Abstract
Brucellosis in small ruminants, primarily caused by B. melitensis, remains a significant threat to public health in many regions. Although early-age vaccination of breeding stocks was expected to facilitate infection control, this approach did not meet expectations, while in some cases, late vaccination of animals has been associated with an increased number of human cases. Therefore, in this field study, we investigated the immune response and bacteremia cases in ten apparently healthy hoggets vaccinated at the age of nine months. Before vaccination, the hoggets were seronegative and negative in blood cultures, although B. melitensis DNA was detected in three animals using PCR. After vaccination, twelve Brucella spp. strains were isolated from the blood cultures of nine hoggets at different time points. Whole genome analysis identified eleven of them as identical to three B. melitensis strains previously isolated in Greece. The tested animals completed their gestation without any adverse outcomes. According to our results, late vaccination, despite extending animal exposure to B. melitensis, apparently protects against disease and abortion but not against infection. The onset of post-vaccination immune response may be influenced by transient infections by field strains.
Keywords:
Brucella melitensis; Rev1; blood cultures; PCR; field strains; WGS; iELISA; immune response; Greece 1. Introduction
Brucellosis remains an endemic disease in several Mediterranean countries, despite significant efforts and expenditures to eradicate it []. The genus Brucella encompasses 13 accepted species following the confirmation that Ochrobactrum is not Brucella [,]. B. melitensis infects mainly small ruminants, such as goats and sheep, and is recognized as the predominant cause of human brucellosis worldwide []. In ewes, brucellosis is an acute disease that causes placentitis, and abortion, mainly in the last third of gestation []. Humans may become infected through direct contact with infected animals or by consuming unpasteurized milk from infected animals and dairy products thereof [,]. A conservative, evidence-based estimate of the annual incidence of human brucellosis worldwide is 2.1 million cases, significantly higher than previously believed []. In humans, brucellosis is often a challenging and complicated disease that may become a chronic health problem with serious complications [,]. Since there is no vaccine for humans, the only way to prevent human brucellosis is by controlling the disease in livestock. The pathogen persists in flocks mainly through non-symptomatic carriers, the proportion of which has not yet been precisely estimated []. These latent carriers can transmit B. melitensis both horizontally and vertically within the herd [,], while vaccination with the live-attenuated vaccine strain B. melitensis Rev1 is considered the most effective way to control animal brucellosis [].
The gold standard method for confirming brucellosis is the isolation of Brucella spp. from blood or tissues []. The diagnosis of brucellosis in cattle and small ruminants is usually performed by serological testing using the Rose Bengal (RBT) and the Complement Fixation tests (CFT). However, due to cross-reactivity of field strains with Rev1 vaccine strain these tests may not be reliable []. Recently, sensitive and reliable diagnostic techniques have been developed for detecting Brucella spp. infections in sheep and goats, being suitable for sero-surveillance in areas free of the disease. Such methods include competitive or indirect ELISA (iELISA), Fluorescence Polarization Assay (FPA), and Immunocapture Test (ICT) []. Molecular methods (PCR, Real-Time PCR) have also been developed for faster and more accurate identification of Brucella spp. strains. These methods are useful for detecting Brucella spp. DNA in whole blood samples [,,,]. Additionally, proteomic technology has been utilized to rapidly detect Brucella spp. []. However, the genome homology between different Brucella species is high (97–99% average nucleotide identity) [], posing a challenge for differentiating Brucella spp. isolates at the species level. In recent years, whole-genome sequencing (WGS) has been used to differentiate isolates on the strain level as the most successful and indisputable method so far [].
In Greece, brucellosis caused by B. melitensis is among the most significant endemic zoonoses, primarily associated with small ruminants and, to a lesser extent, cattle []. Greece has the highest notification rate of human brucellosis among European countries, with 0.33 cases per 100,000 population []. In another report concerning the years 2005 to 2020, it was indicated that 57% of human cases were linked to the consumption of unpasteurized dairy product []. With regard to animal brucellosis, from 2015 to 2022, a comprehensive serological examination on 654,199 non-vaccinated small ruminants across the country showed 1100 seropositive animals (0.17%) [].
Since 1977, a vaccination program has been implemented. This program includes obligatory vaccinations of 3–6-month-old replacement lambs and goats on the mainland (vaccination zone) using the Rev1 live vaccine, and the slaughtering of infected animals on the islands (eradication zone) []. The vaccination of young breeding stocks was expected to be sufficient for the control of infections in small ruminants. However, other countries have failed to control the disease with this approach [], which is likely to be associated with the delayed vaccination of young breeding stocks. According to a recent study with data from all Greek herds, delayed vaccination of small ruminants older than the optimal age of 3–6 months coincided with a higher rate of human brucellosis [].
Failure to efficiently immunize young breeding stocks could be attributed to several factors: (i) the failure to achieve high vaccination coverage within the flock due to animal regrouping or introduction of unvaccinated animals, (ii) the use of poor-quality vaccines or products not appropriately stored under cold chain conditions, and (iii) a possible decline in the protective immunity induced by vaccination over time []. Furthermore, there is still a lack of evidence on the impact of temporal deviations in vaccination and its effect on vaccine efficacy and safety. This is critical, as delayed vaccination of animals in Greece from 2013 to 2017 was, on average, 3.8%, as estimated from the data presented by Katsiolis et al. (2018) and Dougas et al. (2022) [,].
To address this gap in knowledge, we present a post-vaccination follow-up study on the immune response, possible bacteremia, and infection by field strains in hoggets selected from a healthy flock, vaccinated at nine months of age with the B. melitensis Rev1 vaccine strain.
2. Materials and Methods
2.1. Farm and Animals of the Study
This study was conducted on an intensive dairy sheep farm in northern Greece, rearing ca. 600 milking ewes, 150 hoggets, and 40 rams. The farm was selected on the basis of having applied late vaccination against B. melitensis. Brucella-related diseases in animals and humans in the farm or the region had not been reported in the past 15 years that the farm operates. Production, reproduction, and management traits, infrastructures, and housing conditions, feeding and nutrition, incidence of health and welfare issues, and the vaccination program of hoggets are presented in Supplementary Table S1. The animals on the farm were regularly vaccinated against other endemic diseases, such as clostridial diseases (Toxipra, HIPRA, Spain), contagious agalactia (Agalax UNO—Laboratorios Syva, S.A., Madrid, Spain), and chlamydial abortion (Enzovax, Ovilis®, South Africa).
Ten 9-month-old hoggets were randomly selected before vaccination against brucellosis for this 120-day prospective study. Vaccination against brucellosis was routinely applied annually to 5-month-old replacement lambs, according to the national control program against brucellosis (B. melitensis). In the year of the study, vaccination was applied four months later than usual, at the age of 9 months, i.e., one month before mating. The brucellosis vaccination protocol included conjunctival vaccination with the live attenuated B. melitensis strain Rev1 (CZV REV-1, CZ Veterinaria, Spain) at the recommended 2 × 109 colony forming units (CFU) dose. Since all farmed small ruminants, according to national legislation in Greece are horizontally vaccinated, it was not feasible to include a control group of unvaccinated animals in the commercial farm enrolled in our study.
Blood samples were collected at different time points: before vaccination (0 days, 0 d) and at 30 days (30 d), 60 days (60 d), 90 days (90 d), and 120 days (120 d) post-vaccination.
2.2. Antibody Detection
The PrioCHECK® Brucella Ab 2.0 ELISA Kit (ThermoFisher Scientific, Waltham, MA, USA) is an indirect ELISA kit used, according to the manufacturer’s instructions for detecting antibodies against Brucella spp. from the 50 sera samples collected from the hoggets, pre-vaccination and on the four post-vaccination time points. The OD450 of all samples is expressed as the percent positivity (PP) relative to the mean OD450 of the positive control [PP = (OD450 test sample/mean OD450 Positive Control) × 100]. When the PP value was below 25%, it indicated that Brucella antibodies were absent in the test sample. Conversely, if the PP value exceeded 25%, it suggested that Brucella antibodies were present in the test sample.
2.3. Blood Culture
A total of 50 blood cultures were performed from the blood samples collected at the forementioned time points: before vaccination (0 d) and at 30 d, 60 d, 90 d, and 120 d post-vaccination. A modified lysis concentration method was used for the blood cultures, as described by Kolman et al. (1991) [], with a modification referring to the sediment. The sediment was cultured in parallel in Tryptic Soy Broth (TSB) supplemented with 5% horse serum, 7% sucrose, and antibiotics (5 IU polymyxin B, 25 IU bacitracin, 5 μg nalidixic acid, 100 IU nystatin, 20 μg vancomycin, and 100 μg actidione) and in TSB with 5% horse serum and 7% sucrose without antibiotics. The cultures were incubated at 37 °C in 5% CO2. A series of six consecutive cultures was performed using the protocol proposed by the Reference Laboratory of Teramo (World Organization for Animal Health—WOAH). Each time, 0.5 mL was transferred to a new culture tube, and 200 μL were spread onto Tryptic Soy Agar (TSA) with or without antibiotics. All Brucella-like colonies were grown in TSB for DNA extraction and molecular identification.
2.4. DNA Extraction
DNA was extracted from blood and bacterial cultures. In the case of blood, 5 mL from each blood sample was used to isolate the peripheral blood leukocytes following the protocol described by Extramiana et al. (2002) [] and then DNA was extracted according to the PureLink® Genomic DNA Mini Kit instructions for Gram-negative bacteria. Bacterial DNA was extracted from 3 mL TSB cultures (OD600: 0.7) per isolate using the PureLink® Genomic DNA mini kit (ThermoFisher Scientific, Waltham, MA, USA), according to the manufacturer’s instructions. The cultures were centrifuged at 7000× g for 5 min, the supernatants were discarded, and the pellets were resuspended in 100 μL PBS and inactivated by incubation at 70 °C for two hours. DNA was then extracted according to the PureLink® Genomic DNA Mini Kit instructions for Gram-negative bacteria.
2.5. PCR Analyses
The molecular characterization of Brucella spp. isolates and the detection of Brucella DNA in the blood samples were performed according to protocols described by Babetsa et al. (2019) [] with only one modification for the identification at the genus level. More specifically, the identification at the genus level was performed using the primers’ pair B4/B5 (B4: 5′-TGG CTC GGT TGC CAA TAT CAA-3′; B5: 5′-CGC GCT TGC CTT TCA GGT CTG-3′ []. These primers amplified a 224 bp part of BCSP 31 gene (nt positions 789–1012). This PCR was performed in a 25 μL final volume containing 250 ng DNA, 0.3 pmol of each primer, 1× PCR buffer, 0.2 mM each dNTP, 2 mM MgCl2, and 1.25 U of Taq polymerase (Q5® High-Fidelity DNA Polymerase, NEB, 240 County Road, Ipswich, MA 01938, USA). The cycling conditions were: denaturation at 94 °C for 2 min followed by 35 cycles at 94 °C for 10 s, 60 °C for 20 s, 72 °C for 30 s, with a final extension at 72 °C for 2 min. The B. melitensis species was detected with the species-specific primers VRI-F/R (F: 5′-TGT TGA CAC CTT CTC GTG GA-3′, R: 5′-CAG GTT GAA CGC AGA CTT GA-3′ amplified a part 400 bp of the omp31 gene (nt positions 101–501).
In the PCR reactions we have included negative controls, such as non-template control reaction and DNA from other relative bacterial species such as Y. enterocolitica, E. coli Ο:157, Shigella flexneri, Salmonella typhimurium, Pseudomonas aeruginosa, Staphylococcus aureus.
All reactions were performed in a DNA thermal cycler (AB GeneAmp PCR system 2700, 850 Lincoln Centre Drive, Foster City, CA 94404, USA). The PCR products were analyzed by horizontal gel electrophoresis in a 2% agarose gel in 0.5× TBE, stained with ethidium bromide (0.5 mg/mL), and visualized under UV light.
2.6. Whole Genome Sequencing
The extracted DNA from the twelve Brucella spp. isolates were further used for WGS using Illumina technology. DNA libraries were prepared with the Nextera XT DNA Library Preparation Kit (Illumina Inc., San Diego, CA, USA) and sequenced on a MiSeq device (Illumina Inc., San Diego, CA, USA) in paired-end mode. The quality of the generated reads was controlled using FastQC v0.12.1 (http://www.bioinformatics.babraham.ac.uk/projects/fastqc/, accessed on 29 May 2025). To assess the similarity of the isolates, core genome single nucleotide polymorphisms (cgSNPs) were detected using Snippy v4.6.0 (https://github.com/tseemann/snippy, accessed on 29 May 2025) with B. melitensis 16M (GCF_000007125.1) as the reference genome. The differences in cgSNPs were counted by the script snp-dists v0.8.2 (https://github.com/tseemann/snp-dists, accessed on 29 May 2025). In this analysis, data from other Greek B. melitensis strains from a previous study [] and data from B. melitensis Rev1 (SRR4038985) were also included for comparisons (Supplementary Table S2). The cgSNP alignment generated by Snippy was analyzed by Maximum Likelihood analysis using RAxML v8.2.12 [], and the tree was visualized using Microreact v263 [].
The sequencing raw data were uploaded to the European Nucleotide Archive (ENA) under the BioProject number PRJEB82706.
3. Results
3.1. Serological Analysis
The presence of specific antibodies against Brucella spp. was assessed using iELISA. At 0 d, no specific antibodies were detected in any of the studied hoggets. The PP values of the iELISA test (Table 1) were found to be significantly elevated at 30 d and reached their peak at 60 d, except for one hogget (No. H7), where the PP values increased until 120 d. In the rest of the animals studied, the immune response remained high until 60 d and then began to decline, although it never reached zero.

Table 1.
Percent positivity (PP) values (performed in triplicates) (±: standard deviation) corresponding to the blood samples collected from the studied hoggets at the five time points pre- and post-vaccination (ID: identity code). Seropositive animals were considered animals with PP values higher than 25.
Specific antibodies against B. melitensis were detected in all the studied animals (10/10, 100%) at 30 d and 60 d post-vaccination, in 9 out of 10 (90%) at 90 d and in 7 out of 10 (70%) at 120 d (Figure 1).

Figure 1.
Percentage of seropositive hoggets determined by the presence of specific antibodies at the different time points post-vaccination.
3.2. PCR Testing of Blood Samples
PCR analyses were performed on DNA isolated from peripheral blood samples to investigate the presence of Brucella spp. B. melitensis DNA was detected at all time points, as presented in Table 2, but never in all animals at the same time. Before vaccination, 30% of the samples were found positive (3 out of 10), while positivity at 30 d, 60 d, 90 d, and 120 d was 90%, 20%, 70%, and 10%, respectively. The specificity of the PCR reactions was verified with no amplification products on the negative controls used. The PCR products analysed in agarose gels are shown in Supplementary Figures S1 and S2.

Table 2.
Results of the three applied methods: C: culture of blood samples; Is ID: isolate identity code; M: detection of Brucella spp. DNA by PCR; E: detection of Brucella-specific antibodies in blood samples by iELISA collected at days 0 d, 30 d, 60 d, 90 d, and 120 d (−: negative result, +: positive result).
3.3. Blood Cultures
As shown in Table 2, B. melitensis strains were isolated from twelve blood samples collected from nine hoggets. Specifically, bacterial strains were isolated from six samples at 30 d, five samples at 90 d, and one sample at 120 d post-vaccination. In three cases, strains were isolated from the same hoggets (H1, H7, and H9) at two different post-vaccination time points (30 d and 90 d). For one hogget (H10), all blood cultures were negative. Isolates were named according to the hoggets (H1–9, Table 2) with appended letters (A, B) indicating different time points of isolation.
3.4. Molecular Characterization of the Brucella spp. Isolates (PCR and WGS)
The twelve isolates were further characterized by PCR and WGS. PCR showed that all isolated strains were B. melitensis. This classification was additionally confirmed by WGS. In the cgSNP analysis that included other B. melitensis strains isolated from small ruminants in Greece, the isolates showed an extremely high similarity (with 0 to 1 different SNPs) to other strains, while B. melitensis strains isolated from humans in Greece did not fall into the same cluster (Figure 2). Furthermore, by applying a threshold of a maximum five cgSNPs difference, the isolates could be assigned to four groups (Figure 2 and Table 3): the strains H1A, H1B, H4A, H7A, H6A, and H9A were identical to the strain Bm-GRC-B31s (group of Field strains 1—F1); the strains H2A, H5A, and H9B were similar to the Bm-GRC-B30s, Bm-GRC-B33s, and Bm-GRC-B34s (group of Field strains 2—F2); the strains H3A and H7B were identical to the strainBm-GRC-B32s (group of Field strains 3—F3) and the strain H8A was similar to the Rev1 vaccine strain (group of Field strains 4—F4). Isolates from two hoggets (H7 and H9) at the second isolation time point were assigned to different groups than the isolates from the first time point for the respective hogget. Specifically, H7A and H9A belonged to Group F1, whereas H7B and H9B belonged to Groups F3 and F2, respectively.

Figure 2.
Maximum-likelihood tree based on cgSNP alignment of Greek B. melitensis isolates and the vaccine strains Rev1. Leaves (circles) are colored according to the host (blue—sheep; orange—human; blank—unknown), and the bar indicates base substitutions per site. The colors of the blocks at the right indicate isolates that fall within the same SNP groups at a given cgSNP threshold (0–10 cgSNPs)—isolates with the same-colored blocks differ maximally in the number of cgSNPs of the respective threshold.

Table 3.
Core genome SNP differences between isolates obtained from the hoggets. The differences between all strains shown in Figure 2 are shown in Supplementary Table S1.
3.5. Association Between the Isolated B. melitensis Strains and the Immune Reaction
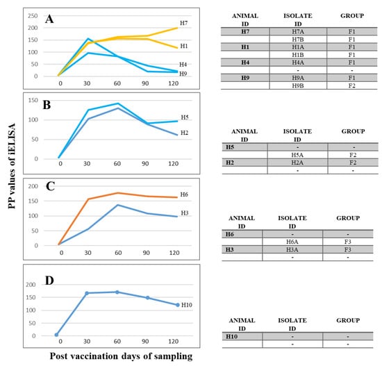
When combining the results of the WGS analysis with the observed immune response, an association between the group of B. melitensis field strain and the strength and duration of the hoggets’ immune reaction could be assumed (Figure 3). In animals from which the Group F1 of field strains was isolated at 30 d and 90 d post-vaccination (hoggets H7 and H1), the immune response remained elevated until 120 d (Figure 3A). In hoggets H4 and H9, where the same Group F1 of field strains was isolated only at 30 d, the reaction declined to low levels after 60 days (Figure 3A). When the Group F2 of field strains was isolated either at 30 d (hogget H5) or at 90 d (hogget H9), the reaction was medium-to-low (Figure 3B), similar to the response detected when no field strains were isolated (hogget H10, Figure 3D). The PP values reached a maximum between 30 d and 60 d, remaining relatively low (close to 150) and declining afterwards. The presence of Group F3 of field strains isolated either at 30 d or 90 d appeared to be associated with an immune response of medium-to-high intensity that remained elevated up to 120 d (Figure 3C).

Figure 3.
Graphs (A–D) represent the association between the group of B. melitensis field strains detected in hoggets, and the strength and duration of the hoggets’ immune reaction during the experimental period (pre-vaccination and until 120 d post-vaccination). In the accompanying tables, the identity number of the hoggets, the blood sample isolate collection, and the group of field strains recovered after blood culture are shown according to Table 1 and Table 2.
4. Discussion
In Greece, animal brucellosis caused by B. melitensis is a major endemic zoonosis [], with the notification rates of human infections being the highest among European countries []. In vaccination zones (according to the National vaccination program), the frequency of human brucellosis cases is higher compared to the test-and-slaughter policy areas [,]. Based on the available data, a causal relationship between human infections and vaccination procedures cannot be proven. According to a previous report, the Rev1 vaccine strain is responsible for only a small proportion of human cases (0.65%) []. However, a more recent epidemiological study has shown that the delayed vaccination of small ruminants, later than the optimal age of 3–6 months, correlates with a higher human brucellosis rate []. In our study, we attempted to assess the post-vaccination immune response and bacteremia of hoggets vaccinated late with the B. melitensis Rev1 vaccine strain in a systematically vaccinated flock. Our primary goal was to investigate the circulation of Brucella strains derived from late vaccinated animals reared under intensive management within the same farm. Comparisons with control (unvaccinated) animals were not possible, taking into consideration that the vaccination of all farmed small ruminants in the mainland of Greece is mandatory according to the national legislation guidelines. Previous analyses performed in our lab (unpublished data) in blood samples from flocks located on Greek islands, which belong to “eradication zone” of brucellosis, did not result in the detection of Brucella.
Before vaccination, all ten hoggets (at the age of nine months) were free of Brucella-specific antibodies and were negative in the blood culture test. The PCR test, however, indicated the presence of Brucella spp. DNA in three of the hoggets. This positivity could be of colostral origin, or at the early stages of suckling, as the absence of specific antibodies suggests that the infection may have occurred early in life when the lambs’ immune system is immature. Maternal antibodies may protect the offspring [] by entering the bloodstream within the first 24 h after their birth [,], persisting until the age of five months [,,]. Generally, lambs produce sufficient levels of antibodies at the age of five months, which increase until the age of 7–8 months [,].
Alternatively, the hoggets may have been exposed to the bacterium shortly (up to two weeks) before the day of sample collection, resulting in inadequate time for the production of detectable levels of IgG immunoglobulins. In the past, low or even zero antibody titers have been reported in animals, although Brucella spp. were found in the bloodstream and tissues []. It is also likely that a low bacterial load in the bloodstream does not stimulate an immunological response and antibody production, leading to a negative serological result [].
The presence of specific antibodies and Brucella DNA thirty days after vaccination indicated that the vaccination was successful. In general, antibody production begins around 15–30 days after vaccination [,,,,]. The presence of B. melitensis DNA in all the hoggets, as well as the isolates obtained from some of them, was expected as many studies have reported bacteremia following immunization, which can persist for up to 60 days or even longer [,,].
Antibodies were detected in all the studied animals at 60 days post-vaccination, while seropositivity declined at 90 and 120 days post-vaccination. The highest PP values for iELISA were observed at 60 days post-vaccination, which was consistent with the findings by Stournara et al. (2007) []. The PP values differed among the hoggets throughout our study, with remarkable fluctuations observed considering the results of the PCR testing and blood culture. In samples collected 120 days post-vaccination, specific antibodies were almost undetectable in three hoggets, while in others, the PP value indicated that the immune response remained mild to very strong.
It is generally accepted that the immune response to B. melitensis in sheep varies at the animal level depending on various factors such as clinical disease, active infection, and the state of immunity causing difficulties in the surveillance and control of the disease [,]. According to Duran-Ferrer et al. (2004), sheep pre-immunized with the Rev1 vaccine produced significantly lower levels of antibodies when experimentally infected than unvaccinated animals, even if they had been pre-sensitized by natural infection []. In the present study, the variability observed in the immune response after the first 30 days post-vaccination could indicate previous exposure to B. melitensis, meaning that vaccination with the Rev-1 strain was a second exposure, which is also supported by positivity of three hoggets pre-vaccination. The studied animals were exposed to environmental sources of bacteria for at least three months longer than lambs vaccinated between three and six months of age, as suggested. Also, vaccinated ewes could have acted as carriers despite the absence of symptoms and the lack of antibody titers in the hoggets pre-vaccination [,]. They could act as silent carriers, infecting other animals [,,,]. Furthermore, contact with non-immunized lambs, other infected domestic or wild animals (dogs, cats, foxes) [,], water tanks contaminated by urine, contaminated feedstuff [], and even infected farm staff [,,] may provide additional sources of infection, while several factors could contribute to the spread of brucellosis in endemic countries [].
We subjected the collected isolates to whole genome sequencing (WGS) to investigate the possibility that field strains infected the animals studied. Indeed, WGS identified most of our isolates as B. melitensis field strains. Eleven out of the twelve recovered B. melitensis isolates demonstrated the highest cgSNP similarity with three Greek strains isolated in the past []. Only a single isolate from one hogget was identified as the B. melitensis Rev1 vaccine strain. The similarity of the field isolates to those described by Brangsch et al. (2023) could support the hypothesis of certain B. melitensis lineages circulating in Northern Greece with no connection to the human isolates originating from Southern Greece [].
Interestingly, the isolation of field strains from the hoggets was mostly transient. The presence of these strains in the studied animals appeared to influence the strength and duration of the immune response. This was evidenced by the variability of the PP values and the duration of detectable antibodies. According to our observations the presence of one field strain (F2 Group) identical to Bm-GRC-B33s and Bm-GRC-B34s caused a weak immune response (Figure 3B). The strain identical to Bm-GRC-B31s (F1 Group of field strains) persisted for a longer period, with two of the three hoggets positive for the F1 Group of field strains at 30- and 90-days post-vaccination (Figure 3A). The third strain differed by only one SNP from the strain Bm-GRC-B32s. It was found in two hoggets on days 30 and 90 post-vaccination, respectively, causing a strong immune reaction in both cases (Figure 3C). The presence of two different strains in the same hogget (i.e., hogget H9, Figure 3A), appeared to increase this variability even further. The detection of two different B. melitensis strains in one host has been reported previously by Wareth et al. (2015) []. In intensive farming systems where animals are in close contact with each other, as is the case of our study, such a possibility does exist. The observed variability in the immune response could be attributed to genomic and phenotypic differences existing among the various strains of Brucella. Blasting the genome of various strains of Brucella, reveals DNA homologies of 97%, indicating that they had all descended from a common ancestor. During their evolution, Brucella species carried out genome reductive evolutionary processes necessary to get adapted to the parasitic life cycle causing significant phenotypic and genetic level differences among the various strains of B. melitensis []. During this process, many genes lose their function and become either deleted or pseudogenized []. In the search for a successful recombinant vaccine for B. melitensis, DNA vaccines which are plasmids that express genes encoding specific antigens confer a different status of protection, depending on the cytokine response they induce and the inflammatory response they provoke []. In addition, during evolution, Brucella has gained the capacity to modify the host immune response via certain genes located at the 21Kb-sized genome island 3 (GI 3) by altering the function of Toll-like receptors (TLRs) signaling pathway of the host immune system [,]. Data from genome analysis indicated that certain of these genes function in certain species of Brucella while they are impaired in others []. Our finding of the transient infection of hoggets subjected to delayed vaccination may explain the coincidence noticed between delayed vaccination of small ruminants with higher rate of human brucellosis []. However, further research is needed before reaching any conclusion.
All hoggets successfully completed their pregnancy, which started approximately within a month after their vaccination, supporting the hypothesis that even delayed vaccination protects against abortion and other adverse pregnancy outcomes in sheep, but does not prevent infections by field strains.
5. Conclusions
The delayed vaccination of lambs extends their period of unprotected exposure to B. melitensis present in their environment. After vaccination, the immune response towards B. melitensis is highly variable between individuals. Although delayed vaccination, according to our observations, seems to protect the animals from abortion or even outbreaks of the disease, apparently it does not prevent infection with field strains. Such infections appear to be transient, however, since no case-control studies can be performed in commercial farms due to legislation restrictions, further studies in animals kept in experimental facilities are needed.
Supplementary Materials
The following supporting information can be downloaded at: https://www.mdpi.com/article/10.3390/microbiolres16060124/s1, Table S1. Production, reproduction, and management traits, infrastructures and housing conditions, feeding and nutrition, incidence of health and welfare issues, and the vaccination program of hoggets in the studied farm.; Table S2. cgSNP differences between B. melitensis isolates recovered from the hoggets’ blood cultures with five other Greek B. melitensis isolates and the Rev1 vaccine strain.; Figure S1. Amplification of the 224bp part of the BCSP31 gene for identification of bacterial strains at genus level using primers B4/B5. Sample series: 1: 100bp ladder, 2: H1A, 3: H2A, 4: H3A, 5: H4A, 6: H7A, 7: H9A, 8: H1B, 9: H5A, 10: H6A, 11: H7B, 12: H9B, 13: H8A, 14: B. abortus, 15: B. melitensis Rev 1.; Figure S2. Amplification of the 400bp part of the omp31 gene for identification of bacterial strains at species level using VRIF/R primers. Sample Series: 1: 100bp ladder, 2: H1A, 3: H2A, 4: H3A, 5: H4A, 6: H7A, 7: H9A, 8: H1B, 9: H5A, 10: H6A, 11: H7B, 12: H9B, 13: H8A, 14: B. abortus, 15: B. melitensis Rev 1.
Author Contributions
Conceptualization, L.V.E. and E.B.; methodology, L.V.E., A.I.G., E.B., and A.I.P., validation, M.B., A.I.G., I.B., L.V.E., E.B., and A.I.P.; formal analysis, H.B. and M.B.; investigation, M.B., H.B., and A.I.G.; resources, L.V.E., E.B., and A.I.P.; data curation, M.B.; writing—original draft preparation, M.B., H.B., A.I.G., G.W., I.B., L.V.E., E.B., and A.I.P.; writing—review and editing, H.B., A.I.G., G.W., I.B., A.Z., L.V.E., E.B., and A.I.P.; visualization, M.B., H.B., G.W., E.B., and A.I.P.; supervision, L.V.E., E.B., and A.I.P.; project administration, L.V.E., E.B., and A.I.P.; funding acquisition, L.V.E., E.B., and A.I.P.; All authors have read and agreed to the published version of the manuscript.
Funding
This study has been funded by the “BrucMedNet” project, funded by ARIMNet2, an ERA-NET supported and financed by the European Union’s Seventh Framework Programme for research, technological development, and demonstration under grant agreement no. 618127. This research has also been financially supported by the General Secretariat for Research and Technology (GSRT) and the Hellenic Foundation for Research and Innovation (HFRI) (Scholarship Code:1025).
Institutional Review Board Statement
The current study is excluded from experimental procedures and does not fall under the scope of Presidential Decree 56/2013 (an update of the Presidential Decree 160/91) that adapts Greek legislation to comply with Directive 2010/63/EU of the European Parliament and Council of 22 September 2010 (L276/33/20.10.2010) and concerns the protection of animals used for experimental and other scientific purposes. Veterinary practices within the current study are not considered experiments, as blood sampling was applied as a part of standard clinical practice and flock investigation strategy for the diagnosis of abortion-causing pathogens, given that the studied farm had a history of abortions. Therefore, procedures adhere to veterinary standards, aim to benefit animal health, and do not cause undue harm or suffering.
Informed Consent Statement
Not applicable.
Data Availability Statement
Data are contained within the article or in Supplementary Materials.
Conflicts of Interest
The authors declare no conflicts of interest.
References
- Wareth, G.; Abdeen, A.; Ali, H.; Bardenstein, S.; Blasco, J.-M.; Cardoso, R.; Sá, M.I.C.D.; Cvetnić, Ž.; Massis, F.; Diasty, M.E.; et al. Brucellosis in the Mediterranean Countries: History, Prevalence, Distribution, Current Situation and Attempts at Surveillance and Control. In OIE Book; World Organisation for Animal Health: Paris, France, 2019; Volume 12. [Google Scholar]
- Moreno, E.; Middlebrook, E.A.; Altamirano-Silva, P.; Dahouk, S.A.; Araj, G.F.; Arce-Gorvel, V.; Arenas-Gamboa, Á.; Ariza, J.; Barquero-Calvo, E.; Battelli, G.; et al. If You’re Not Confused, You’re Not Paying Attention: Ochrobactrum Is Not Brucella. J. Clin. Microbiol. 2023, 61, e00438-23. [Google Scholar] [CrossRef] [PubMed]
- Holzer, K.; Hoelzle, L.E.; Wareth, G. Genetic Comparison of Brucella spp. and Ochrobactrum spp. Erroneously Included into the Genus Brucella Confirms Separate Genera. Ger. J. Vet. Res. 2023, 3, 31–37. [Google Scholar] [CrossRef]
- Dadar, M.; Al-Khaza’leh, J.; Fakhri, Y.; Akar, K.; Ali, S.; Shahali, Y. Human Brucellosis and Associated Risk Factors in the Middle East Region: A Comprehensive Systematic Review, Meta-Analysis and Meta-Regression. Heliyon 2024, 10, e34324. [Google Scholar] [CrossRef] [PubMed]
- Alton, G.G. Control of Brucella Melitensis Infection in Sheep and Goats-a Review. Trop. Anim. Health Prod. 1987, 19, 65–74. [Google Scholar] [CrossRef]
- Akar, K.; Brangsch, H.; Jamil, T.; Öz, G.Y.; Baklan, E.A.; Eroğlu, B.; Atıl, E.; Gürbilek, S.E.; Keskin, O.; Tel, O.Y.; et al. Genomic Analysis of Brucella Isolates from Animals and Humans, Türkiye, 2010 to 2020. Euro. Surveill. 2024, 29, 2400105. [Google Scholar] [CrossRef]
- Holzhauer, M.; Wennink, G.J. Zoonotic Risks of Pathogens from Dairy Cattle and Their Milk-Borne Transmission. J. Dair. Res. 2023, 90, 325–331. [Google Scholar] [CrossRef]
- Laine, C.G.; Johnson, V.E.; Scott, H.M.; Arenas-Gamboa, A.M. Global Estimate of Human Brucellosis Incidence. Emerg. Infect. Dis. 2023, 29, 1789. [Google Scholar] [CrossRef]
- Elrashedy, A.; Nayel, M.; Salama, A.; Zaghawa, A.; Abdelsalam, N.R.; Hasan, M.E. Phylogenetic Analysis and Comparative Genomics of Brucella Abortus and Brucella Melitensis Strains in Egypt. J. Mol. Evol. 2024, 92, 338–357. [Google Scholar] [CrossRef] [PubMed]
- Liu, Z.; Gao, L.; Wang, M.; Yuan, M.; Li, Z. Long Ignored but Making a Comeback: A Worldwide Epidemiological Evolution of Human Brucellosis. Emerg. Microbes. Infect. 2024, 13, 2290839. [Google Scholar] [CrossRef]
- Alton, G.G. Brucellla Melitensis. In Animal Brucellosis; CRC Press: Boston, MA, USA, 1990. [Google Scholar]
- Tittarelli, M.; Ventura, M.D.; Massis, F.D.; Scacchia, M.; Giovannini, A.; Nannini, D.; Caporale, V. The Persistence of Brucella Melitensis in Experimentally Infected Ewes through Three Reproductive Cycles. J. Vet. Med. B Infect. Dis. Vet. Public Health 2005, 52, 403–409. [Google Scholar] [CrossRef]
- Banai, M. Control of Small Ruminant Brucellosis by Use of Brucella Melitensis Rev.1 Vaccine: Laboratory Aspects and Field Observations. Vet. Microbiol. 2002, 90, 497–519. [Google Scholar] [CrossRef] [PubMed]
- Naseer, A.; Mo, S.; Olsen, S.C.; McCluskey, B. Brucella Melitensis Vaccines: A Systematic Review. Agriculture 2023, 13, 2137. [Google Scholar] [CrossRef]
- Alton, G.; Jones, L.; Angus, R.; Verger, J. Techniques for the Brucellosis Laboratory; INRA Publications: Versailles Cedex, France, 1988; pp. 192–195. [Google Scholar]
- Dahouk, S.A.; Nöckler, K.; Scholz, H.C.; Tomaso, H.; Bogumil, R.; Neubauer, H. Immunoproteomic Characterization of Brucella Abortus 1119-3 Preparations Used for the Serodiagnosis of Brucella Infections. J. Immunol. Methods. 2006, 309, 34–47. [Google Scholar] [CrossRef] [PubMed]
- Durán-Ferrer, M.; Léon, L.; Nielsen, K.; Caporale, V.; Mendoza, J.; Osuna, A.; Perales, A.; Smith, P.; De-Frutos, C.; Gómez-Martín, B.; et al. Antibody Response and Antigen-Specific Gamma-Interferon Profiles of Vaccinated and Unvaccinated Pregnant Sheep Experimentally Infected with Brucella Melitensis. Vet. Microbiol. 2004, 100, 219–231. [Google Scholar] [CrossRef]
- Al-Garadia, M.A.; Khairani-B, S.; Zunita, Z.; Omar, A.R. Detection of Brucella Melitensis in Blood Samples Collected from Goats. J. Anim. Vet. Adv. 2011, 10, 1437–1444. [Google Scholar] [CrossRef]
- Fekete, A.; Bantle, J.A.; Halling, S.M.; Sanborn, M.R. Preliminary Development of a Diagnostic Test for Brucella Using Polymerase Chain Reaction. J. Appl. Bacteriol. 1990, 69, 216–227. [Google Scholar] [CrossRef]
- Keid, L.B.; Soares, R.M.; Vasconcellos, S.A.; Salgado, V.R.; Megid, J.; Richtzenhain, L.J. Comparison of a PCR Assay in Whole Blood and Serum Specimens for Canine Brucellosis Diagnosis. Vet. Rec. 2010, 167, 96–99. [Google Scholar] [CrossRef]
- O’Leary, S.; Sheahan, M.; Sweeney, T. Brucella Abortus Detection by PCR Assay in Blood, Milk and Lymph Tissue of Serologically Positive Cows. Res. Vet. Sci. 2006, 81, 170–176. [Google Scholar] [CrossRef]
- Wareth, G.; El-Diasty, M.; Melzer, F.; Schmoock, G.; Moustafa, S.A.; El-Beskawy, M.; Khater, D.F.; Hamdy, M.E.R.; Zaki, H.M.; Ferreira, A.C.; et al. MLVA-16 Genotyping of Brucella Abortus and Brucella Melitensis Isolates from Different Animal Species in Egypt: Geographical Relatedness and the Mediterranean Lineage. Pathogens 2020, 9, 498. [Google Scholar] [CrossRef]
- Michaux, S.; Paillisson, J.; Carles-Nurit, M.J.; Bourg, G.; Allardet-Servent, A.; Ramuz, M. Presence of Two Independent Chromosomes in the Brucella Melitensis 16M Genome. J. Bacteriol. 1993, 175, 701–705. [Google Scholar] [CrossRef]
- Suárez-Esquivel, M.; Chaves-Olarte, E.; Moreno, E.; Guzmán-Verri, C. Brucella Genomics: Macro and Micro Evolution. Int. J. Mol. Sci. 2020, 21, 7749. [Google Scholar] [CrossRef] [PubMed]
- Katsiolis, A.; Papanikolaou, E.; Stournara, A.; Giakkoupi, P.; Papadogiannakis, E.; Zdragas, A.; Giadinis, N.D.; Petridou, E. Molecular Detection of Brucella Spp. in Ruminant Herds in Greece. Trop. Anim. Health Prod. 2022, 54, 173. [Google Scholar] [CrossRef]
- European Centre for Disease Prevention and Control. Brucellosis. In ECDC Annual Epidemiological Report for 2022; ECDC: Stockholm, Sweden, 2024. [Google Scholar]
- Kefaloudi, C.; Mellou, K.; Dougas, G.; Vorou, R.; Mitrou, K.; Kontopidou, F. Human Brucellosis in Greece, 2005-2020: A Persistent Public Health Problem. Vector-Borne Zoonotic Dis. 2022, 3, 163–169. [Google Scholar] [CrossRef] [PubMed]
- Emmanouil, M.; Vourvidis, D.; Kyrma, A.; Makka, S.; Horefti, E.; Angelakis, E. Epidemiological Investigation of Animal Brucellosis in Domestic Ruminants in Greece from 2015 to 2022 and Genetic Characterization of Prevalent Strains. Pathogens 2024, 13, 720. [Google Scholar] [CrossRef]
- Minas, A.; Minas, M.; Stournara, A.; Tselepidis, S. The “Effects” of Rev-1 Vaccination of Sheep and Goats on Human Brucellosis in Greece. Prev. Vet. Med. 2004, 64, 41–47. [Google Scholar] [CrossRef] [PubMed]
- Dougas, G.; Katsiolis, A.; Linou, M.; Kostoulas, P.; Billinis, C. Modelling Human Brucellosis Based on Infection Rate and Vaccination Coverage of Sheep and Goats. Pathogens 2022, 11, 167. [Google Scholar] [CrossRef]
- Garin-Bastuji, B.; Benkirane, A. In FAO/WHO/OIE Round Table on the Use of Rev.1 Vaccine in Small Ruminants and Cattle; CNEVA: Alfort, France, 1995. [Google Scholar]
- Katsiolis, A.; Thanou, O.; Tzani, M.; Dile, C.; Korou, M.; Stournara, A.; Petridou, E.; Giadinis, N.D. Investigation of the human resources needs for the effective and efficient implementation of the sheep and goat brucellosis program in Greece. Vet. J. Repub. Srp. 2018, 18, 270–296. [Google Scholar] [CrossRef]
- Kolman, S.; Maayan, M.C.; Gotesman, G.; Rozenszajn, L.A.; Wolach, B.; Lang, R. Comparison of the Bactec and Lysis Concentration Methods for Recovery of Brucella Species from Clinical Specimens. Eur. J. Clin. Microbiol. Infect. Dis. 1991, 10, 647–648. [Google Scholar] [CrossRef]
- Extramiana, A.B.; González, L.; Cortabarría, N.; García, M.; Juste, R.A. Evaluation of a PCR Technique for the Detection of Maedi-Visna Proviral DNA in Blood, Milk and Tissue Samples of Naturally Infected Sheep. Small Rumi. Res. 2002, 44, 109–118. [Google Scholar] [CrossRef]
- Babetsa, M.; Boukouvala, E.; Gelasakis, A.; Papadopoulos, A.; Zdragas, A.; Ekateriniadou, L. Detection of a Brucella Melitensis Rev1 Vaccine Strain and Rev1-Like Strains in Unvaccinated Small Ruminants and Aborted Fetuses. Open Access. J. Vet. Sci. Med. 2019, 1, 103. [Google Scholar]
- Baily, G.; Drasar, B.; Stoker, N. Detection of Brucella Melitensis and Brucella Abortus by DNA Amplification. J. Trop. Med. Hyg. 1992, 95, 271–275. [Google Scholar] [PubMed]
- Brangsch, H.; Sandalakis, V.; Babetsa, M.; Boukouvala, E.; Ntoula, A.; Makridaki, E.; Christidou, A.; Psaroulaki, A.; Akar, K.; Gürbilek, S.E.; et al. Genotype Diversity of Brucellosis Agents Isolated from Humans and Animals in Greece Based on Whole-Genome Sequencing. BMC Infect. Dis. 2023, 23, 529. [Google Scholar] [CrossRef]
- Stamatakis, A. RAxML Version 8: A Tool for Phylogenetic Analysis and Post-Analysis of Large Phylogenies. Bioinformatics 2014, 30, 1312–1313. [Google Scholar] [CrossRef] [PubMed]
- Argimón, S.; Abudahab, K.; Goater, R.J.E.; Fedosejev, A.; Bhai, J.; Glasner, C.; Feil, E.J.; Holden, M.T.G.; Yeats, C.A.; Grundmann, H.; et al. Microreact: Visualizing and Sharing Data for Genomic Epidemiology and Phylogeography. Microb. Genom. 2016, 2, e000093. [Google Scholar] [CrossRef] [PubMed]
- Fouskis, I.; Sandalakis, V.; Christidou, A.; Tsatsaris, A.; Tzanakis, N.; Tselentis, Y.; Psaroulaki, A. The Epidemiology of Brucellosis in Greece, 2007-2012: A “One Health” Approach. Trans. R. Soc. Trop. Med. Hyg. 2018, 112, 124–135. [Google Scholar] [CrossRef]
- Papaparaskevas, J.; Kandili, A.; Pantazatou, A.; Gartzonika, C.; Charalampakis, N.; Stathi, A.; Tarpatzi, K.; Refene, E.; Priftis, A.; Mageropoulou, A.; et al. Infections due to the Brucella melitensis REV-1 vaccine strain in Greece, 2001–2015. In Proceedings of the 26th ECCMID, Amsterdam, The Netherlands, 9–12 April 2016; Available online: https://www.escmid.org/escmid_publications/escmid_elibrary/material/?mid=46811 (accessed on 24 August 2021).
- Corpa, J.M.; Pérez, V.; García Marín, J.F. Differences in the Immune Responses in Lambs and Kids Vaccinated against Paratuberculosis, According to the Age of Vaccination. Vet. Microbiol. 2000, 77, 475–485. [Google Scholar] [CrossRef]
- Grilló, M.J.; Barberán, M.; Blasco, J.M. Transmission of Brucella Melitensis from Sheep to Lambs. Vet. Rec. 1997, 140, 602–605. [Google Scholar] [CrossRef]
- Hensel, M.E.; Garcia-Gonzalez, D.G.; Chaki, S.P.; Hartwig, A.; Gordy, P.W.; Bowen, R.; Ficht, T.A.; Arenas-Gamboa, A.M. Vaccine Candidate Brucella Melitensis 16M ΔvjbR Is Safe in a Pregnant Sheep Model and Confers Protection. mSphere 2020, 5, e00120-20. [Google Scholar] [CrossRef]
- Nguyen, T.C. The Immune Response in Sheep: Analysis of Age, Sex and Genetic Effects on the Quantitative Antibody Response to Chicken Red Blood Cells. Vet. Immunol. Immunopathol. 1984, 5, 237–245. [Google Scholar] [CrossRef]
- Arellano-Reynoso, B.; Suárez-Güemes, F.; Estrada, F.M.; Michel-GómezFlores, F.; Hernández-Castro, R.; Acosta, R.B.; Díaz-Aparicio, E. Isolation of a Field Strain of Brucella Abortus from RB51-Vaccinated- and Brucellosis-Seronegative Bovine Yearlings That Calved Normally. Trop. Anim. Health Prod. 2013, 45, 695–697. [Google Scholar] [CrossRef]
- El-Diasty, M.; Wareth, G.; Melzer, F.; Mustafa, S.; Sprague, L.D.; Neubauer, H. Isolation of Brucella Abortus and Brucella Melitensis from Seronegative Cows Is a Serious Impediment in Brucellosis Control. Vet. Sci. 2018, 5, 28. [Google Scholar] [CrossRef] [PubMed]
- El Idrissi, A.H.; Benkirane, A.; El Maadoudi, M.; Bouslikhane, M.; Berrada, J.; Zerouali, A. Comparison of the Efficacy of Brucella Abortus Strain RB51 and Brucella Melitensis Rev. 1 Live Vaccines against Experimental Infection with Brucella Melitensis in Pregnant Ewes. Rev. Sci. Tech. 2001, 20, 741–747. [Google Scholar] [CrossRef] [PubMed]
- Barrio, M.B.; Grilló, M.J.; Muñoz, P.M.; Jacques, I.; González, D.; Miguel, M.J.D.; Marín, C.M.; Barberán, M.; Letesson, J.J.; Gorvel, J.P.; et al. Rough Mutants Defective in Core and O-Polysaccharide Synthesis and Export Induce Antibodies Reacting in an Indirect ELISA with Smooth Lipopolysaccharide and Are Less Effective than Rev 1 Vaccine against Brucella Melitensis Infection of Sheep. Vaccine 2009, 27, 1741–1749. [Google Scholar] [CrossRef]
- Minas, A.; Stournara, A.; Christodoulopoulos, G.; Katsoulos, P.D. Validation of a Competitive ELISA for Diagnosis of Brucella Melitensis Infection in Sheep and Goats. Vet. J. 2008, 177, 411–417. [Google Scholar] [CrossRef]
- Mathur, S.; Banai, M.; Cohen, D. Natural Brucella Melitensis Infection and Rev. 1 Vaccination Induce Specific Brucella O-Polysaccharide Antibodies Involved in Complement Mediated Brucella Cell Killing. Vaccines 2022, 10, 317. [Google Scholar] [CrossRef] [PubMed]
- Kojouri, G.A.; Gholami, M. Post Vaccination Follow-up of Brucella Melitensis in Blood Stream of Sheep by PCR Assay. Comp. Clin. Path. 2009, 18, 439–442. [Google Scholar] [CrossRef]
- Stournara, A.; Minas, A.; Bourtzi-Chatzopoulou, E.; Stack, J.; Koptopoulos, G.; Petridou, E.; Sarris, K. Assessment of Serological Response of Young and Adult Sheep to Conjunctival Vaccination with Rev-1 Vaccine by Fluorescence Polarization Assay [FPA] and Other Serological Tests for B. Melitensis. Vet. Microbiol. 2007, 119, 53–64. [Google Scholar] [CrossRef]
- Garin-Bastuji, B.; Blasco, J.M.; Grayon, M.; Verger, J.M. Brucella Melitensis Infection in Sheep: Present and Future. Vet. Res. 1998, 29, 255–274. [Google Scholar]
- Crespo-León, F. Brucellosis Ovina Y Caprina; World Organisation for Animal Health (OIE): Paris, France, 1994; pp. 1–450. [Google Scholar]
- Díaz Aparicio, D. Epidemiology of Brucellosis in Domestic Animals Caused by Brucella Melitensis, Brucella Suis and Brucella Abortus. Rev. Sci. Tech. 2013, 32, 53–60. [Google Scholar] [CrossRef]
- Sutherland, S.S.; Searson, J. The Immune Response to Brucella Abortus: The Humoral Immune Response. In Animal Brucellosis; CRC Press: Boca Raton, FL, USA, 1990. [Google Scholar]
- Tittarelli, M.; Giovannini, A.; Conte, A.; Ventura, M.D.; Nannini, D.; Caporale, V. The Use of Homologous Antigen in the Serological Diagnosis of Brucellosis Caused by Brucella Melitensis. J. Vet. Med. Ser. B Infect. Dis. Vet. Public Health 2005, 52, 75–81. [Google Scholar] [CrossRef]
- More, S.; Bøtner, A.; Butterworth, A.; Calistri, P.; Depner, K.; Edwards, S.; Garin-Bastuji, B.; Good, M.; Schmidt, C.G.; Michel, V.; et al. Assessment of Listing and Categorisation of Animal Diseases within the Framework of the Animal Health Law [Regulation (EU) No 2016/429]: Infection with Brucella Abortus, B. Melitensis and B. Suis. EFSA J. 2017, 15, e04889. [Google Scholar] [CrossRef]
- Wareth, G.; Melzer, F.; El-Diasty, M.; Schmoock, G.; Elbauomy, E.; Abdel-Hamid, N.; Sayour, A.; Neubauer, H. Isolation of Brucella Abortus from a Dog and a Cat Confirms Their Biological Role in Re-Emergence and Dissemination of Bovine Brucellosis on Dairy Farms. Transbound. Emerg. Dis. 2017, 64, 27–30. [Google Scholar] [CrossRef]
- El-Sayed, A.; Awad, W. Brucellosis: Evolution and Expected Comeback. Int. J. Vet. Sci. Med. 2018, 6, 31–35. [Google Scholar] [CrossRef] [PubMed]
- Hikal, A.F.; Wareth, G.; Khan, A. Brucellosis: Why is it eradicated from domestic livestock in the United States but not in the Nile River Basin countries? Ger. J. Microbiol. 2023, 3, 19–25. [Google Scholar] [CrossRef]
- Wareth, G.; Melzer, F.; Tomaso, H.; Roesler, U.; Neubauer, H. Detection of Brucella abortus DNA in aborted goats and sheep in Egypt by real-time PCR. BMC Res. Notes 2015, 8, 212. [Google Scholar] [CrossRef] [PubMed]
- Dagan, T.; Blekhman, R.; Graur, D. The “Domino Theory” of Gene Death: Gradual and Mass Gene Extinction Events in Three Lineages of Obligate Symbiotic Bacterial Pathogens. Mol. Biol. Evol. 2006, 23, 310–316. [Google Scholar] [CrossRef]
- Radhakrishnan, G.; Yu, Q.; Harms, J.; Splitter, G. Brucella TIR Domain-containing Protein Mimics Properties of the Toll-like Receptor Adaptor Protein TIRAP. J. Biol. Chem. 2009, 10, 9892–9898. [Google Scholar] [CrossRef]
- Audic, S.; Lescot, M.; Claverie, J.; Scholz, H. Brucella microti: The genome sequence of an emerging pathogen. BMC Genom. 2009, 10, 352. [Google Scholar] [CrossRef]
- Dahouk, S.A.; Hofer, E.; Tomaso, H.; Vergnaude, G.; Flèchee, P.L.; Cloeckaertim, A.; Koylass, M.S.; Whatmore, A.M.; Nöckler, K.; Scholz, H.C. Intraspecies Biodiversity of the Genetically Homologous Species Brucella microti. Appl. Environ. Microbiol. 2012, 78, 1534–1543. [Google Scholar] [CrossRef]
Disclaimer/Publisher’s Note: The statements, opinions and data contained in all publications are solely those of the individual author(s) and contributor(s) and not of MDPI and/or the editor(s). MDPI and/or the editor(s) disclaim responsibility for any injury to people or property resulting from any ideas, methods, instructions or products referred to in the content. |
© 2025 by the authors. Licensee MDPI, Basel, Switzerland. This article is an open access article distributed under the terms and conditions of the Creative Commons Attribution (CC BY) license (https://creativecommons.org/licenses/by/4.0/).