A Novel Curcumin-Mycophenolic Acid Conjugate Inhibited Hyperproliferation of Tumor Necrosis Factor-Alpha-Induced Human Keratinocyte Cells
Abstract
1. Introduction
2. Materials and Methods
2.1. Materials
2.2. Synthesis of the MPA-CUR Conjugate
2.3. Structural Elucidation of MPA-CUR
2.4. Determination of a Non-Cytotoxic Concentration of MPA-CUR against Caco-2 Cells
2.5. Preparation of Bioavailable Fractions of MPA-CUR
2.6. Cell Culture
2.6.1. Direct Treatment
2.6.2. BF Treatment
2.6.3. Antiproliferation Assay
2.7. Anti-Inflammatory Assay
2.8. Quantification of IL-6, IL-8, IL-1β by ELISA
2.9. Western Blot Analysis
2.10. Statistical Analysis
3. Results and Discussion
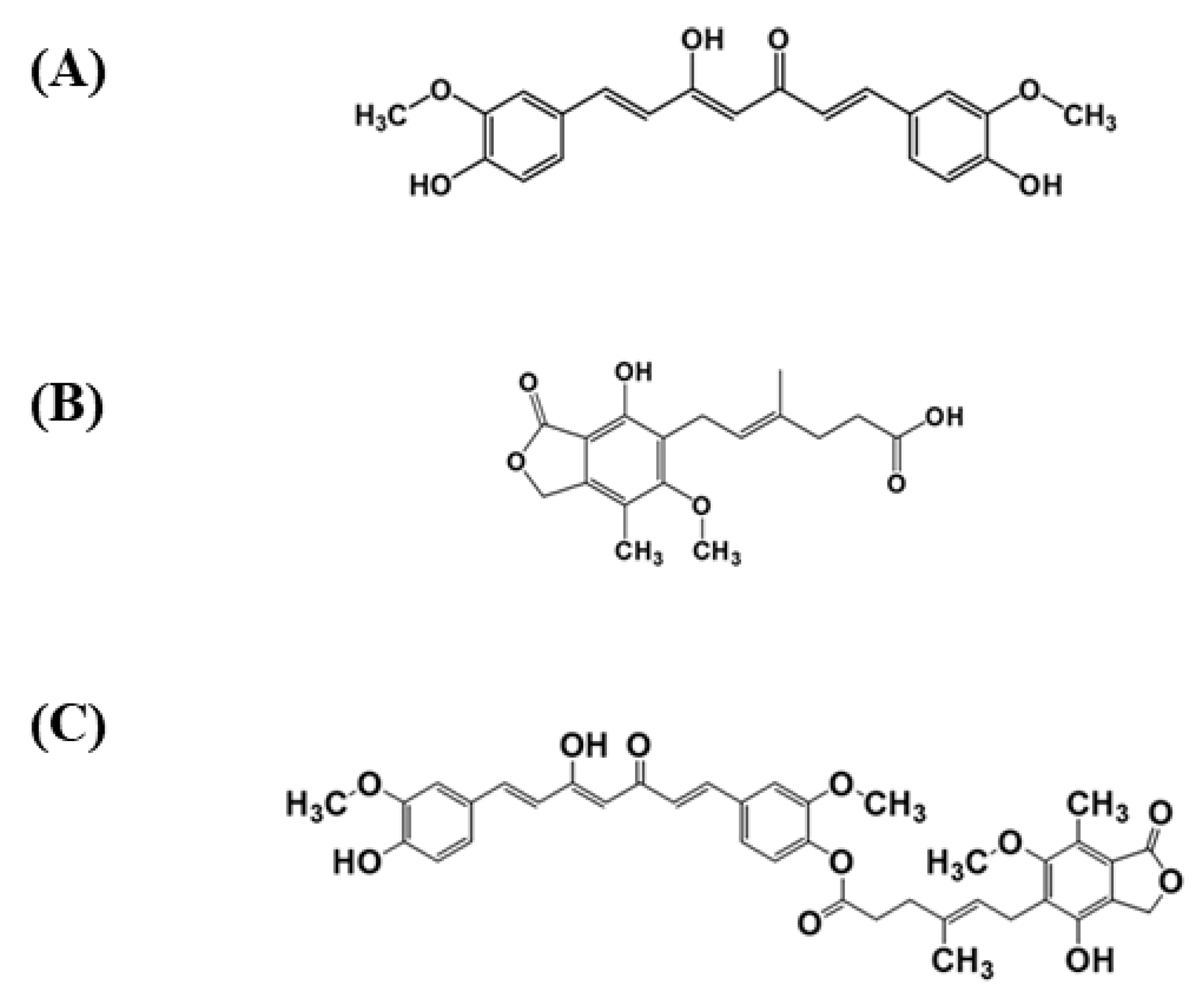
3.1. Design and Synthesis of MPA-CUR
3.2. Structural Elucidation of MPA-CUR
3.3. Antiproliferative Effect of MPA-CUR
3.4. MPA-CUR Inhibited the Production of Inflammatory Cytokines
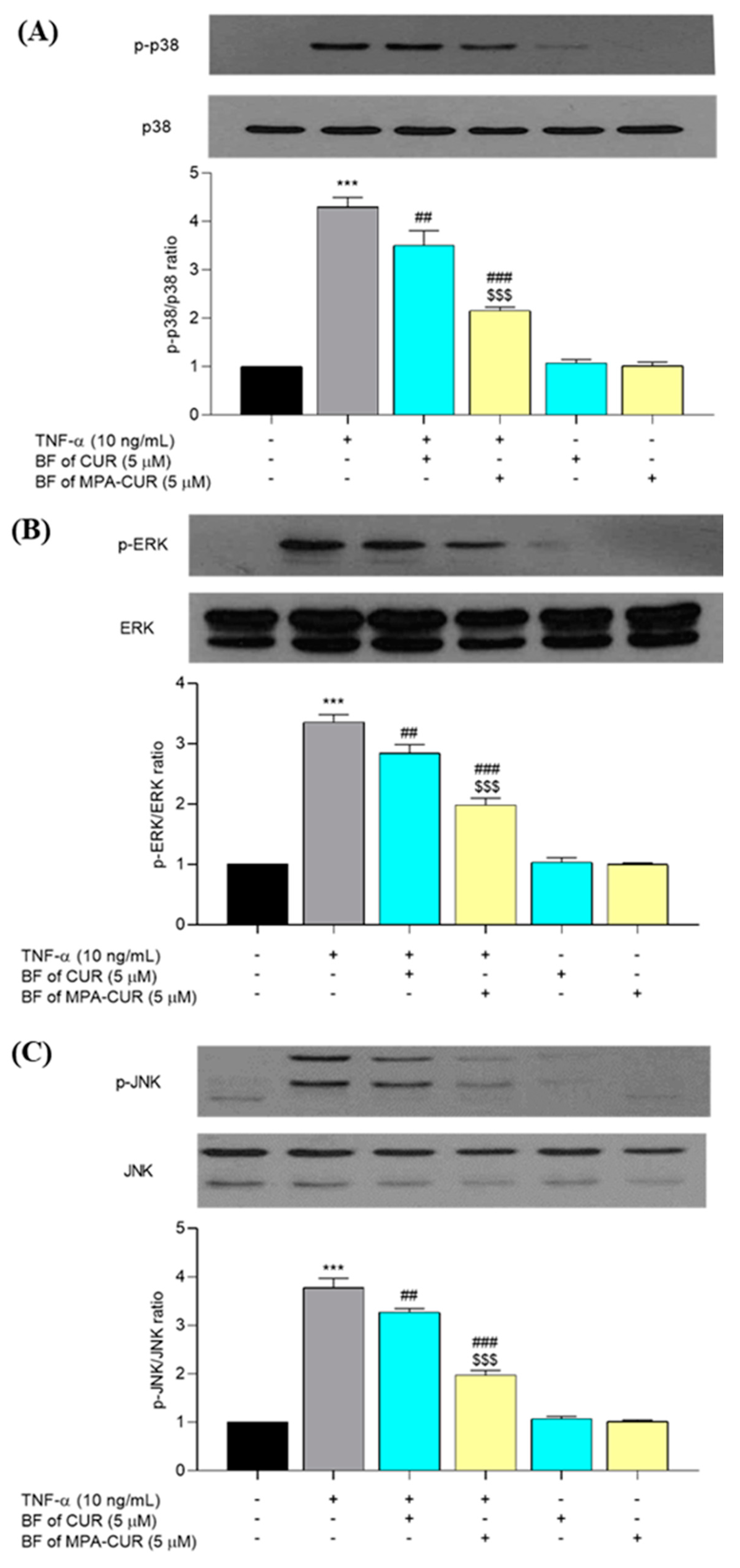
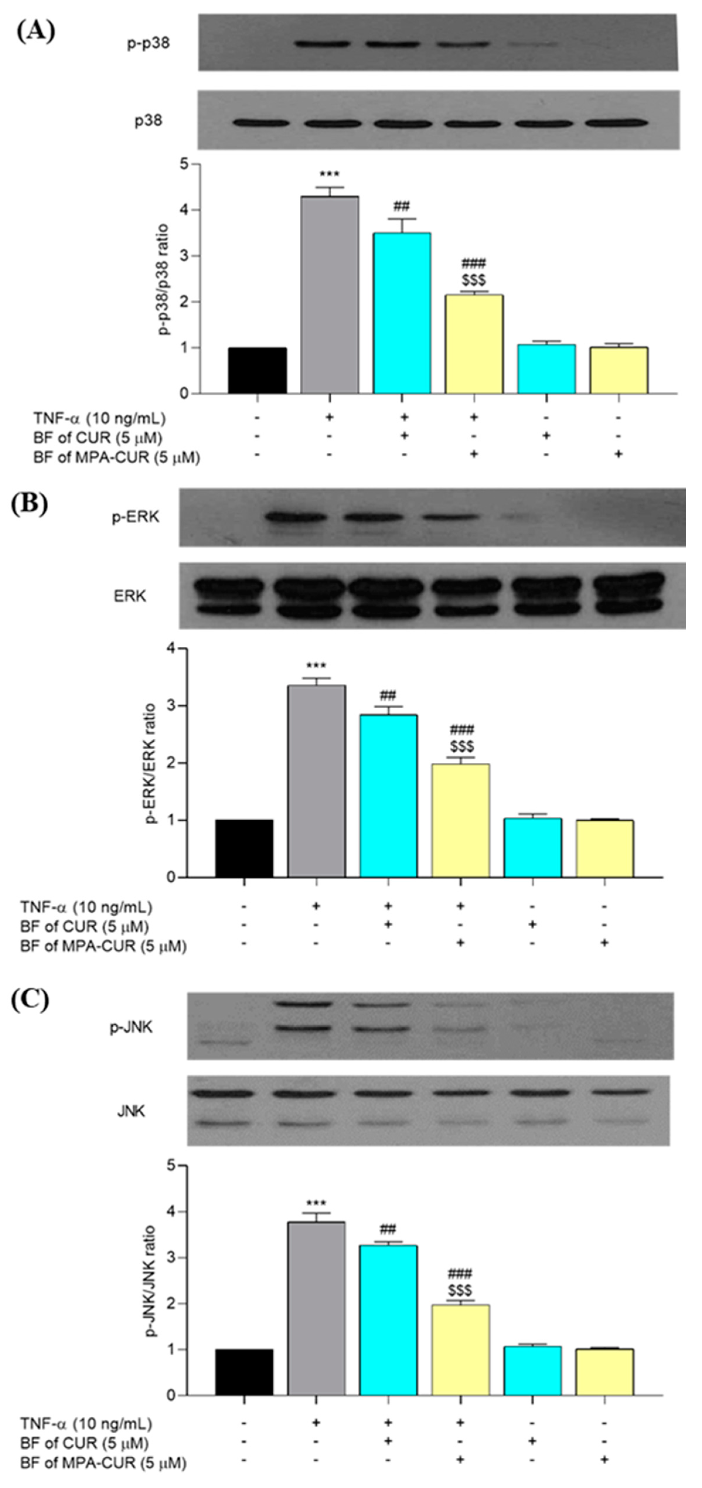
3.5. MPA-CUR Inhibited the p38, ERK, and JNK Phosphorylation
4. Conclusions
Supplementary Materials
Author Contributions
Funding
Institutional Review Board Statement
Informed Consent Statement
Data Availability Statement
Acknowledgments
Conflicts of Interest
References
- Varma, S.R.; Sivaprakasam, T.O.; Mishra, A.; Prabhu, S.; Rafiq, M.; Rangesh, P. Imiquimod-induced psoriasis-like inflammation in differentiated Human keratinocytes: Its evaluation using curcumin. Eur. J. Pharmacol. 2017, 813, 33–41. [Google Scholar] [CrossRef]
- Di, L.; Kerns, E.H.; Hong, Y.; Chen, H. Development and application of high throughput plasma stability assay for drug discovery. Int. J. Pharm. 2005, 297, 110–119. [Google Scholar] [CrossRef]
- Bai, F.; Zheng, W.; Dong, Y.; Wang, J.; Garstka, M.A.; Li, R.; An, J.; Ma, H. Serum levels of adipokines and cytokines in psoriasis patients: A systematic review and meta-analysis. Oncotarget 2018, 9, 1266–1278. [Google Scholar] [CrossRef] [PubMed]
- Baliwag, J.; Barnes, D.H.; Johnston, A. Cytokines in psoriasis. Cytokine 2015, 73, 342–350. [Google Scholar] [CrossRef] [PubMed]
- Kim, M.Y.; Lim, Y.Y.; Kim, H.M.; Park, Y.M.; Kang, H.; Kim, B.J. Synergistic Inhibition of Tumor Necrosis Factor-Alpha-Stimulated Pro-Inflammatory Cytokine Expression in HaCaT Cells by a Combination of Rapamycin and Mycophenolic Acid. Ann. Dermatol. 2015, 27, 32–39. [Google Scholar] [CrossRef]
- Nedoszytko, B.; Sokolowska-Wojdylo, M.; Ruckemann-Dziurdzinska, K.; Roszkiewicz, J.; Nowicki, R.J. Chemokines and cytokines network in the pathogenesis of the inflammatory skin diseases: Atopic dermatitis, psoriasis and skin mastocytosis. Postepy Dermatol. Alergol. 2014, 31, 84–91. [Google Scholar] [CrossRef]
- Dias, D.A.; Urban, S.; Roessner, U. A historical overview of natural products in drug discovery. Metabolites 2012, 2, 303–336. [Google Scholar] [CrossRef]
- Lautie, E.; Russo, O.; Ducrot, P.; Boutin, J.A. Unraveling Plant Natural Chemical Diversity for Drug Discovery Purposes. Front. Pharmacol. 2020, 11, 397. [Google Scholar] [CrossRef]
- Ekiert, H.M.; Szopa, A. Biological Activities of Natural Products. Molecules 2020, 25, 5769. [Google Scholar] [CrossRef] [PubMed]
- Kocaadam, B.; Sanlier, N. Curcumin, an active component of turmeric (Curcuma longa), and its effects on health. Crit. Rev. Food Sci. Nutr. 2017, 57, 2889–2895. [Google Scholar] [CrossRef] [PubMed]
- Kang, D.; Li, B.; Luo, L.; Jiang, W.; Lu, Q.; Rong, M.; Lai, R. Curcumin shows excellent therapeutic effect on psoriasis in mouse model. Biochimie 2016, 123, 73–80. [Google Scholar] [CrossRef] [PubMed]
- Cho, J.W.; Lee, K.S.; Kim, C.W. Curcumin attenuates the expression of IL-1beta, IL-6, and TNF-alpha as well as cyclin E in TNF-alpha-treated HaCaT cells; NF-kappaB and MAPKs as potential upstream targets. Int. J. Mol. Med. 2007, 19, 469–474. [Google Scholar] [PubMed]
- Supasena, W.; Muangnoi, C.; Thaweesest, W.; Songkram, C.; Ueda, K.; Higashi, K.; Moribe, K.; Tanasupawat, S.; Rojsitthisak, P. Enhanced Antipsoriatic Activity of Mycophenolic Acid Against the TNF-alpha-Induced HaCaT Cell Proliferation by Conjugated Poloxamer Micelles. J. Pharm. Sci. 2020, 109, 1153–1160. [Google Scholar] [CrossRef] [PubMed]
- Jonsson, C.A.; Carlsten, H. Mycophenolic acid inhibits inosine 5′-monophosphate dehydrogenase and suppresses production of pro-inflammatory cytokines, nitric oxide, and LDH in macrophages. Cell. Immunol. 2002, 216, 93–101. [Google Scholar] [CrossRef]
- Beduschi, M.G.; Guimaraes, C.L.; Buss, Z.S.; Dalmarco, E.M. Mycophenolate mofetil has potent anti-inflammatory actions in a mouse model of acute lung injury. Inflammation 2013, 36, 729–737. [Google Scholar] [CrossRef] [PubMed]
- Rapalli, V.K.; Singhvi, G.; Dubey, S.K.; Gupta, G.; Chellappan, D.K.; Dua, K. Emerging landscape in psoriasis management: From topical application to targeting biomolecules. Biomed. Pharmacother. 2018, 106, 707–713. [Google Scholar] [CrossRef]
- Torsekar, R.; Gautam, M.M. Topical Therapies in Psoriasis. Indian Dermatol. Online J. 2017, 8, 235–245. [Google Scholar] [CrossRef]
- Meng, S.; Lin, Z.; Wang, Y.; Wang, Z.; Li, P.; Zheng, Y. Psoriasis therapy by Chinese medicine and modern agents. Chin. Med. 2018, 13, 16. [Google Scholar] [CrossRef]
- Tobin, A.M.; Kirby, B. TNF alpha inhibitors in the treatment of psoriasis and psoriatic arthritis. BioDrugs 2005, 19, 47–57. [Google Scholar] [CrossRef]
- Tonel, G.; Conrad, C. Interplay between keratinocytes and immune cells—Recent insights into psoriasis pathogenesis. Int. J. Biochem. Cell Biol. 2009, 41, 963–968. [Google Scholar] [CrossRef]
- Kelly, J.B., 3rd; Foley, P.; Strober, B.E. Current and future oral systemic therapies for psoriasis. Dermatol. Clin. 2015, 33, 91–109. [Google Scholar] [CrossRef]
- Wcislo-Dziadecka, D.; Zbiciak-Nylec, M.; Brzezinska-Wcislo, L.; Mazurek, U. TNF-alpha in a molecularly targeted therapy of psoriasis and psoriatic arthritis. Postgrad. Med. J. 2016, 92, 172–178. [Google Scholar] [CrossRef]
- Lau, W.M.; Ng, K.W.; White, A.W.; Heard, C.M. Therapeutic and cytotoxic effects of the novel antipsoriasis codrug, naproxyl-dithranol, on HaCaT cells. Mol. Pharm. 2011, 8, 2398–2407. [Google Scholar] [CrossRef] [PubMed]
- Menter, A.; Griffiths, C.E. Current and future management of psoriasis. Lancet 2007, 370, 272–284. [Google Scholar] [CrossRef]
- Aljuffali, I.A.; Lin, C.F.; Chen, C.H.; Fang, J.Y. The codrug approach for facilitating drug delivery and bioactivity. Expert Opin. Drug Deliv. 2016, 13, 1311–1325. [Google Scholar] [CrossRef]
- Ratnatilaka Na Bhuket, P.; El-Magboub, A.; Haworth, I.S.; Rojsitthisak, P. Enhancement of Curcumin Bioavailability Via the Prodrug Approach: Challenges and Prospects. Eur. J. Drug Metab. Pharmacokinet. 2017, 42, 341–353. [Google Scholar] [CrossRef]
- Muangnoi, C.; Jithavech, P.; Ratnatilaka Na Bhuket, P.; Supasena, W.; Wichitnithad, W.; Towiwat, P.; Niwattisaiwong, N.; Haworth, I.S.; Rojsitthisak, P. A curcumin-diglutaric acid conjugated prodrug with improved water solubility and antinociceptive properties compared to curcumin. Biosci. Biotechnol. Biochem. 2018, 82, 1301–1308. [Google Scholar] [CrossRef] [PubMed]
- Wichitnithad, W.; Nimmannit, U.; Wacharasindhu, S.; Rojsitthisak, P. Synthesis, characterization and biological evaluation of succinate prodrugs of curcuminiods for colon cancer treatment. Molecule 2011, 16, 1888–1900. [Google Scholar] [CrossRef]
- Davies, N.M.; Grinyo, J.; Heading, R.; Maes, B.; Meier-Kriesche, H.U.; Oellerich, M. Gastrointestinal side effects of mycophenolic acid in renal transplant patients: A reappraisal. Nephrol. Dial. Transplant. 2007, 22, 2440–2448. [Google Scholar] [CrossRef]
- Chopade, S.S.; Dhaneshwar, S.S. Determination of the mitigating effect of colon-specific bioreversible codrugs of mycophenolic acid and aminosugars in an experimental colitis model in Wistar rats. World J. Gastroenterol. 2018, 24, 1093–1106. [Google Scholar] [CrossRef]
- Kochappan, R.; Cao, E.; Han, S.; Hu, L.; Quach, T.; Senyschyn, D.; Ferreira, V.I.; Lee, G.; Leong, N.; Sharma, G.; et al. Targeted delivery of mycophenolic acid to the mesenteric lymph node using a triglyceride mimetic prodrug approach enhances gut-specific immunomodulation in mice. J. Control. Release 2021, 332, 636–651. [Google Scholar] [CrossRef] [PubMed]
- Wichitnithad, W.; Nimmannit, U.; Callery, P.S.; Rojsitthisak, P. Effects of different carboxylic ester spacers on chemical stability, release characteristics, and anticancer activity of mono-PEGylated curcumin conjugates. J. Pharm. Sci. 2011, 100, 5206–5218. [Google Scholar] [CrossRef]
- Dempe, J.S.; Scheerle, R.K.; Pfeiffer, E.; Metzler, M. Metabolism and permeability of curcumin in cultured Caco-2 cells. Mol. Nutr. Food Res. 2013, 57, 1543–1549. [Google Scholar] [CrossRef]
- Anand, P.; Kunnumakkara, A.B.; Newman, R.A.; Aggarwal, B.B. Bioavailability of curcumin: Problems and promises. Mol. Pharm. 2007, 4, 807–818. [Google Scholar] [CrossRef] [PubMed]
- Franklin, T.J.; Jacobs, V.; Jones, G.; Ple, P.; Bruneau, P. Glucuronidation associated with intrinsic resistance to mycophenolic acid in human colorectal carcinoma cells. Cancer Res. 1996, 56, 984–987. [Google Scholar] [PubMed]
- Franklin, T.J.; Jacobs, V.N.; Jones, G.; Ple, P. Human colorectal carcinoma cells in vitro as a means to assess the metabolism of analogs of mycophenolic acid. Drug Metab. Dispos. 1997, 25, 367–370. [Google Scholar]
- Hassib, S.T.; Hassan, G.S.; El-Zaher, A.A.; Fouad, M.A.; Abd El-Ghafar, O.A.; Taha, E.A. Synthesis and biological evaluation of new prodrugs of etodolac and tolfenamic acid with reduced ulcerogenic potential. Eur. J. Pharm. Sci. 2019, 140, 105101. [Google Scholar] [CrossRef]
- Nesterkina, M.; Kravchenko, I. Synthesis and Pharmacological Properties of Novel Esters Based on Monocyclic Terpenes and GABA. Pharmaceutics 2016, 9, 32. [Google Scholar] [CrossRef]
- Tsakos, M.; Schaffert, E.S.; Clement, L.L.; Villadsen, N.L.; Poulsen, T.B. Ester coupling reactions—An enduring challenge in the chemical synthesis of bioactive natural products. Nat. Prod. Rep. 2015, 32, 605–632. [Google Scholar] [CrossRef]
- Laali, K.K.; Zwarycz, A.T.; Beck, N.; Borosky, G.L.; Nukaya, M.; Kennedy, G.D. Curcumin Conjugates of Non-steroidal Anti-Inflammatory Drugs: Synthesis, Structures, Anti-proliferative Assays, Computational Docking, and Inflammatory Response. ChemistryOpen 2020, 9, 822–834. [Google Scholar] [CrossRef]
- Feng, Y.; Coward, J.K. Prodrug forms of N-[(4-deoxy-4-amino-10-methyl)pteroyl]glutamate-gamma-[psiP(O)(OH)]-glutarate, a potent inhibitor of folylpoly-gamma-glutamate synthetase: Synthesis and hydrolytic stability. J. Med. Chem. 2006, 49, 770–788. [Google Scholar] [CrossRef][Green Version]
- Srivastava, S.; Gupta, P.; Sethi, A.; Singh, R.P. One pot synthesis of Curcumin-NSAIDs prodrug, spectroscopic characterization, conformational analysis, chemical reactivity, intramolecular interactions and first order hyperpolarizability by DFT method. J. Mol. Struct. 2016, 1117, 173–180. [Google Scholar] [CrossRef]
- Qasim, M.; Rahman, H.; Ahmed, R.; Oellerich, M.; Asif, A.R. Mycophenolic acid mediated disruption of the intestinal epithelial tight junctions. Exp. Cell Res. 2014, 322, 277–289. [Google Scholar] [CrossRef]
- Muangnoi, C.; Ratnatilaka Na Bhuket, P.; Jithavech, P.; Supasena, W.; Paraoan, L.; Patumraj, S.; Rojsitthisak, P. Curcumin diethyl disuccinate, a prodrug of curcumin, enhances anti-proliferative effect of curcumin against HepG2 cells via apoptosis induction. Sci. Rep. 2019, 9, 11718. [Google Scholar] [CrossRef]
- Ohura, K.; Nishiyama, H.; Saco, S.; Kurokawa, K.; Imai, T. Establishment and Characterization of a Novel Caco-2 Subclone with a Similar Low Expression Level of Human Carboxylesterase 1 to Human Small Intestine. Drug Metab. Dispos. 2016, 44, 1890–1898. [Google Scholar] [CrossRef] [PubMed]
- Ferreira, P.C.L.; Thiesen, F.V.; Pereira, A.G.; Zimmer, A.R.; Froehlich, P.E. A short overview on mycophenolic acid pharmacology and pharmacokinetics. Clin. Transplant. 2020, 34, e13997. [Google Scholar] [CrossRef] [PubMed]
- Sun, J.; Han, J.; Zhao, Y.; Zhu, Q.; Hu, J. Curcumin induces apoptosis in tumor necrosis factor-alpha-treated HaCaT cells. Int. Immunopharmacol. 2012, 13, 170–174. [Google Scholar] [CrossRef]
- Baer, P.C.; Wegner, B.; Geiger, H. Effects of mycophenolic acid on IL-6 expression of human renal proximal and distal tubular cells in vitro. Nephrol. Dial. Transplant. 2004, 19, 47–52. [Google Scholar] [CrossRef] [PubMed]
- Hewlings, S.J.; Kalman, D.S. Curcumin: A Review of Its Effects on Human Health. Foods 2017, 6, 92. [Google Scholar] [CrossRef]







| Position | 1H-NMR (ppm) | 13C-NMR (ppm) |
|---|---|---|
| 1, 10 | - | 171.17, 172.97 |
| 2, 3 | 2.70 (t, J = 7.6 Hz), 2.47 (t, J = 7.6 Hz) | 32.77, 34.59 |
| 4, 7,12, 4′, 14′ | - | 127.58, 123.07, 144.07, 139.42, 124.22 |
| 5 | 5.36 (t, J = 6.6 Hz) | 122.1 |
| 6 | 3.45 (d, J = 6.9 Hz) | 22.66 |
| 8, 14, 17′, 18′ | - | 153.65, 163.72, 141.25, 146.83 |
| 9, 13 | - | 106.39, 116.77 |
| 11, 16 | 5.22 (s), 3.79 (s) | 70.07, 61.04 |
| 15, 17 | 1.89 (s), 2.17 (s) | 16.17, 11.6 |
| 1′, 2′ | - | 141.11, 151.41 |
| 3′, 5′ | 7.15 (m), 7.10 (m) | 109.68, 114.87 |
| Position | 1H-NMR (ppm) | 13C-NMR (in ppm) |
| 6′, 16′ | 6.96 (t, J = 16.6 Hz), 6.99 (t, J = 16.6 Hz) | 123.07, 111.42 |
| 7′ | 7.62 (dd, J = 15.9 Hz) | 133.95 |
| 8′ | 6.58 (t, J = 16.6 Hz) | 120.89 |
| 9′ | - | 184.48 |
| 10′ | 5.85 (s) | 101.54 |
| 11′ | - | 181.87 |
| 12′ | 6.53 (t, J = 16.6 Hz) | 123.07 |
| 13′ | 7.56 (dd, J = 15.8 Hz) | 148.02 |
| 15′, 19′ | 7.07 (m), 7.13 (m) | 121.8, 109.68 |
| 20′, 21′ | 3.97 (s), 3.86 (s) | 55.99, 55.91 |
| Enolic proton | 7.72 (s) | - |
Publisher’s Note: MDPI stays neutral with regard to jurisdictional claims in published maps and institutional affiliations. |
© 2021 by the authors. Licensee MDPI, Basel, Switzerland. This article is an open access article distributed under the terms and conditions of the Creative Commons Attribution (CC BY) license (https://creativecommons.org/licenses/by/4.0/).
Share and Cite
Yuyun, Y.; Ratnatilaka Na Bhuket, P.; Supasena, W.; Suwattananuruk, P.; Praengam, K.; Vajragupta, O.; Muangnoi, C.; Rojsitthisak, P. A Novel Curcumin-Mycophenolic Acid Conjugate Inhibited Hyperproliferation of Tumor Necrosis Factor-Alpha-Induced Human Keratinocyte Cells. Pharmaceutics 2021, 13, 956. https://doi.org/10.3390/pharmaceutics13070956
Yuyun Y, Ratnatilaka Na Bhuket P, Supasena W, Suwattananuruk P, Praengam K, Vajragupta O, Muangnoi C, Rojsitthisak P. A Novel Curcumin-Mycophenolic Acid Conjugate Inhibited Hyperproliferation of Tumor Necrosis Factor-Alpha-Induced Human Keratinocyte Cells. Pharmaceutics. 2021; 13(7):956. https://doi.org/10.3390/pharmaceutics13070956
Chicago/Turabian StyleYuyun, Yonelian, Pahweenvaj Ratnatilaka Na Bhuket, Wiwat Supasena, Piyapan Suwattananuruk, Kemika Praengam, Opa Vajragupta, Chawanphat Muangnoi, and Pornchai Rojsitthisak. 2021. "A Novel Curcumin-Mycophenolic Acid Conjugate Inhibited Hyperproliferation of Tumor Necrosis Factor-Alpha-Induced Human Keratinocyte Cells" Pharmaceutics 13, no. 7: 956. https://doi.org/10.3390/pharmaceutics13070956
APA StyleYuyun, Y., Ratnatilaka Na Bhuket, P., Supasena, W., Suwattananuruk, P., Praengam, K., Vajragupta, O., Muangnoi, C., & Rojsitthisak, P. (2021). A Novel Curcumin-Mycophenolic Acid Conjugate Inhibited Hyperproliferation of Tumor Necrosis Factor-Alpha-Induced Human Keratinocyte Cells. Pharmaceutics, 13(7), 956. https://doi.org/10.3390/pharmaceutics13070956

