Skip Content
You are currently on the new version of our website. Access the old version .
  • This is an early access version, the complete PDF, HTML, and XML versions will be available soon.
  • Article
  • Open Access

5 February 2026

A Cooperative Optimization Method for Speed Planning and Energy Management of Fuel Cell Buses at Multi-Signalized Intersections

,
,
,
,
,
,
,
and
1
School of Automotive Engineering, Shandong Jiaotong University, Jinan 250357, China
2
School of Mechanical and Electrical Engineering, Weifang University of Science and Technology, Weifang 262700, China
*
Author to whom correspondence should be addressed.
This article belongs to the Section Vehicle Management

Abstract

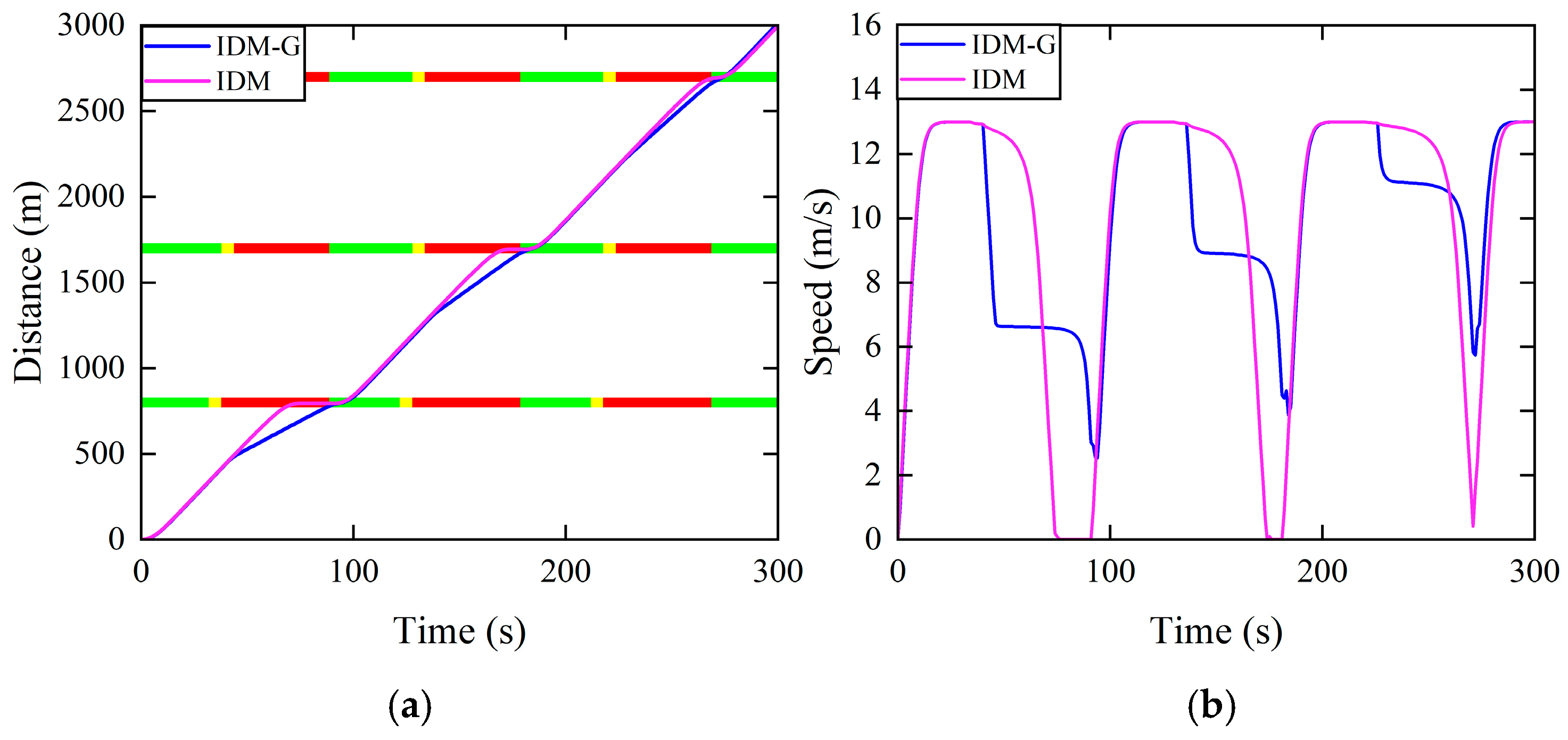
Urban bus operations under signalized traffic conditions are characterized by frequent stop-and-start behaviors which significantly degrade fuel economy, especially for fuel cell buses (FCB). In this paper, a collaborative optimization method is proposed that combines speed planning and energy management for FCB in this situation. The method calculates the target speed of FCB using traffic light phase information and the remaining signal time. With an intelligent driving model, the vehicle can adjust its speed in advance when approaching intersections so it can pass through intersections without stopping. At the same time, a learning-based energy management strategy is used to reasonably share power between the fuel cell and the battery. The results indicate that the method proposed in this paper reduces hydrogen consumption by approximately 11.3% compared to the standard method.

Article Metrics

Citations

Article Access Statistics

Article metric data becomes available approximately 24 hours after publication online.