control variables | ||||||||||
| Gender (reference: male) | 1.160 | (0.886, 1.519) | 1.523 | (0.905, 2.565) | 1.234 | (0.902, 1.688) | 1.091 | (0.812, 1.465) | 0.927 | (0.593, 1.448) |
| Age | 0.992 | (0.976, 1.009) | 0.980 | (0.951, 1.010) | 0.978 ** | (0.960, 0.996) | 0.970 *** | (0.951, 0.989) | 1.000 | (0.975, 1.026) |
| Marital status (reference: single) | ||||||||||
| Married | 0.979 | (0.647, 1.482) | 0.861 | (0.316, 2.344) | 0.646 * | (0.392, 1.065) | 1.087 | (0.722, 1.635) | 1.097 | (0.590, 2.039) |
| Divorced or widowed | 0.930 | (0.436, 1.986) | 0.823 | (0.219, 3.091) | 0.575 | (0.246, 1.344) | 1.220 | (0.518, 2.878) | 2.667 | (0.674, 10.553) |
| Party member (reference: yes) | 0.761 | (0.528, 1.096) | 1.045 | (0.465, 2.347) | 0.625 * | (0.382, 1.021) | 0.925 | (0.634, 1.350) | 0.566 ** | (0.364, 0.879) |
| Hukou (reference: agricultural hukou) | 0.857 | (0.623, 1.179) | 1.069 | (0.548, 2.084) | 1.299 | (0.913, 1.849) | 0.933 | (0.622, 1.400) | 1.008 | (0.573, 1.774) |
| Educational attainment (reference: primary school or below) | ||||||||||
| Junior high school | 1.248 | (0.775, 2.007) | 2.005 * | (0.939, 4.281) | 0.465 ** | (0.246, 0.879) | 0.740 | (0.342, 1.604) | 0.905 | (0.231, 3.551) |
| Senior high school | 1.454 | (0.871, 2.428) | 1.374 | (0.597, 3.161) | 0.330 *** | (0.166, 0.655) | 0.990 | (0.463, 2.115) | 0.912 | (0.234, 3.549) |
| College or above | 1.667 * | (0.962, 2.887) | 0.828 | (0.308, 2.225) | 0.391 ** | (0.185, 0.827) | 0.926 | (0.420, 2.042) | 0.633 | (0.160, 2.506) |
| Workplace (reference: in the neighbourhood) | ||||||||||
| In the town | 1.180 | (0.696, 1.999) | 1.264 | (0.581, 2.749) | 0.934 | (0.599, 1.456) | 1.261 | (0.704, 2.259) | 0.749 | (0.366, 1.529) |
| In the county | 0.967 | (0.704, 1.328) | 1.392 | (0.768, 2.521) | 0.837 | (0.584, 1.200) | 1.159 | (0.755, 1.778) | 0.861 | (0.514, 1.442) |
| Beyond the county | 0.869 | (0.542, 1.393) | 1.257 | (0.539, 2.930) | 1.076 | (0.555, 2.085) | 0.915 | (0.561, 1.492) | 0.608 | (0.330, 1.120) |
| Occupation (reference: civil servants and technicians) | ||||||||||
| Service personnel | 1.075 | (0.750, 1.540) | 2.068 | (0.819, 5.223) | 1.217 | (0.766, 1.933) | 1.010 | (0.706, 1.446) | 1.192 | (0.763, 1.861) |
| Farm personnel | 2.115 * | (0.897, 4.989) | 12.547 * | (0.861, 182.804) | 3.429 ** | (1.274, 9.232) | 1.039 | (0.142, 7.620) | 4.438 | (0.065, 300.651) |
| Manufacturing personnel | 1.097 | (0.688, 1.750) | 2.289 | (0.812, 6.453) | 0.974 | (0.572, 1.659) | 0.919 | (0.550, 1.536) | 1.210 | (0.645, 2.272) |
| Others | 3.730 | (0.274, 50.747) | 0.418 | (0.016, 11.071) | 0.282 | (0.033, 2.380) | 0.380 | (0.054, 2.651) | 8.959 | (0.134, 597.614) |
| Interaction part | ||||||||||
| Logarithm of the daily commute × logarithm of annual wages | 0.990 | (0.828, 1.185) | 0.955 | (0.613, 1.485) | 1.329 * | (0.998, 1.768) | 1.068 | (0.841, 1.357) | 0.659 ** | (0.468, 0.928) |
| Logarithm of weekly working time × logarithm of annual wages | 1.001 | (0.798, 1.256) | 0.859 | (0.430, 1.718) | 1.096 | (0.787, 1.525) | 0.928 | (0.705, 1.220) | 2.100 * | (0.999, 4.413) |
| Logarithm of daily commute time × logarithm of weekly working time | 1.173 | (0.861, 1.598) | 1.299 | (0.585, 2.883) | 0.937 | (0.612, 1.436) | 0.867 | (0.553, 1.360) | 0.629 | (0.339, 1.167) |
| Number of individuals | 924 | 243 | 690 | 743 | 448 | |||||
| Number of cities | 75 | 49 | 71 | 63 | 67 | |||||
| Log likelihood | −1141.131 | −329.072 | −819.145 | −891.978 | −503.847 | |||||
| Chi-squared | 30.122 | 26.007 | 57.927 | 39.063 | 31.021 | |||||
© 2019 by the authors. Licensee MDPI, Basel, Switzerland. This article is an open access article distributed under the terms and conditions of the Creative Commons Attribution (CC BY) license (http://creativecommons.org/licenses/by/4.0/).
Share and Cite
Li, X.; Chen, H.; Shi, Y.; Shi, F. Transportation Equity in China: Does Commuting Time Matter? Sustainability 2019, 11, 5884. https://doi.org/10.3390/su11215884
Li X, Chen H, Shi Y, Shi F. Transportation Equity in China: Does Commuting Time Matter? Sustainability. 2019; 11(21):5884. https://doi.org/10.3390/su11215884
Chicago/Turabian StyleLi, Xiaoyun, Hongsheng Chen, Yu Shi, and Feng Shi. 2019. "Transportation Equity in China: Does Commuting Time Matter?" Sustainability 11, no. 21: 5884. https://doi.org/10.3390/su11215884
APA StyleLi, X., Chen, H., Shi, Y., & Shi, F. (2019). Transportation Equity in China: Does Commuting Time Matter? Sustainability, 11(21), 5884. https://doi.org/10.3390/su11215884
