Abstract
Purpose: The Amsterdam UMC pharmacy has been compounding chenodeoxycholic acid (CDCA) capsules for Dutch cerebrotendinous xanthomatosis patients since 2018. However, limited data are available on the pharmacokinetics and bioequivalence of therapeutic CDCA formulations. Methods: An open-label, single-center, randomized, two-period, two-sequence, cross-over study was conducted in 12 healthy volunteers to compare the pharmacokinetic profile of pharmacy-compounded CDCA capsules to that of the authorized CDCA product. Results: Both formulations reached peak plasma concentrations (tmax) at approximately 1 h post-dose. The mean AUC(0–6h) values were 262.4 (±69.4) µmol∙min/L for the compounded capsules and 248.0 (±78.1) µmol∙min/L for the authorized capsules, with a 90% confidence interval (CI) for the AUC(0–6h) ratio of 0.89–1.30, exceeding the accepted bioequivalence range of 0.80–1.25. The mean Cmax for the compounded formulation (2.96 ± 0.91 µmol/L) was significantly lower than that of the comparator product (4.42 ± 1.36 µmol/L; p = 0.0040), with a 90% CI for the Cmax ratio of 0.57–0.80, also outside the bioequivalence range. Conclusions: Overall, the pharmacy-compounded and authorized capsules demonstrate a comparable AUC(0–6h) and tmax. Bioequivalence could not be demonstrated, primarily due to high variation, a significantly lower Cmax, and an AUC(0–6h) ratio outside the accepted limits. These findings indicate that the compounded formulation results in reduced systemic peak exposure compared with the authorized product. However, given the high variation, a larger sample size would be needed to further investigate bioequivalence in future studies.
1. Introduction
Chenodeoxycholic acid (CDCA) is used therapeutically in the treatment of cerebrotendinous xanthomatosis (CTX), a rare genetic inborn error of bile acid synthesis. CDCA is one of the primary endogenous bile acids and is synthesized in the liver from cholesterol via two major bile acid synthesis pathways. The classic or neutral pathway that accounts for approximately 90% of bile acid synthesis starts with hydroxylation of cholesterol by CYP7A1 to form 7α-hydroxycholesterol, followed by formation of CDCA via sterol 27-hydroxylase (CYP27A1) [,]. The alternative pathway that accounts for approximately 10% of bile acid synthesis starts with hydroxylation of cholesterol by CYP27A1 to 27-hydroxycholesterol followed by conversion to CDCA via CYP7B1 [,]. CDCA inhibits CYP7A1, establishing a negative feedback loop that inhibits bile acid synthesis when there are sufficient bile acids []. CTX is characterized by CYP27A1 deficiency, and as CYP27A1 is essential in CDCA synthesis, CTX patients have severely decreased levels of endogenous CDCA, stimulating increased production of bile acids and the generation and accumulation of atypical sterol molecules including bile alcohols (and their corresponding glucoronides) and cholestanol []. This leads to various severe disease symptoms such as infantile-onset diarrhea, juvenile cataract and tendon xanthomas, as well as adult onset of neurologic dysfunction []. Treatment with CDCA is used as replacement for endogenous CDCA that silences the bile acid synthetic pathway via downregulation of CYP7A1, which in turn can prevent the onset of neurological complications in CTX patients when initiated before neurological symptoms are present [].
Limited information is available on the pharmacokinetics of therapeutic CDCA. Orally administered CDCA is absorbed in the small intestine, binds to plasma proteins, and is cleared by the liver [,]. In the liver, CDCA is almost completely conjugated with glycine or taurine before being excreted into bile and transported to the intestine and into the enterohepatic circulation along with endogenous bile acids [,,]. Conjugated CDCA is reabsorbed in the jejunum and the terminal ileum []. However, reabsorption is not complete and is variable (29- 84%) []. Unabsorbed CDCA is metabolized by gut bacteria into ursodeoxycholic acid (UDCA) and lithocholic acid (LCA) [,]. These secondary bile acids are then mostly reabsorbed in the distal ileum, secreted into the portal circulation and transported back to the liver. This efficient enterohepatic circulation ensures that 95% of bile acids are returned to the liver and that only 5% of total bile acids, and also therapeutic bile acids, are excreted in the feces [,,]. Because of the enterohepatic circulation, serum bile acid concentrations are low and the volume of distribution is high []. Upon supplementation of CDCA, peak serum concentrations are expected after 50–120 min. CDCA has a biological half-life of approximately 45 h to 4 days in the enterohepatic circulation [,,].
CDCA has been used off-label for treatment of CTX for many years. In 2017, Leadiant CDCA capsules received a marketing authorization in the EU as an orphan drug for the treatment of CTX (EU/1/16/1110) []. The price increase that followed and subsequent non-reimbursement under the Dutch healthcare insurance meant that Leadiant CDCA was no longer available for Dutch CTX patients. In order to continue patient care, the Amsterdam UMC hospital pharmacy has been compounding CDCA capsules as a magistral formula preparation for its own patients since 2018, which means that approximately 60 Dutch patients now receive these pharmacy-compounded CDCA capsules []. The pharmacy-compounded capsules are prepared manually using a dry powder blend of CDCA active pharmaceutical ingredient (API) and the single excipient silica (colloidal anhydrous). In comparison, the authorized product is produced automatically from granulated powder and contains the excipients maize starch, magnesium stearate, silica (colloidal anhydrous), and water [].
As described, little to no clinical data can be found on the pharmacokinetics of therapeutic CDCA. To be able to receive a marketing authorization, pharmacokinetic studies are mandatory, but for pharmacy preparations, this is not the case. To obtain a clear picture of the pharmacokinetics of therapeutic CDCA, we performed this randomized cross-over clinical trial in which the pharmacokinetic characteristics of the pharmacy-compounded CDCA capsules were investigated and compared with that of authorized CDCA capsules. Additionally, a bioequivalence analysis was performed. Lastly, the impact of single-dose CDCA administration on the bile acid profile in serums and on safety parameters was evaluated.
2. Materials and Methods
2.1. Trial Registration
The trial is registered in the Netherlands Trial Register with registration number NL9736, and was approved by medical ethics committee Academisch Medisch Centrum Amsterdam on 1 November 2021 (Eudra-CT: 2021-003823-14).
2.2. Study Design
The study was conducted at the Amsterdam UMC hospital following Good Clinical Practices (GCP) guidelines. The study was an open-label, single-center, randomized, two-period, two-sequence, cross-over study in healthy volunteers, to compare the pharmacy-compounded CDCA capsules with the authorized CDCA capsules. The study was set up according to the EMA Guideline on the Investigation of Bioequivalence to also be able to conduct additional bioequivalence analysis []. A cross-over design was chosen as it allowed each subject to act as their own control, reducing variability. Subjects were randomly allocated (1:1) by block randomization (block size: 2) to one of the two study arms and received a single oral dose of 250 mg CDCA of both products, separated by a wash-out period of at least one week []. Baseline level determination of CDCA in plasma was not deemed necessary. Although it is an endogenous substance, normal (free) serum levels are extremely low as CDCA is mostly confined in the enterohepatic circulation.
2.3. Test Product and Comparator Product
The test product, pharmacy-compounded CDCA 250 mg hard capsules, were developed and manufactured by the Amsterdam UMC hospital pharmacy under Good Manufacturing Practices (GMP) conditions and are clear gelatine capsules filled with 250 mg CDCA API and 0.5% silica (colloidal anhydrous) as a lubricant. For more information on product development, formulation, validation, production and dissolution, we refer to our earlier publication []. Authorized CDCA Leadiant 250 mg hard capsules (EU/1/16/1110/001) were used as the comparator product [].
2.4. Subjects
Healthy, non-smoking, non-medication-using, adult, male volunteers were included with a BMI between 18.5 and 30 kg/m2 and with no (history of) alcohol and/or drug abuse, gastrointestinal disease, metabolic or endocrine disease, liver disease, or gallbladder disease and/or removal. Subjects were not allowed to participate in another clinical study during or in the three months prior to the study. Informed consent was signed prior to the start of the study. Subjects were included until there were 12 evaluable subjects, according to the EMA Guideline on the Investigation of Bioequivalence. No formal sample size calculation was performed [].
2.5. Clinical Protocol and PK Sampling
The EMA guideline recommends to standardize diet, fluid intake and exercise []. The study was conducted in fasting state (at least 8 h prior to administration) to minimize variability. When ingested with food, absorption may be delayed but bioavailability is unaltered []. Subjects needed to abstain from food and drinks which may interact with circulatory, gastrointestinal, hepatic or renal function (e.g., alcoholic drinks or certain fruit juices such as grapefruit juice), from 24 h before to 6 h post administration. To standardize exercise, subjects were not allowed to exercise strenuously in the 24 h before administration, defined as more than one hour of exercise. The capsules were taken whole with 200 mL of water. During the study, drinking of water was allowed as desired, except for one hour before and one hour after drug administration. Food was not allowed. Blood sampling was performed at t = 0, 15, 30, 45, 60, 90, 120, 180, 240 and 360 min.
2.6. Bioanalytical Analysis
Serum CDCA, CA, DCA, LCA and UDCA levels were determined in free form and in conjugated form with LC-MS/MS by the ISO 15189:2012 certified laboratory of Genetic Metabolic Diseases of the Amsterdam UMC, essentially as described previously [].
2.7. Pharmacokinetic Analysis and Statistics
Analysis was performed on results of bile acids in free form, as this is expected to be more sensitive for detecting differences in bioavailability. To determine and compare the pharmacokinetic profile, the AUC(0–6h), AUC(0–∞), residual area, Cmax and tmax were determined using the Microsoft Excel add-in PKSolver non-compartmental analysis (linear up/log down, 4 points terminal slope). No cross-validation of results was performed. For statistical analysis and data visualization, GraphPad Prism 10.2.0 was used. Differences between the groups were tested with a paired parametric t-test (two-tailed p < 0.05). To investigate bioequivalence, AUC(0–6h) and Cmax were evaluated using RStudio version 2023.12.1 following the “nlme” package method as described by Park et al. []. For these parameters, the 90% confidence interval for the ratio of the test product and comparator should be contained within the acceptance interval of 80.00–125.00% to study bioequivalence.
2.8. Side Effects
Subjects were asked to report any experienced side effects and these were evaluated by the responsible physician to determine if they could be related to the treatment.
3. Results
3.1. Subject Demographics
In total 12 subjects were included, all of whom completed the study. Subject demographics are shown in Table 1.
Table 1.
Subject demographics (n = 12).
3.2. Pharmacokinetics
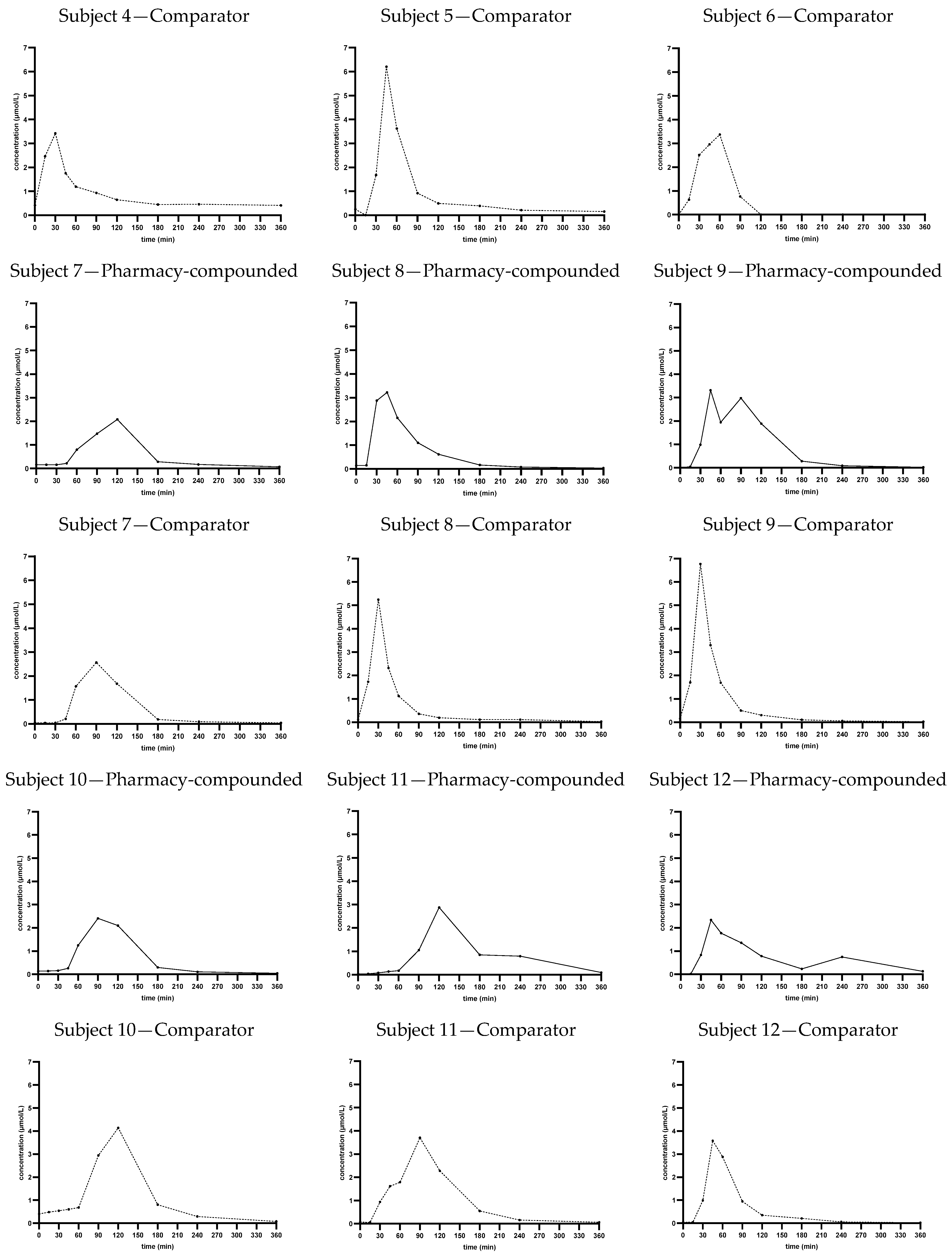
The average concentration time curves are shown in Figure 1. Individual concentration time curves of all 12 subjects on both treatments are shown in Appendix A Figure A1. The pharmacokinetic parameters AUC(0–6h), Cmax and tmax and their respective mean, standard deviation, range and 95% CI are calculated and shown in Table 2.
Figure 1.
Concentration–time curve of free CDCA in plasma, average of 12 subjects for each treatment. Standard deviation (SD) as error bars.
Table 2.
Pharmacokinetic parameters of the pharmacy-compounded capsules vs. the comparator capsules. Average of 12 subjects.
The average AUC(0–6h) for the compounded capsules and the comparator product was 262.4 µmol∙min/L and 248.0 µmol∙min/L, respectively. A visualization of all individual AUC(0–6h) values per subject is shown in Figure 2a. The average Cmax for the compounded capsules was 2.96 µmol/L and for the comparator product 4.42 µmol/L. Individual Cmax values are shown in Figure 2b. The average Cmax is calculated by taking the average of all individual Cmax values and is therefore different from the peak visually observed in the average concentration–time curve in Figure 1 but is clearly visible in Figure 2b. The average tmax for the compounded capsules was 66.4 min and for the comparator product 58.6 min. Individual tmax values are shown in Figure 2c.
Figure 2.
AUC(0–6h) (a), Cmax (b) and tmax (c) for individual subjects, pharmacy-compounded capsules vs. comparator product. Means shown as bars.
A t-test was used to compare the pharmacokinetic parameters of the two treatments and results are shown in Table 2. AUC(0–6h) and tmax showed no significant difference. The average Cmax of the comparator product was significantly higher than the Cmax of the pharmacy-compounded capsules (p = 0.0040).
The average concentration measured at t = 0 for both treatment groups is 0.17 ± 0.22 µmol/L, and 0.11 ± 0.20 µmol/L at t = 6 h. This shows that there are endogenous baseline levels, but they are low compared to the measured Cmax. The average concentration after 6 h is similar to the t = 0 concentration, showing that the latest sampling moment was chosen well. This can also be observed from Figure 1. However, due to the large variation, especially in the elimination phase of the curves, and due to the minimal endogenous CDCA baseline levels, the AUC(0–∞) and residual area could not be calculated as planned in a reliable way and therefore these results are not shown.
3.3. Bioequivalence Analysis
Results of bioequivalence analysis are shown in Table 3 and showed a 90% CI of 0.89–1.30 and 0.57–0.80 for AUC(0–6h) and Cmax, respectively. The treatment had a significant effect (p = 0.0021) on Cmax.
Table 3.
Results of analysis on AUC(0–6h) and Cmax for evaluation of bioequivalence using R “nlme” method.
3.4. Bile Acid Profile and Safety
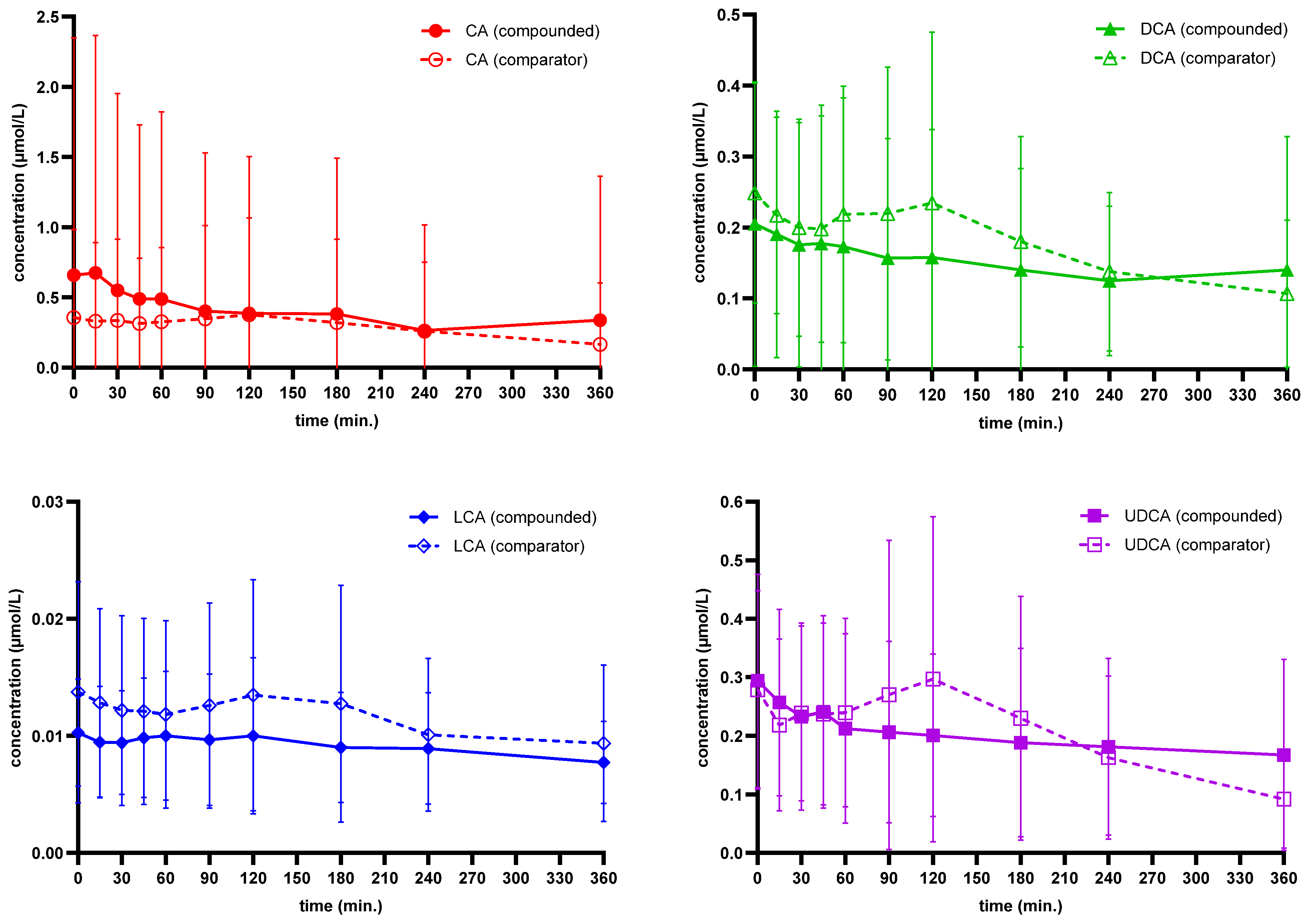
The concentration–time curves of free CA, DCA, LCA and UDCA after one-time oral administration of 250 mg CDCA are shown in Appendix A Figure A2. In one subject, high CA levels were observed, which contributed to the relatively high CA levels. There was not enough change in bile acid levels to reliably calculate AUCs and compare between the treatments.
One subject reported headache, dizziness and red rash (chest/neck) for 3 days after the pharmacy-compounded CDCA capsule was administered. This adverse event was evaluated by the responsible physician and judged as mildly severe and unlikely to be related to the treatment.
4. Discussion and Conclusions
With this study we provide the pharmacokinetic data of pharmacy-compounded CDCA capsules. As described in the introduction, limited research has been performed on the pharmacokinetics of therapeutic CDCA, and in the form of pharmacy-compounded capsules even less. Therefore, the results of this study provide a valuable insight into the pharmacokinetic profile of CDCA capsules. The pharmacokinetic parameters and the concentration–time curve of the capsules show that orally administered CDCA is well absorbed and further distributed and metabolized within 6 h. Comparing the pharmacy-compounded CDCA capsules to the authorized CDCA capsules, the average concentration–time curves for the two products appear similar and the average AUC(0–6h) and tmax are not significantly different, indicating that the two products show the same exposure rate and have a similar total absorption and bioavailability. The average tmax is similar and around 1 h after administration.
The average Cmax, however, shows a high variability and is significantly higher in the comparator product than in the pharmacy-compounded capsules, suggesting a lower absorption rate of the compounded capsules. This difference in Cmax is not observed looking at the average concentration–time curves in Figure 1, indicating also a high variation in tmax between individuals. This can be confirmed from the individual concentration–time curves in Appendix A Figure A1 and the plots in Figure 2. An explanation for the lower average Cmax would require additional investigation. It could be related to the formulation of the capsules, as the dry powder mixture with limited excipients from the pharmacy-compounded capsules can affect absorption differently than the wet granulation production method of the comparator product, leading to a lower absorption rate. However, this is only speculative. It is also possible that with more sampling time points around tmax, the Cmax can be determined more accurately and less or no significant difference might be observed.
Both the concentration–time curves and the pharmacokinetic parameters of the two products show a high standard deviation and a broad range, indicating that there is a high inter-subject variability for therapeutic CDCA. Considerable inter- and intra-subject variability in peak serum concentrations makes bioavailability comparison difficult. A cross-over study design was chosen to eliminate the interindividual variability factor; however, a large standard deviation was still observed. This might be explained by the fact that CDCA is an endogenous bile acid with a complex metabolism that is mainly confined in the enterohepatic circulation, making plasma levels less clinically relevant. CTX patients have reduced CDCA levels, and therefore the therapeutic effectiveness of CDCA can better be related to the concentration in bile than to plasma concentrations [,]. Therefore, the lower average Cmax of the compounded CDCA capsules is expected to have little clinical consequences. Most patients with CTX receive a chronic dose of 250 mg three times a day, making total exposure in the enterohepatic circulation more relevant than peak plasma concentrations. Also, as CDCA is an endogenous bile acid and individual Cmax plasma values already vary widely between individuals, the therapeutic window is likely not that narrow. These factors mean that this study is not directly applicable to patients with CTX undergoing chronic treatment. This study focuses on the investigation and comparison of the pharmacokinetics after a single dose. Under controlled conditions such as this clinical study, the AUC(0–6h) can be used for bioavailability comparison []. As the average AUC(0–6h) is not significantly different between the treatments, we can conclude that the bioavailability of the two products is similar.
Additionally, bioequivalence analysis was performed to investigate if bioequivalence can be demonstrated based on the data from this study. Results show that the 90% confidence intervals of the ratio of the AUC(0–6h) and the Cmax of the pharmacy-compounded capsules and the comparator product are not within the acceptance criterium of 80.00–125.00% []. Even for AUC(0–6h), which has a similar mean which is not significantly different, the confidence interval is too wide. This is probably due to the high variability as discussed earlier. A larger sample size would normally narrow the confidence interval if the AUCs(0–6h) are indeed similar. Bioequivalence analysis did demonstrate a significant effect of the treatment on Cmax and confirmed that the compounded capsules have a lower Cmax. A different study set-up would be required to properly investigate bioequivalence. However, that was not the goal of this study and the pharmacy-compounded capsules were not developed to be bioequivalent to the authorized product, but to provide our CTX patients with a qualitative CDCA treatment.
Lastly, the effect of a one-time oral dose of 250 mg CDCA on other bile acids and on side effects was investigated. Little changes are observed in other bile acids, which is also not to be expected after a single dose. One adverse event occurred during the study, but was evaluated as unrelated to the treatment.
To make this study feasible for a hospital pharmacy, various choices were made in the study set-up. Firstly, the study was performed with the minimum required number of healthy volunteers according to the EMA guideline for bioequivalence. However, in hindsight, since we found a high variability, a larger sample size would be desirable to narrow confidence intervals and thereby strengthen conclusions. Since little information was available on the pharmacokinetics of therapeutic CDCA, our results might be helpful in sample size calculations for future studies.
Also, no baseline correction was performed for endogenous plasma CDCA levels. Extremely low baseline levels in plasma were expected as CDCA is mostly confined in the enterohepatic circulation. If substantial increases over baseline endogenous levels are seen, baseline correction may not be needed. On average we found CDCA plasma levels at t = 0 of 4.6% of the average Cmax. Although the found endogenous levels are indeed low, performing a baseline correction might have strengthened our conclusions.
Furthermore, we chose to perform this study groups that were standardized as much as possible (fasted healthy male volunteers in a cross-over setting) to be able to compare the two treatments as well as possible in a small group. This resulted in exclusion of female participants, which is a limitation as sex-related pharmacokinetic differences were not investigated. For future studies, it would be interesting to also include females for potential sex impact, and to include subjects in fasted versus non-fasted state to investigate the effects of food. Lastly, to be able to translate results to clinical practice, it would be useful to perform a pharmacokinetic study in CTX patients.
In conclusion, the pharmacokinetic profile of the pharmacy-compounded CDCA capsules shows that the product is well absorbed and that there is high variability in absorption rate and Cmax between individuals. The average AUC(0–6h) is not significantly different between the compounded capsules compared to the registered product, indicating a similar extent of absorption.
Author Contributions
Conceptualization: B.A.W.J. and E.M.K.; Formal Analysis: N.B. and B.A.W.J.; Funding Acquisition: C.E.M.H. and E.M.K.; Investigation: C.E.M.H., E.L.S., E.M.K., N.B., S.M. and F.M.V.; Project Administration: N.B. and S.M.; Resources: N.B., S.M., F.M.V., E.L.S. and E.M.K.; Supervision: N.B., B.A.W.J. and E.M.K.; Validation: B.A.W.J.; Visualization: N.B.; Writing—Original Draft Preparation: N.B.; Writing—Review and Editing: N.B., B.A.W.J., S.M. and F.M.V. All authors have read and agreed to the published version of the manuscript.
Funding
This work was supported by the Nationale Postcode Loterij as a part of the platform Medicines for Society.
Data Availability Statement
Data available on request from the authors.
Conflicts of Interest
The authors declare the following financial interests/personal relationships which may be considered as potential competing interests: E. Marleen Kemper and Carla E.M. Hollak report that financial support was provided by Nationale Postcode Loterij. Frederic M. Vaz has patent #PCT/EP2018/055236 issued to Amsterdam UMC. If there are other authors, they declare that they have no known competing financial interests or personal relationships that could have appeared to influence the work reported in this paper.
Appendix A

Figure A1.
Individual concentration time curves of free CDCA in plasma over time of all 12 subjects and both treatments.
Figure A2.
Concentration–time curves of CA, DCA, LCA and UDCA after oral administration of 250 mg CDCA, compounded capsules vs. comparator capsules. Average of 12 subjects. SD as error bars.
References
- Fiorucci, S.; Distrutti, E. Chenodeoxycholic Acid: An Update on Its Therapeutic Applications. In Bile Acids and Their Receptors; Handbook of Experimental Pharmacology; Springer: Cham, Switzerland, 2019; Volume 256, pp. 265–282. [Google Scholar] [CrossRef]
- Fiorucci, S.; Distrutti, E. The Pharmacology of Bile Acids and Their Receptors. In Bile Acids and Their Receptors; Handbook of Experimental Pharmacology; Springer: Cham, Switzerland, 2019; Volume 256, pp. 3–18. [Google Scholar] [CrossRef]
- Federico, A.; Gallus, G.N. Cerebrotendinous Xanthomatosis. In GeneReviews® [Internet]; Adam, M.P., Bick, S., Mirzaa, G.M., Pagon, R.A., Wallace, S.E., Amemiya, A., Eds.; University of Washington: Seattle, WA, USA, 2003; pp. 1993–2023. [Google Scholar]
- Stelten, B.M.L.; Lycklama, A.N.G.J.; Hendriks, E.; Kluijtmans, L.A.J.; Wevers, R.A.; Verrips, A. Long-term MRI Findings in Patients with Cerebrotendinous Xanthomatosis Treated With Chenodeoxycholic Acid. Neurology 2022, 99, 559–566. [Google Scholar] [CrossRef] [PubMed]
- Crosignani, A.; Setchell, K.D.; Invernizzi, P.; Larghi, A.; Rodrigues, C.M.; Podda, M. Clinical pharmacokinetics of therapeutic bile acids. Clin. Pharmacokinet. 1996, 30, 333–358. [Google Scholar] [CrossRef] [PubMed]
- Leadiant GmbH. Chenodeoxycholic Acid Leadiant: EPAR—Product Information. 2017. Available online: https://www.ema.europa.eu/en/documents/product-information/chenodeoxycholic-acid-leadiant-epar-product-information_en.pdf (accessed on 15 December 2021).
- Iser, J.H.; Sali, A. Chenodeoxycholic acid: A review of its pharmacological properties and therapeutic use. Drugs 1981, 21, 90–119. [Google Scholar] [CrossRef] [PubMed]
- Sheldon, T. Dutch hospital makes own drug for rare condition after manufacturer hikes price to €170 000. BMJ 2018, 361, k2103. [Google Scholar] [CrossRef] [PubMed]
- EMA. Guideline on the Investigation of Bioequivalence (Rev.1); EMA: London, UK, 2010.
- Bouwhuis, N.; Jacobs, B.A.W.; Kemper, E.M. Product development and quality of pharmacy compounded chenodeoxycholic acid capsules for Dutch cerebrotendinous xanthomatosis patients. Front. Pharmacol. 2023, 14, 1264997. [Google Scholar] [CrossRef] [PubMed]
- Bootsma, A.H.; Overmars, H.; van Rooij, A.; van Lint, A.E.; Wanders, R.J.; van Gennip, A.H.; Vreken, P. Rapid analysis of conjugated bile acids in plasma using electrospray tandem mass spectrometry: Application for selective screening of peroxisomal disorders. J. Inherit. Metab. Dis. 1999, 22, 307–310. [Google Scholar] [CrossRef] [PubMed]
- Park, G.; Kim, H.; Bae, K.S. Bioequivalence data analysis. Transl. Clin. Pharmacol. 2020, 28, 175–180. [Google Scholar] [CrossRef] [PubMed]
Disclaimer/Publisher’s Note: The statements, opinions and data contained in all publications are solely those of the individual author(s) and contributor(s) and not of MDPI and/or the editor(s). MDPI and/or the editor(s) disclaim responsibility for any injury to people or property resulting from any ideas, methods, instructions or products referred to in the content. |
© 2025 by the authors. Licensee MDPI, Basel, Switzerland. This article is an open access article distributed under the terms and conditions of the Creative Commons Attribution (CC BY) license (https://creativecommons.org/licenses/by/4.0/).