Relation between Urban Volume and Land Surface Temperature: A Comparative Study of Planned and Traditional Cities in Japan
Abstract
1. Introduction
2. Materials and Methods
2.1. Study Areas: Tsukuba and Tsuchiura, Japan
2.2. Data and Preprocessing
2.3. Digital Terrain Model (DTM) and Surface Feature Height (SFH) Derivation
2.4. Land Use/Land Cover Classification
2.5. Built-Up and Green Volume Calculation
2.6. LST Retrieval and Magnitude of Mean LST
2.7. Urban Spatial Structure with Mean LST
3. Results
3.1. DTM and SFH in Tsukuba and Tsuchiura
3.2. Land Use/Land Cover and LST Pattern in Tsukuba and Tsuchiura
3.3. Estimated UBV and UGV in Tsukuba and Tsuchiura
3.4. LST Pattern in Tsukuba and Tsuchiura
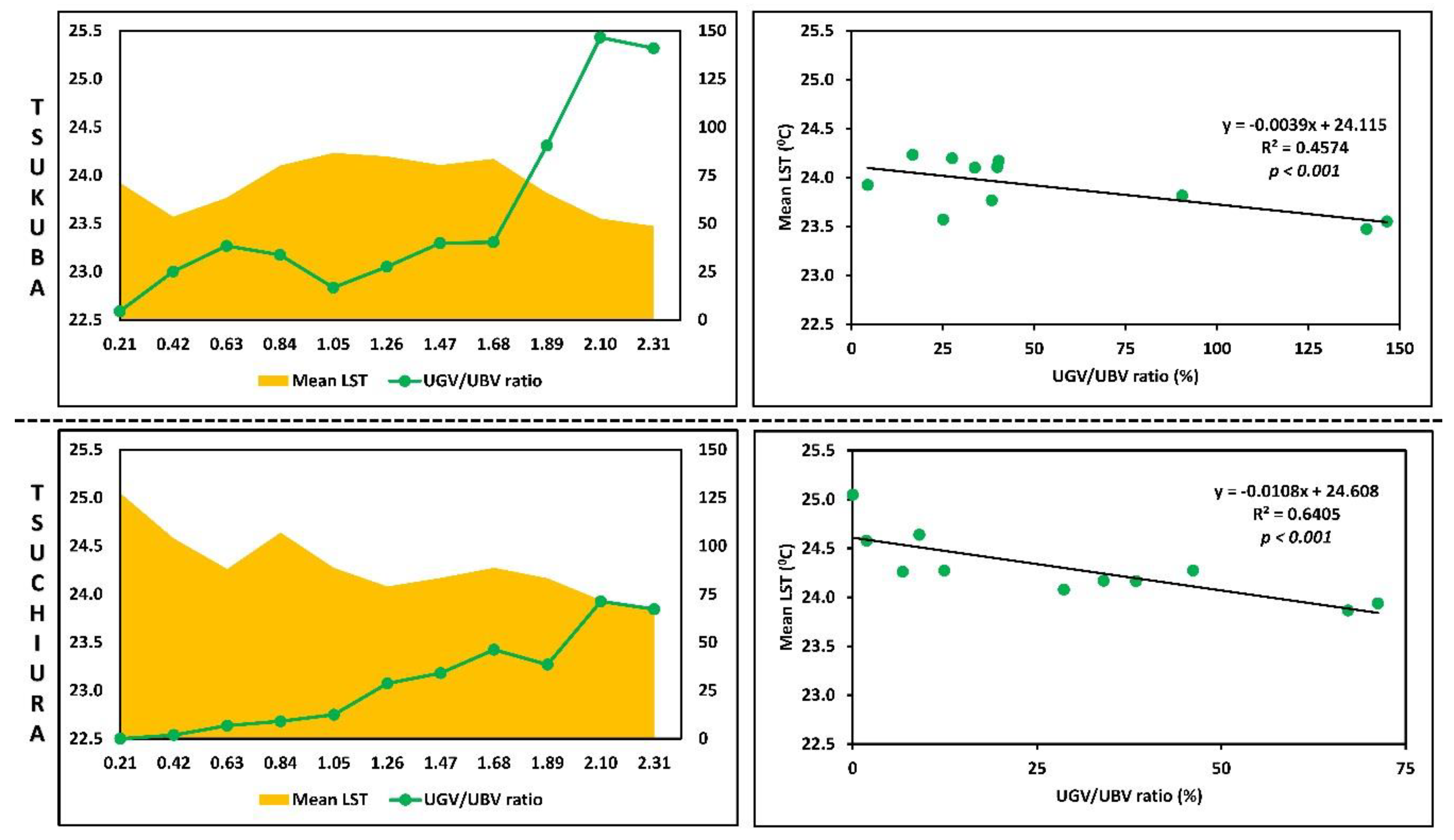
3.5. Urban Spatial Structure with Mean LST
4. Discussion
5. Conclusions
Author Contributions
Funding
Acknowledgments
Conflicts of Interest
References
- Koomen, E.; Rietveld, P.; Bacao, F. The third dimension in urban geography: The urban-volume approach. Environ. Plan. B Plan. Des. 2009, 36, 1008–1025. [Google Scholar] [CrossRef]
- Estoque, R.C.; Murayama, Y.; Tadono, T.; Thapa, R.B. Measuring urban volume: Geospatial technique and application. Tsukuba Geoenviron. Sci. 2015, 11, 13–20. [Google Scholar]
- Estoque, R.C.; Murayama, Y.; Ranagalage, M.; Hou, H.; Subasinghe, S. Validating ALOS PRISM DSM-derived surface feature height: Implications for urban volume estimation. Tsukuba Geoenviron. Sci. 2017, 13, 13–22. [Google Scholar]
- Handayani, H.H.; Estoque, R.C.; Murayama, Y. Estimation of built-up and green volume using geospatial techniques: A case study of Surabaya, Indonesia. Sustain. Cities Soc. 2018, 37, 581–593. [Google Scholar] [CrossRef]
- Hecht, R.; Meinel, G.; Buchroithner, M.F. Estimation of urban green volume based on single-pulse LiDAR data. IEEE Trans. Geosci. Remote Sens. 2008, 46, 3832–3840. [Google Scholar] [CrossRef]
- Naesset, E. Determination of mean tree height of forest stands using airborne laser scanner data. ISPRS J. Photogramm. Remote Sens. 1997, 52, 49–56. [Google Scholar] [CrossRef]
- Huang, Y.; Yu, B.; Zhou, J.; Hu, C.; Tan, W.; Hu, Z.; Wu, J. Toward automatic estimation of urban green volume using airborne LiDAR data and high resolution Remote Sensing images. Front. Earth Sci. 2013, 7, 43–54. [Google Scholar] [CrossRef]
- Lee, J.H.; Ko, Y.; McPherson, E.G. The feasibility of remotely sensed data to estimate urban tree dimensions and biomass. Urban For. Urban Green. 2016, 16, 208–220. [Google Scholar] [CrossRef]
- Giannico, V.; Lafortezza, R.; John, R.; Sanesi, G.; Pesola, L.; Chen, J. Estimating stand volume and above-ground biomass of urban forests using LiDAR. Remote Sens. 2016, 8, 339. [Google Scholar] [CrossRef]
- Santos, T.; Rodrigues, A.; Tenedório, J.A. Characterizing urban volumetry using lidar data. Int. Arch. Photogramm. Remote Sens. Spat. Inf. Sci. 2013, XL-4/W1, 29–31. [Google Scholar] [CrossRef]
- Lefsky, M.A.; Cohen, W.B.; Acker, S.A.; Parker, G.G.; Spies, T.A.; Harding, D. Lidar remote sensing of the canopy structure and biophysical properties of Douglas-fir western hemlock forests. Remote Sens. Environ. 1999, 70, 339–361. [Google Scholar] [CrossRef]
- Holston, J. The Modernist City: An Anthropological Critique of Brasília; University of Chicago Press: Chicago, IL, USA, 1989. [Google Scholar]
- Sharifi, A.; Murayama, A. Changes in the traditional urban form and the social sustainability of contemporary cities: A case study of Iranian cities. Habitat Int. 2013, 38, 126–134. [Google Scholar] [CrossRef]
- Cervero, R. The planned city: Coping with decentralization: An American perspective. In Proceedings of the Workshop on The planned City, International Conference on “Cities on the Threshold of the 21st Century”, Utrecht University, Netherlands, April 1998; Available online: https://escholarship.org/uc/item/5b29d0fd (accessed on 10 June 2018).
- Ranagalage, M.; Estoque, R.C.; Zhang, X.; Murayama, Y. Spatial changes of urban heatisland formation in the Colombo District, Sri Lanka: Implications for sustainability planning. Sustainability 2018, 10, 1367. [Google Scholar] [CrossRef]
- Bokaie, M.; Zarkesh, M.K.; Arasteh, P.D.; Hosseini, A. Assessment of urban heat island based on the relationship between land surface temperature and land use/land cover in Tehran. Sustain. Cities Soc. 2016, 23, 94–104. [Google Scholar] [CrossRef]
- Estoque, R.C.; Murayama, Y.; Myint, S.W. Effects of landscape composition and pattern on land surface temperature: An urban heat island study in the megacities of Southeast Asia. Sci. Total Environ. 2017, 577, 349–359. [Google Scholar] [CrossRef] [PubMed]
- Xiao, R.; Ouyang, Z.; Zheng, H.; Li, W.; Schienke, E.W.; Wang, X. Spatial pattern of impervious surfaces and their impacts on land surface temperature in Beijing, China. J. Environ. Sci. (China) 2007, 19, 250–256. [Google Scholar] [CrossRef]
- Ranagalage, M.; Estoque, R.C.; Murayama, Y. An urban heat island study of the Colombo Metropolitan Area, Sri Lanka, based on landsat data (1997–2017). ISPRS Int. J. Geo-Inf. 2017, 6, 189. [Google Scholar] [CrossRef]
- Zhang, X.; Estoque, R.C.; Murayama, Y. An urban heat island study in Nanchang City, China based on land surface temperature and social-ecological variables. Sustain. Cities Soc. 2017, 32, 557–568. [Google Scholar] [CrossRef]
- Estoque, R.C.; Murayama, Y. Monitoring surface urban heat island formation in a tropical mountain city using Landsat data (1987–2015). ISPRS J. Photogramm. Remote Sens. 2017, 133, 18–29. [Google Scholar] [CrossRef]
- Thapa, R.B.; Murayama, Y. Urban mapping, accuracy, & image classification: A comparison of multiple approaches in Tsukuba City, Japan. Appl. Geogr. 2009, 29, 135–144. [Google Scholar]
- Onishi, A.; Cao, X.; Ito, T.; Shi, F.; Imura, H. Evaluating the potential for urban heat-island mitigation by greening parking lots. Urban For. Urban Green. 2010, 9, 323–332. [Google Scholar] [CrossRef]
- Huang, M.; Cui, P.; He, X. Study of the cooling effects of urban green space in Harbin in terms of reducing the heat island effect. Sustainability 2018, 10, 1101. [Google Scholar] [CrossRef]
- Jin, H.; Cui, P.; Wong, N.; Ignatius, M. Assessing the effects of urban morphology parameters on microclimate in singapore to control the urban heat island effect. Sustainability 2018, 10, 206. [Google Scholar] [CrossRef]
- Feyisa, G.L.; Dons, K.; Meilby, H. Efficiency of parks in mitigating urban heat island effect: An example from Addis Ababa. Landsc. Urban Plan. 2014, 123, 87–95. [Google Scholar] [CrossRef]
- Kardinal Jusuf, S.; Wong, N.H.; Hagen, E.; Anggoro, R.; Hong, Y. The influence of land use on the urban heat island in Singapore. Habitat Int. 2007, 31, 232–242. [Google Scholar] [CrossRef]
- Li, Y.Y.; Zhang, H.; Kainz, W. Monitoring patterns of urban heat islands of the fast-growing Shanghai metropolis, China: Using time-series of Landsat TM/ETM+ data. Int. J. Appl. Earth Obs. Geoinf. 2012, 19, 127–138. [Google Scholar] [CrossRef]
- Liu, K.; Su, H.; Zhang, L.; Yang, H.; Zhang, R.; Li, X. Analysis of the urban heat Island effect in Shijiazhuang, China using satellite and airborne data. Remote Sens. 2015, 7, 4804–4833. [Google Scholar] [CrossRef]
- Murayama, Y. Japanese Urban System. Kluwer Academic Publishers: Dordrecht, The Netherlands, 2000. [Google Scholar]
- Tokyo Climate Center. TCC News. 2011, pp. 1–8. Available online: http://ds.data.jma.go.jp/tcc/tcc/news/tccnews25.pdf (accessed on 10 June 2018).
- Statistics Bureau, J. Population Data 2017. Statistics Bureau of Japan, Ministry of Internal Affairs and Communication, Japan. Available online: http://www.stat.go.jp/english (accessed on 10 June 2018).
- USGS. EarthExplore 2017. Available online: https://earthexplorer.usgs.gov/ (accessed on 1 December 2017).
- Tadono, T.; Takaku, J.; Shimada, M. Validation study on Alos Prism Dsm Mosaic and Aster Gdem 2. ISPRS Ann. Photogramm. Remote Sens. Spat. Inf. Sci. 2012, I-4, 193–198. [Google Scholar] [CrossRef]
- Japan Aerospace Exploration Agency. ALOS Product Format Description (PRISM); NEC Toshiba Space Systems Ltd: Tsukuba, Japan, 2010. Available online: http://www.ga.gov.au/__data/assets/pdf_file/0017/11717/GA10285.pdf (accessed on 11 June 2018).
- Krivoruchko, K. Empirical Bayesian Kriging: Implemented in ArcGIS Geostatistical Analyst. ESRI, 2012. Available online: https://www.esri.com/news/arcuser/1012/files/ebk.pdf (accessed on 10 June 2018).
- Xu, H. Modification of normalised difference water index (NDWI) to enhance open water features in remotely sensed imagery. Int. J. Remote Sens. 2006, 27, 3025–3033. [Google Scholar] [CrossRef]
- Ji, L.; Zhang, L.; Wylie, B. Analysis of dynamic thresholds for the normalized difference water index. Photogramm. Eng. Remote Sens. 2009, 75, 1307–1317. [Google Scholar] [CrossRef]
- Otsu, N. A Threshold selection method from gray-level histograms. IEEE Trans. Syst. Man. Cybern. 1979, 9, 62–66. [Google Scholar] [CrossRef]
- Li, W.; Du, Z.; Ling, F.; Zhou, D.; Wang, H.; Gui, Y.; Sun, B.; Zhang, X. A comparison of land surface water mapping using the normalized difference water index from TM, ETM+ and ALI. Remote Sens. 2013, 5, 5530–5549. [Google Scholar] [CrossRef]
- Estoque, R.C.; Murayama, Y. Classification and change detection of built-up lands from Landsat-7 ETM+ and Landsat-8 OLI/TIRS imageries: A comparative assessment of various spectral indices. Ecol. Indic. 2015, 56, 205–217. [Google Scholar] [CrossRef]
- Zhang, Y.; Odeh, I.O.A.; Han, C. Bi-temporal characterization of land surface temperature in relation to impervious surface area, NDVI and NDBI, using a sub-pixel image analysis. Int. J. Appl. Earth Obs. Geoinf. 2009, 11, 256–264. [Google Scholar] [CrossRef]
- Chander, G.; Markham, B.L.; Helder, D.L. Summary of current radiometric calibration coefficients for Landsat MSS, TM, ETM+, and EO-1 ALI sensors. Remote Sens. Environ. 2009, 113, 893–903. [Google Scholar] [CrossRef]
- Weng, Q. Thermal infrared remote sensing for urban climate and environmental studies: Methods, applications, and trends. ISPRS J. Photogramm. Remote Sens. 2009, 64, 335–344. [Google Scholar] [CrossRef]
- Sobrino, J.A.; Jiménez-Muñoz, J.C.; Paolini, L. Land surface temperature retrieval from LANDSAT TM 5. Remote Sens. Environ. 2004, 90, 434–440. [Google Scholar] [CrossRef]
- Weng, Q.; Lu, D.; Schubring, J. Estimation of land surface temperature-vegetation abundance relationship for urban heat island studies. Remote Sens. Environ. 2004, 89, 467–483. [Google Scholar] [CrossRef]
- Myint, S.W.; Brazel, A.; Okin, G.; Buyantuyev, A. combined effects of impervious surface and vegetation cover on air temperature variations in a rapidly expanding desert city. GISci. Remote Sens. 2010, 47, 301–320. [Google Scholar] [CrossRef]
- Gunaalan, K.; Ranagalage, M.; Gunarathna, M.H.J.P.; Kumari, M.K.N.; Vithanage, M.; Srivaratharasan, T.; Saravanan, S.; Warnasuriya, T.W.S. Application of geospatial techniques for groundwater quality and availability assessment: A case study in Jaffna Peninsula, Sri Lanka. ISPRS Int. J. Geo-Inf. 2018, 7, 20. [Google Scholar] [CrossRef]
- Kikon, N.; Singh, P.; Singh, S.K.; Vyas, A. Assessment of urban heat islands (UHI) of Noida City, India using multi-temporal satellite data. Sustain. Cities Soc. 2016, 22, 19–28. [Google Scholar] [CrossRef]
- Lambert, B.H. Building Innovative Communities: Lessons from Japan’s Science City Projects; European Institute of Japanese Studies: Stockholm, Sweden, 2000; Volume 107, p. 24. Available online: https://swopec.hhs.se/eijswp/papers/eijswp0107.pdf (accessed on 15 June 2018).
- Lee, H.Y. Lessons from Science City Projects and Their Success Factors. Ph.D. Thesis, Massachusetts Institute of Technology, Cambridge, MA, USA, 2002. [Google Scholar]
- Ahmed, A.Q.; Ossen, D.R.; Jamei, E.; Manaf, N.A.; Said, I.; Ahmad, M.H. Urban surface temperature behaviour and heat island effect in a tropical planned city. Theor. Appl. Climatol. 2015, 119, 493–514. [Google Scholar] [CrossRef]
- Senanayake, I.P.; Welivitiya, W.D.D.P.; Nadeeka, P.M. Remote sensing based analysis of urban heat islands with vegetation cover in Colombo city, Sri Lanka using Landsat-7 ETM+ data. Urban Clim. 2013, 5, 19–35. [Google Scholar] [CrossRef]
- Hamada, S.; Ohta, T. Seasonal variations in the cooling effect of urban green areas on surrounding urban areas. Urban For. Urban Green. 2010, 9, 15–24. [Google Scholar] [CrossRef]
- Oliveira, S.; Andrade, H.; Vaz, T. The cooling effect of green spaces as a contribution to the mitigation of urban heat: A case study in Lisbon. Build. Environ. 2011, 46, 2186–2194. [Google Scholar] [CrossRef]
- Li, X.; Zhou, W.; Ouyang, Z.; Xu, W.; Zheng, H. Spatial pattern of greenspace affects land surface temperature: Evidence from the heavily urbanized Beijing metropolitan area, China. Landsc. Ecol. 2012, 27, 887–898. [Google Scholar] [CrossRef]






| Category | Index | Thresholding Method | Description |
|---|---|---|---|
| Water | Modified normalized difference water index (MNDWI, Equation (2)) | Otsu’s optimal binary thresholding [39] | All water bodies |
| Built-up | Visible red and near-infrared (NIR)-based built-up index (VrNIR-BI, Equation (3)) | Manual (Built ≥ − 0.2) | All built-up surfaces |
| Green space | Normalized difference vegetation index (NDVI) (Equation (4)) | Manual (Green ≥ 0.495) | All green surface |
| Other (cropland, grassland, bare land, rivers, etc.) | Normalized difference vegetation index (NDVI) (Equation (4)) | Manual (Other < 0.495) | All land areas excluding built-up, green surface, and water |
| Land Use/Land Cover Categories | Tsukuba (%) | Tsuchiura (%) |
|---|---|---|
| Built-up | 27.4 | 39.6 |
| Green | 19.8 | 11.2 |
| Other (cropland, grassland, bare land, rivers, etc.) | 52.8 | 49.2 |
| Total | 100 | 100 |
| (a) Mean LST of built-up and green (°C) | |||
| Land use/land cover | Tsukuba | Tsuchiura | Difference (Tsuchiura − Tsukuba) |
| Built-up | 24.5 | 24.9 | 0.4 |
| Green | 22.8 | 23.1 | 0.3 |
| Other | 23.8 | 23.7 | −0.1 |
| (b) The magnitude and mean LST (°C) | |||
| Land use/land cover (cross-cover comparison) | (∆ mean LST) | Difference (Tsuchiura − Tsukuba) | |
| Tsukuba | Tsuchiura | ||
| Built-up—Green | 1.7 | 1.8 | 0.1 |
| Built-up—Others | 0.8 | 1.1 | 0.3 |
| Others—Green | 1.0 | 0.6 | −0.4 |
| UGV–UBV Ratio | Tsukuba | Tsuchiura |
|---|---|---|
| Minimum | 4.4 | 0 |
| Maximum | 146.5 | 71.2 |
| Average | 54.9 | 28.7 |
© 2018 by the authors. Licensee MDPI, Basel, Switzerland. This article is an open access article distributed under the terms and conditions of the Creative Commons Attribution (CC BY) license (http://creativecommons.org/licenses/by/4.0/).
Share and Cite
Ranagalage, M.; Estoque, R.C.; Handayani, H.H.; Zhang, X.; Morimoto, T.; Tadono, T.; Murayama, Y. Relation between Urban Volume and Land Surface Temperature: A Comparative Study of Planned and Traditional Cities in Japan. Sustainability 2018, 10, 2366. https://doi.org/10.3390/su10072366
Ranagalage M, Estoque RC, Handayani HH, Zhang X, Morimoto T, Tadono T, Murayama Y. Relation between Urban Volume and Land Surface Temperature: A Comparative Study of Planned and Traditional Cities in Japan. Sustainability. 2018; 10(7):2366. https://doi.org/10.3390/su10072366
Chicago/Turabian StyleRanagalage, Manjula, Ronald C. Estoque, Hepi H. Handayani, Xinmin Zhang, Takehiro Morimoto, Takeo Tadono, and Yuji Murayama. 2018. "Relation between Urban Volume and Land Surface Temperature: A Comparative Study of Planned and Traditional Cities in Japan" Sustainability 10, no. 7: 2366. https://doi.org/10.3390/su10072366
APA StyleRanagalage, M., Estoque, R. C., Handayani, H. H., Zhang, X., Morimoto, T., Tadono, T., & Murayama, Y. (2018). Relation between Urban Volume and Land Surface Temperature: A Comparative Study of Planned and Traditional Cities in Japan. Sustainability, 10(7), 2366. https://doi.org/10.3390/su10072366

