Drying Behavior and Kinetics of Drying Process of Plant-Based Enteric Hard Capsules
Abstract
1. Introduction
2. Materials and Methods
2.1. Materials
2.2. Methods
2.2.1. Preparation of Plant-Based Enteric Hard Capsule
2.2.2. Drying Process
2.2.3. Quality Measurement
The Breakage Test
The Disintegration Time Test
The Storage Stability Test
2.2.4. SEM
2.2.5. Modeling of the Thin-Layer Drying Data
2.2.6. Calculation of the Effective Moisture Diffusivity
2.2.7. Calculation of the Activation Energy
3. Results and Discussion
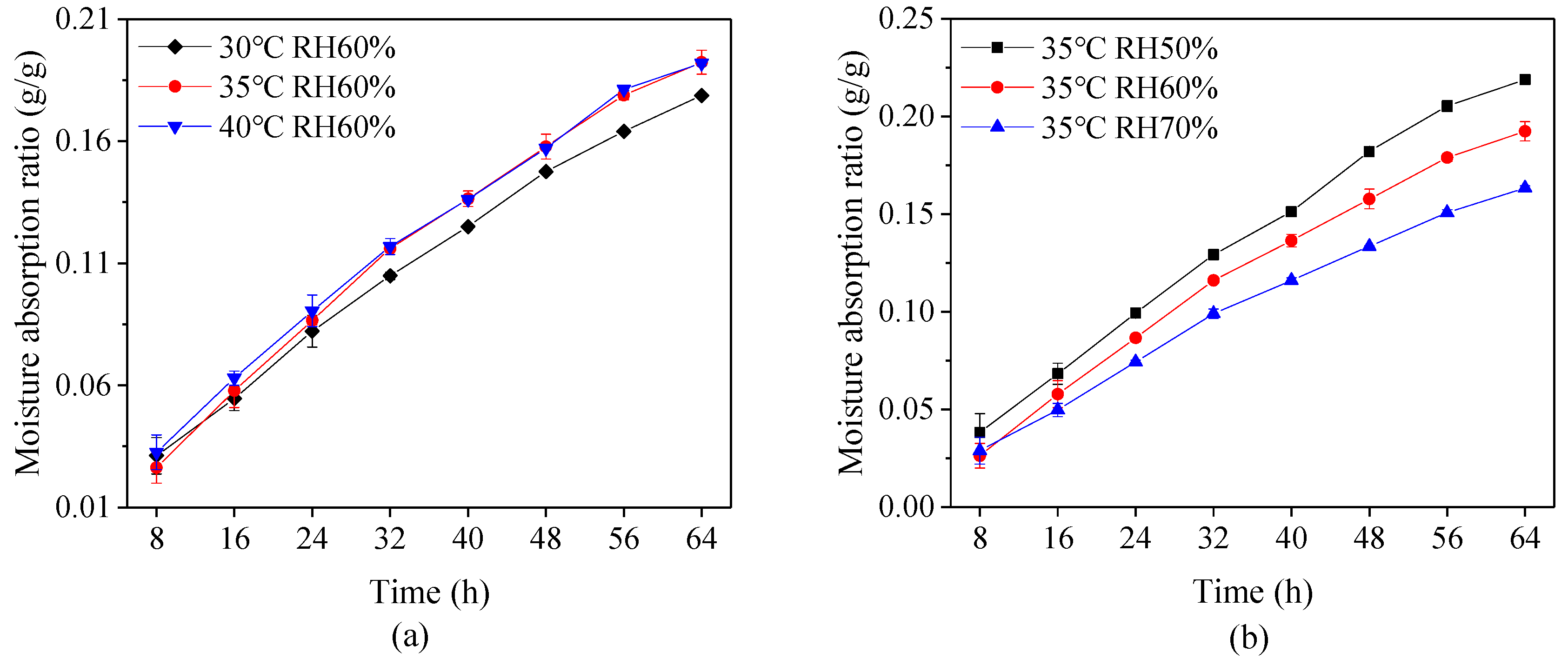
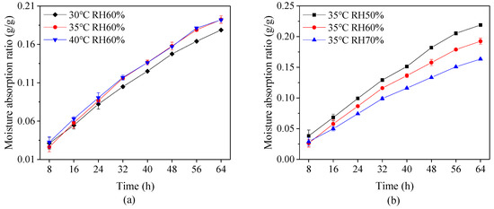
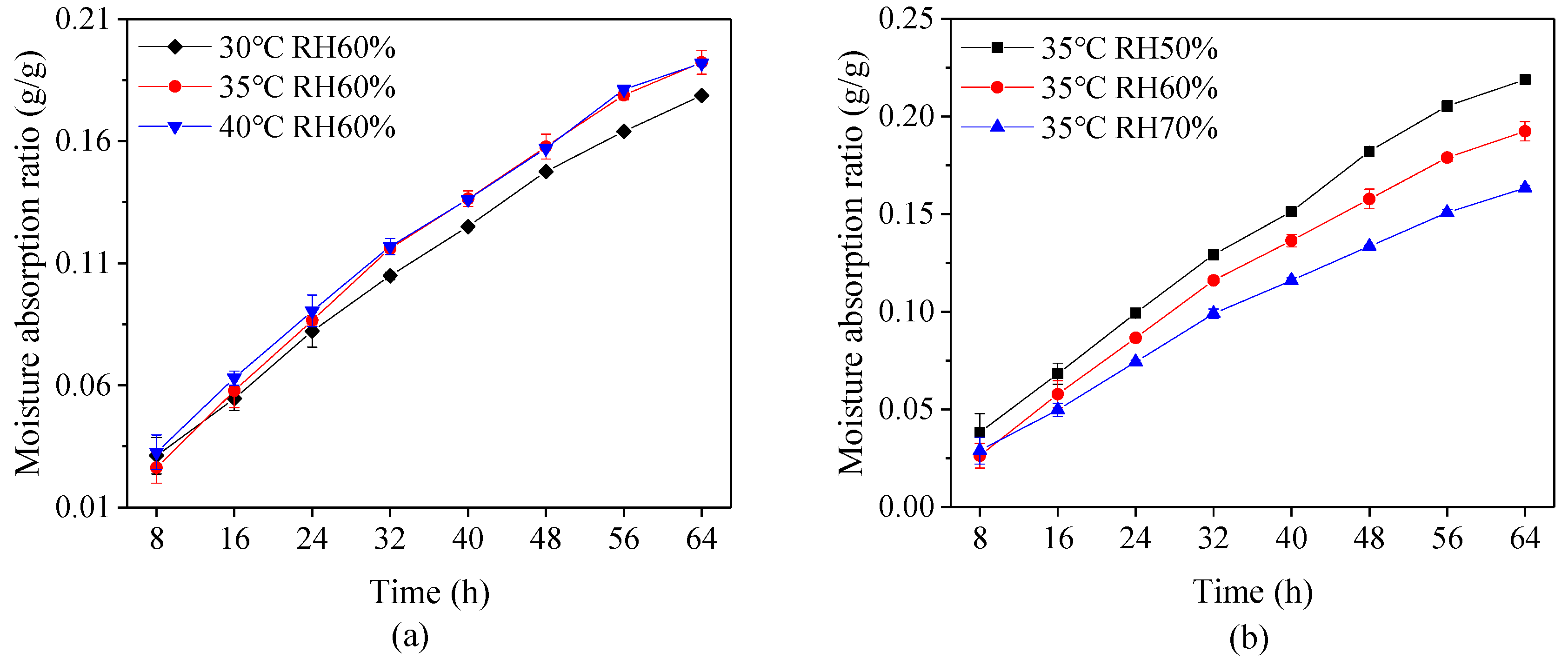
3.1. Drying Characteristics of Plant-Based Enteric Hard Capsules
3.2. Effect of Drying Conditions on the Quality of Plant-Based Enteric Hard Capsules
3.3. Formatting of Mathematical Components
3.4. Effective Moisture Diffusivity and Activation Energy
4. Conclusions
Supplementary Materials
Author Contributions
Funding
Institutional Review Board Statement
Informed Consent Statement
Data Availability Statement
Acknowledgments
Conflicts of Interest
References
- Buerki, R.A.; Higby, G.J. Dosage forms and basic preparations: History. In Encyclopedia of Pharmaceutical Technology, 3th ed.; Swarbrick, J., Ed.; Informa Healthcare USA, Inc.: New York, USA, 2007; Volume 2, pp. 948–974. [Google Scholar]
- Fu, M.; Blechar, J.A.; Sauer, A.; Al-Gousous, J.; Langguth, P. In vitro evaluation of enteric-coated hpmc capsules-effect of formulation factors on product performance. Pharmaceutics 2020, 12, 696. [Google Scholar] [CrossRef]
- Cole, E.T.; Scott, R.A.; Connor, A.L.; Wilding, I.R.; Cadé, D. Enteric coated hpmc capsules designed to achieve intestinal targeting. Int. J. Pharm. 2002, 231, 83–95. [Google Scholar] [CrossRef]
- Ku, M.S.; Li, W.; Dulin, W.; Donahue, F.; Cade, D.; Benameur, H.; Hutchison, K. Performance qualification of a new hypromellose capsule: Part i. Comparative evaluation of physical, mechanical and processability quality attributes of vcaps plus (r), quali-v (r) and gelatin capsules. Int. J. Pharm. 2010, 386, 30–41. [Google Scholar]
- Chang, R.K.; Raghavan, K.S.; Hussain, M.A. A study on gelatin capsule brittleness: Moisture tranfer between the capsule shell and its content. J. Pharm. Sci. 1998, 87, 556–558. [Google Scholar] [CrossRef]
- Ofner, C.M.; Zhang, Y.E.; Jobeck, V.C.; Bowman, B.J. Crosslinking studies in gelatin capsules treated with formaldehyde and in capsules exposed to elevated temperature and humidity. J. Pharm. Sci. 2001, 90, 79–88. [Google Scholar] [CrossRef]
- He, H.; Ye, J.; Zhang, X.; Huang, Y.; Li, X.; Xiao, M. Κ-carrageenan/locust bean gum as hard capsule gelling agents. Carbohydr. Polym. 2017, 175, 417–424. [Google Scholar] [CrossRef] [PubMed]
- Plaizier-Vercammen, J.; Molle, M.V.; Steppe, K.; Cherrette, I. Enteric coating properties of eudragit®, aquateric® and cellulose acetate trimellitate applied to caspules. Eur. J. Pharm. Biopharm. 1992, 38, 145–149. [Google Scholar]
- Doll, W.J.; Sandefer, E.P.; Page, R.C.; Darwazeh, N.; Digenis, G.A. A scintigraphic and pharmacokinetic evaluation of a novel capsule manufactured from potato starch compared with a conventional hard gelatin capsule in normal and in normal subjects administered omeprazole. Pharm. Res. 1993, 10, S213. [Google Scholar]
- Zhang, N.; Li, X.; Ye, J.; Yang, Y.; Huang, Y.; Zhang, X.; Xiao, M. Effect of gellan gum and xanthan gum synergistic interactions and plasticizers on physical properties of plant-based enteric polymer films. Polymers 2020, 12, 121. [Google Scholar] [CrossRef]
- Huyghebaert, N.; Vermeire, A.; Remon, J.P. Alternative method for enteric coating of hpmc capsules resulting in ready-to-use enteric-coated capsules. Eur. J. Pharm. Sci. 2004, 21, 617–623. [Google Scholar] [CrossRef] [PubMed]
- Zhang, L.; Wang, Y.; Liu, H.; Yu, L.; Liu, X.; Chen, L.; Zhang, N. Developing hydroxypropyl methylcellulose/hydroxypropyl starch blends for use as capsule materials. Carbohydr. Polym. 2013, 98, 73–79. [Google Scholar] [CrossRef] [PubMed]
- Costa, M.J.; Marques, A.M.; Pastrana, L.M.; Teixeira, J.A.; Sillankorva, S.M.; Cerqueira, M.A. Physicochemical properties of alginate-based films: Effect of ionic crosslinking and mannuronic and guluronic acid ratio. Food Hydrocoll. 2018, 81, 442–448. [Google Scholar] [CrossRef]
- Li, C.; Wu, K.; Su, Y.; Riffat, S.B.; Jiang, F. Effect of drying temperature on structural and thermomechanical properties of konjac glucomannan-zein blend films. Int. J. Biol. Macromol. 2019, 138, 135–143. [Google Scholar] [CrossRef] [PubMed]
- Falade, K.O.; Abbo, E.S. Air-drying and rehydration characteristics of date palm (phoenix dactylifera l.) fruits. J. Food Eng. 2007, 79, 724–730. [Google Scholar] [CrossRef]
- Lee, B.H.; Lee, Y.T. Physicochemical and structural properties of different colored sweet potato starches. Starch/Stärke 2015, 69, 1600001. [Google Scholar] [CrossRef]
- An, K.; Zhao, D.; Wang, Z.; Wu, J.; Xu, Y.; Xiao, G. Comparison of different drying methods on chinese ginger (zingiber officinale roscoe): Changes in volatiles, chemical profile, antioxidant properties, and microstructure. Food Chem. 2016, 197, 1292–1300. [Google Scholar] [CrossRef]
- Dehghannya, J.; Hosseinlar, S.H.; Heshmati, M.K. Multi-stage continuous and intermittent microwave drying of quince fruit coupled with osmotic dehydration and low temperature hot air drying. Innov. Food Sci. Emerg. Technol. 2017, 45, 132–151. [Google Scholar] [CrossRef]
- Tang, Y.; Min, J. Water film coverage model and its application to the convective air-drying simulation of a wet porous medium. Int. J. Heat Mass Transf. 2018, 131, 999–1008. [Google Scholar] [CrossRef]
- Zhou, Y.; Huang, M.; Deng, F.; Xiao, Q. Effect of temperature on drying characteristics of pullulan-alginate based edible films. Food Sci. Technol. Res. 2018, 24, 55–62. [Google Scholar] [CrossRef]
- Soazo, M.; Rubiolo, A.C.; Verdini, R.A. Effect of drying temperature and beeswax content on physical properties of whey protein emulsion films. Food Hydrocoll. 2011, 25, 1251–1255. [Google Scholar] [CrossRef]
- Ashikin, W.H.N.S.; Wong, T.W.; Law, C.L. Plasticity of hot air-dried mannuronate-and guluronate-rich alginate films. Carbohydr. Polym. 2010, 81, 104–113. [Google Scholar] [CrossRef]
- Liu, H.; Wang, Y.; Zhu, L.; Zhang, J. Research on drying characteristics of soft gelatin-capsules. Chem. Eng. 2006, 34, 5–8. [Google Scholar]
- Celma, A.R.; Rojas, S.; Lopez-Rodríguez, F. Mathematical modelling of thin-layer infrared drying of wet olive husk. Chem. Eng. Process. 2008, 47, 1810–1818. [Google Scholar] [CrossRef]
- Lewis, W.K. The rate of drying of solid materials. J. Ind. Eng. Chem. 1921, 13, 427–432. [Google Scholar] [CrossRef]
- Page, G.E. Factors Influencing the Maximum Rates of Air Drying Shelled Corn in Thin Layers; Purdue University: West Lafayette, IN, USA, 1949. [Google Scholar]
- Henderson, S.M.; Pabis, S. Grain drying theory, ii. Temperature effects on drying coefficients. J. Agric. Eng. Res. 1961, 6, 169–174. [Google Scholar]
- Toğrul, İ.T.; Pehlivan, D. Mathematical modelling of solar drying of apricots in thin layers. J. Food Eng. 2002, 55, 209–216. [Google Scholar] [CrossRef]
- Wang, C.Y.; Singh, R.P. Use of variable equilibrium moisture content in modeling rice drying. Trans. ASAE 1978, 11, 668–672. [Google Scholar]
- Lahnine, L.; Idlimam, A.; Mahrouz, M.; Mghazli, S.; Hidar, N.; Hanine, H.; Koutit, A. Thermophysical characterization by solar convective drying of thyme conserved by an innovative thermal-biochemical process. Renew. Energy 2016, 94, 72–80. [Google Scholar] [CrossRef]
- Chinese, P.C. Pharmacopoeia of the People’s Republic of China; China Medical Science Press: Beijing, China, 2020. [Google Scholar]
- Ozcelik, M.; Ambros, S.; Heigl, A.; Dachmann, E.; Kulozik, U. Impact of hydrocolloid addition and microwave processing condition on drying behavior of foamed raspberry puree. J. Food Eng. 2019, 240, 83–91. [Google Scholar] [CrossRef]
- Onwude, D.I.; Hashim, N.; Janius, R.B.; Nawi, N.M.; Abdan, K. Modeling the thin-layer drying of fruits and vegetables: A review. Compr. Rev. Food Sci. Food Saf. 2016, 15, 599–618. [Google Scholar] [CrossRef]
- Crank, J. The Mathematics of Diffusion; Oxford University Press: Oxford, UK, 1979. [Google Scholar]
- Sharma, G.P.; Verma, R.C.; Pathare, P.B. Thin-layer infrared radiation drying of onion slices. J. Food Eng. 2005, 67, 361–366. [Google Scholar] [CrossRef]
- Babalis, S.J.; Belessiotis, V.G. Influence of the drying conditions on the drying constants and moisture diffusivity during the thin-layer drying of figs. J. Food Eng. 2004, 65, 449–458. [Google Scholar] [CrossRef]
- Akpinar, E.; Midilli, A.; Bicer, Y. Single layer drying behaviour of potato slices in a convective cyclone dryer and mathematical modeling. Energy Convers. Manag. 2003, 44, 1689–1705. [Google Scholar] [CrossRef]
- Younis, M.; Abdelkarim, D.; El-Abdein, A.Z. Kinetics and mathematical modeling of infrared thin-layer drying of garlic slices. Saudi J. Biol. Sci. 2018, 25, 332–338. [Google Scholar] [CrossRef] [PubMed]
- Mghazli, S.; Ouhammou, M.; Hidar, N.; Lahnine, L.; Idlimam, A.; Mahrouz, M. Drying characteristics and kinetics solar drying of moroccan rosemary leaves. Renew. Energy 2017, 108, 303–310. [Google Scholar] [CrossRef]
- Ju, H.Y.; Zhang, Q.; Mujumdar, A.S.; Fang, X.M.; Xiao, H.W.; Gao, Z.J. Hot-air drying kinetics of yam slices under step change in relative humidity. Int. J. Food Eng. 2016, 12, 783–792. [Google Scholar] [CrossRef]
- Ju, H.Y.; El-Mashad, H.M.; Fang, X.M.; Pan, Z.; Xiao, H.W.; Liu, Y.H.; Gao, Z.J. Drying characteristics and modeling of yam slices under different relative humidity conditions. Dry. Technol. 2016, 34, 296–306. [Google Scholar] [CrossRef]
- Liu, G. Studies on Hard Capsules Material Based on Pullulan-Carrageenan. Master’s Dissertation, Jiangnan University, Wuxi, China, 2014. (In Chinese). [Google Scholar]
- Xiao, Q. Study on the Production and Propertiesof Pullulan Edible Packaging Films. Master’s Dissertation, Jiangnan University, Wuxi, China, 2008. (In Chinese). [Google Scholar]
- Xiao, H.-W.; Pang, C.-L.; Wang, L.-H.; Bai, J.-W.; Yang, W.-X.; Gao, Z.-J. Drying kinetics and quality of monukka seedless grapes dried in an air-impingement jet dryer. Biosyst. Eng. 2010, 105, 233–240. [Google Scholar] [CrossRef]
- Fiorentini, C.; Demarchi, S.M.; Ruiz, N.A.Q.; Irigoyen, R.M.T.; Giner, S.A. Arrhenius activation energy for water diffusion during drying of tomato leathers: The concept of characteristic product temperature. Biosyst. Eng. 2015, 132, 39–46. [Google Scholar] [CrossRef]
- Guo, J.; Chen, M.; Huang, Y.; Shokri, N. Salinity effects on ultrasound-assisted hot air drying kinetics of sewage sludge. Thermochim. Acta 2019, 678, 178298. [Google Scholar] [CrossRef]
- Ramachandran, R.P.; Paliwal, J.; Cenkowski, S. Modeling of effective moisture diffusivity and activation energy of distillers’ spent grain pellets with solubles during superheated steam drying. Biomass Bioenergy 2018, 116, 39–48. [Google Scholar] [CrossRef]







| Experimental Group | Fixed Factor | Experimental Factor | |
|---|---|---|---|
| The first group | relative humidity 60% air velocity 2 m/s. | drying temperature (°C) | 25 | 
| 30 | |||
| 35 | |||
| 40 | |||
| 45 | |||
| The second group | drying temperature 35 °C air velocity 2 m/s. | relative humidity (%) | 40 | 
| 50 | |||
| 60 | |||
| 70 | |||
| 80 | |||
| No. | Equation | Model | References | 
|---|---|---|---|
| 1 | MR = exp(−kt) | Lewis | (K. Lewis, 1921) | 
| 2 | MR = exp(−ktn) | Page | (Page, 1949) | 
| 3 | MR = a exp(−kt) | Henderson and Pabis | (Henderson, 1961) | 
| 4 | MR = a exp(−kt) + c | Logarithmic | (Toğrul, 2002) | 
| 5 | MR = 1 + at + bt2 | Wang and Singh | (Wang, 1978) | 
| Relative Humidity (%) | Drying Temperature (°C) | Effective Moisture Diffusivity (m2/s) | 
|---|---|---|
| 60 | 25 | 1.6244 10−10 | 
| 60 | 30 | 1.8289 10−10 | 
| 60 | 35 | 2.0212 10−10 | 
| 60 | 40 | 2.2760 10−10 | 
| 60 | 45 | 2.6618 10−10 | 
| Relative Humidity (%) | Drying Temperature (°C) | Effective Moisture Diffusivity (m2/s) | 
|---|---|---|
| 40 | 35 | 2.4102 10−10 | 
| 50 | 35 | 2.2991 10−10 | 
| 60 | 35 | 2.0212 10−10 | 
| 70 | 35 | 1.6017 10−10 | 
| 80 | 35 | 1.1940 10−10 | 
| Publisher’s Note: MDPI stays neutral with regard to jurisdictional claims in published maps and institutional affiliations. | 
© 2021 by the authors. Licensee MDPI, Basel, Switzerland. This article is an open access article distributed under the terms and conditions of the Creative Commons Attribution (CC BY) license (http://creativecommons.org/licenses/by/4.0/).
Share and Cite
He, C.; Wang, H.; Yang, Y.; Huang, Y.; Zhang, X.; Arowo, M.; Ye, J.; Zhang, N.; Xiao, M. Drying Behavior and Kinetics of Drying Process of Plant-Based Enteric Hard Capsules. Pharmaceutics 2021, 13, 335. https://doi.org/10.3390/pharmaceutics13030335
He C, Wang H, Yang Y, Huang Y, Zhang X, Arowo M, Ye J, Zhang N, Xiao M. Drying Behavior and Kinetics of Drying Process of Plant-Based Enteric Hard Capsules. Pharmaceutics. 2021; 13(3):335. https://doi.org/10.3390/pharmaceutics13030335
Chicago/Turabian StyleHe, Chuqi, Haodong Wang, Yucheng Yang, Yayan Huang, Xueqin Zhang, Moses Arowo, Jing Ye, Na Zhang, and Meitian Xiao. 2021. "Drying Behavior and Kinetics of Drying Process of Plant-Based Enteric Hard Capsules" Pharmaceutics 13, no. 3: 335. https://doi.org/10.3390/pharmaceutics13030335
APA StyleHe, C., Wang, H., Yang, Y., Huang, Y., Zhang, X., Arowo, M., Ye, J., Zhang, N., & Xiao, M. (2021). Drying Behavior and Kinetics of Drying Process of Plant-Based Enteric Hard Capsules. Pharmaceutics, 13(3), 335. https://doi.org/10.3390/pharmaceutics13030335
 
        

 
                         
       