Cache Aging with Learning (CAL): A Freshness-Based Data Caching Method for Information-Centric Networking on the Internet of Things (IoT)
Abstract
1. Introduction
- Enhancing the cache hit ratio by maintaining only recently updated and relevant data in the cache. This avoids ambiguity and uses a more standard term to describe the data;
 - Enabling intermediate routers to independently calculate data freshness and make caching decisions based on it, effectively optimizing traffic load;
 - Structuring data request messages to include sensor identifiers and data types, which enables efficient data retrieval management based on specific time intervals;
 - Improving cache performance by ensuring it contains only current data, which increases cache hits, reduces response delay, and lowers network traffic load.
 
2. Related Work
Research Motivation and Identified Gaps
3. Problem Statement
3.1. QoS Formula
3.2. Calculating Data Freshness
| Algorithm 1: Pseudocode of the proposed method. | 
| START //Step 1: Check for Message Type 1. RECEIVE M //Incoming message 2. IF M ∈ τ THEN //If M is a data request message 3. MESSAGE_TYPE ← “REQUEST” 4. ELSE IF M ∈ D THEN //If M is a data response message 5. MESSAGE_TYPE ← “RESPONSE” 6. ELSE 7. RETURN “Invalid Message” //Step 2: Check Cache for Requested Data 8. IF MESSAGE_TYPE = “REQUEST” THEN 9. CHECK_CACHE(M.sensor_number, M.data_type) 10. IF (M.sensor_number, M.data_type) ∈ CS THEN 11. Cache_Status ← 1 //Cache hit 12. ELSE 13. Cache_Status ← 0 //Cache miss 14. END IF //Step 3: Calculate Data Freshness 15. IF Cache_Status = 1 THEN 16. V ← 1 - (RT - CDTS)/R_type 17. IF V > 0 THEN 18. SEND_DATA_TO_CONSUMER( ) 19. ELSE 20. FORWARD_REQUEST() 21. END IF 22. ELSE 23. FORWARD_REQUEST() 24. END IF //Step 4: Cache Hit or Cache Miss Decision 25. ELSE IF MESSAGE_TYPE = “RESPONSE” THEN //Step 5: Check for Matching Data in Cache 26. IF (M.sensor_number, M.data_type) ∈ CS THEN 27. REMOVE_OLD_DATA(M.sensor_number, M.data_type) 28. CACHE_NEW_DATA(M) 29. ELSE //Step 6: Check for Empty Space in Cache 30. IF AVAILABLE_CACHE_SPACE > 0 THEN 31. CACHE_NEW_DATA(M) 32. ELSE //Step 7: Check for Expired Data in Cache 33. FOR EACH DATA_ENTRY IN CS DO 34. Time_validation ← 1 - (NDTS - CDTS)/NDtype 35. IF Time_validation ≤ 0 THEN 36. REMOVE_EXPIRED_DATA(DATA_ENTRY) 37. CACHE_NEW_DATA(M) 38. BREAK 39. END IF 40. END FOR //Step 8: Remove Data with Lowest Freshness Score 41. IF NO_EXPIRED_DATA_FOUND THEN 42. CALCULATE_FRESHNESS_AND_VALIDITY() 43. REMOVE_LOWEST_SCORE_DATA() 44. CACHE_NEW_DATA(M) 45. END IF 46. END IF 47. END IF 48. END IF END  | 
3.3. Predicting Data Freshness
- Input Layer: Processes historical request data, such as the sensor request number (SRN) and total requests (TRs) for specific data types;
 - Hidden Layer: Configured with an optimized number of neurons to balance learning complexity and computational efficiency;
 - Output Layer: Produces the predicted freshness rate () for the specified data;
 
- The network uses past request data to predict PSRN (predicted SRN) and PTR (predicted total requests);
 - Equation (14) calculates the predicted freshness rate ():
 - Equation (15) evaluates the predicted validity ():
 
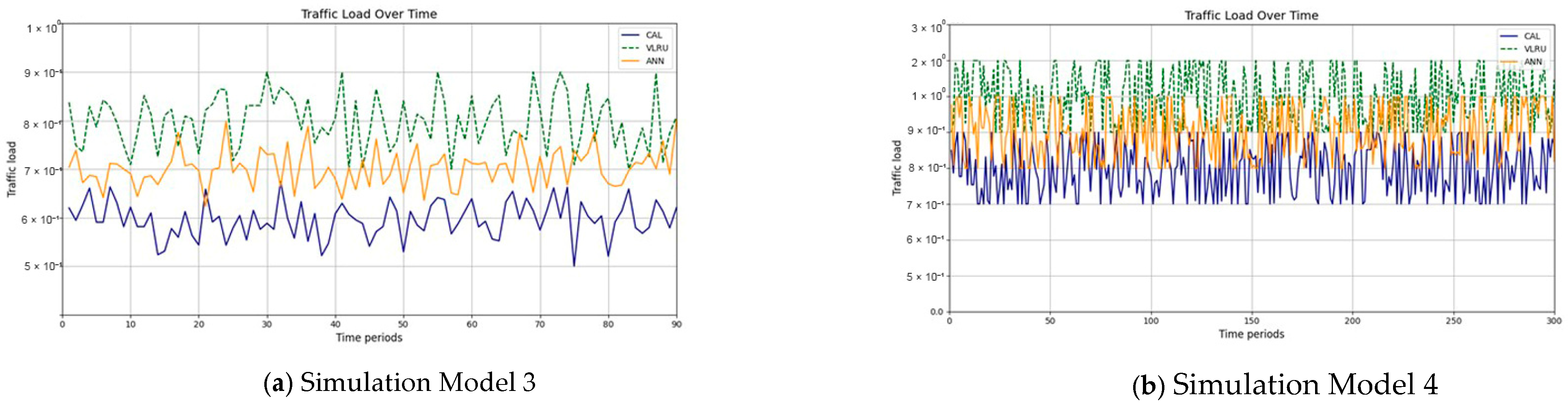
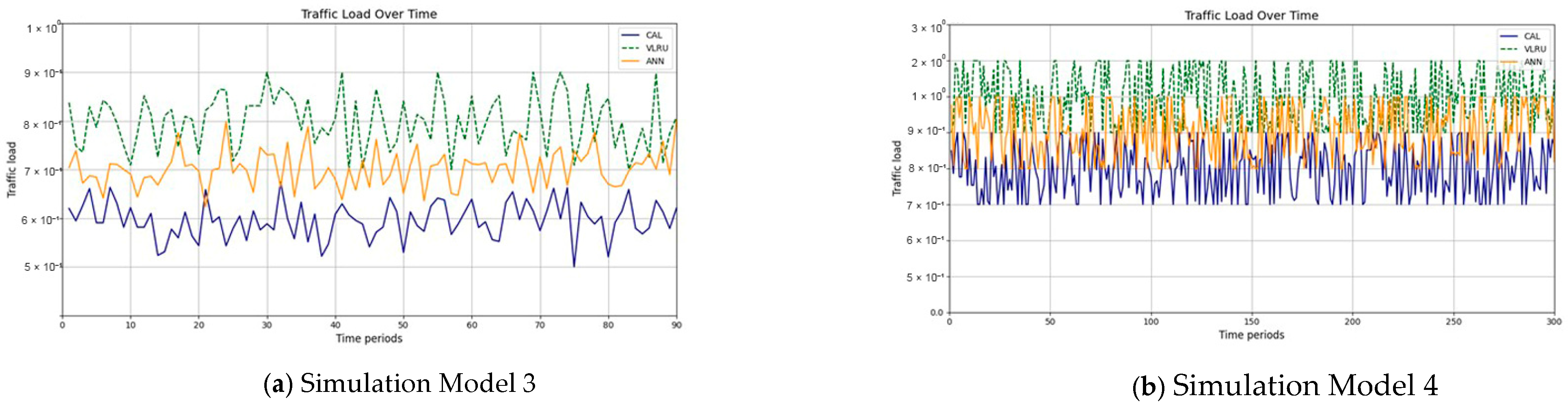
4. Evaluation
4.1. Simulation Scenario
4.2. Simulation Parameters
- Cache Success Rate: The percentage of data requests the cache satisfies;
 - Network Traffic Load: Total network bandwidth utilized for data retrieval;
 - Response Time: Time taken to retrieve requested data.
 
4.3. Discussion
5. Conclusions and Future Works
Author Contributions
Funding
Data Availability Statement
Conflicts of Interest
References
- Alnaser, A.M.A.; Saloum, S.S.; Sharadqh, A.A.; Hatamleh, H. Optimizing Multi-Tier Scheduling and Secure Routing in Edge-Assisted Software-Defined Wireless Sensor Network Environment Using Moving Target Defense and AI Techniques. Future Internet 2024, 16, 386. [Google Scholar] [CrossRef]
 - Sefati, S.S.; Haq, A.U.; Craciunescu, R.; Halunga, S.; Mihovska, A.; Fratu, O. A Comprehensive Survey on Resource Management in 6G Network Based on Internet of Things. IEEE Access 2024, 12, 113741–113784. [Google Scholar] [CrossRef]
 - Yalli, J.S.; Hasan, M.H.; Badawi, A. Internet of things (iot): Origin, embedded technologies, smart applications and its growth in the last decade. IEEE Access 2024, 12, 91357–91382. [Google Scholar] [CrossRef]
 - Ekwonwune, E.N.; Chigozie, U.C.; Ekekwe, D.A.; Nwankwo, G.C. Analysis of Secured Cloud Data Storage Model for Information. J. Softw. Eng. Appl. 2024, 17, 297–320. [Google Scholar] [CrossRef]
 - Arshad, S.; Azam, M.A.; Rehmani, M.H.; Loo, J. Recent advances in information-centric networking-based Internet of Things (ICN-IoT). IEEE Internet Things J. 2018, 6, 2128–2158. [Google Scholar] [CrossRef]
 - Anjum, A.; Agbaje, P.; Mitra, A.; Oseghale, E.; Nwafor, E.; Olufowobi, H. Towards named data networking technology: Emerging applications, use cases, and challenges for secure data communication. Future Gener. Comput. Syst. 2024, 151, 12–31. [Google Scholar] [CrossRef]
 - Glazkov, R.; Moltchanov, D.; Srikanteswara, S.; Samuylov, A.; Arrobo, G.; Zhang, Y.; Feng, H.; Himayat, N.; Spoczynski, M.; Koucheryavy, Y. Provisioning of Fog Computing over Named-Data Networking in Dynamic Wireless Mesh Systems. Sensors 2024, 24, 1120. [Google Scholar] [CrossRef]
 - Xing, M.; Deng, H.; Han, R. A Method for 5G–ICN Seamless Mobility Support Based on Router Buffered Data. Future Internet 2024, 16, 96. [Google Scholar] [CrossRef]
 - Ioannou, A.; Weber, S. A survey of caching policies and forwarding mechanisms in information-centric networking. IEEE Commun. Surv. Tutor. 2016, 18, 2847–2886. [Google Scholar] [CrossRef]
 - Henze, M.; Matzutt, R.; Hiller, J.; Mühmer, E.; Ziegeldorf, J.H.; van der Giet, J.; Wehrle, K. Complying with data handling requirements in cloud storage systems. IEEE Trans. Cloud Comput. 2020, 10, 1661–1674. [Google Scholar] [CrossRef]
 - Din, I.U.; Hassan, S.; Khan, M.K.; Guizani, M.; Ghazali, O.; Habbal, A. Caching in information-centric networking: Strategies, challenges, and future research directions. IEEE Commun. Surv. Tutor. 2017, 20, 1443–1474. [Google Scholar] [CrossRef]
 - Feng, Y.; Zhang, W.; Feng, Z.; Zhong, X.; Liu, F. An MTD-driven Hybrid Defense Method Against DDoS Based on Markov Game in Multi-controller SDN-enabled IoT Networks. In Proceedings of the 2024 IEEE/ACM 32nd International Symposium on Quality of Service (IWQoS), Guangzhou, China, 19–21 June 2024; pp. 1–6. [Google Scholar]
 - Sefati, S.S.; Halunga, S. Ultra-reliability and low-latency communications on the internet of things based on 5G network: Literature review, classification, and future research view. Trans. Emerg. Telecommun. Technol. 2023, 34, e4770. [Google Scholar] [CrossRef]
 - Zhang, P.; Xu, W.; Liu, Y.; Qin, X.; Niu, K.; Cui, S.; Shi, G.; Qin, Z.; Xu, X.; Wang, F. Intellicise wireless networks from semantic communications: A survey, research issues, and challenges. IEEE Commun. Surv. Tutor. 2024, 1. [Google Scholar] [CrossRef]
 - Chen, C.; Wang, C.; Qiu, T.; Atiquzzaman, M.; Wu, D.O. Caching in vehicular named data networking: Architecture, schemes and future directions. IEEE Commun. Surv. Tutor. 2020, 22, 2378–2407. [Google Scholar] [CrossRef]
 - Vural, S.; Navaratnam, P.; Wang, N.; Wang, C.; Dong, L.; Tafazolli, R. In-network caching of Internet-of-Things data. In Proceedings of the 2014 IEEE International Conference on Communications (ICC), Sydney, Australia, 10–14 June 2014; pp. 3185–3190. [Google Scholar]
 - Quevedo, J.; Corujo, D.; Aguiar, R. Consumer driven information freshness approach for content centric networking. In Proceedings of the 2014 IEEE Conference on Computer Communications Workshops (INFOCOM WKSHPS), Toronto, ON, Canada, 27 April–2 May 2014; pp. 482–487. [Google Scholar]
 - Hail, M.A.; Amadeo, M.; Molinaro, A.; Fischer, S. Caching in named data networking for the wireless internet of things. In Proceedings of the 2015 International Conference on Recent Advances in Internet of Things (RIoT), Singapore, 7–9 April 2015; pp. 1–6. [Google Scholar]
 - Vural, S.; Wang, N.; Navaratnam, P.; Tafazolli, R. Caching transient data in internet content routers. IEEE/ACM Trans. Netw. 2016, 25, 1048–1061. [Google Scholar] [CrossRef]
 - Doan Van, D.; Ai, Q. An efficient in-network caching decision algorithm for I nternet of things. Int. J. Commun. Syst. 2018, 31, e3521. [Google Scholar] [CrossRef]
 - Meddeb, M.; Dhraief, A.; Belghith, A.; Monteil, T.; Drira, K.; AlAhmadi, S. Cache freshness in named data networking for the internet of things. Comput. J. 2018, 61, 1496–1511. [Google Scholar] [CrossRef]
 - Asmat, H.; Din, I.U.; Almogren, A.; Altameem, A.; Khan, M.Y. Enhancing Edge-Linked Caching in Information-Centric Networking for Internet of Things with Deep Reinforcement Learning. IEEE Access 2024, 12, 154918–154932. [Google Scholar] [CrossRef]
 - Mishra, S.; Jain, V.K.; Gyoda, K.; Jain, S. Distance-based dynamic caching and replacement strategy in NDN-IoT networks. Internet Things 2024, 27, 101264. [Google Scholar] [CrossRef]
 - Luo, H.; Yan, T.; Hu, S. Caching Policy in Low Earth Orbit Satellite Mega-Constellation Information-Centric Networking for Internet of Things. Sensors 2024, 24, 3412. [Google Scholar] [CrossRef]
 - Rafique, W.; Hafid, A.S.; Cherkaoui, S. Complementing IoT services using software-defined information centric networks: A comprehensive survey. IEEE Internet Things J. 2022, 9, 23545–23569. [Google Scholar] [CrossRef]
 - Tyagi, V.; Saraswat, A.; Kumar, A.; Gambhir, S. Securing IoT Devices Against MITM and DoS Attacks: An Analysis. Reshaping Intell. Bus. Ind. Converg. AI IoT Cut. Edge 2024, 237–249. [Google Scholar] [CrossRef]
 - HS, S.; Boregowda, U. Quality-of-service-linked privileged content-caching mechanism for named data networks. Future Internet 2022, 14, 157. [Google Scholar] [CrossRef]
 - Djama, A.; Djamaa, B.; Senouci, M.R. TCP/IP and ICN networking technologies for the Internet of Things: A comparative study. In Proceedings of the 2019 International Conference on Networking and Advanced Systems (ICNAS), Annaba, Algeria, 26–27 June 2019; pp. 1–6. [Google Scholar]
 - Ahanger, A.S.; Masoodi, F.S.; Khanam, A.; Ashraf, W. Managing and Securing Information Storage in the Internet of Things. In Internet of Things Vulnerabilities and Recovery Strategies; Auerbach Publications: Boca Raton, FL, USA, 2024; pp. 102–151. [Google Scholar]
 - Sefati, S.S.; Craciunescu, R.; Arasteh, B.; Halunga, S.; Fratu, O.; Tal, I. Cybersecurity in a Scalable Smart City Framework Using Blockchain and Federated Learning for Internet of Things (IoT). Smart Cities 2024, 7, 2802–2841. [Google Scholar] [CrossRef]
 - Din, I.U.; Hassan, S.; Almogren, A.; Ayub, F.; Guizani, M. PUC: Packet update caching for energy efficient IoT-based information-centric networking. Future Gener. Comput. Syst. 2020, 111, 634–643. [Google Scholar] [CrossRef]
 - Khan, Y.; Mustafa, S.; Ahmad, R.W.; Maqsood, T.; Rehman, F.; Ali, J.; Rodrigues, J.J. Content caching in mobile edge computing: A survey. Clust. Comput. 2024, 27, 8817–8864. [Google Scholar] [CrossRef]
 - Bamhdi, A.M. CDCA: Transparent Cache Architecture to Improve Content Delivery by Internet Service Providers. Int. J. Adv. Comput. Sci. Appl. 2023, 14, 847–867. [Google Scholar] [CrossRef]
 - Sefati, S.S.; Fartu, O.; Nor, A.M.; Halunga, S. Enhancing Internet of Things Security and Efficiency: Anomaly Detection via Proof of Stake Blockchain Techniques. In Proceedings of the 2024 International Conference on Artificial Intelligence in Information and Communication (ICAIIC), Osaka, Japan, 19–22 February 2024; pp. 591–595. [Google Scholar]
 - Sefati, S.S.; Arasteh, B.; Halunga, S.; Fratu, O.; Bouyer, A. Meet User’s Service Requirements in Smart Cities Using Recurrent Neural Networks and Optimization Algorithm. IEEE Internet Things J. 2023, 10, 22256–22269. [Google Scholar] [CrossRef]
 - Li, K.-Q.; Yin, Z.-Y.; Liu, Y. A hybrid SVR-BO model for predicting the soil thermal conductivity with uncertainty. Can. Geotech. J. 2023, 61, 258–274. [Google Scholar] [CrossRef]
 - Chicco, D.; Warrens, M.J.; Jurman, G. The coefficient of determination R-squared is more informative than SMAPE, MAE, MAPE, MSE and RMSE in regression analysis evaluation. PeerJ Comput. Sci. 2021, 7, e623. [Google Scholar] [CrossRef]
 - Arasteh, B. A new Hybrid Model using Case-Based Reasoning and Decision Tree Methods for improving Speedup and Accuracy. In Proceedings of the Iadis International Conference, Salamanca, Spain, 18–20 February 2007. [Google Scholar]
 
















| Author | Proposed Method | Advantage | Disadvantage | 
|---|---|---|---|
| Vural and Navaratnam [16] | Distributed probabilistic caching strategy adjusting cache probability by distance and freshness. | Balances data freshness with multi-hop retrieval costs. | Retrieval from distant caches may reduce data freshness. | 
| Quevedo and Corujo [17] | Consumer-driven caching in content-centric networking, where consumers specify freshness level. | Allows consumers to define data relevance, enhancing freshness and network efficiency. | Producer-specified freshness may negatively impact network performance if not optimally set. | 
| Hail and Amadeo [18] | Probabilistic Caching Strategy (Pcasting) in the IoT considering data freshness, battery level, and cache occupancy. | Adaptive to various protocols, improving energy efficiency and network flexibility. | Limited by dependency on specific routing protocols for full efficiency. | 
| Vural and Wang [19] | In-network caching for the IoT, balancing communication costs with data freshness based on data lifetime. | Effectively caches relevant, timely data by considering data lifetime and request frequency. | Increased complexity due to continuous data freshness assessments; limited to static data. | 
| Doan Van and Ai [20] | Multi-Attribute Cache Decision Strategy (MACDS) for ICN-IoT considering energy, memory, freshness, and hops. | Enhances energy efficiency and accessibility, ideal for resource-constrained IoT environments. | Complex decision-making may increase the computational load on low-resource nodes. | 
| Meddeb and Dhraief [21] | Freshness-focused caching for the IoT with continuous data validity monitoring and reduced retrieval delays. | Effective in dynamic environments, reducing hops and latency. | High resource demand due to continuous data freshness monitoring. | 
| Asmat and Din [22] | Enhanced Edge-Linked Caching (EELC) scheme using PPO for optimal cache placement based on content popularity. | Minimizes data transfer, reducing energy and access times. | High processing requirements for reinforcement learning may strain low-resource devices. | 
| Mishra and Jain [23] | Content replacement strategy for ICN in the IoT, retaining essential data based on freshness and future requests. | Prioritizes high-value content, reducing unnecessary data loss. | Dependency on accurate data request predictions limits efficacy under unpredictable conditions. | 
| Luo and Yan [24] | Caching Algorithm based on Random Forest (CARF) for low earth orbit satellites, optimizing cache placement. | Reduces data access delay, improving cache hit rates and throughput in satellite IoT networks. | Demands significant computational resources and precise satellite location data; limited by resource constraints. | 
| Parameter Description | Parameter Value | 
|---|---|
| Router cache size | 10 records | 
| Data item type | The average of the last 5 min, 10 min, 15 min, 20 min, and 30 min | 
| The distance of the consumer to the connected router | 95 m | 
| Distance between routers | 7 km | 
| The distance of the producer to the connected router | 10 km | 
| Wireless propagation speed | 3 × (108) m per s | 
| Propagation delay | |
| Transmission delay | |
| Wireless bandwidth | 200 Mbps | 
| Packet size | 1472 bytes | 
| Constant (α) | 0.8 | 
| Simulation Mode | Simulation Time | Period Length | Number of Requests | 
|---|---|---|---|
| Mode 1 | 3 h | 180 s | 3000 | 
| Mode 2 | 10 h | 120 s | 1000 | 
| Mode 3 | 3 h | 120 s | 3000 | 
| Mode 4 | 10 h | 120 s | 3000 | 
Disclaimer/Publisher’s Note: The statements, opinions and data contained in all publications are solely those of the individual author(s) and contributor(s) and not of MDPI and/or the editor(s). MDPI and/or the editor(s) disclaim responsibility for any injury to people or property resulting from any ideas, methods, instructions or products referred to in the content.  | 
© 2025 by the authors. Licensee MDPI, Basel, Switzerland. This article is an open access article distributed under the terms and conditions of the Creative Commons Attribution (CC BY) license (https://creativecommons.org/licenses/by/4.0/).
Share and Cite
Hazrati, N.; Pirahesh, S.; Arasteh, B.; Sefati, S.S.; Fratu, O.; Halunga, S. Cache Aging with Learning (CAL): A Freshness-Based Data Caching Method for Information-Centric Networking on the Internet of Things (IoT). Future Internet 2025, 17, 11. https://doi.org/10.3390/fi17010011
Hazrati N, Pirahesh S, Arasteh B, Sefati SS, Fratu O, Halunga S. Cache Aging with Learning (CAL): A Freshness-Based Data Caching Method for Information-Centric Networking on the Internet of Things (IoT). Future Internet. 2025; 17(1):11. https://doi.org/10.3390/fi17010011
Chicago/Turabian StyleHazrati, Nemat, Sajjad Pirahesh, Bahman Arasteh, Seyed Salar Sefati, Octavian Fratu, and Simona Halunga. 2025. "Cache Aging with Learning (CAL): A Freshness-Based Data Caching Method for Information-Centric Networking on the Internet of Things (IoT)" Future Internet 17, no. 1: 11. https://doi.org/10.3390/fi17010011
APA StyleHazrati, N., Pirahesh, S., Arasteh, B., Sefati, S. S., Fratu, O., & Halunga, S. (2025). Cache Aging with Learning (CAL): A Freshness-Based Data Caching Method for Information-Centric Networking on the Internet of Things (IoT). Future Internet, 17(1), 11. https://doi.org/10.3390/fi17010011
        
                                                
