Next Article in Journal
Real Options Analysis for Acquisition of New Technology: A Case Study of Korea K2 Tank’s Powerpack
Previous Article in Journal
A Cask Evaluation Model to Assess Safety in Chinese Rural Roads
 
 
Font Type:
Arial Georgia Verdana
Font Size:
Aa Aa Aa
Line Spacing:
Column Width:
Background:
Article

Constructing the Embodied Carbon Flows and Emissions Landscape from the Perspective of Supply Chain

1
College of Economics and Management, Nanjing Forestry University, Nanjing 210037, China
2
Faculty of Forestry, University of Toronto, Toronto, ON M5S 3H7, Canada
3
Department of Forest Sciences, University of Helsinki, Helsinki 00014, Finland
*
Author to whom correspondence should be addressed.
Sustainability 2018, 10(11), 3865; https://doi.org/10.3390/su10113865
Submission received: 14 September 2018 / Revised: 17 October 2018 / Accepted: 18 October 2018 / Published: 24 October 2018

Abstract

:
From the perspective of supply chain, benchmarking the embodied carbon flows and emissions landscape is to study the carbon footprint in supply chain production and process management. On the basis of the theory of a green supply chain, this paper conducted its research through the following steps. First, a multi-level supply chain model was proposed and established, and various sectors, production and management processes, and inputs and outputs of different resources were integrated into the supply chain network, and then divided into multiple levels. Second, a multi-level embodied carbon flow and emissions model was established through the Leontief Inverse. Third, based on the operation data of forestry-pulp and paper companies, the embodied carbon flows and emissions at all levels and sectors were estimated and analyzed. Finally, the dismantling and processing methods of complex carbon network structures were explored, the hot-spot carbon sources and paths were obtained, and the low-carbon innovation and development strategies were proposed. The research results show that: (1) Supply chain is a new idea and carrier to study the spatial and state changes of carbon, and also provides a platform for spatial landscape analysis of carbon; (2) The modeling and calculation of carbon flows and emissions offer a new solution of evaluating the environmental performance of companies with high pollution and emission such as forestry-pulp and paper companies, and provide the government effective technical support to implement environmental regulations and formulate carbon emission reduction policies.

Graphical Abstract

1. Introduction

The concept of a green supply chain has been the focus of all participants since it was put forward by Michigan State University in 1996. Green supply chain refers to an organization adopting innovative practices and policies on the supply chain operation and management to ensure environmental sustainability [1,2,3]. In recent years, the government’s environmental regulations have become more and more stringent [4], and consumers are increasingly focused on environment-friendly products and services [5]. All these force companies to reduce the carbon footprint embodied in products and business operations and work harder to balance business performance and environmental performance [6,7].
The supply chain is a powerful tool for identifying key sectors, paths of resource flows and preserved information, and providing the foundation for carbon reduction coordination and optimal design [8,9]. The greening and sustainability of the supply chain are reflected in its spatial and environmental performance, specifically, in the use of resources and greenhouse gas emissions of the overall and various aspects of the supply chain [10,11]. The construction of a carbon landscape based on the green supply chain is of great significance both for the management of corporate business affairs and for the government environmental assessment [12,13]. The green supply chain effectively integrates corporate environmental strategy and supply chain management, and establishes an information communication mechanism for companies’ organizational units, production processes and even market needs, providing a platform for green recycling and design of supply chains.
An important issue facing green supply chain management is the measurement of carbon flows and carbon emissions [14,15]. The low-carbon strategy requires identifying and calculating the spatial variation of carbon in production and operation process and technical process to assess the environmental sustainability of the supply chain, and provide technical support for identifying the hot-spot carbon sources, improving the technical efficiency of equipment and managing environmental performance [16]. However, due to the spatiotemporal dynamics and inherent complexity, the evaluation of the environmental performance of the supply chain has been greatly hindered [17].
Based on the green supply chain, this paper proposes to establish a spatial carbon landscape, managing the sectors, production and management process and inputs and outputs of various resources of the supply chain in the form of network elements. Then, it continues to explore the spatial rule of carbon flows and carbon emissions, establishing a multi-level model of embodied carbon flows and carbon emissions. Finally, based on the actual operating data of forestry-pulp and paper integrated companies, this paper measures and analyzes the embodied carbon flows and carbon emissions.

2. Material and Methods

2.1. Data Source

A long-term and in-depth research on the forestry-pulp and paper industry in the world, especially in China was conducted. Several multinational companies and their departments such as Stora Enso’s Finnish headquarters and its China (Guangxi) company, Finland’s UPM, Indonesia APP China (Guangxi) and its raw material plantations, as well as several large forestry-pulp and papers companies in China have been investigated. A large amount of data was collected and integrated through the use of literature reviews, interviews, instrumental measurements, satellite remote sensing and other means. The forestry-pulp and paper integration means that, driven by the market mechanism, the separated forestry, and production of pulp and paper are combined together. The forestry-pulp and paper company has not only the ability to product pulp and paper, but also forest bases. Thus, they can realize ecological papermaking and form the industrial structure of paper and forestry reinforcing each other, so as to promote the sustainable development of papermaking companies and paper industry. The life-cycle process of forestry-pulp and paper integration includes the cultivation of fast-growing forests, acquisition of raw wood, transportation of raw materials, pulping of raw wood, production of paper, transportation of products and distribution and using. The acquisition of raw materials mainly includes the acquisitions of raw wood, industrial water, and auxiliary chemical raw materials. Energy mainly consists of electricity and heat energy, and electricity and heat energy are mainly from coal. The production and processing of raw materials include the disintegration of commercial pulp board, chemi-mechanical pulping, papermaking and coating. The core of forestry-pulp and paper integration is the raw-material forest, pulping and papermaking. Large forestry-pulp and paper integrated companies’ output of ecological service, the impact of their production and operation on ecological environment and their corporate social responsibility are drawing more and more attention [18].
In this paper, Stora Enso’s (Guangxi) integrated operation pattern of forest-pulp-paper is modeled and analyzed as a case [19]. The Stora Enso (Guangxi) pulp & paper plant is located in Beihai, Guangxi Province. Its planned annual production capacity is 900,000 tons of bleached eucalyptus chemical pulp, of which 450,000 tons are used as raw materials for the production of high grade printing-and-writing paper and packaging board, and 450,000 tons sold as commercial pulp after being produced as pulp board, and it has been put into production in 2017. The construction sites of raw material plantations are selected in 15 counties distributed in four areas of southern Guangxi such as Beihai, Fangchenggang, Yulin and Chongzuo and eight state-owned forest farms in Gaofeng, Qipo, Bobai, Liuwan, Qinlian, Dongmen, Paiyangshan, and Liangfengjiang. The total size of the raw-material plantations is 1600 hm2. Figure 1 shows the geographical distribution of the plantations. The red spots in Figure (a) indicate the geographical locations of the plantations in Guangxi Province, and the blue patch in Figure (b) indicates the location of Guangxi Province on the map of China. The main raw materials for the company’s production are eucalyptus wood from the raw material plantations, bleached softwood pulp board and bleached hardwood chemi-mechanical pulp purchased from the market, as well as chemical drugs such as limestone, calcium sulfate, caustic soda, sodium sulfate, starch, latex and laminated adhesive. The company’s main energy demands are liquefied gas, raw coal, bark, heavy oil, water, and electricity.

2.2. Research Methods

2.2.1. Supply Chain and Its Multi-Level Division

In essence, the forestry-pulp and paper supply chain has become a multi-layer material circulation network connecting multiple sectors [20]. The sector in network modeling refers to a collection of one or more production and management processes or technical processes, and they are not completely corresponding to the actual production sector [21]. For analysis and calculation, the sector is represented as a node in the network, and the connections among the sectors are expressed as directional arrows. Based on the actual production and operation model of the forestry-pulp and paper integrated Stora Enso (Guangxi), this paper draws the network structure of forestry-pulp and paper supply chain, as shown in Figure 2.
The sequential or parallel relations between many kinds of production processes and links, and cyclic utilization in a large amount of material resources result in complex network structures in the forestry-pulp and paper supply chain, including parallel branch structure and cyclic structure. The emergence of these complex structures further complicates the hierarchical classification and mapping of the forestry-pulp and paper industry supply chain [22]. Identifying and processing the network structure of the forestry-pulp and paper supply chain changes the complex network structure into a direct current structure [23], facilitating the calculation of the embodied carbon flows and carbon emissions in the supply chain.
Based on the relationship between sectors and logistics, the different levels of the supply chain system are defined as L 0 , L 1 , , L t , L n , where L 0 represents the last level, product level, in the product life cycle. For example, the paper and paperboard are in level L 0 , and it is the output of level L 1 . The pulp comes from the output of level L 2 , and it is used as the material in the production of level L 1 . The aim of separating the sectors and activities into different levels is to straighten out the complex input-output relationships between the various sectors in the supply chain, so that it is clear and clear. The results show that the forestry-pulp and paper supply chain is divided into 5 levels, which is a reasonable number as shown in Figure 3. For the special parallel branching structure and loop structure, the appropriate network structure processing methods are used for processing as discussed in the discussion section.
In Figure 2, a square indicates one change, meaning production and operation. The circles on the left and right sides of the square represent the location, indicating the input of resources and the output of the product. The arrows represent carbon flows, the thick black arrows meaning the carbon flows in the main production process, the green arrows meaning the thermoelectric energy flows, the blue arrows meaning the input of the main external carbon source or the carbon source input caused by the main auxiliary equipment, and the light blue arrows meaning the main material of the product. The gray circles represent carbon dioxide emissions and the black circles represent carbon emissions from waste and wastewater.
The division of level should consider the interaction between various sectors in the supply chain. Closely linked activities of the internal supply chain, such as plant nurturing, cutting, fertilization and tending, are on the same level. From a macro perspective, the supply chain has the characteristics of input-output at all levels of production and management. From a micro perspective, it involves the participation of multiple sectors at each level. Based on the needs of modeling and analysis, the sector here may refer to a collection of one or more production steps in an actual production activity. Input-output means that a level of relevant sectors invests resources or semi-finished products for production activities, and the intermediate products may be used as resources into the next level of production activities. As a result, a multi-level supply chain network is established. The network structure of multi-level supply chain is shown in Figure 3. It is to form input-output relations at different levels in the supply chain to meet the demands for the final product. In the multi-level supply chain network, the mapping relations among various sectors at all levels are driven by the demands for the final product, and the pull effect is reversed in the supply chain. Assuming that the final product demand in the market is y i , and i is the sector and the corresponding product type, in order to meet the market demand of the final product, the multi-level supply chain network model is formed as follows:
N = { Y , X , P , Q , L , A } .
Y = ( Y 0 , Y 1 , , Y l , Y L ) represents the multi-level output of the supply chain. The output of each sector at the first level is Y l = ( y 1 l ,   y 2 l ,   , y Q l ) ; X = ( X 0 , X 1 , , X l , X L ) represents the resource input of each level in the supply chain, and the resource input of each sector at the first level is X l = ( x 1 l ,   x 2 l ,   , x P l ) ; P and Q represent the set of different sectors; L = ( 0 , 1 , , l , n ) represents the set of different levels; A = ( A 0 , A 1 , A l , A n ) represents the resource mapping transfer matrix between sectors with input-output relations at different levels. The resource mapping transfer matrix of each sector at the first level is A l = { a 11 l a 1 p l a P 1 L a P Q L } , and a p q l represents technical transfer relations between sector p and q . The marks in the circle in Figure 3 correspond to the marks in Figure 2, and some individual resources in Figure 2 are neglected in Figure 3 due to their minimal impact on carbon emissions.

2.2.2. Multi-Level Modeling of Embodied Carbon Flows and Carbon Emissions

According to the Leontief Inverse L = ( I A ) 1 , L pq represents the total output (direct and indirect) from sector p that meets the demand of per unit output of sector q . The power series approximation of the Leontief Inverse is used to obtain the following [24]:
L = ( I A ) 1 = I + A + A 2 + + A t l i m t A t = 0 .
Observing each term of L power series expansion, it can be found that there is a A t = A t 1 A relation between them. From the perspective of multi-level supply chain network structure, there is a A t = A t 1 A relation between each level, that is, the products of each sector produced with raw materials will be put into the next production activity as raw materials.
The multi-level input-output model of supply chain can be built based on the Leontief Inverse.
Assume that the final product demand in the market is y i , and i is the sector and the corresponding product type. To meet the market demand for the final product, the corresponding output modeling at each level of the supply chain is shown in Table 1.
The following is the definition of carbon emission:
Definition 1.
Direct carbon emission. It refers to carbon emission directly generated by production of relevant sectors at all levels of supply chain to obtain certain products or intermediate products.
Definition 2.
Carbon emission intensity. It refers to the number of units of direct carbon emission generated from production of each unit product. Carbon intensity is an effective way to find hot-source carbon sources in the supply chain and adopt targeted management measures.
“:” represents all sectors and A s : , a vector quantity, represents input-output coefficient matrix between sector s and other sectors. D s t represents direct carbon emissions of semi-finished products produced by sector s at level D s t ( D s 1 indicates direct carbon emission from sector s at level P L 1 to meet the needs of downstream sectors for products, and the needs of downstream sectors for products of sector s is A s : y ). The direct carbon emission can be expressed as:
D s t = g s A s : y .
In the equation, g s is the carbon emission intensity of sector s , and it represents the direct carbon emission from unit product output and its size depends on the specific production process.
Based on the power series expansion of the Leontief inverse [25,26], the emission multiplier matrix can be obtained:
M = g ( I A ) 1 = g ( I + A + A 2 + + A t ) .
M can be expressed as:
M = ( m 11 m 1 n m u 1 m u n )
where m p q represents the total emission of sector p generated by unit product output of sector q. M premultiplies the total product demands to obtain the total emission:
M y = g ( I + A + A 2 + + A t ) y = g y + g A y + g A 2 y + + g A t y = D 0 + D 1 + + D t .
In the equation, g represents the vector quantity of the direct emission intensity of each sector, and D t represents the sum of carbon emission of relevant sectors at the t sector.
From Equation (6), the following conclusions can be obtained: (1) To meet the demand for the final product, the total carbon emission is equal to the sum of the direct carbon emissions of relevant sectors at all levels in the supply chain; (2) In order to meet the demand of the product output of sector s at level L t of supply chain, the total carbon emission is equal to the sum of the direct carbon emissions of product output of sector s and the direct carbon emissions of all relevant sectors at all levels upstream.
The formula is:
T s t = t s D s t .
Definition 3.
Embodied carbon flow. It refers to the carbon flow that is embodied in resources and flows into a certain sector in the form of carbon to meet the demand for the final or intermediate products. The embodied carbon flows into a sector comes from the input of resources from different sectors at multiple upstream levels. The size of the embodied carbon flows depends on the amount of resources and their carbon content the sector receives. The embodied carbon flow in a sector may flow to different paths when flowing downstream, and its proportion in each path depends on the actual situation of production activities.
Let y i denotes the product demand of sector i at L 0 level, and y is the vector quantity of the final product demand vector of level L 0 , and the formulas of the direct carbon emission, the total emissions and embodied carbon flows generated by relevant sectors at all levels in the supply chain to obtain products or resources are as shown in Table 2.

3. Results

The carbon flows and emissions embodied in the forest pulp supply chain are calculated based on the material flow, and the material balance between inputs and outputs at all levels is a major factor to consider [27]. In the opposite direction of the supply chain, the embodied carbon flow emissions are calculated based on the demand for paper products. According to the survey, Stora Enso mainly produces two major types of products: paper and commercial pulp board. Based on the above calculation model, the embodied carbon flows and direct carbon emissions of each sector in the supply chain are calculated with the product demand of 1000 t paper and 500 t commercial pulp being the reference objects, and the results are marked on Figure 4. As can be seen in Figure 4, carbon in the forestry-pulp and paper supply chain has a variety of spatial and morphological changes. Carbon, derived from the growth of forests in raw material plantations, through various links in the supply chain, including forest harvesting, transportation, chip processing, pulp-making and paper-making, finally goes to dealer repositories around the globe. From forest tending to the final consumption of paper products, the process also leads to a series of changes in the carbon form. The carbon changes from atmospheric CO2 to biomass, and then changes back to gas state in the atmosphere through production, distribution, use and disposal of finished and semi-finished products at all stages of the supply chain or preserved in other forms. In the supply chain, there is a kind of virtual carbon flows that exists in various processes, such as the thermal energy generated by the boiler and the heat generated by the alkali recovery department, which is supplied to the pulp and paper sector. This recycling of energy reduces dependence on external energy and emissions. The virtual carbon flow does not produce a true carbon stream and is therefore referred to as a virtual carbon flow [28,29,30]. In Figure 4, the virtual carbon flow is indicated by dotted lines.
It should be noted that depending on the multi-level input-output relationship in the supply chain, the demand for the final product may result in carbon emissions from upstream relevant sectors. By the same token, the use of products can also lead to carbon emissions from downstream sectors, such as the distribution and use of paper products, as well as waste disposal that produces large amounts of carbon emissions. The product of emission intensity, product vector and input-output matrix can calculate the emission result.
The results of Figure 4 explain the life cycle of carbon in the forestry-pulp and paper supply chain and its changes at all levels. As can be seen from the figure, the carbon source in the forest pulp supply chain mainly includes carbon dioxide in the atmosphere, petrochemical energy, coal, heavy oil, paper filler, limestone, and other auxiliary fuels. The carbon emissions are produced from petrochemical energy consumption, root and branch decay, raw coal burning, bark and sawdust burning, auxiliary fuel such as heavy oil combustion, black liquor burning, limestone calcination, pulping exhaust emission, waste treatment, etc.
In carbon supply chain, the following basic principles of carbon balance are followed:
(1) For any network node, the sum of carbon inflows equals the sum of carbon outflows (including carbon emissions), and it is expressed as:
n f i = n f o + e n
where n represents network node, f i represents carbon inflow, f o represents carbon outflow embodied in resources, and e n represents direct carbon emissions generated in network nodes.
(2) For any network path, the sum of carbon inflows equals the sum of carbon outflows (including carbon emissions), and it is expressed as:
p f i = p f o + p e
where p denotes the carbon flow path in the network, f i denotes carbon inflow of all the nodes in the path, f o denotes the carbon outflow embodied in the resource of all nodes in the path, and e denotes the direct carbon emissions of all the nodes in the path.
(3) The virtual carbon flow comes from the carbon emission of thermoelectric energy provided to other sectors by the thermoelectric sector, and specifically as follows:
e = f v + f w .
The left side of the equation represents the sum of carbon emissions from thermal energy consumption. The first term on the right side of the equation represents the sum of the virtual carbon flows generated by the thermoelectric sector to the production sector, and the second represents the sum of the virtual carbon flows generated by the thermoelectric sector to other sectors. Only the virtual carbon flows produced by the thermoelectric energy used by the pulp and paper sector are estimated in Figure 3. The virtual carbon flows actually represent the carbon transfers among different sectors.
The figure shows the changes in state and quantities of embodied carbon flows and emissions in the forestry industry. The data on the arrows show the amount of carbon flows on the network to meet the demand of the final product and the amount of direct carbon emission of each sector. Dashed arrows indicate the virtual carbon flows caused by the thermoelectric energy supply. The landscape can be networked and divided into several levels from which the mathematical models were proposed and the analyses were conducted.

4. Discussion

4.1. Processing of Complex Carbon Landscape Network

For the carbon network modeling and computing, the complex network structure is the first issue [31,32]. As can be seen from Figure 2, there are mainly two kinds of network structures: parallel branch structure and cyclic structure [23]. It is necessary to identify these two complex structures through algorithms and to carry out the necessary processing to achieve carbon quantitative analysis using a multi-level carbon flows and carbon emissions model.
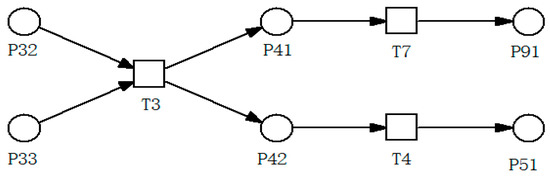
Parallel branch structure refers to a node with more than two branches, as shown in Figure 5. In Figure 5, there are parallel branches T3-P41-T7-P9 and T3-P42-T4-P51. The demand of sector P41 will cause changes in carbon flows and carbon emissions of sectors P42 and P51. In Figure 2, there is more than one similar situation. For example, changes in market demand for paper products will also lead to changes in carbon flows and carbon emissions in wastewater treatment sectors.
On the basis of material balance, using a certain algorithm can effectively solve the above problems. The specific algorithm steps are as follows: (1) Looking for T1, the ancestor node of two branches C-D and E-F in the network; (2) Measuring the relations between two child nodes under the ancestor node through the input-output matrix, namely, the proportional relations between C and E; (3) Measuring the influence of the change of E on F on the E-F branch according to the input-output matrix; and (4) Measuring the quantitative relations between D, E, and F. Through the above steps, the embodied carbon flows and carbon emissions of sectors E and F caused by the demand of sector D are calculated.
Cyclic structure refers to the directed cycle structure in the network. It is of great theoretical and practical significance to separate the cyclic structure from the one-way network. An important feature of a cycle is its positive feedback. The positive feedback is self-reinforcing and the increase of any elemental output in the cyclic structure will lead to an increase of the initial flow. For example, in Figure 6, the increase in the amount of P61 waste paper leads to an increase in the amount of recycled paper. In fact, purely cyclic structure cannot exist independently, and it must depend on the direct current system. Cyclic structure interacts with upper and lower level environment of the direct current system. Odum found that the degree of cycle could be used as an important indicator to measure the maturity of complex systems [33].
The processing algorithm of the cyclic structure is as follows: (1) Finding a simple cycle in the network and identifying the key arc of each cycle. The key arc refers to the arc with the minimum flow in the cycle; (2) Eliminating all the cycles by subtracting the flow of the key arc from the flow of all the arcs in the cycle; (3) Repeating process (1) and (2), eliminating all the cycles, and only leaving the direct current network. For situations where two or more cycles share a key arc, flow on the key arc is distributed to each cycle based on a certain ratio according to the actual production situation.

4.2. Looking for Hot-Spot Carbon Emission Sources and Hot-Spot Carbon Emissions Paths

As can be seen from the carbon emission model in Table 2, the more levels of a supply chain, the lower the impact of upstream resource inputs on the output of downstream products with long-range distances. However, this does not mean that carbon emission from relevant upstream sectors caused by the demand of downstream products in the supply chain will be small. The situation may be just the opposite. In order to meet market demand for products, the supply chain will produce a large number of indirect emissions in the relevant sectors. Calculated from Figure 2, the production of per unit mass paper products may cause a lot of carbon emissions in sectors such as the thermoelectric production, pulping, and forest harvest.
The key to determining the total amount of carbon emissions is the hot-spot carbon sources [34,35]. From Figure 4, the source of hot-spot carbon emissions in the life cycle of forestry pulp paper products can be calculated. The calculation results are shown in Figure 7. The carbon emission reduction measures in forestry-pulp and paper companies need to focus on four hot-spot carbon emission sources such as thermal power generation, alkali recovery, pulping and burning, and landfill of waste paper, and their total carbon emission accounts for over 75% of the total. Taking into account that biomass emission factors such as the bark and sawdust biomass fuel combustion emissions, branch and roots biomass decay emissions, waste landfills and building material production have a long carbon locking cycle, we exclude them. In this case, the total emissions of thermoelectric production, alkali recovery and pulping still account for more than 70% of the total emissions in the forestry-pulp and paper supply chain. Identifying hot-spot carbon sources in the supply chain helps companies take targeted actions to ensure the environmental and economic sustainability of their business practices.
The hot-spot carbon flow path refers to a passage made up of multiple adjacent sectors with a much embodied carbon flow and a large direct emission. The sectors on hot-spot carbon flow paths are all important production and operation links in the supply chain, and they are distributed in different stages of the product life cycle and reveal the main state changes and possible spatial distribution of carbon elements. In actual production, people are more concerned with the sections with large carbon emissions instead of the entire path, in order to accurately implement the equipment technology upgrade or technological process improvement measures, and to effectively reduce the carbon emissions of this section. According to the results of Figure 4, the typical hot-spot path with the largest emissions is shown in Figure 8.

4.3. Low-Carbon Development Path

The forestry-pulp and paper industry is an energy-intensive industry of high pollution and emission. Under various external pressures such as government environmental regulation and local requirements of community health, it is necessary for companies to seek low-carbon and environment-friendly development. Low-carbon development requires innovative technical and practical measures. Its innovation and transformation may involve three levels of problems: process innovation; system innovation; and collaborative innovation [36,37]. Process innovation means increasing production efficiency through incremental innovation along well-designed technological paths such as replacing fossil fuels with biomass energy, replacing old raw materials with new raw materials, and integrating CO2 capture technology into process design. System innovation refers to the transformation of existing technology development path, such as researching and developing new processes to enhance energy efficiency, or directly using the new low-carbon production system to replace the old production system. Collaborative innovation is that to overcome the pressure and risk of Research and Development costs, some companies work together to jointly implement low-carbon innovation activities, including cooperation of upstream and downstream companies in a supply chain and cooperation between companies and external scientific research institutions in a supply chain. It also includes cooperation between manufacturers and resource providers. For example, the forestry-pulp and paper companies need to lease the farmer’s land for long-term cultivation of raw material plantations.
Regarding the low-carbon emission reduction activities, we conducted a survey on Stora Enso (Guangxi) Co., Ltd. and found that it has made efforts both internally and externally. Internally, the company focuses on process innovation, strives to use new technologies, and continually optimizes product structure and production processes. Externally, the company values cooperation with upstream and downstream partners to try new low-carbon raw materials, improve energy efficiency, and reduce the use of fossil fuels. In the company’s external image, it pays attention to fulfilling corporate social responsibility and publicizing the concept of low-carbon environmental protection. Stora Enso is an important practitioner of “forestry-pulp and paper integration”. The company makes full use of biomass, such as black liquor, bark and wood chips, to produce energy, which makes itself a long-term biomass energy producer and user reducing their dependence on fossil fuels and carbon dioxide emissions. At the same time, the company also puts forward the basic requirements for sustainable development for all suppliers and contractors from the perspective of low carbon environmental protection. Despite this, government departments, researchers, NGOs, and local community parties still have debates about the impact of businesses, including the impact of eucalypt planting on soil and water conservation and biodiversity, pollutant emissions, and wastewater treatment. The contradiction in land leasing also exists together. Based on the research, this paper summarizes and analyzes the low carbon innovation of companies from the perspective of supply chain. For the forestry-pulp and paper supply chain, the types of innovations, technology types, technical measures, technology maturity, carbon emission reduction potential, and implementation barriers involved in low-carbon development are shown in Table 3 below.
Each low-carbon innovation strategy will achieve significant direct carbon reductions. However, from the results of this paper, there is another side. From the perspective of full life cycle, the introduction of new technologies, new equipment, new energy sources and new raw materials may lead to a large number of indirect carbon emissions in the upstream supply chain. For example, biomass energy is considered as green energy, but its manufacturing generates large amounts of carbon emissions. While new low-carbon equipment has high energy efficiency in operation, its own R & D and production generate large amounts of carbon emissions. Therefore, the existence of indirect carbon emissions greatly reduces the effect of low-carbon technological innovation [3]. It is noteworthy that companies are in the pursuit of maximized profits in business, and due to high marginal costs of low-carbon transformation and innovation, companies generally do not take the initiative to choose low-carbon development. This requires the government to formulate a vigorous environmental regulation policy and tax preferential policies to encourage companies to implement environment-friendly development. At the same time, the government adopts strict regulatory measures [38] and requires companies to actively explore new low-carbon development paths from the perspective of value chain integration [39,40].

5. Conclusions

This paper proposes and establishes a multi-level forestry-pulp and paper supply chain model, which divides the various sectors and their production activities into levels, and thus establishes an input-output model. Based on the supply chain model the landscape of the embodied carbon flows and carbon emissions were constructed. Taking Stora Enso, Guangxi, China, a multinational forestry-pulp and paper company as an example, this paper calculates embodied carbon flows and carbon emissions in the forestry-pulp and paper supply chain. This paper further analyzes the complex carbon network structure, finds hot carbon sources and hotspot carbon emission paths, and proposes strategies for low carbon innovation and development. The research results show that: (1) A supply chain is a new idea and carrier to study the spatial and state changes of carbon, and also provides a platform for spatial landscape analysis of carbon; (2) The modeling and calculation of carbon flows and emissions offer a new solution of evaluating the environmental performance of companies with high pollution and emission such as forestry-pulp and paper companies, and provide the government effective technical support to implement environmental regulations and formulate carbon emission reduction policies.
The establishment of a carbon landscape is of significance for positive theoretical exploration and practical guidance in production management. In theory, carbon flows and emissions modeling have become important areas production management research. However, to deeply understand the close relations among the units in the production supply chain, it is necessary to map all aspects of the production to evaluate the impact of various types of direct and indirect resource inputs on the environmental performance, and to introduce low-carbon measures to reduce emissions. The embodied carbon landscape provides such an integrated thinking and platform that integrates market product demands and corporate low-carbon strategies into supply chain management, including raw material production, supply, product manufacturing, distribution, transportation, use, and waste recovery, to realize the optimization and improvement of the environment performance.

Author Contributions

Writing: Q.Z.; Providing case and idea: Q.Z., Z.W., A.T.; Providing revised advice: Q.Z., Z.W.

Funding

National Natural Science Foundation of China 71373125, Project of International Cooperation and Exchanges of National Natural Science Foundation NSFC 3136113034 and Academy of Finland Grant 265593.

Acknowledgments

We would like to thank Shulin Chen for helpful comments on earlier versions of this paper.

Conflicts of Interest

The authors declare no conflict of interest.

References

  1. Paulraj, A. Environmental motivations: A classification scheme and its impact on environmental strategies and practices. Bus. Strategy Environ. 2009. [Google Scholar] [CrossRef]
  2. Acquaye, A.; Barrett, P.; Topi, C.; Glew, D.; Kuylenstierna, J.; Koh, SC.L.; Barrett, J.; McQueen-Masonet, S. Greening the Supply Chain: The Development of Supply Chain Carbon Maps. Int. J. Eng. Manag. Econ. 2012. [Google Scholar] [CrossRef]
  3. Geels, F.W.; Sovacool, B.K.; Schwanen, T.; Sorrell, S. Sociotechnical transitions for deep decarbonization. Science 2017. [Google Scholar] [CrossRef] [PubMed]
  4. Ambec, S.; Cohen, M.A.; Elgie, S.; Lanoie, P. The Porter Hypothesis at 20: Can Environmental Regulation Enhance Innovation and Competitiveness? Rev. Environ. Econ. Policy 2013. [Google Scholar] [CrossRef]
  5. Laroche, M.; Bergeron, J.; Barbaro-Forleo, G. Targeting consumers who are willing to pay more for environmentally friendly products. J. Consum. Mark. 2013. [Google Scholar] [CrossRef]
  6. Raghavendra, T.V.S.; Hema, K.; Omkar, A.M.B.; Manideep, B.; Sam Preetish, G.; Anudeep, K. Estimation of carbon footprint in a transport network of supply chain. Int. J. Appl. Eng. Res. 2015, 108, 19011–19032. [Google Scholar]
  7. Wilson, J.B. Life-cycle inventory of formaldehyde-based resins used in wood composites in terms of resources, emissions, energy and carbon. Wood Fiber Sci. J. Soc. Wood Sci. Technol. 2010, 423, 125–143. [Google Scholar]
  8. Wang, Q.; Zhao, D.; He, L. Contracting emission reduction for supply chains considering market low-carbon preference. J. Clean. Prod. 2016. [CrossRef]
  9. Das, C.; Jharkharia, S. Low carbon supply chain: A state-of-the-art literature review. J. Manuf. Technol. Manag. 2018. [Google Scholar] [CrossRef]
  10. Sarkis, J. A boundaries and flows perspective of green supply chain management. Supply Chain Manag. Int. J. 2012. [Google Scholar] [CrossRef]
  11. Elhedhli, S.; Merrick, R. Green supply chain network design to reduce carbon emissions. Transp. Res. Part D-Transp. Environ 2012. [Google Scholar] [CrossRef]
  12. Convery, F. The global carbon market-mechanism landscape: Pre and post 2020 perspectives. Clim. Policy 2015. [Google Scholar] [CrossRef]
  13. Glendell, M.; Brazier, R.E. Accelerated export of sediment and carbon from a landscape under intensive agriculture. Sci. Total Environ. 2014. [Google Scholar] [CrossRef] [PubMed]
  14. Koh, S.C.L.; Genovese, A.; Acquaye, A.A.; Barratt, P.; Rana, N.; Kuylenstierna, J.; Gibbs, D. Decarbonising product supply chains: design and development of an integrated evidenced-based Decision Support System. Int. J. Prod. Res. 2013. [Google Scholar] [CrossRef]
  15. Cruz, J.M.; Wakolbinger, T. Multiperiod effects of corporate social responsibility on supply chain networks, transaction costs, emissions, and risk. Int. J. Prod. Econ. 2008. [Google Scholar] [CrossRef]
  16. Liang, S.; Feng, Y.; Xu, M. Structure of the global virtual carbon network--Revealing important sectors and communities for emission reduction. J. Ind. Ecol. 2015. [Google Scholar] [CrossRef]
  17. Cheng, H.; Dong, S.C.; Li, F.J.; Yang, Y.; Li, S.T.; Li, Y. Multiregional input-output analysis of spatial-temporal evolution driving force for carbon emissions embodied in Interprovincial trade and optimization policies: Case study of northeast industrial district in China. Environ. Sci. Technol. 2018. [Google Scholar] [CrossRef] [PubMed]
  18. Sharma, A.K.; Sharma, C.; Mullick, S.C.; Kandpal, T.C. Carbon mitigation potential of solar industrial process heating: paper industry in India. J. Clean. Prod. 2016. [Google Scholar] [CrossRef]
  19. D’Amato, D.; Wan, M.; Li, N.; Rekola, M.; Toppinen, A. Managerial views of corporate impacts and dependencies on ecosystem services: A case of international and domestic forestry companies in China. J. Bus. Eth. 2018. [CrossRef]
  20. Carlsson, D.; D’Amours, S.; Martel, A.; Rönnqvist, M. Supply chain management in the pulp and paper industry. Inf. Syst. Oper. Res. 2006. [Google Scholar] [CrossRef]
  21. Ramudhin, A.; Chaabane, A.; Paquet, M. Carbon market sensitive sustainable supply chain network design. Int. J. Manag. Sci. Eng. Manag. 2010. [Google Scholar] [CrossRef]
  22. Hearnshaw, E.J.S.; Wilson, M.M.J. A complex network approach to supply chain network theory. Int. J. Oper. Prod. Manag. 2013. [Google Scholar] [CrossRef]
  23. Ulanowicz, R.T.E. Identifying the structure of cycling in ecosystem. Math. Biosci. 1983. [Google Scholar] [CrossRef]
  24. Lenzen, M.; Crawford, R. The path exchange method for hybrid LCA. Environ. Sci. Technol. 2009. [Google Scholar] [CrossRef] [PubMed]
  25. Genovese, A.; Koh, S.C.L.; Acquaye, A.; Barrett, J. Benchmarking carbon emissions performance in supply chains. Supply Chain Manag. 2014. [Google Scholar] [CrossRef]
  26. Skelton, A.; Guan, D.; Peters, G.P.; Crawford-Brown, D. Mapping Flows of Embodied Emissions in the Global Production System. Environ. Sci. Technol. 2011. [Google Scholar] [CrossRef] [PubMed]
  27. Bringezu, S.; Schütz, H.; Moll, S. Rationale for and Interpretation of Economy—Wide Materials Flow Analysis and Derived Indicators. J. Ind. Ecol. 2010. [Google Scholar] [CrossRef]
  28. Kang, C.Q.; Zhou, T.R.; Chen, Q.; Wang, J.H.; Sun, Y.L.; Xia, Q.; Yan, H.G. Carbon emission flow from generation to demand: A network-based model. IEEE Trans. Smart Grid 2017. [Google Scholar] [CrossRef]
  29. Atkinson, G.; Hamilton, K.; Ruta, G.; Mensbrugghe, D.V.D. Trade In ‘Virtual Carbon’: Empirical results and implications for policy. Glob. Environ. Chang. Hum. Policy Dimens. 2010. [Google Scholar] [CrossRef]
  30. Liu, X.; Klemeš, J.J.; Varbanov, P.S.; Čuček, L.; Qian, Y. Virtual carbon and water flows embodied in international trade: Areview on consumption-based analysis. J. Clean. Prod. 2017. [Google Scholar] [CrossRef]
  31. Heymans, J.J.; Baird, D. A carbon flow model and network analysis of the northern Benguela upwelling system, Namibia. Ecol. Model. 2000. [Google Scholar] [CrossRef]
  32. Lu, Y.; Chen, B.; Feng, K.; Hubacek, K. Ecological network analysis for carbon metabolism of eco-industrial parks: A case study of a typical eco-industrial park in Beijing. Environ. Sci. Technol. 2015. [Google Scholar] [CrossRef] [PubMed]
  33. Odum, E.P. The strategy of ecosystem development. Science 1969. [Google Scholar] [CrossRef]
  34. Kuo, T.C.; Chen, Y.H.G.; Wang, M.L.; Ho, W.M. Carbon footprint inventory route planning and selection of hot spot suppliers. Int. J. Prod. Econ. 2014. [Google Scholar] [CrossRef]
  35. He, Y.J.; Zhang, Y.; Ma, Z.F.; Sahinidis, N.V.; Tan, R.R.; Foo, D.C.Y. Optimal source–sink matching in carbon capture and storage systems under uncertainty. Ind. Eng. Chem. Res. 2014. [Google Scholar] [CrossRef]
  36. Wesseling, J.H.; Lechtenböhmer, S.; Åhman, M.; Nilsson, L.J.; Worrell, E.; Coenen, L. The transition of energy intensive processing industries towards deep decarbonization: Characteristics and implications for future research. Renew. Sustain. Energy Rev. 2017, 79. [Google Scholar] [CrossRef]
  37. Mcdowall, W.; Rodriguez, B.S.; Usubiaga, A.; Fernández, J.A. Is the optimal decarbonization pathway influenced by indirect emissions? Incorporating indirect life-cycle carbon dioxide emissions into a European TIMES model. J. Clean. Prod. 2017. [Google Scholar] [CrossRef]
  38. Feng, W.; Ji, G.; Pardalos, P.M. Effects of government regulations on Manufacturer’s behaviors under carbon emission reduction. Environ. Sci. Pollut. Res. 2017. [Google Scholar] [CrossRef] [PubMed]
  39. Chao, O.Y.; Chen, H.W.; Ho, C.H.; Chou, J.C.; Yuan, Y.T.; Ho, C.L.; Hsueh, H.T.; Chen, S.T.; Liao, P.C.; Chao, L.K.P. Value chain analysis of algal bioenergy and carbon capture integrated with a biotechnology innovation. J. Clean. Prod. 2018. [Google Scholar] [CrossRef]
  40. Bi, K.; Huang, P.; Ye, H. Risk identification, evaluation and response of low-carbon technological innovation under the global value chain: A case of the Chinese manufacturing industry. Technol. Forecast. Soc. Chang. 2015. [Google Scholar] [CrossRef]
Figure 1. Distribution of raw-material plantations of Stora Enso in Guangxi Province, China. (a) Distribution of raw-material plantations in Guangxi; (b) Guangxi Province in China.
Figure 1. Distribution of raw-material plantations of Stora Enso in Guangxi Province, China. (a) Distribution of raw-material plantations in Guangxi; (b) Guangxi Province in China.
Sustainability 10 03865 g001
Figure 2. The forestry-pulp and paper supply chain.
Figure 2. The forestry-pulp and paper supply chain.
Sustainability 10 03865 g002
Figure 3. Multi-level divisions of the forestry-pulp and paper supply chains.
Figure 3. Multi-level divisions of the forestry-pulp and paper supply chains.
Sustainability 10 03865 g003
Figure 4. The carbon flows and emissions landscape in the forestry industry. (1000 t paper and 500 t pulp demand as the standard. Unit: ton).
Figure 4. The carbon flows and emissions landscape in the forestry industry. (1000 t paper and 500 t pulp demand as the standard. Unit: ton).
Sustainability 10 03865 g004
Figure 5. Parallel branch structure in forestry-pulp and paper supply chain.
Figure 5. Parallel branch structure in forestry-pulp and paper supply chain.
Sustainability 10 03865 g005
Figure 6. Cycle structure in forestry-pulp and paper supply chain.
Figure 6. Cycle structure in forestry-pulp and paper supply chain.
Sustainability 10 03865 g006
Figure 7. Hot-spot carbon emission sources and the proportion (1000 t paper and 500 t pulp demands as the standard).
Figure 7. Hot-spot carbon emission sources and the proportion (1000 t paper and 500 t pulp demands as the standard).
Sustainability 10 03865 g007
Figure 8. Emissions of hot-spot carbon emission paths and the proportion (1000 t paper and 500 t pulp demands as the standard).
Figure 8. Emissions of hot-spot carbon emission paths and the proportion (1000 t paper and 500 t pulp demands as the standard).
Sustainability 10 03865 g008
Table 1. Output model of sectors at different levels of supply chains.
Table 1. Output model of sectors at different levels of supply chains.
LevelOutput
L 1 R i = y i
L 2 R j = A j : y
L 3 R k = A k : A y
L t R l = A l : A t 1 y
Table 2. Models of direct carbon emissions, total emissions, embodied carbon flows of sectors.
Table 2. Models of direct carbon emissions, total emissions, embodied carbon flows of sectors.
ModelsDirect Carbon Emissions for Product OutputEmbodied Carbon FlowsTotal Emissions for Product Output
l e v e l   L 0 D i 0 = g i y i E i 0 = m i 0 y i T i 0 = t = 0 s = i D s t
l e v e l   L 1 D j 1 = g j A j : y E j 1 = m j 1 A j : y T i 1 = t = 1 s = j D s t
l e v e l   L 2 D k 2 = g k A k : A y E k 2 = m k 2 A k : A y T k 2 = t = 2 s = k D s t
l e v e l   L t D s t = g s A s : A t 1 y E s t = m s t A s : A t 2 y T s t = t s D s t
Table 3. Typical low-carbon innovation paths.
Table 3. Typical low-carbon innovation paths.
Innovation TypeTechnology TypeTechnology MeasuresTRLCarbon Emission Reduction PotentialMain Obstacles
Internal operations innovationEnergy efficiency innovationIncreasing energy efficiencyReduce energy consumption of heat pumpall0~33%Technology innovation and cost input
Cogenerationall0~33%Cost input
Adopt CCSIntegrate carbon capture facilities into process designUp to 633~66%Facility input & extra energy demand
Operations innovationNew production processNew separation and drying processall33~66%Facility input & cost input
New alkali recovery processall33~66%Facility input and cost input
Development and utilization of new productsLow quantitative paper product design and productionUp to 633~66%Technology research and development, facility input, cost input
Efficient recycling of waste paperall33~66%Facility input and cost input
Supply Chain innovationCooperation innovationForestry-pulp and paper integrationRaw material plantations constructionall0~33%Land property, land leasing, source of international capital
Introduction of new species of treeall0~33%Technology research and development, cost input
Materials and technology innovationBiomass refining research and developmentBiochemical raw materials4–6more than 66%New materials and technology research and development
New paper-based materials and filler development4–6more than 66%New materials and technology research and development

Share and Cite

MDPI and ACS Style

Zhao, Q.; Wen, Z.; Toppinen, A. Constructing the Embodied Carbon Flows and Emissions Landscape from the Perspective of Supply Chain. Sustainability 2018, 10, 3865. https://doi.org/10.3390/su10113865

AMA Style

Zhao Q, Wen Z, Toppinen A. Constructing the Embodied Carbon Flows and Emissions Landscape from the Perspective of Supply Chain. Sustainability. 2018; 10(11):3865. https://doi.org/10.3390/su10113865

Chicago/Turabian Style

Zhao, Qingjian, Zuomin Wen, and Anne Toppinen. 2018. "Constructing the Embodied Carbon Flows and Emissions Landscape from the Perspective of Supply Chain" Sustainability 10, no. 11: 3865. https://doi.org/10.3390/su10113865

APA Style

Zhao, Q., Wen, Z., & Toppinen, A. (2018). Constructing the Embodied Carbon Flows and Emissions Landscape from the Perspective of Supply Chain. Sustainability, 10(11), 3865. https://doi.org/10.3390/su10113865

Note that from the first issue of 2016, this journal uses article numbers instead of page numbers. See further details here.

Article Metrics

Back to TopTop