An Introduction to the Hyperspace of Hargreaves-Samani Reference Evapotranspiration
Abstract
:1. Introduction
2. Materials and Methods
2.1. Hargreaves-Samani ETo Equations
2.2. Computer Program
2.2.1. Domain Discretization
2.2.2. Settings of Temperature Variables
2.3. Data Information
2.3.1. Thresholds of Variables
- To reveal the maximum feasible region
- To cover almost all conditions in the world over any period.
2.3.2. Nodal Data
3. Results and Discussion
3.1. Variations of Temperature
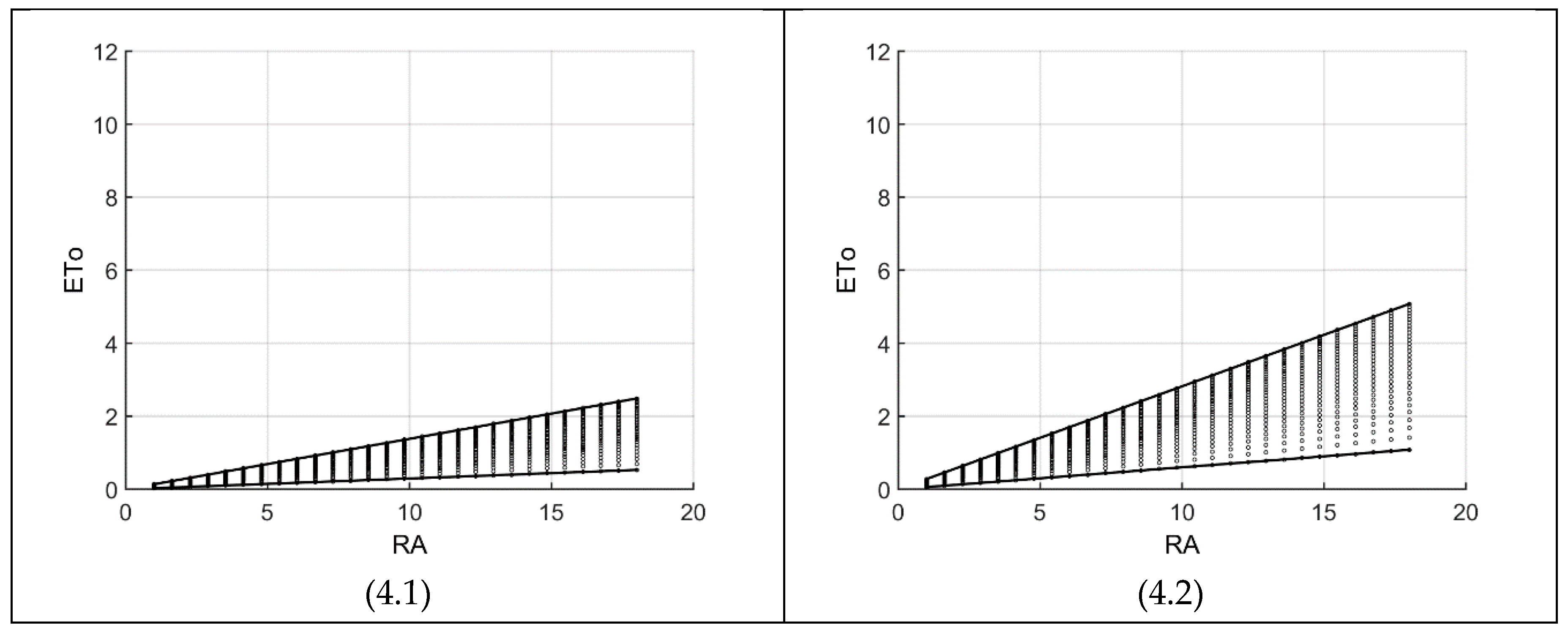
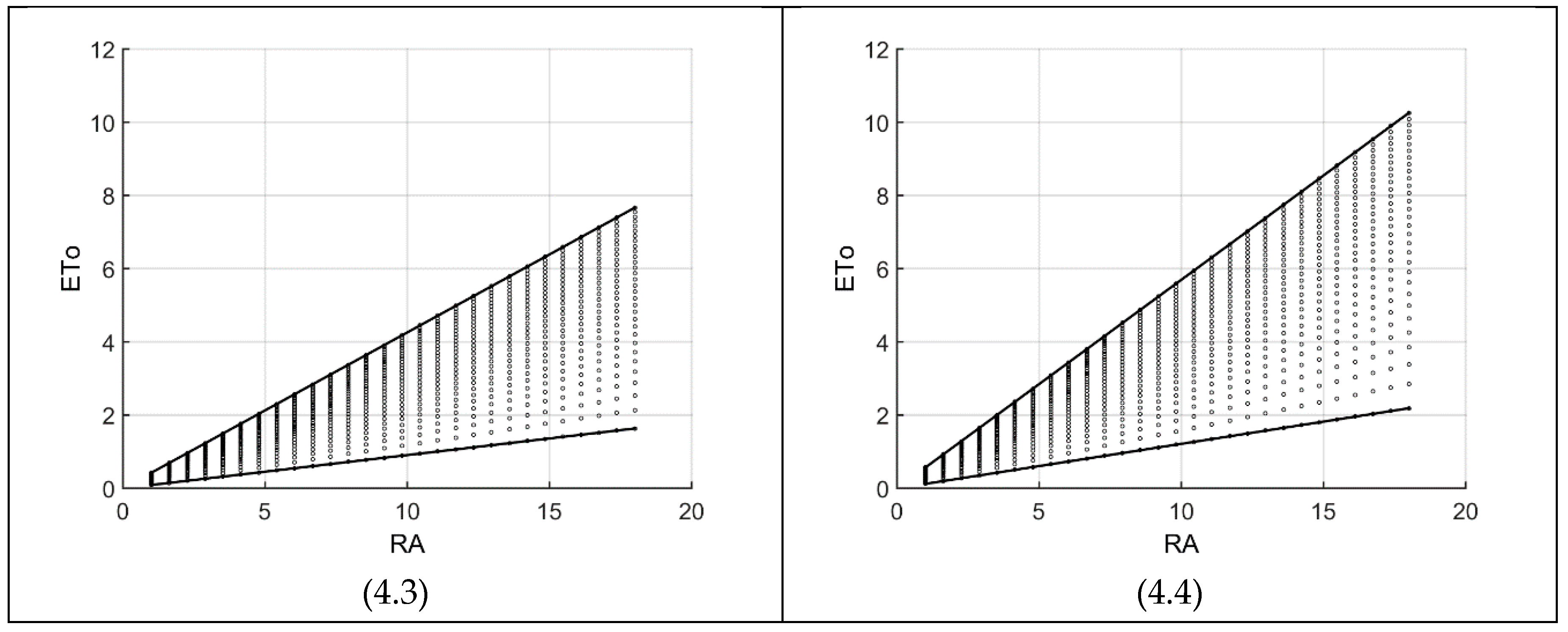
3.2. Performance of HS85
- (a)
- (b)
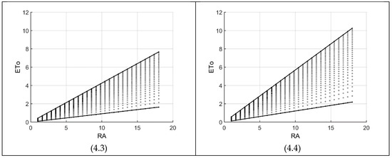
- In Figure 3(3.3), 33% increase in TC from 15 to 20 would result in an increase of 15% in the high value of ETo (i.e., the high boundary explained above).
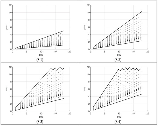
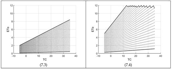
3.3. Performance of HS00
4. Conclusions
Author Contributions
Funding
Acknowledgments
Conflicts of Interest
References
- NASA and NOAA (2017). NASA, NOAA Data Show 2016 Warmest Year on Record Globally. Release 17–006. Available online: https://www.nasa.gov/press-release/nasa-noaa-data-show-2016-warmest-year-on-record-globally (accessed on 27 February 2017).
- World Economic Forum (2015). Global Risks 2015, 10th ed.; World Economic Forum: Geneva, Switzerland, 2015. [Google Scholar]
- United Nations. Population Division (2015) World Population Prospects: The 2015 Revision. Available online: http://esa.un.org/unpd/wpp/Publications/Files/WPP2015_Volume-I_Comprehensive-Tables.pdf (accessed on 6 June 2016).
- Elferchichi, A.; Giorgio, G.A.; Lamaddalena, N.; Ragosta, M.; Telesca, V. Variability of Temperature and Its Impact on Reference Evapotranspiration: The Test Case of the Apulia Region (Southern Italy). Sustainability 2017, 9, 2337. [Google Scholar] [CrossRef]
- Wang, R.; Bowling, L.C.; Cherkauer, K.A. Estimation of the Effects of Climate Variability on Crop Yield in the Midwest USA. Agric. For. Meteorol. 2016, 216, 141–156. [Google Scholar] [CrossRef]
- Wang, R.; Bowling, L.C.; Cherkauer, K.A.; Cibin, R.; Her, Y.; Chaubey, I. Biophysical and Hydrological Effects of Future Climate Change Including Trends in CO2, in the St. Joseph River Watershed, Eastern Corn Belt. Agric. Water Manag. 2017, 180, 280–296. [Google Scholar] [CrossRef]
- Burt, C.M.; Howes, D.J.; Mutziger, A. Evaporation Estimates for Irrigated Agriculture in California. In Proceedings of the Annual Irrigation Association Meeting, San Antonio, TX, USA, 4–6 November 2001. [Google Scholar]
- Benouniche, M.; Kuper, M.; Hammani, A.; Boesveld, H. Making the User Visible: Analyzing Irrigation Practices and Farmers’ Logic to Explain Actual Drip Irrigation Performance. Irrig. Sci. 2014, 32, 405–420. [Google Scholar] [CrossRef]
- Ahmad, M.; Masih, I.; Giordano, M. Constraints and Opportunities for Water Savings and Increasing Productivity through Resource Conservation Technologies in Pakistan. Agric. Ecosyst. Environ. 2014, 187, 106–115. [Google Scholar] [CrossRef]
- Levidow, L.; Zaccaria, D.; Maia, R.; Vivas, E.; Todorovic, M.; Scardigno, A. Improving Water-Efficient Irrigation: Prospects and Difficulties of Innovative Practices. Agric. Water Manag. 2014, 146, 84–94. [Google Scholar] [CrossRef]
- Ward, F.; Pulido-Velázquez, M. Water Conservation in Irrigation can Increase Water Use. Proc. Natl. Acad. Sci. USA 2008, 105, 18215–18220. [Google Scholar] [CrossRef] [PubMed]
- Haie, N. Sefficiency (Sustainable Efficiency) of Water–Energy–Food Entangled Systems. Int. J. Water Resour. Dev. 2016, 32, 721–737. [Google Scholar] [CrossRef]
- Haie, N.; Keller, A.A. Macro, Meso and Micro-Efficiencies and Terminologies in Water Resources Management: A Look at Urban and Agricultural Differences. Water Int. 2014, 39, 35–48. [Google Scholar] [CrossRef]
- Yen, H.; Hoque, Y.M.; Wang, X.; Harmel, R.D. Applications of Explicitly-Incorporated / Post-Processing Measurement Uncertainty in Watershed Modeling. J. Am. Water Resour. Assoc. (JAWRA) 2016, 52, 523–540. [Google Scholar] [CrossRef]
- Hidalgo, H.G.; Cayan, D.R.; Dettinger, M.D. Sources of Variability of Evapotranspiration in California. American Meteorological Society. J. Hydrometeorol. 2015, 16, 3–19. [Google Scholar]
- Allen, R.G.; Pereira, L.S.; Raes, D.; Smith, M. Crop Evapotranspiration; FAO Irrigation and Drainage Paper 56; FAO: Rome, Italy, 1998. [Google Scholar]
- Hargreaves, G.H.; Samani, Z.A. Reference Crop Evapotranspiration from Temperature. Trans. ASAE 1985, 1, 96–99. [Google Scholar] [CrossRef]
- Hargreaves, G.H.; Allen, R.G. History and Evaluation of the Hargreaves Evapotranspiration Equation. ASCE J. Irrig. Drain. Eng. 2003, 129, 53–63. [Google Scholar] [CrossRef]
- Birhanu, D.; Kim, H.; Jang, C.; Park, S. Does the Complexity of Evapotranspiration and Hydrological Models Enhance Robustness? Sustainability 2018, 10, 2837. [Google Scholar] [CrossRef]
- Estévez, J.; Padilla, F.L.M.; Gavilán, P. Evaluation and Regional Calibration of Solar Radiation Prediction Models in Southern Spain. ASCE J. Irrig. Drain. Eng. 2012, 138, 868–879. [Google Scholar] [CrossRef]
- Samani, Z. Estimating Solar Radiation and Evapotranspiration Using Minimum Climatological Data. ASCE J. Irrig. Drain Eng. 2000, 126, 265–267. [Google Scholar] [CrossRef]
- Laurent, D. 18.330 Introduction to Numerical Analysis. Spring 2012. Massachusetts Institute of Technology: MIT OpenCourseWare. Available online: https://ocw.mit.edu (accessed on 12 October 2018).
- Hargreaves, G.H.; Samani, Z.A. Estimating Potential Evapotranspiration. ASCE J. Irrig. Drain. Div. 1982, 108, 225–230. [Google Scholar]
- Hargreaves, G.H. Moisture Availability and Crop Production. Trans. ASAE 1975, 18, 980–984. [Google Scholar] [CrossRef]
- Samani, Z. Discussion of History and Evaluation of the Hargreaves Evapotranspiration Equation, by Hargreaves, G.H. and Allen, R.G. (2003). ASCE J. Irrig. Drain. Eng. 2004, 129, 53–63. [Google Scholar]
- Hargreaves, G.H. Responding to Tropical Climates. In The 1980–81 Food and Climate Review, the Food and Climate Forum; Aspen Institute for Humanistic Studies: Boulder, CO, USA, 1981; pp. 29–32. [Google Scholar]
- ASCE-EWRI. The ASCE Standardized Reference Evapotranspiration Equation. Appendix B. In Environmental and Water Resources Institute (EWRI) of the American Society of Civil Engineers (ASCE), Standardization of Reference Evapotranspiration Task Committee Final Report; Allen, R.G., Walter, I.A., Elliot, R.L., Howell, T.A., Itenfisu, D., Jensen, M.E., Snyder, R.L., Eds.; ASCE: Reston, VA, USA, 2005; pp. B1–B18. [Google Scholar]
- Allen, R.G. Evaluation of a Temperature Difference Method for Computing Grass Reference Evapotranspiration; Report Submitted to the Water Resources Develop. and Man. Serv., Land and Water Develop. Div.; FAO: Rome, Italy, 1993. [Google Scholar]
- Droogers, P.; Allen, R.G. Estimating Reference Evapotranspiration under Inaccurate Data Conditions. Irrig. Drain. Syst. 2002, 16, 33–45. [Google Scholar] [CrossRef]
- Shahidian, S.; Serralheiro, R.P.; Serrano, J.; Teixeira, J.L. Parametric Calibration of the Hargreaves–Samani Equation for Use at New Locations. Hydrol. Process. 2013, 27, 605–616. [Google Scholar] [CrossRef]
- Tabari, H.; Hosseinzadehtalaei, P.; Willems, P.; Martinez, C. Validation and Calibration of Solar Radiation Equations for Estimating Daily Reference Evapotranspiration at Cool Semi-Arid and Arid Locations. Hydrol. Sci. J. 2016, 61, 610–619. [Google Scholar] [CrossRef]
- Weisstein, E.W. Hyperspace. From MathWorld-A Wolfram Web Resource. Available online: http://mathworld.wolfram.com/Hyperspace.html (accessed on 23 August 2018).
- Loucks, D.P.; Van Beek, E. Water Resources Systems Planning and Management: An Introduction to Methods, Models and Applications; UNESCO: Paris, France, 2005.













| Symbol | Description | Units |
|---|---|---|
| ETo | Reference crop evapotranspiration | mm/day |
| KH | Coefficient in Hargreaves-Samani equation | -- |
| KR | Empirical coefficient for the radiation formula | -- |
| RA | Extra-Terrestrial radiation | mm/day |
| RS | Global solar radiation at the surface | mm/day |
| TC | Mean air temperature | °C |
| Tmax | Maximum air temperature | °C |
| Tmin | Minimum air temperature | °C |
| TR | Temperature range | °C |
| Variable | Minimum | Maximum |
|---|---|---|
| ETo | 0 | 12 |
| RA | 1 | 18 |
| TC | −5 | 35 |
| TR | 1 | 22 |
| Variable | Difference between Consecutive Nodes | Total Nodes | Difference between Consecutive Cuts | Nodes of the Cuts |
|---|---|---|---|---|
| RA | 0.63 | 28 | 5.7 | 1, 10, 19, 28 |
| TC | 0.70 | 58 | 13.3 | 1, 20, 39, 58 |
| TR | 0.70 | 31 | 7.0 | 1, 11, 21, 31 |
© 2018 by the authors. Licensee MDPI, Basel, Switzerland. This article is an open access article distributed under the terms and conditions of the Creative Commons Attribution (CC BY) license (http://creativecommons.org/licenses/by/4.0/).
Share and Cite
Haie, N.; Pereira, R.M.; Yen, H. An Introduction to the Hyperspace of Hargreaves-Samani Reference Evapotranspiration. Sustainability 2018, 10, 4277. https://doi.org/10.3390/su10114277
Haie N, Pereira RM, Yen H. An Introduction to the Hyperspace of Hargreaves-Samani Reference Evapotranspiration. Sustainability. 2018; 10(11):4277. https://doi.org/10.3390/su10114277
Chicago/Turabian StyleHaie, Naim, Rui M. Pereira, and Haw Yen. 2018. "An Introduction to the Hyperspace of Hargreaves-Samani Reference Evapotranspiration" Sustainability 10, no. 11: 4277. https://doi.org/10.3390/su10114277
APA StyleHaie, N., Pereira, R. M., & Yen, H. (2018). An Introduction to the Hyperspace of Hargreaves-Samani Reference Evapotranspiration. Sustainability, 10(11), 4277. https://doi.org/10.3390/su10114277

