Abstract
This study aimed to determine the relative efficacy of bevacizumab gamma (an ophthalmic formulation of bevacizumab) versus alternative interventions relevant to the treatment of neovascular age-related macular degeneration (nAMD) in the United Kingdom (UK) via a systematic literature review (SLR) and network meta-analysis (NMA). An SLR was conducted to identify randomized controlled trials (RCTs) of anti-vascular endothelial growth factor (anti-VEGF) therapies for the treatment of nAMD in adult patients relevant to the UK context. The included anti-VEGF treatments were ranibizumab, aflibercept, faricimab, and bevacizumab gamma. Bayesian NMA models were used to estimate relative efficacy in terms of change from baseline (CFB) in best-corrected visual acuity (BCVA) at 12 months, the proportion of patients gaining 15 or more letters at 12 months, and the proportion of patients losing less than 15 letters at 12 months. Twenty-two relevant RCTs were included in the NMA. At 12 months, all anti-VEGF treatments were similarly efficacious to ranibizumab 0.5 mg every four weeks (Q4W) in terms of CFB in BCVA, the proportion of patients gaining 15 or more letters, and the proportion of patients losing less than 15 letters (except for ranibizumab 0.5 mg every 12 weeks [Q12W] and ranibizumab 0.5 mg pro re nata [PRN]). Bevacizumab gamma provided similar improvements in visual acuity to other anti-VEGF treatments.
1. Introduction
Age-related macular degeneration (AMD) is a leading cause of visual impairment in the UK [1,2]. However, there is a paucity of recent epidemiologic data for late-stage AMD—according to a meta-analysis of 2007–2009 population data, the prevalence of late-stage AMD among individuals aged 50 and older was approximately 2.4% of the population, emphasizing its considerable public health burden [3]. Among the two forms of late-stage AMD, the neovascular subtype (nAMD) is particularly aggressive, characterized by abnormal blood vessel growth under the retina and often leading to rapid central vision loss. The emergence of anti-vascular endothelial growth factor (anti-VEGF) therapies has significantly advanced the management of nAMD, providing new opportunities in halting disease progression. Although currently available anti-VEGF treatments are generally regarded as having comparable efficacy, variations in treatment regimens may influence clinical outcomes [4,5,6]. Notably, studies have suggested that treat-and-extend (TREX) regimens have been associated with better visual acuity improvements compared to fixed monthly or pro re nata (PRN) dosing, particularly for ranibizumab [7]. In an effort to optimize treatment accessibility, repackaged bevacizumab has been used off-label to treat nAMD; however, handling and distribution processes may contribute to variable efficacy, complicating its use in clinical practice [7]. These challenges highlight the importance of evaluating ophthalmic formulations as a potential alternative. Bevacizumab gamma (Lytenava™) is an ophthalmic formulation of bevacizumab, that, in the pivotal Phase 3 NORSE TWO trial, demonstrated favorable efficacy, with 41.7% of patients gaining 15 or more letters of vision at month 11, and a mean increase in best-corrected visual acuity (BCVA) of 11.2 letters with a standard deviation (SD) of 12.19 [8]. While off-label bevacizumab has been compared to other anti-VEGF regimens, no indirect treatment comparison has been undertaken to compare bevacizumab gamma to other anti-VEGF regimens [5,6]. The objective of this study was to conduct a systematic literature review (SLR) and network meta-analysis (NMA) comparing bevacizumab gamma to other anti-VEGF agents relevant to managing nAMD among patients in the United Kingdom (UK), with particular attention to variations in dosing strategies.
2. Materials and Methods
2.1. Materials and Methods: Systematic Literature Review
The SLR was conducted in accordance with guidance from the Preferred Reporting Items for Systematic Reviews and Meta-Analyses (PRISMA) statement and health technology assessment agencies, such as the UK National Institute for Health and Care Excellence (NICE), and followed a pre-specified SLR protocol. Database searches were conducted in Embase, MEDLINE, and CENTRAL via Ovid on 25 October 2022 and updated on 30 January 2024. The search used medical subject headings (MeSH) terms, validated study design filters, and free-text terms specific to the population, interventions, and study designs of interest (Search strategy in Tables S1 and S2). Population, intervention, comparison, outcome measures, and study design (PICOS) criteria were used for study selection (Table 1). The PICOS criteria specified the inclusion of RCTs enrolling adult (age ≥ 18 years) patients with nAMD. The following interventions were included in the search strategy: bevacizumab, faricimab, aflibercept, conbercept, ranibizumab, brolucizumab, and pegaptanib.
Table 1.
PICOS.
Title/abstract and full-text screening were conducted by two independent reviewers; a third reviewer resolved any discrepancies. Data extraction and risk of bias (RoB) assessment using the RoB 1 tool [9] was conducted by one reviewer, and full validation was performed by a second reviewer. For the change from baseline (CFB) in BCVA, for study arms with missing information on variability, SD was imputed by calculating the mean SD from study arms with reported measures of variability. To focus the NMA on approved interventions and regimens relevant to current clinical practice in the UK health system, studies evaluating bevacizumab gamma, faricimab, aflibercept, and ranibizumab were selected for inclusion in the analysis.
2.2. Materials and Methods: Network Meta-Analysis
In the absence of data from head-to-head clinical trials, NMA is a viable method to estimate the relative efficacy of interventions that have not been directly compared to each other [10,11,12].
A Bayesian NMA was conducted; ranibizumab 0.5 mg every four weeks (Q4W) was used as the common comparator/reference node. Dichotomous variables were synthesized using a standard model with a binomial likelihood and logit function; for continuous outcomes, mean CFB was analyzed using an identity link and normal likelihood. For all models, non-informative normal priors N (0, 1002) were used for treatment effects and study-specific intercepts. Both fixed-effects and random-effects models were fitted; models were compared using the deviance information criterion (DIC) and the total residual deviance. Random-effects model results are presented in this manuscript. Sensitivity analyses were conducted for each analysis, excluding studies with 100% Asian patient populations (DRAGON, Haga 2018) from the network to assess the impact of these studies on the overall results [13,14]. Surface area under the cumulative ranking curve (SUCRA) values were calculated for each treatment in each analysis conducted.
All analyses were performed using R version 4.4.0. Model parameters were estimated using a Hamiltonian Markov Chain Monte Carlo algorithm implemented in the multinma package [15]. The results comprise 50,000 samples from the posterior distribution of each model, after 50,000 “burn-in” iterations.
3. Results
3.1. Results: Systematic Literature Review
After removing duplicates, 4244 unique citations were screened at the title/abstract level, with 3531 excluded at this stage. The full-text publications of the remaining 713 abstracts were retrieved and screened at the full-text level. Ultimately, 206 publications pertaining to 113 trials met the inclusion criteria and were included in the SLR. Of these studies, 22 were identified as relevant to the treatment of nAMD in the UK and were subsequently included in the feasibility assessment for an NMA (Table 2). The PRISMA diagram representing the flow of study selection is presented in Figure 1. Results of RoB assessment are presented in Figure S1.
Table 2.
Studies included in network meta-analysis.
Figure 1.
PRISMA diagram. Key: CSR—clinical study report; SLR—systematic literature review.
To assess heterogeneity across the evidence base, the 22 included studies were compared in terms of reported baseline patient characteristics, reported outcomes, and study characteristics. Age is a recognized prognostic factor for macular degeneration; however, the included studies exhibited reasonably similar patient mean ages, spanning from 66.6 years to 79 years. Body mass index (BMI) is considered a modifiable risk factor for nAMD [34]; however, its assessment for the included patient populations was hindered by insufficient reporting across studies. The proportion of white patients included varied between 68.8% to 97.8%. Caucasians typically face an increased risk of developing nAMD, and some studies suggest that ranibizumab may be less effective in non-white patients compared to white patients [35,36]. Additionally, the types of choroidal neovascularization (CNV) (occult, predominantly classic, and minimally classic) differed among patient populations across the trials, and CNV has been documented to impact visual and anatomical outcomes in eyes with nAMD following anti-VEGF treatment [37]. Reporting, however, was inconsistent: some studies aggregated categories, whilst others distinguished subtypes and, in some cases, added classic as an additional category. Such variability limited the assessment of lesion subtype as an effect modifier. All but one (Mori 2017) of the 22 included studies reported the proportion of patients gaining at least 15 letters between 11 and 12 months [25]. All studies except CANTREAT and Chan 2015 reported CFB in BCVA at a time point between 11 and 12 months [18,20].
3.2. Results: Network Meta-Analysis
The 22 included studies form a connected network of evidence, shown in Figure 2.
Figure 2.
Network of evidence. Key: AFL—aflibercept; BEV—bevacizumab; FAR—faricimab; PRN—pro re nata; RAN—ranibizumab; TREX—treat and extend. * Studies in 100% Asian patients are indicated with an asterisk. Full list of studies included in Figure 2: ARIES [16]; ARTIS [17]; CANTREAT [18]; CATT [19]; Chan 2015 [20]; DRAGON [14]; HARBOR [21]; Haga 2018 [13]; In-Eye [22]; LUCERNE [23]; MARINA [24]; Mori 2017 [25]; NORSE TWO [26]; PIER [27]; RABIMO [28]; RIVAL [29]; STAIRWAY [30]; TENAYA [23]; TREND [31]; TREX-AMD [32]; VIEW 1 [33]; VIEW 2 [33].
Models were evaluated using the DIC to facilitate comparison, while their goodness-of-fit was assessed through an analysis of residual deviance. Since the DIC values did not differ meaningfully between fixed-effects and random-effects models in any analysis, results using the random effects model are presented throughout.
3.2.1. BCVA at 12 Months
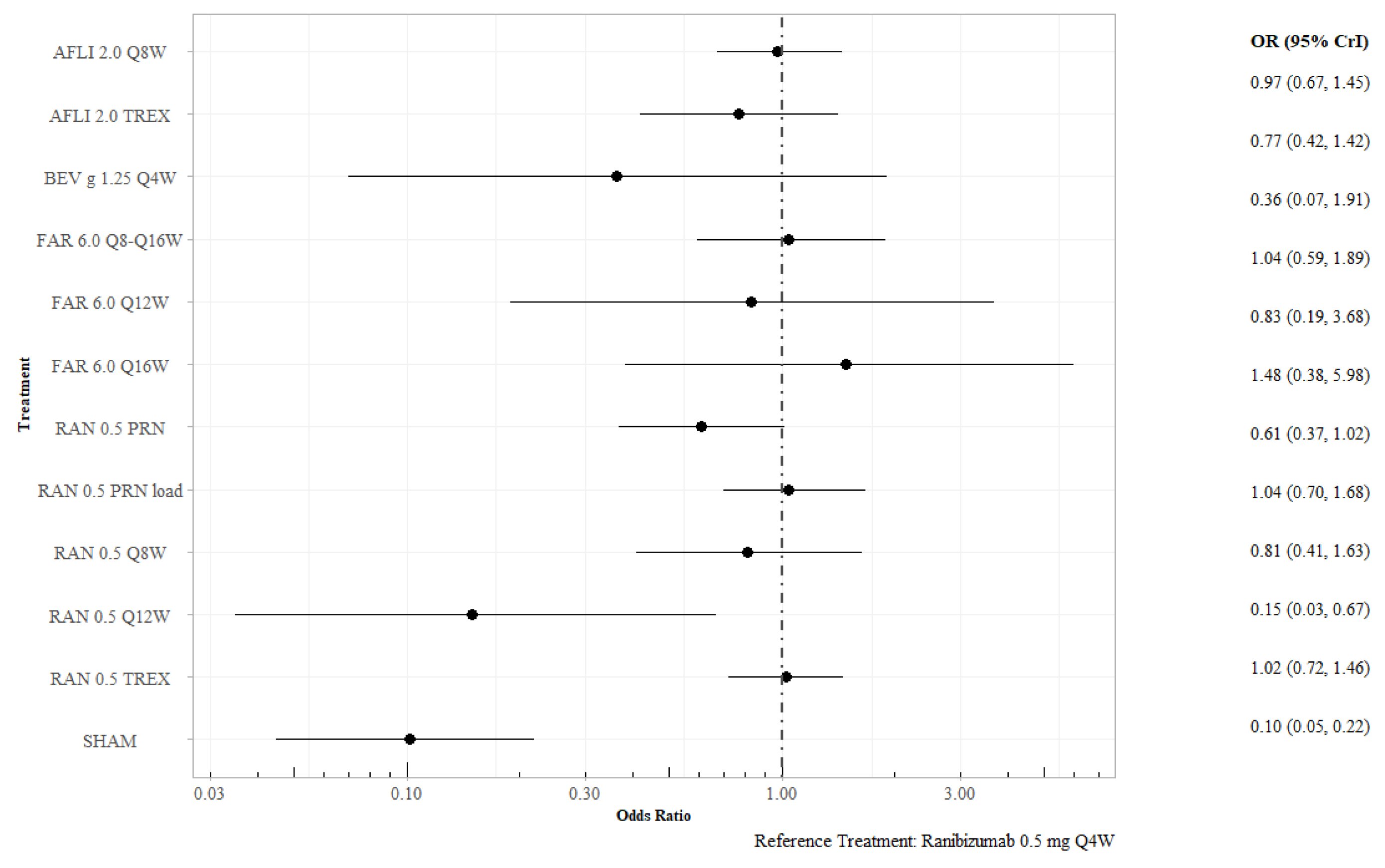
Trial-level estimates of mean change in BCVA at 12 months were synthesized (Table S3). Under the random-effects model, no active interventions differed statistically from ranibizumab 0.5 mg QW4 for CFB in BCVA at 12 months. Sham treatment was associated with a statistically smaller mean difference in BCVA at 12 months than ranibizumab 0.5 mg QW4 (MD −17.21; 95% credible interval [CrI] −20.33, −13.86) (Figure 3). Ranibizumab 0.5 mg every 12 weeks (Q12W) was less efficacious than ranibizumab 0.5 mg Q4W for this outcome (MD −5.23; 95% CrI −9.47, −0.91); no other statistical differences between treatments were found (Table S4—league table). The surface under the cumulative ranking curve (SUCRA) for bevacizumab gamma 1.25 mg Q4W was 0.863, the highest among all included treatments (Table S8); this indicates a strong probability of being the best or among the best treatment options available for this outcome. In the sensitivity analyses, excluding studies with 100% Asian populations yielded results consistent with the base case (Table S7).
Figure 3.
BCVA at 12 months, all interventions versus ranibizumab 0.5 mg Q4W. Key: AFL—aflibercept; BEV—bevacizumab; FAR—faricimab; PRN—pro re nata; RAN—ranibizumab; TREX—treat and extend.
3.2.2. Proportion of Patients Gaining at Least 15 Letters at 12 Months
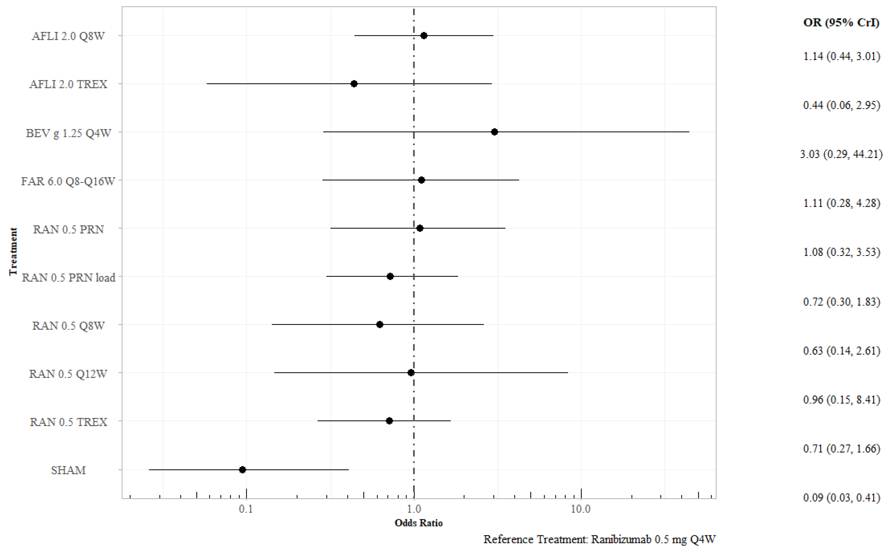
Twenty-one included trials reported the proportion of patients gaining at least 15 BCVA letters at 12 months. Ranibizumab 0.5 mg Q12W (odds ratio [OR] 0.15; 95% CrI 0.04–0.64), ranibizumab 0.5 mg PRN (OR 0.59; 95% CrI 0.35–0.95), and sham treatment (OR 0.10; 95% CrI 0.05–0.22) were statistically less efficacious than ranibizumab 0.5 mg Q4W (Figure 4). Ranibizumab 0.5 mg Q12W was the least efficacious of the active interventions and was statistically associated with lower odds of gaining at least 15 letters compared to aflibercept 2.0 mg every eight weeks (Q8W), aflibercept 2.0 mg Q8W treat-and-extend (TREX), faricimab 6.0 mg every 16 weeks (Q16W), bevacizumab gamma 1.25 mg QW4, and ranibizumab 0.5 mg PRN with a loading dose (Table S5). Sensitivity analysis for this outcome showed that excluding studies with 100% Asian populations did not alter the conclusions (Table S7).
Figure 4.
Proportion of patients gaining 15 or more letters at 12 months, all interventions versus ranibizumab 0.5 mg Q4W. Key: AFL—aflibercept; BEV—bevacizumab; FAR—faricimab; PRN—pro re nata; RAN—ranibizumab; TREX—treat and extend.
3.2.3. Proportion of Patients Losing Fewer than 15 Letters at 12 Months
At 12 months, sham was associated with significantly lower odds of losing fewer than 15 letters than ranibizumab 0.5 mg Q4W (OR 0.09; 95% CrI 0.03–0.41), with no other differences observed between ranibizumab 0.5 mg Q4W and the other active interventions (Figure 5). Excluding studies with 100% Asian patient populations did not alter these conclusions (Table S7). The SUCRA for bevacizumab gamma 1.25 mg QW4 was 0.879.
Figure 5.
Proportion of patients losing fewer than 15 letters at 12 months, all interventions versus ranibizumab 0.5 mg Q4W. Key: AFL—aflibercept; BEV—bevacizumab; FAR—faricimab; PRN—pro re nata; RAN—ranibizumab; TREX—treat and extend.
4. Discussion
The objective of this study was to evaluate the relative efficacy of anti-VEGF regimens used for the treatment of patients with nAMD in UK real-world clinical practice. Relevant data were obtained from an SLR of clinical evidence, which identified 22 unique RCTs that met the eligibility criteria. After conducting a feasibility assessment, these trials were synthesized using a Bayesian NMA to estimate the relative treatment effect of included interventions in terms of CFB in BCVA at 12 months, and the proportion of patients gaining at least 15 letters at 12 months. For the NORSE TWO trial (evaluating bevacizumab gamma), 11-month data were compared to 12-month data from other studies in the majority of cases, due to the study design of NORSE TWO. Definitions and measurements were standardized across trials, enabling robust comparisons.
The patient populations across the included studies were broadly similar in terms of age, sex, type of CNV, and race distribution. However, BMI, despite being a modifiable risk factor for nAMD, could not be evaluated due to lack of reporting across the trials [34]. Additionally, baseline retinal thickness measurements varied among the studies due to the use of different techniques and definitions for assessing thickness. Given the limited epidemiological data available for patients with nAMD in the UK who are treated with anti-VEGFs, it is challenging to assess the generalizability of the patient populations included in the NMA to real-world patient populations. However, based on a recent National Ophthalmology Database Audit, the majority of patients starting treatment in the 2021 National Health Service year were female and Caucasian, with a median age of 80.5 years at the start of treatment, which is broadly aligned with the populations of the included trials [38].
At 12 months, no statistical difference was found among active interventions in terms of change in BCVA, although bevacizumab gamma exhibited the highest numerical mean difference in BCVA and the highest SUCRA value. Regarding the proportion of patients gaining at least 15 letters, bevacizumab gamma was not statistically different from other active interventions, with the exception of ranibizumab 0.5 Q12W. These findings align with recent NMAs that have found similar efficacy among anti-VEGF regimens [4,5,6].
Strengths of this analysis include the derivation of an evidence base identified via a comprehensive SLR. Furthermore, the evidence base available for the NMA consisted of a connected network of RCTs, allowing for an anchored indirect comparison of the interventions of interest. The Bayesian framework allowed for a thorough assessment of comparative efficacy, leveraging all available data. A sensitivity analysis removing two studies conducted in 100% Asian populations (DRAGON, Haga 2018) was performed; the results confirmed those of the base case analysis [13,14]. These results are consistent with those of Zhao et al., who conducted a comprehensive NMA and concluded that, when applying the same treatment strategy, there is no significant difference in efficacy or safety among ranibizumab, bevacizumab, and aflibercept [39]. Furthermore, the conclusions of the current NMA align with previous studies such as CATT [19] and IVAN [40], which demonstrated non-inferiority of bevacizumab to ranibizumab when used in similar dosing regimens. However, these studies used a bevacizumab solution intended for oncologic use and repackaged for intravitreal injections, which may result in variability in the repackaged bevacizumab [41], whereas bevacizumab gamma has been specifically manufactured, formulated, and packaged according to the standards of ophthalmic solutions.
There are several limitations that should be considered when interpreting the results of this NMA. The connection through the sham treatment is not particularly robust, as both included trials assessed a sham arm with a high proportion of patients who had prior anti-VEGF exposure, which could serve as an effect modifier and impact the relative treatment effect estimates. In addition, the low event rates observed in the sham arms led to unstable estimates of the relative treatment effects of bevacizumab gamma compared to other competing interventions. Furthermore, the study design of NORSE TWO provided data at 11 months, compared to 12-month data availability for other trials; the two time points were deemed comparable in order to obtain estimates of relative treatment effects, as most included trials incorporated a visit window of +/−4 weeks into reported 12-month data. Lastly, although standard deviations were missing in 12 of 22 studies and required imputation, this was undertaken in accordance with NICE recommendations to ensure comprehensive network connectivity. While this represents a limitation, this approach was essential to preserve the integrity of the evidence base and to ensure the analysis could be robustly conducted.
5. Conclusions
In conclusion, bevacizumab gamma demonstrated efficacy in managing nAMD across multiple outcomes and provided similar improvements in visual acuity to other anti-VEGF treatments relevant to the UK healthcare system setting. The robustness of these findings and the strength of the conclusions would benefit from additional direct evidence comparing bevacizumab gamma with the other active interventions in the network.
Supplementary Materials
The following supporting information can be downloaded at: https://www.mdpi.com/article/10.3390/jmahp13040058/s1, Table S1: Search strategy—original search; Table S2: Search strategy—search update; Figure S1: RoB assessment results; Table S3: Trial-level input data for change from baseline in BCVA at 12 months; Table S4: Change from baseline in BCVA at 12 months; mean differences (95% CrI) for all possible pairs of interventions; Table S5: Proportion of patients gaining at least 15 letters at 12 months; OR (95% CrI) for all possible pairs of interventions; Table S6: Proportion of patients losing fewer than 15 letters at 12 months; OR (95% CrI) for all possible pairs of interventions; Table S7: Comparison of base case and sensitivity analysis removing studies with 100% Asian patients; Table S8: SUCRA rankings of treatments in each analysis.
Author Contributions
M.L., S.E., and E.W. were involved in study design and interpretation of the analysis. S.E. conducted the analysis. M.L. wrote the initial manuscript draft; J.K., J.C., M.P., C.B., and A.G. provided critical review and editing of the manuscript. All authors have read and agreed to the published version of the manuscript.
Funding
Outlook Therapeutics, Inc. was the sole funder of this study, which was conducted by Cencora Inc., a company that provides consulting services to pharmaceutical companies.
Institutional Review Board Statement
Not applicable.
Informed Consent Statement
Not applicable.
Data Availability Statement
As a network meta-analysis, no new data were created or analyzed in this study.
Acknowledgments
The authors would like to acknowledge Christina Schnell, who provided copywriting review and support for this manuscript.
Conflicts of Interest
M.L., S.E., A.G., and E.W. are employees of Cencora. E.W. is a shareholder of Cencora. Cencora provides consulting services to pharmaceutical companies. J.K., J.C., M.P., and C.B. are employees of Outlook Therapeutics, Inc. Outlook Therapeutics funded this study, which was conducted by Cencora.
Abbreviations
The following abbreviations are used in this manuscript:
| AFL | aflibercept |
| Anti-VEGF | anti-vascular endothelial growth factor |
| BCVA | best-corrected visual acuity |
| BEV | bevacizumab |
| BMI | body mass index |
| CFB | change from baseline |
| CNV | choroidal neovascularization |
| CrI | credible interval |
| DIC | deviance information criterion |
| FAR | faricimab |
| MAIC | matching-adjusted indirect comparison |
| MeSH | Medical Subject Headings |
| nAMD | neovascular age-related macular degeneration |
| NMA | network meta-analysis |
| OR | odds ratio |
| PICOS | population, intervention, comparison, outcome measures, and study design |
| PRN | pro re nata |
| Q4W | every four weeks |
| Q8W | every eight weeks |
| Q12W | every twelve weeks |
| Q16W | every sixteen weeks |
| RAN | ranibizumab |
| RCT | randomized controlled trials |
| SD | standard deviation |
| SLR | systematic literature review |
| SUCRA | surface under the cumulative |
| TREX | treat and extend |
| UK | United Kingdom |
References
- Colijn, J.; Buitendijk, G.; Prokofyeva, E.; Alves, D.; Cachulo, M.; Khawaja, A.; Cougnard-Gregoire, A.; Merle, B.; Korb, C.; Erke, M.; et al. Prevalence of age-related macular degeneration in Europe: The past and the future. Ophthalmology 2017, 124, 1753–1763. [Google Scholar] [CrossRef]
- Wang, L.; Zhang, C.; Hua, R. Clinical effectiveness of ranibizumab and conbercept for neovascular age-related macular degeneration: A meta-analysis. Drug Des. Dev. Ther. 2018, 12, 3625–3633. [Google Scholar] [CrossRef]
- Owen, C.; Jarrar, Z.; Wormald, R.; Cook, D.; Fletcher, A.; Rudnicka, A. The estimated prevalence and incidence of late stage age related macular degeneration in the UK. Br. J. Ophthalmol. 2012, 96, 752–756. [Google Scholar] [CrossRef] [PubMed]
- Finger, R.; Dennis, N.; Freitas, R.; Quenéchdu, A.; Clemens, A.; Karcher, H.; Souied, E. Comparative efficacy of brolucizumab in the treatment of neovascular age-related macular degeneration: A systematic literature review and network meta-analysis. Adv. Ther. 2022, 39, 3425–3448. [Google Scholar] [CrossRef]
- Lu, Y.; Zhao, J.; Wang, J.; Feng, Z.; Yao, L.; Zhang, X. Comparative efficacy and safety of anti-vascular endothelial growth factor regimens for neovascular age-related macular degeneration: Systematic review and Bayesian network meta-analysis. Ther. Adv. Chronic Dis. 2020, 11, 2040622320953349. [Google Scholar] [CrossRef]
- Tricco, A.; Thomas, S.M.; Lillie, E.; Veroniki, A.A.; Hamid, J.S.; Pham, B.; Lee, T.; Agarwal, A.; Sharpe, J.P.; Scott, A.; et al. Anti-vascular endothelial growth factor therapy for age-related macular degeneration: A systematic review and network meta-analysis. Syst. Rev. 2021, 10, 315. [Google Scholar] [CrossRef]
- Augsburger, M.; Sarra, G.; Imesch, P. Treat and extend versus pro re nata regimens of ranibizumab and aflibercept in neovascular age-related macular degeneration: A comparative study. Graefe’s Arch. Clin. Exp. Ophthalmol. 2019, 257, 1889–1895. [Google Scholar] [CrossRef]
- Rahhal, F.; Hu, A.; Humayun, M.; George, M.; Javid, C.; Brown, J.J.; Pitcher, J.; Dagnon, T.; Kissner, J. ONS-5010 (bevacizumab-vikg) safety and efficacy in subfoveal choroidal neovascularization secondary to age-related macular degeneration. Ophthalmic Surg. Lasers Imaging Retin. 2025, 56, 178–189. [Google Scholar] [CrossRef]
- Higgins, J.P.; Altman, D.G.; Gøtzsche, P.C.; Jüni, P.; Moher, D.; Oxman, A.D.; Savovic, J.; Schulz, K.F.; Weeks, L.; Sterne, J.A. The Cochrane Collaboration’s tool for assessing risk of bias in randomised trials. BMJ 2011, 343, d5928. [Google Scholar] [CrossRef]
- Ades, A.E. A chain of evidence with mixed comparisons: Models for multi-parameter synthesis and consistency of evidence. Stat. Med. 2003, 22, 2995–3016. [Google Scholar] [CrossRef]
- Caldwell, D.; Ades, A.; Higgins, J. Simultaneous comparison of multiple treatments: Combining direct and indirect evidence. BMJ 2005, 331, 897–900. [Google Scholar] [CrossRef] [PubMed]
- Lu, G.; Ades, A.E. Combination of direct and indirect evidence in mixed treatment comparisons. Stat. Med. 2004, 23, 3105–3124. [Google Scholar] [CrossRef] [PubMed]
- Haga, A.; Kawaji, T.; Ideta, R.; Inomata, Y.; Tanihara, H. Treat-and-extend versus every-other-month regimens with aflibercept in age-related macular degeneration. Acta Ophthalmol. 2018, 96, e393–e398. [Google Scholar] [CrossRef] [PubMed]
- Li, X.; Zhu, Q.; Egger, A.; Chang, L.; Wolf, S.; Song, Y.; Zhang, J.; Dong, F.; Xu, X.; Weisberger, A. Two different treatment regimens of ranibizumab 0.5 mg for neovascular age-related macular degeneration with or without polypoidal choroidal vasculopathy in Chinese patients: Results from the Phase IV, randomized, DRAGON study. Acta Opthalmol. 2021, 99, e336–e345. [Google Scholar] [CrossRef]
- Phillippo, D. multinma: Bayesian Network Meta-Analysis of Individual and Aggregate Data; 2024. [Google Scholar] [CrossRef]
- Mitchell, P.; Holz, F.G.; Hykin, P.; Midena, E.; Souied, E.; Allmeier, H.; Lambrou, G.; Schmelter, T.; Wolf, S. Efficacy and safety of intravitreal aflibercept using a treat-and-extend regimen for neovascular age-related macular degeneration: The ARIES study: A randomized clinical trial. Retina 2022, 41, 1911–1920. [Google Scholar] [CrossRef]
- Wang, F.; Yuan, Y.; Wang, L.; Ye, X.; Zhao, J.; Shen, M.; Zhang, Q.; Xu, D.; Qin, G.; Zhang, W.; et al. One-year outcomes of 1 dose versus 3 loading doses followed by pro re nata regimen using ranibizumab for neovascular age-related macular degeneration: The ARTIS Trial. J. Opthalmol. 2019, 2019, 7530458. [Google Scholar] [CrossRef]
- Kertes, P.J.; Galic, I.J.; Greve, M.; Williams, R.G.; Rampakakis, E.; Scarino, A.; Sheidow, T. Canadian Treat-and-Extend Analysis Trial with Ranibizumab in patients with neovascular age-related macular disease: One-year results of the randomized Canadian Treat-and-Extend Analysis Trial with Ranibizumab Study. Opthalmology 2019, 126, 841–848. [Google Scholar] [CrossRef]
- Martin, D.; Maguire, M.; Ying, G.; Grunwald, J.; Fine, S.; Jaffe, G. Ranibizumab and bevacizumab for neovascular age-related macular degeneration. N. Engl. J. Med. 2011, 364, 1897–1908. [Google Scholar] [CrossRef]
- Chan, C.K.; Abraham, P.; Sarraf, D.; Nuthi, A.; Lin, S.; McCannel, C. Earlier therapeutic effects associated with high dose (2.0 mg) ranibizumab for treatment of vascularized pigmnet epithelial detachment in age-related macular degeneration. Eye 2015, 29, 80–87. [Google Scholar] [CrossRef]
- Busbee, B.G.; Ho, A.; Brown, D.; Heier, J.; Suñer, I.; Li, Z.; Rubio, R.; Lai, P. Twelve-month efficacy and safety of 0.5 mg or 2.0 mg ranibizumab in patients with subfoveal neovascular age-related macular degeneration. Opthalmology 2013, 120, 1046–1056. [Google Scholar] [CrossRef]
- López Gálvez, M.; Arias Barquet, L.; Figueroa, M.S.; García-Layana, A.; Ruiz Moreno, J.M. Bimonthly, treat-and-extend and as-needed ranibizumab in naïve neovascular age-related macular degeneration patients: 12-month outcomes of a randomized study. Acta Ophthalmol. 2020, 98, e820–e829. [Google Scholar] [CrossRef]
- Heier, J.S.; Khanani, A.M.; Quezada Ruiz, C.; Basu, K.; Ferrone, P.J.; Brittain, C.; Figueroa, M.S.; Lin, H.; Holz, F.G.; Patel, V.; et al. Efficacy, durability, and safety of intravitreal faricimab up to every 16 weeks for neovascular age-related macular degeneration (TENAYA and LUCERNE): Two randomised, double-masked, phase 3, non-inferiority trials. Lancet 2022, 399, 729–740. [Google Scholar] [CrossRef]
- Rosenfeld, P.J.; Brown, D.; Heier, J.; Boyer, D.; Kaiser, P.; Chung, C.; Kim, R.Y. Ranibizumab for neovascular age-related macular degeneration. N. Engl. J. Med. 2006, 355, 1419–1431. [Google Scholar] [CrossRef]
- Mori, R.; Tanaka, K.; Haruyama, M.; Kawamura, A.; Furuya, K.; Yuzawa, M. Comparison of pro re nata versus bimonthly injection of intravitreal aflibercept for typical neovascular age-related macular degeneration. Opthalmologica 2017, 238, 17–22. [Google Scholar] [CrossRef] [PubMed]
- Huang, S. Safety and efficacy results of ONS-5010, an opthalmic bevacizumab. In Proceedings of the Asia-Pacific Vitreo-retina Society Meeting 2021, Virtual, 11–12 December 2021. [Google Scholar]
- Regillo, C.D.; Brown, D.; Abraham, P.; Yue, H.; Ianchulev, T.; Schneider, S.; Shams, N. Randomized, double-masked, sham-controlled trial of ranibizumab for neovascular age-related macular degeneration: PIER Study year 1. Am. J. Opthalmol. 2008, 145, 239–248. [Google Scholar] [CrossRef] [PubMed]
- Feltgen, N.; Bertelmann, T.; Bretag, M.; Pfeiffer, S.; Hilgers, R.; Callizo, J.; Goldammer, L.; Bemme, S.; Hoerauf, H. Efficacy and safety of a fixed bimonthly ranibizumab treatment regimen in eyes with neovascular age-related macular degeneration: Results from the RABIMO trial. Arch. Clin. Exp. Opthalmol. 2017, 255, 923–934. [Google Scholar] [CrossRef]
- Gillies, M.C.; Hunyor, A.P.; Arnold, J.J.; Guymer, R.H.; Wolf, S.; Ng, P.; Pecheur, F.L.; McAllister, I.L. Effect of ranibizumab and aflibercept on best-corrected visual acuity in treat-and-extend for neovascular age-related macular degeneration: A randomized clinical trial. JAMA Opthalmol. 2019, 137, 372–379. [Google Scholar] [CrossRef]
- Khanani, A.M.; Patel, S.S.; Ferrone, P.J.; Osborne, A.; Sahni, J.; Grzeschik, S.; Basu, K.; Ehrlich, J.S.; Haskova, Z.; Dugel, P.U. Efficacy of every four monthly and quarterly dosing of faricimab vs ranibizumab in neovascular age-related macular degeneration: The STAIRWAY phase 2 randomized clinical trial. JAMA Opthalmol. 2020, 138, 964–972. [Google Scholar] [CrossRef]
- Silva, R.; Berta, A.; Larsen, M.; Macfadden, W.; Feller, C.; Monés, J. Treat-and-extend versus monthly regimen in neovascular age-related macular degeneration: Results with ranibizumab from the TREND Study. Opthalmology 2018, 125, 57–65. [Google Scholar] [CrossRef]
- Wykoff, C.C.; Croft, D.E.; Brown, D.M.; Wang, R.; Payne, J.F.; Clark, L.; Abdelfattah, N.S.; Sadda, S.R. Prospective trial of treat-and-extend versus monthly dosing for neovascular age-related macular degeneration: TREX-AMD 1-year results. Opthalmology 2015, 122, 2514–2522. [Google Scholar] [CrossRef]
- Heier, J.S.; Brown, D.; Chong, V.; Korobelnik, J.; Kaiser, P.; Nguyen, Q.; Kirchhof, B.; Ho, A.; Ogura, Y.; Yancopoulos, G.; et al. Intravitreal aflibercept (VEGF trap-eye) in wet age-related macular degeneration. Opthalmology 2012, 119, 2537–2548. [Google Scholar] [CrossRef] [PubMed]
- Heloterä, H.; Siintamo, L.; Kivinen, N.; Abrahamsson, N.; Aaltonen, V.; Kaarniranta, K. Analysis of prognostic and predictive factors in neovascular age-related macular degeneration Kuopio cohort. Acta Opthalmol. 2024, 102, 703–713. [Google Scholar] [CrossRef] [PubMed]
- Bressler, S.B.; Muñoz, B.; Solomon, S.; West, S.K. Racial differences in the prevalence of age-related macular degeneration: The Salisbury Eye Evaluation (SEE) Project. Arch. Opthalmol. 2008, 126, 241–245. [Google Scholar] [CrossRef] [PubMed]
- Mohamed, R.; Gadhvi, K.; Mensah, E. What effect does ethnicity have on the response to ranibizumab in the treatment of wet age-related macular degeneration? Opthalmologica 2018, 240, 157–162. [Google Scholar] [CrossRef]
- Steinle, N.; Du, W.; Gibson, A.; Saroj, N. Outcomes by baseline choroidal neovascularization features in age-related macular degeneration: A post-hoc analysis of the VIEW studies. Opthamol. Retin. 2021, 5, 141–150. [Google Scholar]
- The Royal College of Ophthalmologists. National Ophthalmology Database Audit: The Second Report of Age-Related Macular Degeneration Audit (AMD). Available online: https://nodaudit.org.uk/sites/default/files/2024-03/NOD%20AMD%20Audit%20Full%20Annual%20Report%202024_0.pdf (accessed on 9 October 2025).
- Zhao, X.-Y.; Meng, L.-H.; Liu, S.-Z.; Chen, Y.-X. Efficacy and safety of different agents, dosages and strategies of anti-vascular endothelial growth factor treatment for neovascular age-related macular degeneration: A network meta-analysis of randomized controlled trials. Acta Ophthalmol. 2021, 99, e1041–e1050. [Google Scholar] [CrossRef]
- Investigators, I.S.; Chakravarthy, U.; Harding, S.P.; Rogers, C.A.; Downes, S.M.; Lotery, A.J.; Wordsworth, S.; Reeves, B.C. Ranibizumab versus bevacizumab to treat neovascular age-related macular degeneration: One-year findings from the IVAN randomized trial. Ophthalmology 2012, 119, 1399–1411. [Google Scholar] [CrossRef]
- Singh, R.P.; Avery, R.L.; Barakat, M.R.; Kim, J.E.; Kiss, S. Evidence-based use of bevacizumab in the management of neovascular age-related macular degeneration. Ophthalmic Surg. Lasers Imaging Retin. 2024, 55, 156–162. [Google Scholar] [CrossRef]
Disclaimer/Publisher’s Note: The statements, opinions and data contained in all publications are solely those of the individual author(s) and contributor(s) and not of MDPI and/or the editor(s). MDPI and/or the editor(s) disclaim responsibility for any injury to people or property resulting from any ideas, methods, instructions or products referred to in the content. |
© 2025 by the authors. Published by MDPI on behalf of the Market Access Society. Licensee MDPI, Basel, Switzerland. This article is an open access article distributed under the terms and conditions of the Creative Commons Attribution (CC BY) license (https://creativecommons.org/licenses/by/4.0/).




