Abstract
A ubiquitous network of charging stations is vital to facilitate the adoption of electric vehicles (EVs) and the achievement of a low-carbon transportation system. Currently, the availability of EV infrastructure differs significantly between communities as planning procedures are not necessarily equitable. Understanding the charging behavior of EV users is a crucial step toward creating an electric vehicle service equipment (EVSE) infrastructure that serves users efficiently, equitably, and sustainably. Presently, public charging station deployment efforts differ across communities, with little context surrounding urbanicity. This study analyzes data from 66 public Level 2 charging stations across Rhode Island. Motivated by the significant disparities in infrastructure availability between urban and rural areas, the research explores behavioral differences to inform infrastructure planning. Key findings reveal that urban stations are predominantly used during weekdays, with longer charging durations and higher energy consumption, whereas rural stations are primarily utilized on weekends and exhibit shorter, more efficient charging sessions. On average, dwell times at rural stations are approximately 50% shorter, while average energy demand is only 7% less. These results provide actionable insights for optimizing charging station deployment and utilization across diverse communities to support the growing demand for EVs.
1. Introduction
Electric vehicle sales have constantly increased in the past decade, requiring a supportive infrastructure to encourage and maintain their growth. Globally, 40 million electric vehicles (EVs) were on the road at the end of 2023, with projections that they will reach 250 million by 2030 and 525 million by 2035 [1]. As road transportation is one of the most significant carbon dioxide emission contributors, constituting 35% of U.S. total greenhouse emissions, policymakers have increased efforts to reduce emissions through the electrification of road transportation [2,3]. For example, in the U.S., seventeen states, including Rhode Island, have joined the Zero-Emission Vehicle Program of the California Air Resources Board, aiming to collectively have 5 million zero-emission vehicles on the road by 2030, along with the required infrastructure. For Rhode Island, whose largest emission source is transportation, this goal includes roughly 43,000 vehicles [4]. Consequently, there was an increase in EV sales in the past decade, which is expected to continue [1]. Battery electric vehicles (BEVs), in particular, have become more important over the past few years, accounting for more than three-quarters of all U.S. EV sales in 2020 [1].
A growing number of EVs on the road and an increase in achievable driving ranges require a strategically planned deployment of electric vehicle service equipment (EVSE) across various communities [5,6,7]. While insufficient charging opportunities are seen as a barrier to EV adoption [8,9,10], a comprehensive charging network can facilitate EV ownership and assist in reaching zero-emission goals [7,11,12,13,14]. Furthermore, sufficient and convenient access to public charging increases utility and reduces the range anxiety of users [15,16,17]. For example, Jang and Choi [18] found that public charging stations in relative proximity to their homes are of high importance for EV users. Furthermore, Sierzchula et al. [19] found by conducting a sensitivity analysis that charging infrastructure is a stronger incentive for EV adoption than financial incentives. In other words, the widespread availability of EV public charging infrastructure can facilitate EV ownership.
U.S. Department of Energy’s Office of Energy Efficiency and Renewable Energy’s National Renewable Energy Laboratory (NREL) considers that understanding consumer behavior in their urban and rural communities will be a significant determinant of the size and composition of future national charging networks [20]. Acknowledging that further investments are necessary to develop a robust national electric vehicle infrastructure network, concentrated efforts such as the Bipartisan Infrastructure Law enacted in the Infrastructure Investment and Jobs Act are being made to increase the robustness of national public electric vehicle charging infrastructure. This law includes a maximum investment of USD 7.5 billion in efforts to create an intra-national network of 500,000 chargers for electric vehicles under two programs: the National Electric Vehicle Infrastructure Formula Program and the Discretionary Grant Program for Charging and Fueling Infrastructure Formula Program [21]. Rhode Island, in particular, will receive USD 23 million over five years to support the expansion of the electric vehicle charging networks within the state [22]. In efforts to further bolster the purchase of United States-manufactured electric vehicles, the tariff rate on electric vehicles under Section 301 of the U.S. Trade Act of 1974 increased from 25% to 100% [23]. Although the importance of EVSE deployment was pointed out in previous studies [17,18,19], current public EVSE infrastructure needs to be more distributed between regions and communities [24]. This is an issue that various grant programs in the Bipartisan Infrastructure Law intends to change, with an expected use case of introducing infrastructure along corridors and in communities to ensure that chargers are deployed in rural and disadvantaged communities [21].
For example, Sovacool et al. [24] mention that access to electric mobility technologies was the most frequently mentioned injustice across their sample of interviewees from the Nordic regions (i.e., Sweden, Denmark, Finland, and Iceland). Funke et al. [25] state that a broad public charging station infrastructure in the U.S. still needs to be created. Additionally, Tal [11] found that access to workplace charging and public charging near work within the U.S. differed significantly between states. For example, while less than 20% of survey participants residing in Connecticut had access to charging, it was accessible to 50% of the Colorado residents [11]. To increase EV adoption, Rhode Island started offering users free public charging at multiple locations as part of the EV initiative in 2013. Station owners were incentivized to install publicly accessible charging stations while carrying the operating costs. Figure 1 shows that, regardless of this initiative, there is an urban–rural divide in EV adoption and availability of public EVSE in Rhode Island, with most publicly accessible charging stations being in urban areas (depicted by the orange border). Consequently, there is usually a higher number of EVs registered in urban areas than in rural areas.
Figure 1.
Urban and rural EV adoption and locations of public EVSE in Rhode Island.
The urban–rural divide in the U.S. is historical. Hindman points out that even access to and adoption of other technologies differed between these areas [26]. The author showed that the divide between rural and urban areas is not just a snapshot but rather a general phenomenon, positing that “a larger percentage of metropolitan residents have adopted and used various information technologies than have nonmetropolitan residents” [26]. In this context, the innovation diffusion theory often explains the urban–rural divide. According to the innovation diffusion theory, the adoption of innovations begins in metropolitan areas before spreading out to suburban and rural areas [26,27]. Metropolitan areas are considered early adopters because their population is usually more educated and has higher income levels, leading to a capability and willingness of residents to pay higher prices for new products (e.g., EVs) [28]. Pred [29] further describes that the initial location of the innovation or its birthplace and the location of the adopter is often the same. It requires information spread to transition the adoption process to the peripheries, thus spreading to rural areas last [29]. This theory is supported by the neighborhood effect, described by Jansson et al., which indicates that neighbors can significantly impact the decision-making process of potential EV adopters [30]. This indicates a reinforcing loop of location and EVSE adoption. In other words, EVs are purchased more in areas where the adoption has already started and EVSE installed, which will most likely be in urban areas.
Consequently, a gap in EV adoption between urban and rural areas can form, such as those found in Sweden [31]. With the U.S. historic divide continuing, EVs can increase exclusion, elitism, and procedural injustice between rural and urban communities [24]. So far, current literature has yet to agree on which areas should be targeted more intensively to reduce the inequality between communities while supporting EV ownership.
While some studies state that public access to EVSE infrastructure is of greatest necessity in metropolitan areas [16,25], others argue that there should be higher efforts in rural areas. For example, Fleming et al. [32] posited that rural areas and communities are often underserved with EVSE, lowering EV awareness and ownership. However, Fleming et al. mentioned the lower operating costs of BEVs, which makes them specifically beneficial in rural areas where residents usually have lower income levels [32]. Fleming et al. [32] reflects Bailey et al.’s [12] previous survey results, showing that station awareness was much higher among residents of urban areas (23%) compared to residents of rural areas (12%). Knowledge about the existence of two or more chargers was significantly higher among urbanites [12], indicating that EVSE deployment is currently focused on urban areas. The survey results by Kester et al. indicated that lower population density is often associated with fewer charging opportunities [33]. Therefore, the targeted placement of public charging stations in urban communities will increase local awareness while supporting systemic inequality in EV access across the rural-urban divide.
However, neither Fleming [32], Bailey et al. [12], nor Kester et al. [33] defined the terms urban and rural and did not investigate whether charging behavioral patterns differ with the degree of urbanicity. Meanwhile, Lee et al. [34] used self-reported charging histories of Californian households to observe charging behavior and did not find a significant relationship between urbanicity and charging behavior. This study also lacks a specific definition of urban and rural and is limited by using only the self-reported charging history of participating households. Björnsson and Karlsson [6] highlighted in their study that shorter charging durations relate to a substantially large charging infrastructure. Considering differences in deployment levels of charging infrastructure between urban and rural areas [12,32], paired with findings by Björnsson and Karlsson [6], one can assume that urbanicity impacts user behavioral patterns. Charging behavioral patterns for areas with different and clearly defined levels of urbanicity are yet to be explored and form a gap in the current literature. Instead, previous studies have focused on other aspects of charging behavior (e.g., charging time, charging duration, and charging location) and differ in the source of data (i.e., surveys, vehicle log files, and charger log files), the considered type of vehicle, the type of station, and the location of the station [35]. For example, plug-in hybrid EV drivers and BEV drivers charge their vehicles at contrasting frequencies, as shown in [36,37,38], with more frequent charging found for BEV drivers.
Morrissey et al. [39] analyzed charging data collected directly from 711 public charging points across Ireland. The authors stated that there is more standard charging (Level 1 and Level 2) in the morning and faster charging in the evening. Furthermore, charging behavior at home was different, with peak utilization in the morning and the afternoon when users returned from work [40]. Morrissey et al. [39] posited that 75% of public charging events do not last more than three hours. Desai et al. [41] conducted a study in the US city of Rochester and identified five patterns in users’ daily charging behavior and similarly found that the median duration of charging was similar (between 1.5–2.5 h) for all behavior patterns [41]. On average, more energy is drawn from DC fast chargers than Level 1 or Level 2 chargers [39]. The amount of energy drawn and the duration of charging events differ between functional areas (i.e., residential areas, public areas, travel corridors, and workplaces) [39].
During an analysis of data from Quebec and British Columbia’s combined 3978 Level 2 charging stations, a combination of urbanity and locale impacts charging behaviors. Jonas et al. concluded that public charging behavior within disparate communities—and between urban and rural areas—is not uniform [42,43]. While their findings corroborated that users are less urgent with charging in their residence compared to public charging durations, average parking times at public Level 2 chargers had high average durations of over five hours, indicating that stations are often occupied longer than needed to attain a full charge. They found behavioral peaks, such that peak charging demand would shift from residential Level 2 charging in the morning to public Level 2 and then back to residential Level 2 in the evening [43]. Stations in proximity to workplaces are statistically more likely to be used if free [44]. Hence, charging and electricity costs also shape user behavior, and free public charging can ease EV adoption [10,18] while potentially causing a shift from home charging to public charging [11]. Tal [11] summarized that the frequency of away-from-home charging depends on need, availability, and price differences between home and public charging stations. Ultimately, limited work exists in looking at the rural-urban divide in the context of public charging EV infrastructure behavior in the United States.
The call to action by Rhode Island officials provides a unique opportunity to study an entire statewide EVSE network with one of the smallest land masses, which can be traversed in approximately one hour, while being the second most densely populated state in the U.S. This study aims to fill the current literature gap by further exploring urbanicity’s impact on charging behavior patterns. Identifying and understanding these patterns can support decision-makers in creating user-centered infrastructure development plans that contribute to equity across communities and achieve climate goals by enhancing access to electric mobility. Therefore, this study explores the statewide EVSE network of Rhode Island through the following research questions: (1) Does station charging behavior differ between urban and rural areas, and (2) If so, how does the charging behavior between these areas differ based on the user’s urbanicity?
The remainder of the paper will present the research methods, results, discussion, and conclusion. In Section 2, we describe the methodology for our experimental environment, the data, and the associated analysis of users’ and electric vehicle stations’ urbanicity. In Section 3, the results of station and user urbanicity are evaluated and compared, followed by an overarching discussion in Section 4. We conclude our remarks in Section 5, summarizing key outcomes, limitations, and areas for future research.
2. Research Methods
This study examines EV user charging behavior and explores the potential differences between urban and rural areas in Rhode Island. We introduce a multi-phased approach, including applying various statistical methods to identify and understand behavioral patterns and differences between aggregated and grouped data. Differences between urban and rural areas were explored in three different ways. First, the aggregated data sets were separated into rural and urban stations. Second, urban and rural users were defined using the centroids of their residential zip codes. Lastly, user groups were formed based on station location and user origin. The analyses aimed to explore the potential impact of the station location and the user origin on charging behavior to contribute to a thorough understanding of user behavioral patterns and the impact of urbanicity. This is a fundamental step towards offering an equitable and user-centered charging station infrastructure that reduces procedural inequality.
2.1. Data
Rhode Island is selected for the statewide EV charging station testing network because it is the second most densely populated state in the U.S., it has the I-95 Alternative Fuel Corridor, its comprehensive government agencies and stakeholder support, and its unique ability to oversee the network within each municipality. The data used in this study were provided by the Rhode Island Office of Energy Resources and were collected from 66 public Level 2 charging stations across the state, which were part of the Rhode Island EV Initiative. This initiative, launched in 2013, aims to establish a statewide, free public charging network, including strategic locations such as T.F. Green Airport and Rhode Island Hospital, to support regional electric vehicle travel [45]. The State of Rhode Island and their Office of Energy Resources plan for the next few years entails the establishment of 512 new Level 2 EV public charging stations and 95 DC fast chargers (current n = 4) charging stations through pending approval from federal grant funding programs. The data set includes a total of 136,881 charging sessions from 2013 to 2021, with the following information available per charging event:
- -
- Information about the charging station: station name, organization name, unique station ID, port type (i.e., Level 2, DC Fast), number of ports, plug type, latitude, and longitude.
- -
- Information about the user: unique user ID and a zip code related to the user ID.
- -
- Information about the charging session: timestamp of the session start, timestamp of the session end, time zone, total duration, charging duration, total energy draws [kWh], session ending reason, and total fee.
Data processing was performed using Python’s Pandas [46] and Numpy [47] packages for timeline and consistency in charging station information. Sessions logged before 1 May 2017 were removed because they lacked the required information for the analysis (e.g., the user zip code and the station ID). Sessions starting on 1 March 2020, when the first COVID-19 case was confirmed in Rhode Island or later, were removed from the data to exclude possible effects of charging behavior due to lockdowns and other restrictions. Furthermore, updating charging station names and coordinates occurred through Google Maps and the station provider’s website. Zip codes served as a proxy to determine the level of urbanicity of the user’s origin. Hence, only user IDs with zip code information were considered in the analysis. The most recent zip code was used for all their sessions if the user’s zip code was added within the observation period. Lastly, this study only focused on charging behavior from residents of the New England states (i.e., Connecticut, Massachusetts, Maine, New Hampshire, Rhode Island, and Vermont). The data revealed that many users come from these states, presumably as commuters or for recreational purposes. Erroneous entries, such as those with a zero-energy draw, a charging duration of less than one minute, or a charging duration of more than 24 h were excluded [39]. Additionally, sessions that ended without the user’s intention (e.g., due to system or server failure) were removed from the data; thus, only capturing the user’s intent. Lastly, sessions conducted with research BEVs were not considered since this paper focuses only on natural charging behavior.
The population classification criteria of the 2010 U.S. Census categorized the stations and users by their level of urbanicity. The 2010 U.S. Census identifies urbanized areas as representative of 50,000+ people, urban clusters as areas that encompass a population of at least 2500 people and less than 50,000 people, and rural areas as all other areas that do not meet these other criteria [48]. As of 2024, the urban population in the U.S. exceeded 286 million, while the rural population accounted for fewer than 60 million (approximately an 80:20 ratio) [49]. According to the underlying definitions, no Rhode Island stations were in urban clusters, and users from urban clusters undertook only a small number of sessions. Therefore, the analysis did not consider sessions related to users from urban clusters. For simplification reasons, urbanized areas are called “urban,” and rural areas are referred to as “rural” in this study. The urbanicity levels were determined using the GPS location of the station and the driver’s given zip code. After data cleaning, 42,624 data points from 1667 users were used to analyze behavioral patterns.
The spatial distribution of the chargers (blue dots) in Rhode Island is displayed in Figure 2, with areas defined as urban highlighted in red. There are 60 stations located in urbanized areas, with a high concentration in the Providence Metropolitan area. Only five stations are defined as rural, with four located in or near state parks. Urbanites charging in Rhode Island were from 291 different zip codes, while rural users came from 122 different zip codes.
Figure 2.
Spatial distribution of public charging stations in Rhode Island and urban areas in New England. Note: Blue dots represent the considered charging stations; red dots consider the users’ origins; red highlighted areas represent urban areas.
2.2. Analysis
For a fundamental understanding of charging behavior at urban and rural stations by urban and rural users, descriptive statistics were computed for different variables (i.e., energy draw, charging duration, total session duration, the distance between the station and the user’s zip code, and the average number of charges per day). Using the Haversine formula, we calculated the distance between the station and the user’s zip code centroid for each session. The average number of charges per day was calculated for each station and user by dividing the total number of charges in the observation period by the total number of days the station or the user was registered (i.e., the number of days between the first and last session). For all mentioned variables of both aggregated data sets, 95% confidence intervals (CIs) were calculated and plotted to identify differences in behavior between the urban and rural areas. Pearson correlation tests were performed between key variables to evaluate potential interdependencies and relationships that could influence charging behavior patterns. Additionally, Mann–Whitney U tests were conducted for each variable to statistically compare the subsets, with an underlying significance level of α = 0.05. This method was used to verify findings from the CI plots and as an appropriate method to compare non-parametric data of two independent groups.
To better understand potentially significant differences between urban and rural areas over time, density plots were provided to show the frequency of session counts over one-hour session intervals for start time and end time. Accordingly, density plots were illustrated for session counts over the days of the week. Violin plots visualize the probability distributions of the numeric variables’ energy draw and charging duration over each day of the week. Lastly, the data were grouped by station and user urbanicity. Hence, four utilization groups could be differentiated:
- (1)
- U:U→urban station–urban user;
- (2)
- U:R→urban station–rural user;
- (3)
- R:U→rural station–urban user;
- (4)
- R:U→rural station–rural user.
Density plots and 95% CIs were used to identify significant differences in behavioral patterns between the four groups. In addition, a dynamic time warping (DTW) algorithm was applied to the charging variables (i.e., energy demand, charging duration, total duration) to compare the time series data of different combinations of utilization groups. The DTW results were adjusted by dividing the total distance by the number of distances calculated by the algorithm to ensure comparability between sets of different sample sizes. Thus, the DTW resulted in a distance that compares different combinations of the user groups.
3. Results
3.1. Stations’ Urbanicity
Table 1 provides descriptive statistics of the charge consumption, charge duration, total plug-in time, distance, and the average number of charges per day for urban and rural charging stations. Most of the sessions happened at urban stations, with 41,755 sessions. Eight hundred sixty-nine of the charges occurred in rural areas. For all the considered variables except for the variable of distance, the mean, the quartiles, and the maximum were higher at stations located in urban areas. For example, the average charge consumption at urban stations was 9.51 kWh and the mean charge duration was 130 min, compared to stations in rural areas, with 8.84 kWh and 92.5 min. The total plug-in duration was more than 3.5 hrs at urban stations and just over 1.75 hrs in rural areas. A total of 75% of the sessions in urban areas took less than three hours, while the same proportion of sessions took two hours or less in rural areas. Urban stations were generally used more frequently, with a mean of 0.844 charges per day compared to 0.176 charges per day at rural stations. A total of 75% of the urban stations were used 1.14 times per day or less. In contrast, the same percentage of charging stations in rural areas were used at most 0.20 times per day. The statistics further show that the average distance from user zip codes to rural stations was more than a mile higher (15.42 miles, with a standard deviation of 16.76 miles) than the average distance to urban stations (14.19 miles, with a standard deviation of 17.37 miles).
Table 1.
Descriptive statistics for urban and rural charging stations.
Figure 3 plots the 95% CIs of the average energy consumption, charging duration, total session duration, and number of charges per day for rural and urban stations. All variables showed lower CIs at rural stations compared to stations located in urban areas. Furthermore, the CIs of all variables except for energy did not overlap, indicating a significant difference between the aggregated station data sets. Charging durations, plug-in time, and frequency were significantly higher at urban stations, while the distance was significantly lower.
Figure 3.
The 95% confidence intervals of utilization variables for urban and rural stations.
The Mann–Whitney U test confirmed the findings from the CI analysis, revealing a statistically significant difference between rural and urban stations for energy consumption (p = 0.000). Similarly, the charging duration (p = 0.000), plug-in time (p = 0.000), and average number of charges per day (p = 0.003) also showed significant differences between the urban and rural station subsets.
Density plots of session counts over the session start-time intervals and session end-time intervals for both urban stations (blue bars) and rural stations (orange bars) were plotted to understand the temporal utilization of charging stations throughout the day (Figure 4). The plots show that many charging events started in the morning between 7:00 and 9:00 a.m., with a peak around 8:00 a.m. A second local peak in urbanized areas could be found around noon. At stations located in rural areas, most sessions started at noon, while the proportions of charging events between 10:00 a.m. and 8:00 p.m. generally showed minor variation. Most charging events in urbanized areas ended between 4:00 and 5:00 p.m. At rural stations, the percentage of session ends picked up at approximately 9:00 a.m. and peaked between 2:00 p.m. and 8:00 p.m.
Figure 4.
Density plots of charging sessions over (A) start time and (B) end time slots in one-hour intervals for urban and rural stations.
The distribution of charging sessions over the day of the week is depicted in Figure 5. On weekdays, the proportion of charging events was relatively constant at urban stations (blue bars) and ranged between 15% and 17%. Approximately 10% of sessions were conducted on Saturdays, while an even smaller proportion happened on Sundays. At rural stations, represented by the orange bars in Figure 5, patterns occurred on the contrary to urban stations; thus, almost half of all charges happened on the weekend, with more than 25% falling on Saturdays. The lowest percentage of sessions were conducted on Tuesdays before picking up towards the weekend.
Figure 5.
Density plot of charging session counts over start day of the week for urban and rural stations.
Figure 6 depicts the utilization of urban and rural stations in terms of energy consumption and charging duration throughout the week. Across all days, energy and charging duration showed higher maxima in urban areas. The violin plots for energy consumption during workdays seem wider at urban stations. However, on weekend days, the energy draw at urban and rural stations was similar, with almost identical medians represented by white points in the boxplots. On Mondays, energy consumption differed statistically the most between urban and rural stations, with a lower median at rural stations. More considerable differences were found for the variable charging duration. The interquartile ranges of durations at rural stations were generally lower and smaller than at urban stations throughout the week. In other words, a more comprehensible range of durations is similarly probable. Generally, the median duration was lower at rural stations (Figure 6). The most significant difference in charging duration was found on Wednesdays, where the third quartile of rural charging durations was almost below the first quartile of urban charging durations.
Figure 6.
Violin plots of (A) energy draw and (B) charging duration over the day of the week for urban and rural stations.
3.2. Users’ Urbanicity
After comparing charging session subsets based on station urbanicity, the data were categorized by user urbanicity to analyze behavioral patterns concerning the user origin. As the descriptive statistics of the subsets of the session data in Table 2 show, users from urban areas conducted 33,994 charges. In contrast, rural users accounted for 8630 sessions. Generally, urban users showed higher means, maxima, and quartiles than rural users across all variables. For example, urban users charged 9.84 kWh on average in 133 min. The average total duration was calculated as 222.48 min. Across all statistics, rural users had farther distances to travel from their address and the station. For example, the mean distance between users from rural areas and the charging station was 17.97 miles, 4.5 miles more than the distance for urbanites. The median distance from home was exactly double for ruralists, at 14 miles.
Table 2.
Descriptive statistics for urban and rural users.
On the contrary, on average, rural users charged 8.13 kWh in just under two hours. Three-quarters of urban users were plugged in for less than five hours, while 75% of rural users were plugged in for approximately four hours or less. The mean frequency between urban and rural users was almost equal, with 0.429 (SD = 0.491) and 0.405 (SD = 0.5) times per day, respectively. The standard deviation for all other variables except for distance was higher for urbanites.
The 95% CI analysis results comparing the data based on user urbanicity are depicted in Figure 7. The CIs of the energy draw, charging duration, total plug-in time, and distance between urban and rural users did not overlap, indicating a significant difference in user behavioral patterns between the subsets. More specifically, urbanites charged more, for longer, and closer to their homes than users from rural areas. In contrast, there was no indication of a significant difference in charging frequency between urbanites and ruralists.
Figure 7.
The 95% confidence intervals of utilization variables for urban and rural users.
Instead, the Mann–Whitney U test showed that urban and rural users were not coming from equal distributions, with p = 0.000 for energy draw, charging duration, plug-in time, and distance, and p = 0.047 for the number of daily charges.
A temporal comparison of charging behavioral differences between urban and rural users was conducted using density and violin plots. The density plots for session start and end over one-hour intervals and weekdays and violin plots for energy consumption and charging duration over weekdays are summarized in Appendix A. No difference between the user groups was indicated for session times, energy, and session durations.
3.3. Urbanicity Utilization Groups
The descriptive statistics in Table 3 show that group U:U was related to the highest means and quartiles for charge duration, total duration, and charging frequency, followed by groups U:R, R:U, and R:R. While the 75th percentile for the variable energy draw of group U:U was at 12.433 kWh, it was only at 7.242 kWh for group R:R.
Table 3.
Descriptive statistics for utilization user groups.
Group R:U showed a higher average energy demand, with 10.147 kWh (SD = 9.999), than both groups at urban stations (i.e., U:U and U:R). However, group U:R was related to longer charges and plug-in durations than group R:U. Although group R:R had the smallest sample size, it showed the slightest variation among all considered variables. A total of 75% of the sessions of group U:U had a charging duration of three hours or less, while the same proportion of sessions in group R:R took only 1.5 hrs or less. The same factor difference between these two groups was found for the variable plug-in time. Urban stations generally had higher plug-in durations and were used more frequently across all statistics for the groups, including rural stations (i.e., R:U and R:R). Rural stations were used three times as frequently on average by urban users (0.323 times per day) compared to rural users (0.119 times per day). Rural users used urban stations more often than rural stations, at 0.904 times per day compared to 0.119 times per day. Over 23% of users from urban areas and more than 5% from rural areas were one-time users during the entire observation period. Generally, user groups, including rural users (i.e., U:R and R:R), had higher average distances from their addresses, which were more than 17 miles. The median distance of rural users charging at urban stations was 13.854 miles, and 16.106 miles when charging at rural stations. In contrast, the median distance for urban users was 7.289 miles at urban stations and approximately 10 miles at rural stations. The difference in the sample size between groups U:U and U:R for the average number of charges per day revealed that one urban station was exclusively used by urbanites. Across all groups, Pearson correlation coefficient testing revealed a strong positive correlation (r > 0.9) between charging time and energy, which was expected due to the direct relationship between these two variables. This correlation was significant, with a p-value of 0.000. On the other hand, distance was uncorrelated with all other variables, with r < 0.05 and p-values greater than 0.5, showing that distance does not exhibit a meaningful correlation with the other factors.
In Figure 8, plots of the 95% CIs show that groups formed by rural users (U:R and R:R) were generally significantly different from group U:U. The two groups, including urban users (U:U and R:U) were similar in terms of the energy demand. At urban stations, there was a significant difference between urban users (group U:U) and rural users (group U:R) across all variables. All groups differed significantly in terms of charging duration and plug-in time, with the lowest CIs found for group R:R and the highest for group U:U. Group U:U was related to significantly lower distances than groups U:R and R:R. The distance for group U:R was significantly higher than that for group R:U. When looking at the charging frequency, there was no significant difference between groups R:U, U:R, and R:R. The frequency of urbanites at urban stations was significantly higher than that of all other groups. Using the Mann–Whitney U test, a cross-comparison of the groups for all variables showed that only two groups were not from different distributions. No difference was found between U:U and R:U (p = 0.109) in energy draw. Furthermore, there was no evidence for different distributions of distance found between U:R and R:R (p = 0.335).
Figure 8.
The 95% confidence intervals of variables for different utilization groups.
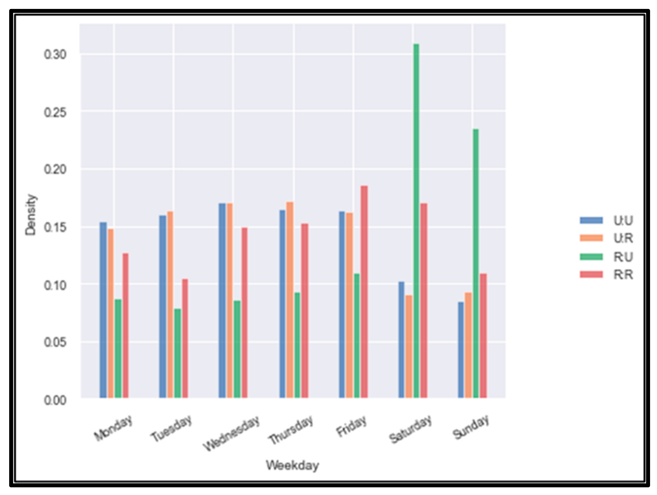
Group R:U showed a higher average energy demand, with 10.147 kWh (SD = 9.999), than both groups at urban stations (i.e., U:U and U:R). However, group U:R was related to longer charges and plug-in durations than group R:U. Figure 9 shows the distribution of charging events over the days of the week for all utilization groups. While the proportion of sessions of urban and rural users at urban stations (groups U:U and U:R) was similar each weekday, a difference between utilization groups at rural stations (groups R:U and R:R) could be observed. For example, rural users at rural stations (group R:R) charged the least on Tuesdays before picking up towards Fridays, when most sessions were conducted. The proportion of charging events within group R:R declined slightly on Saturday and Sunday. The most considerable difference between workdays and the weekend was found in group R:U (representing urban users at rural stations). More than 30% of sessions of this group happened on a Saturday and more than 20% on a Sunday. On all other weekdays, the proportion of events within group R:U ranged between 7 and 10%.
Figure 9.
Density plot of charging sessions over the day of the week for different utilization groups.
The DTW algorithm was applied using the different variables to identify differences in the temporal sequences of charging utilization groups. Table 4 summarizes the results for the DTW algorithm of the energy demand between the groups. In general, distances between group U:U and all other groups were the largest, with at least 5.1 kWh. The most considerable distance was found between group U:U and group R:R, with almost six kWh. Another relatively significant difference was found between groups R:U and R:R, with approximately 5 kWh. Differences between U:R and R:U and between U:R and R:R were the smallest.
Table 4.
Results of the dynamic time warping algorithm for differences in energy demand (kWh) between utilization groups.
Applying the DTW algorithm to the charging duration data of the groups led to slightly different results. As displayed in Table 5, the highest difference was found between group U:U and group R:U, with more than 75 min on average. The second-largest distance was between groups U:U and R:R. Differences between urban and rural users at rural stations were relatively small, with under 45 min on average. U:R and R:R, and R:U and R:R were moderately distant, with approximately one hour.
Table 5.
Results of the dynamic time warping algorithm for differences in charging duration (minutes) between utilization groups.
A final variation of the DTW algorithm was applied using the variable of total charging duration. As displayed in Table 6, the highest difference was found between groups U:U and R:U, with over 150 min. In general, there was a distance of at least 121 min between U:U and the other groups. Group U:R differed moderately from groups R:U and R:R. Groups R:U and R:R instead showed the slightest difference, with less than one hour on average.
Table 6.
Results of the dynamic time warping algorithm for differences in total duration (minutes) between utilization groups.
4. Discussion
A multi-pronged analysis of the Rhode Island Level 2 public charging data for differences between urban and rural areas led to novel findings as well as results supporting those from previous studies. For example, charging behavior in Rhode Island was similar to behavior in Ireland, as described in Morrissey et al. [39]. Like their results, our study found that 75% of charges at standard charging stations lasted no longer than three hours. However, the charging frequency at public standard chargers in Ireland was lower than at public chargers in Rhode Island. Urban stations in Rhode Island especially are used significantly more often. Furthermore, Ireland’s standard and fast chargers showed a lower average energy consumption than stations in Rhode Island [39]. The charging frequency of users of approximately 0.4 times per day aligns with previous findings in Franke et al. [37] and Kurani et al. [36]. However, both studies included home charging, which was not considered in this study. In other words, the user charging frequency in this study appears relatively high, caused by the relatively high percentage of one-time users in the sample. These users are presumably travelers who visit the state for only a short time, during which they plug in once. Hence, statewide EV registrations do not solely represent public charging station users. In other words, vacation and leisure destinations should consider that additional users outside their traditional network compete with local users in their infrastructure planning.
This study aimed to explore whether differences in charging behavioral patterns exist between urban and rural areas. The first research question can be affirmed. Generally, charging behavioral patterns between urban and rural stations differed significantly concerning the amount of energy drawn, the charging duration, the total duration, the distance between chargers and user homes, and the average number of daily charges. More specifically, the energy consumption was usually higher at urban stations, which were also used more frequently. In addition, charging durations and plug-in times were longer at stations in urban areas. However, users at rural stations charged their vehicles farther away from home, indicating that there needs to be more rural chargers near their homes. Even when charging at one of the few rural chargers, ruralists were farther away from home than urbanites. Exploring what causes these more considerable distances should be the subject of a future study and would add to these findings.
Charging behavior between urban and rural areas also differed for time and day. While session ends seem similar, charges at urban stations often started during morning hours. A morning peak in session starts was previously found by Quirós-Tortós et al. [40], although the authors analyzed residential charging behavior. This indicates that urban charging patterns resemble residential charging patterns concerning charging demand in the morning. It could be investigated in the future whether the similarity to these previous findings is caused by most urban public stations being located in proximity to residential areas. However, peaks in charging demand during morning hours at both public and residential charging stations make it essential for policymakers to take measures that ensure grid stability (e.g., load management, smart charging). The number of sessions at rural stations peaked on weekends, with a maximum found on Saturdays. This was presumably caused by most of these rural stations being located near Rhode Island state parks, which are visited more on weekends for recreation and leisure activities. Conversely, urban stations were mainly used between Monday and Friday with longer plug-in duration than charging duration indicating parking behaviors. In Will and Schuller [50], the primary use of EVs was for commuting. Hence, it can be assumed that the high utilization on workdays and in the morning hours is caused by users whose job locations are nearby. In other words, commuters charge at urban chargers while being at work.
In rural areas, energy consumption and charging duration were more consistent than in urban areas across weekdays. Furthermore, rural chargers were used more efficiently than urban chargers (i.e., more charge per unit plug-in time). While the median urban energy consumption was only 17%, charging took almost twice as long at urban chargers than at rural chargers. Hence, rural stations are primarily occupied for charging and not for parking. Better etiquette leads to a higher service potential at rural chargers (e.g., serving more users per day). Understanding the reasons for these differences in charging efficiency and etiquette can be the subject of a future study. Our study yielded different results than a previous study by Björnsson and Karlsson [6], who stated that shorter durations are relative to an enlarged infrastructure. The opposite is true for charging in Rhode Island, where public charging with shorter durations was related to charging in rural areas with significantly fewer public chargers. So far, in Rhode Island, rural stations are mainly used on weekends. In contrast, urban charging stations are mainly used on weekdays, showing that policymakers should not focus only on urban areas when making infrastructural decisions to improve service. Furthermore, Baumgarte et al. [51] have shown that the station’s surroundings (e.g., population, nearby charging network density, functional area) impact the station’s profitability. Our results showed further that ruralists generally charged farther away from their homes. Since this was the case at both urban and rural chargers, there is an indication that EVSE infrastructure in rural areas is still sparse. However, policymakers should reduce distances to EV chargers to ease EV adoption and ownership. As pointed out in Jang and Choi [18] and in Sierzchula [19], especially for residents who do not have the option to install a home charger, public charging in proximity to their homes is vital for EV adoption.
Concerning the second research question, the results of this study found differences in behavioral patterns between urban and rural users. Although Chakraborty et al. [52] showed that urbanites have more minor travel activities, in this study, urban users tended to charge for significantly longer and draw significantly more energy than rural users. Nevertheless, they charged significantly closer to their homes than ruralists. However, differences in the counts of charges over time and day could not be found. In other words, the proportion of charge starts and ends seemed to be distributed somewhat similarly. There was no evidence that urban and rural users charged different amounts and for different durations on other days. However, a more detailed breakdown of the data was obtained by forming four charging utilization groups that identified temporal differences.
The density of session counts over the day of the week revealed that sessions conducted by group R:U, including charging data from urban users at rural stations, differed significantly from all other groups. More than half of the charges in this group happened on weekends, indicating the importance of rural charging opportunities for urbanites. Therefore, rural charging stations support rural users and urbanites who venture outside the city on the weekends. It was found by Will and Schuller [50] that leisure was the secondary EV use for study participants, which could explain the high utilization of rural stations on weekends. This supports the previous assertion that rural stations in the state are primarily used for recreational purposes, as they are located at or around state parks. Future research could consider the functional area of the charging stations to explore whether the high demand on weekends is rooted in the stations’ proximity to recreational areas. However, these findings negate the concept that charging station allocation should only focus on densely populated areas. Only a ubiquitous charging infrastructure can serve users on all occasions. These novel results can aid urban designers, infrastructure planners, and various government officials in meeting the requirements of users better, consequently increasing EV adoption and reducing inequity across communities.
Interestingly, session counts of rural users at rural stations (group R:R) declined between Friday and Sunday. Indeed, the highest percentage of sessions within group R:R were found on Friday, which could indicate users charging up their vehicles before weekends, when they compete with urbanites for charging spots. Since urbanites use rural chargers mostly on weekends, there is a higher demand on these days. Charging during the week offers ruralists the opportunity to avoid peak times while increasing their chances of finding a free charger. Whether differences in behavioral patterns for user groups at rural stations are indeed caused by the increased competition for charging stations on weekends between urbanites and rural users could be investigated in future studies. However, offering sufficient charging opportunities in both urban and rural areas and thereby satisfying the needs of all user groups is essential.
Urban users at urban stations (group U:U) were found to charge for longer and more frequently. This group contained the largest user group of public charging stations in Rhode Island. Furthermore, this utilization group significantly differed from groups U:R and R:R in all considered variables. However, there is no evidence that urbanites charged different energy amounts at urban stations than at rural stations. Under consideration of previous findings in Tal [11] and Bailey et al. [12] and given the higher deployment of public charging in urban areas, the high utilization of urban stations by urban users could be caused by higher EVSE availability and EV adoption in urban areas. This, in return, has been shown to increase urban station awareness [12] and utilization, forming a reinforcing loop. Tal [11] has demonstrated that increasing public charging availability can cause a shift from home charging to public charging. In other words, Rhode Island urban residents might use the public charging station network simply because it is distributed more densely in proximity to their homes. More considerable distances between charging stations and the homes of rural users support this theory. However, targeting urbanites would lead to inequality over time and increase the urban–rural divide in EVSE and EV adoption. For example, residents of multi-dwelling units often do not have the option to plug in their vehicles at home. Thus, close public charging opportunities are vital for them to use EVs. Hence, deploying public charging stations in rural areas can increase the utilization of local chargers and work as an incentive for EV adoption. Higher energy consumption through more mature EV adoption across all areas will lead to a need for upgrades in electric grid capacity to support increasing demand. By targeting investments to these areas, stakeholders can accelerate the equitable adoption of EVs while ensuring grid resilience. Grid upgrades should be targeted and complemented with smart charging strategies to avoid additional costs for rate payers and EV drivers.
Rural users at rural stations were most consistent in behavioral charging patterns, presumably caused by rural stations being used less frequently. In other words, rural stations are more likely available when users intend to charge. Higher station availability allows users to consider charging in their driving routines. However, rural stations were used significantly more by urbanites. As Fleming [32] pointed out, a higher EV adoption in urban communities might explain the high percentage of urban users in general. With increasing EV adoption across communities, including rural areas, an increase in the utilization of rural stations can be expected in the future. Therefore, an expansion of the rural EVSE infrastructure should be addressed in future infrastructural planning. The charging data of current users reflect the urban–rural divide in EV adoption and EVSE deployment in Rhode Island. For ruralists, charging opportunities in relative proximity could be more extensive. Nevertheless, rural stations are attracting more than just rural users. Instead, these stations are used mainly by urbanites, showing their importance for both user groups. These findings not only highlight the rural–urban divide in Rhode Island but also suggest that similar charging behavior patterns are likely to be observed in other regions. As infrastructure and EV adoption rates continue to grow across the country, regions with similar urban–rural dynamics may experience similar or exaggerated disparities in charging station utilization. This underscores the need for targeted infrastructure planning to ensure equitable access to EV charging opportunities.
Our findings offer policymakers, decision-makers, and service providers the opportunity to tailor future charging station infrastructure planning efforts in a user-centered manner to reduce inequity across communities.
5. Conclusions
This study contributed to the understanding of EV-charging user behavior by exploring charging behavioral patterns in the context of urbanicity. Data from over 40,000 charging sessions conducted at Rhode Island Level 2 public charging stations were analyzed for charging behavior while differentiating levels of urbanicity. While previous studies have shown inequity in EV access across communities, this study was the first effort to understand urbanicity’s impact on user behavior in the U.S. The findings of this paper support evidence that users behave differently at urban stations compared to rural stations in terms of the energy demand, the charging duration, the plug-in time, and the average number of charges per day. Furthermore, the findings demonstrate that decision-makers should consider differences in charging behavior between area and user groups in future infrastructure-planning efforts in order to serve all communities and EV users in the most user-oriented and equitable way.
A primary limitation of this study is the inclusion of charging data from users and stations in areas defined as urban clusters. At the time of this study, in Rhode Island, chargers are not located in urban clusters; therefore, this area could not be analyzed and compared to other levels of urbanicity. As this space of urban clusters resides in between rural and urban communities, additional analysis could provide valuable insight into the transition between these two clusters. Additionally, data from DC fast chargers were also unavailable, which are becoming a vital part of the EVSE infrastructure, especially as installation of these types of stations is significantly increasing. We recommend that future studies build upon this work by including data from urban clusters and DC fast chargers. Also, a user’s zip code served as a proxy of the user’s origin. Therefore, it is assumed that zip code information accurately represents a user’s level of urbanicity. Finally, the data utilized in this study did not include vehicle driving data, which could provide beneficial information. Additional investigations could expand in various directions, including but not limited to areas beyond the state of Rhode Island with regional or multi-state comparisons, or provide extensions with vehicle-specific data about battery capacity, traffic pattern and road accidents, and functional areas, while understanding their potential implications for EV-related policies.
This paper supports policymakers in improving the deployment and utilization of public EVSE to reduce the urban–rural divide in access to EVs. Simultaneously, service providers can use the results by implementing measures that distribute the utilization of chargers between current peak times and off-peak times for grid stabilization and service. Finally, a user-centered and sophisticated EVSE infrastructure contributes to the facilitation of EV ownership and achieving the Zero-Emission Vehicle Program goals. This paper establishes a foundation for future work in understanding the difference in user charging behavior across the U.S. historical rural-urban divide. Policymakers and other stakeholders in building a user-centered and high-utilization EVSE infrastructure could benefit from using U.S. federal funds to mitigate current inequity, elitism, and adoption barriers related to electric mobility.
Author Contributions
Conceptualization, T.J. and G.A.M.; methodology, T.J. and G.A.M.; software, T.J.; validation, T.J. and G.A.M.; formal analysis, T.J.; data curation, T.J.; writing—original draft preparation, T.J. and G.A.M.; writing—review and editing, T.J., O.O. and G.A.M.; visualization, T.J.; supervision, G.A.M. All authors have read and agreed to the published version of the manuscript.
Funding
This research received no external funding.
Data Availability Statement
The datasets presented in this article are not readily available because of legal and privacy restrictions. Requests to access the datasets should be directed to the Rhode Island Office of Energy Resources.
Acknowledgments
The authors would like to thank the Rhode Island Office of Energy Resources for their continued support and collaboration throughout this project and the Sustainable Innovative Solutions (SIS) Lab Electric Vehicle User Charging Behavior Research Group.
Conflicts of Interest
The authors declare no conflicts of interest.
Appendix A
Figure A1.
Density plots of charging sessions over (A) start time and (B) end time slots in one-hour intervals for urban and rural users.
Figure A1.
Density plots of charging sessions over (A) start time and (B) end time slots in one-hour intervals for urban and rural users.

Figure A2.
Density plot of charging sessions over the day of the week for urban and rural users.
Figure A2.
Density plot of charging sessions over the day of the week for urban and rural users.

Figure A3.
Violin plots of (A) energy draw and (B) charging duration over the day of the week for urban and rural users.
Figure A3.
Violin plots of (A) energy draw and (B) charging duration over the day of the week for urban and rural users.

References
- IEA. Global EV Data Explorer. 2024. Available online: https://www.iea.org/articles/global-ev-data-explorer (accessed on 25 December 2024).
- US Environmental Protection Agency. US Inventory of Greenhouse Gas Emissions and Sink. 2024. Available online: https://www.epa.gov/system/files/documents/2024-04/us-ghg-inventory-2024-main-text_04-18-2024.pdf (accessed on 25 December 2024).
- IEA. CO2 Emissions from Fuel Combustion. 2021. Available online: https://www.iea.org/articles/global-energy-review-co2-emissions-in-2020 (accessed on 25 December 2024).
- Rhode Island Office of Energy Resources. Zero Emission Vehicle Action Plan. 2016. Available online: https://energy.ri.gov/sites/g/files/xkgbur741/files/documents/Transportation/Rhode-Island-ZEV-Action-Plan-Final-2016.pdf (accessed on 25 December 2024).
- Axsen, J.; Langman, B.; Goldberg, S. Confusion of innovations: Mainstream consumer perceptions and misperceptions of electric-drive vehicles and charging programs in Canada. Energy Res. Soc. Sci. 2017, 27, 163–173. [Google Scholar] [CrossRef]
- Björnsson, L.-H.; Karlsson, S. Plug-in hybrid electric vehicles: How individual movement patterns affect battery requirements, the potential to replace conventional fuels, and economic viability. Appl. Energy 2015, 143, 336–347. [Google Scholar] [CrossRef]
- Plötz, P.; Funke, S. Mileage electrification potential of different electric vehicles in Germany. In Proceedings of the European Battery, Hybrid and Fuel Cell Electric Vehicle Congress, Geneva, Switzerland, 14–16 March 2017; Available online: https://www.scipedia.com/public/Plotz_Funke_2017a (accessed on 29 October 2024).
- Vuichard, P. Electrifying the company car: Identifying hard and soft barriers among fleet managers in Switzerland. Energy Res. Soc. Sci. 2021, 77, 102098. [Google Scholar] [CrossRef]
- Egbue, O.; Long, S. Barriers to widespread adoption of electric vehicles: An analysis of consumer attitudes and perceptions. Energy Policy 2012, 48, 717–729. [Google Scholar] [CrossRef]
- Tal, G.; Nicholas, M.A.; Davies, J.; Woodjack, J. Charging Behavior Impacts on Electric Vehicle Miles Traveled: Who is Not Plugged In? Transp. Res. Rec. 2014, 2454, 53–60. [Google Scholar] [CrossRef]
- Tal, G. Plug-In Electric Vehicle Multi-State Market and Charging Survey; EPRI: Palo Alto, CA, USA, 2016; 3002007495. [Google Scholar]
- Bailey, J.; Miele, A.; Axsen, J. Is awareness of public charging associated with consumer interest in plug-in electric vehicles? Transp. Res. Part D Transp. Environ. 2015, 36, 1–9. [Google Scholar] [CrossRef]
- Illmann, U.; Kluge, J. Public charging infrastructure and the market diffusion of electric vehicles. Transp. Res. Part D Transp. Environ. 2020, 86, 102413. [Google Scholar] [CrossRef]
- Ou, S.; Lin, Z.; He, X.; Przesmitzki, S.; Bouchard, J. Modeling charging infrastructure impact on the electric vehicle market in China. Transp. Res. Part D Transp. Environ. 2020, 81, 102248. [Google Scholar] [CrossRef]
- Neubauer, J.; Wood, E. The impact of range anxiety and home, workplace, and public charging infrastructure on simulated battery electric vehicle lifetime utility. J. Power Sources 2014, 257, 12–20. [Google Scholar] [CrossRef]
- Neves, S.A.; Marques, A.C.; Fuinhas, J.A. Technological progress and other factors behind the adoption of electric vehicles: Empirical evidence for EU countries. Transp. Econ. 2019, 74, 28–39. [Google Scholar] [CrossRef]
- Nicholas, M.A.; Tal, G. Charging for Charging at Work: Increasing the Availability of Charging Through Pricing; Institute of Transportation Studies, University of California: Davis, CA, USA, 2013. [Google Scholar]
- Jang, S.; Choi, J.Y. Which consumer attributes will act crucial roles for the fast market adoption of electric vehicles?: Estimation on the asymmetrical & heterogeneous consumer preferences on the EVs. Energy Policy 2021, 156, 112469. [Google Scholar] [CrossRef]
- Sierzchula, W.; Bakker, S.; Maat, K.; van Wee, B. The influence of financial incentives and other socio-economic factors on electric vehicle adoption. Energy Policy 2014, 68, 183–194. [Google Scholar] [CrossRef]
- NREL. The 2030 National Charging Network: Estimating U.S. Light-Duty Demand for Electric Vehicle Charging Infrastructure. 2023. Available online: https://www.nrel.gov/docs/fy23osti/85654.pdf (accessed on 25 December 2024).
- Build.gov. A Guidebook to the Bipartisan Infrastructure Law for State, Local, Tribal, and Territorial Governments, and Other Partners. 2022. Available online: https://www.whitehouse.gov/wp-content/uploads/2022/05/BUILDING-A-BETTER-AMERICA-V2.pdf#page=138 (accessed on 25 December 2024).
- U.S. Department of Transportation. The Bipartisan Infrastructure Law Will Deliver for Rhode Island. 2022. Available online: https://www.transportation.gov/briefing-room/bipartisan-infrastructure-law-will-deliver-rhode-island (accessed on 25 December 2024).
- The White House. FACT SHEET: President Biden Takes Action to Protect American Workers and Businesses from China’s Unfair Trade Practices. Available online: www.whitehouse.gov/briefing-room/statements-releases/2024/05/14/fact-sheet-president-biden-takes-action-to-protect-american-workers-and-businesses-from-chinas-unfair-trade-practices/ (accessed on 14 May 2024).
- Sovacool, B.K.; Kester, J.; Noel, L.; de Rubens, G.Z. Energy Injustice and Nordic Electric Mobility: Inequality, Elitism, and Externalities in the Electrification of Vehicle-to-Grid (V2G) Transport. Ecol. Econ. 2019, 157, 205–217. [Google Scholar] [CrossRef]
- Funke, S.Á.; Sprei, F.; Gnann, T.; Plötz, P. How much charging infrastructure do electric vehicles need? A review of the evidence and international comparison. Transp. Res. Part D Transp. Environ. 2019, 77, 224–242. [Google Scholar] [CrossRef]
- Hindman, D.B. The Rural-Urban Digital Divide. J. Mass Commun. 2000, 77, 549–560. [Google Scholar] [CrossRef]
- Thompson, W.R. Internal and External Factors in the Development of Urban Economies. Issues in Urban Economics; Johns Hopkins Press: Baltimore, MD, USA, 1968; pp. 43–62. Available online: https://ci.nii.ac.jp/naid/10003549602/en/ (accessed on 25 December 2024).
- Boschma, R.A.; Weltevreden, J.W.J. An Evolutionary Perspective on Internet Adoption by Retailers in the Netherlands. Environ. Plan. A 2006, 40, 2222–2237. [Google Scholar] [CrossRef]
- Pred, A.R. Behavior and Location: Foundations for a Geographic and Dynamic Location Theory: Part I; The Royal University of Lund: Lund, Sweden, 1967. [Google Scholar]
- Jansson, J.; Pettersson, T.; Mannberg, A.; Brännlund, R.; Lindgren, U. Adoption of alternative fuel vehicles: Influence from neighbors, family and coworkers. Transp. Res. Part D Transp. Environ. 2017, 54, 61–73. [Google Scholar] [CrossRef]
- Westin, K.; Jansson, J.; Nordlund, A. The importance of socio-demographic characteristics, geographic setting, and attitudes for adoption of electric vehicles in Sweden. Travel Behavior and Society 2018, 13, 118–127. [Google Scholar] [CrossRef]
- Fleming, K.L. Social Equity Considerations in the New Age of Transportation: Electric, Automated, and Shared Mobility. J. Sci. Policy Gov. 2018, 13, 20. [Google Scholar]
- Kester, J.; Sovacool, B.K.; de Rubens, G.Z.; Noel, L. Novel or normal? Electric vehicles and the dialectic transition of Nordic automobility. Energy Res. Soc. Sci. 2020, 69, 101642. [Google Scholar] [CrossRef]
- Lee, J.H.; Chakraborty, D.; Hardman, S.J.; Tal, G. Exploring electric vehicle charging patterns: Mixed usage of charging infrastructure. Transp. Res. Part D Transp. Environ. 2020, 79, 102249. [Google Scholar] [CrossRef]
- Hardman, S.; Jenn, A.; Tal, G.; Axsen, J.; Beard, G.; Daina, N.; Figenbaum, E.; Jakobsson, N.; Jochem, P.; Kinnear, N.; et al. A review of consumer preferences of and interactions with electric vehicle charging infrastructure. Transp. Res. Part D Transp. Environ. 2018, 62, 508–523. [Google Scholar] [CrossRef]
- Kurani, K.S.; Axsen, J.; Caperello, N.; Davies, J.; Dempster, P.; Kempster, M.; Nesbitt, K.; Stillwater, T. Plug-In Hybrid Electric Vehicle (PHEV) Demonstration and Consumer Education, Outreach, and Market Research Program: Volumes I and II; Institute of Transportation Studies, University of California: Davis, CA, USA, 2010; Research Report UCD-ITS-RR-10-21. [Google Scholar]
- Franke, T.; Krems, J.F. Interacting with limited mobility resources: Psychological range levels in electric vehicle use. Transp. Res. Part A Policy Pract. 2013, 48, 109–122. [Google Scholar] [CrossRef]
- Smart, J.; Schey, S. Battery Electric Vehicle Driving and Charging Behavior Observed Early in The EV Project. SAE International J. Altern. Powertrains 2012, 1, 27–33. [Google Scholar] [CrossRef]
- Morrissey, P.; Weldon, P.; O’Mahony, M. Future standard and fast charging infrastructure planning: An analysis of electric vehicle charging behaviour. Energy Policy 2016, 89, 257–270. [Google Scholar] [CrossRef]
- Quirós-Tortós, J.; Ochoa, L.F.; Lees, B. A statistical analysis of EV charging behavior in the UK. In Proceedings of the 2015 IEEE PES Innovative Smart Grid Technologies Latin America (ISGT LATAM), Montevideo, Uruguay, 5–7 October 2015; pp. 445–449. [Google Scholar] [CrossRef]
- Desai, R.; Chen, R.; Armington, W. A Pattern Analysis of Daily Electric Vehicle Charging Profiles: Operational Efficiency and Environmental Impacts. J. Adv. Transp. 2018, 1, 6930932. [Google Scholar] [CrossRef]
- Jonas, T.; Macht, G. Analyzing the urban-rural divide: Understanding geographic variations in charging behavior for a user-centered EVSE infrastructure. J. Transp. Geogr. 2024, 116, 103859. [Google Scholar] [CrossRef]
- Jonas, T.; Daniels, N.; Macht, G. Electric Vehicle User Behavior: An Analysis of Charging Station Utilization in Canada. Energies 2023, 16, 1592. [Google Scholar] [CrossRef]
- Caperello, N.; Kurani, K.S.; TyreeHageman, J. Do You Mind if I Plug-in My Car? How etiquette shapes PEV drivers’ vehicle charging behavior. Transp. Res. Part A Policy Pract. 2013, 54, 155–163. [Google Scholar] [CrossRef]
- Ocean State Clean Cities. Rhode Island EV Initiative Adds Chargers Across the State (Text Version); U.S. Department of Energy Alternative Fuels Data Center: Washington, DC, USA, 2015. Available online: https://afdc.energy.gov/case/1863?text (accessed on 25 December 2024).
- McKinney, W. Data Structures for Statistical Computing in Python; SciPy: Austin, TX, USA, 2010; pp. 56–61. [Google Scholar] [CrossRef]
- Harris, C.R.; Millman, K.J.; van der Walt, S.J.; Gommers, R.; Virtanen, P.; Cournapeau, D.; Wieser, E.; Taylor, J.; Berg, S.; Smith, N.J.; et al. Array programming with NumPy. Nature 2020, 585, 357–362. [Google Scholar] [CrossRef] [PubMed]
- United States Census Bureau. 2010 Census Urban and Rural Classification and Urban Area Criteria. 2019. Available online: https://www.census.gov/programs-surveys/geography/guidance/geo-areas/urban-rural/2010-urban-rural.html (accessed on 28 April 2021).
- US Census Bureau. Nation’s Urban and Rural Populations Shift Following 2020 Census. Census.gov. 2022. Available online: www.census.gov/newsroom/press-releases/2022/urban-rural-populations.html (accessed on 25 December 2024).
- Will, C.; Schuller, A. Understanding user acceptance factors of electric vehicle smart charging. Transp. Res. Part C Emerg. Technol. 2016, 71, 198–214. [Google Scholar] [CrossRef]
- Baumgarte, F.; Kaiser, M.; Keller, R. Policy support measures for widespread expansion of fast-charging infrastructure for electric vehicles. Energy Policy 2021, 156, 112372. [Google Scholar] [CrossRef]
- Chakraborty, D.; Hardman, S.; Tal, G. Integrating plug-in electric vehicles (PEVs) into household fleets-factors influencing miles traveled by PEV owners in California. Travel Behav. Soc. 2022, 26, 67–83. [Google Scholar] [CrossRef]
Disclaimer/Publisher’s Note: The statements, opinions and data contained in all publications are solely those of the individual author(s) and contributor(s) and not of MDPI and/or the editor(s). MDPI and/or the editor(s) disclaim responsibility for any injury to people or property resulting from any ideas, methods, instructions or products referred to in the content. |
© 2025 by the authors. Published by MDPI on behalf of the World Electric Vehicle Association. Licensee MDPI, Basel, Switzerland. This article is an open access article distributed under the terms and conditions of the Creative Commons Attribution (CC BY) license (https://creativecommons.org/licenses/by/4.0/).








