Antimicrobial Essential Oil Formulation: Chitosan Coated Nanoemulsions for Nose to Brain Delivery
Abstract
1. Introduction
2. Materials and Methods
2.1. Materials
2.2. EOs Chemical Analysis
2.3. Nanoemulsion Preparation
2.4. Dynamic Light Scattering Measurements
2.5. NEs Stability Evaluation
2.6. Fluorometric Measurements
2.7. Preparation of Mucin Solution, Mucin-NEs Interaction Studies, and pH Measurements
2.8. In Vitro Release Study
2.9. Diluted Essential Oils and NEs
2.10. Bacterial Strains
2.11. Antimicrobial Activity of EO and NEs
2.12. Disk Diffusion (DD) Assay
2.13. Time-Kill Studies of NEs
2.14. Statistical Analysis
3. Results
3.1. EOs Chemical Analysis
3.2. Dynamic Light Scattering Measurements
3.3. Fluorimetric Measurements
3.4. NEs Stability Evaluation
3.5. Mucoadhesive Studies
3.6. In Vitro Release Study
3.7. Antimicrobial Activity of NEs
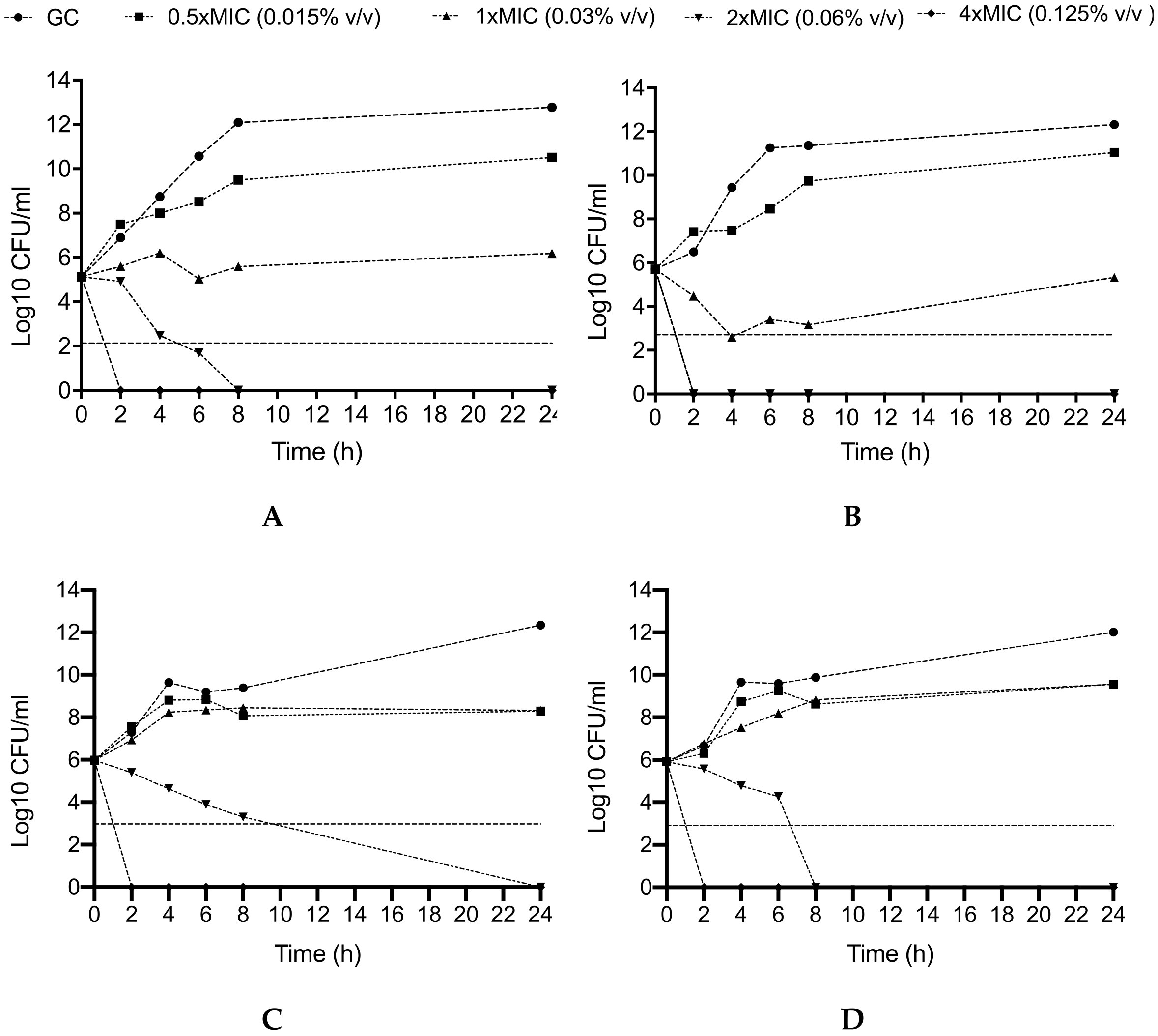
3.8. Time-Kill Studies of NEs
4. Conclusions
Author Contributions
Funding
Conflicts of Interest
References
- Beer, R.; Lackner, P.; Pfausler, B.; Schmutzhard, E. Nosocomial ventriculitis and meningitis in neurocritical care patients. J. Neurol. 2008, 255, 1617–1624. [Google Scholar] [CrossRef]
- Chen, Y.; Liu, L. The treatment of nosocomial meningitis and brain abscess by carbapenem-resistant Klebsiella pneumonia. Br. J. Neurosurg. 2019, 1–3. [Google Scholar] [CrossRef]
- Almeida, S.M.; Nogueira Kda, S.; Palmeiro, J.K.; Scheffer, M.C.; Stier, C.J.; Franca, J.C.; Costa, L.M. Nosocomial meningitis caused by Klebsiella pneumoniae producing carbapenemase, with initial cerebrospinal fluid minimal inflammatory response. Arq. Neuropsiquiatr. 2014, 72, 398–399. [Google Scholar] [CrossRef][Green Version]
- Pan, S.; Huang, X.; Wang, Y.; Li, L.; Zhao, C.; Yao, Z.; Cui, W.; Zhang, G. Efficacy of intravenous plus intrathecal/intracerebral ventricle injection of polymyxin B for post-neurosurgical intracranial infections due to MDR/XDR Acinectobacter baumannii: A retrospective cohort study. Antimicrob. Resist. Infect. Control 2018, 7, 8. [Google Scholar] [CrossRef] [PubMed]
- Bardak-Ozcem, S.; Sipahi, O.R. An updated approach to healthcare-associated meningitis. Expert Rev. Anti Infect. Ther. 2014, 12, 333–342. [Google Scholar] [CrossRef]
- Tunkel, A.R.; Hasbun, R.; Bhimraj, A.; Byers, K.; Kaplan, S.L.; Scheld, W.M.; van de Beek, D.; Bleck, T.P.; Garton, H.J.L.; Zunt, J.R. 2017 Infectious Diseases Society of America’s Clinical Practice Guidelines for Healthcare-Associated Ventriculitis and Meningitis. Clin. Infect. Dis. 2017, 64, e34–e65. [Google Scholar] [CrossRef] [PubMed]
- Zhang, S.; Chen, Y.; Liang, J.; Wang, S.; Liu, L.; Liu, S. Nanoformulated Antimicrobial Agents for Central Nervous System Infections. J. Nanosci. Nanotechnol. 2017, 17, 8683–8698. [Google Scholar] [CrossRef]
- Eid, H.M.; Elkomy, M.H.; El Menshawe, S.F.; Salem, H.F. Transfersomal nanovesicles for nose-to-brain delivery of ofloxacin for better management of bacterial meningitis: Formulation, optimization by Box-Behnken design, characterization and in vivo pharmacokinetic study. J. Drug Deliv. Sci. Technol. 2019, 54, 101304. [Google Scholar] [CrossRef]
- Dalpiaz, A.; Pavan, B. Nose-to-Brain Delivery of Antiviral Drugs: A Way to Overcome Their Active Efflux? Pharmaceutics 2018, 10, 39. [Google Scholar] [CrossRef] [PubMed]
- Marianecci, C.; Rinaldi, F.; Hanieh, P.N.; Paolino, D.; Marzio, L.D.; Carafa, M. Nose to Brain Delivery: New Trends in Amphiphile-Based “Soft” Nanocarriers. Curr. Pharm. Des. 2015, 21, 5225–5232. [Google Scholar] [CrossRef] [PubMed]
- Marttin, E.; Schipper, N.G.M.; Verhoef, J.C.; Merkus, F.W.H.M. Nasal mucociliary clearance as a factor in nasal drug delivery. Adv. Drug Deliv. Rev. 1998, 29, 13–38. [Google Scholar] [CrossRef]
- Turker, S.; Onur, E.; Ozer, Y. Nasal route and drug delivery systems. Pharm. World Sci. 2004, 26, 137–142. [Google Scholar] [CrossRef] [PubMed]
- Chatterjee, B.; Gorain, B.; Mohananaidu, K.; Sengupta, P.; Mandal, U.K.; Choudhury, H. Targeted drug delivery to the brain via intranasal nanoemulsion: Available proof of concept and existing challenges. Int. J. Pharm. 2019, 565, 258–268. [Google Scholar] [CrossRef]
- Du, W.; Li, H.; Tian, B.; Sai, S.; Gao, Y.; Lan, T.; Meng, Y.; Ding, C. Development of nose-to-brain delivery of ketoconazole by nanostructured lipid carriers against cryptococcal meningoencephalitis in mice. Colloids Surf. B Biointerfaces 2019, 183, 110446. [Google Scholar] [CrossRef]
- Choudhury, H.; Gorain, B.; Chatterjee, B.; Mandal, U.K.; Sengupta, P.; Tekade, R.K. Pharmacokinetic and Pharmacodynamic Features of Nanoemulsion Following Oral, Intravenous, Topical and Nasal Route. Curr. Pharm. Des. 2017, 23, 2504–2531. [Google Scholar] [CrossRef] [PubMed]
- Choudhury, H.; Gorain, B.; Karmakar, S.; Biswas, E.; Dey, G.; Barik, R.; Mandal, M.; Pal, T.K. Improvement of cellular uptake, in vitro antitumor activity and sustained release profile with increased bioavailability from a nanoemulsion platform. Int. J. Pharm. 2014, 460, 131–143. [Google Scholar] [CrossRef]
- Gorain, B.; Choudhury, H.; Kundu, A.; Sarkar, L.; Karmakar, S.; Jaisankar, P.; Pal, T.K. Nanoemulsion strategy for olmesartan medoxomil improves oral absorption and extended antihypertensive activity in hypertensive rats. Colloids Surf. B Biointerfaces 2014, 115, 286–294. [Google Scholar] [CrossRef]
- Giuliani, A.; Balducci, A.G.; Zironi, E.; Colombo, G.; Bortolotti, F.; Lorenzini, L.; Galligioni, V.; Pagliuca, G.; Scagliarini, A.; Calza, L.; et al. In vivo nose-to-brain delivery of the hydrophilic antiviral ribavirin by microparticle agglomerates. Drug Deliv. 2018, 25, 376–387. [Google Scholar] [CrossRef]
- Di Cola, E.; Cantu, L.; Brocca, P.; Rondelli, V.; Fadda, G.C.; Canelli, E.; Martelli, P.; Clementino, A.; Sonvico, F.; Bettini, R.; et al. Novel O/W nanoemulsions for nasal administration: Structural hints in the selection of performing vehicles with enhanced mucopenetration. Colloids Surf. B Biointerfaces 2019, 183, 110439. [Google Scholar] [CrossRef]
- Illum, L.; Watts, P.; Fisher, A.N.; Hinchcliffe, M.; Norbury, H.; Jabbal-Gill, I.; Nankervis, R.; Davis, S.S. Intranasal delivery of morphine. J. Pharmacol. Exp. Ther. 2002, 301, 391–400. [Google Scholar] [CrossRef]
- Rinaldi, F.; Hanieh, P.N.; Chan, L.K.N.; Angeloni, L.; Passeri, D.; Rossi, M.; Wang, J.T.; Imbriano, A.; Carafa, M.; Marianecci, C. Chitosan Glutamate-Coated Niosomes: A Proposal for Nose-to-Brain Delivery. Pharmaceutics 2018, 10, 38. [Google Scholar] [CrossRef] [PubMed]
- Salem, L.H.; El-Feky, G.S.; Fahmy, R.H.; El Gazayerly, O.N.; Abdelbary, A. Coated Lipidic Nanoparticles as a New Strategy for Enhancing Nose-to-Brain Delivery of a Hydrophilic Drug Molecule. J. Pharm. Sci. 2020. [Google Scholar] [CrossRef] [PubMed]
- Bonferoni, M.C.; Rossi, S.; Sandri, G.; Ferrari, F.; Gavini, E.; Rassu, G.; Giunchedi, P. Nanoemulsions for “nose-to-brain” drug delivery. Pharmaceutics 2019, 11, 84. [Google Scholar] [CrossRef] [PubMed]
- Yap, P.S.; Yiap, B.C.; Ping, H.C.; Lim, S.H. Essential oils, a new horizon in combating bacterial antibiotic resistance. Open Microbiol. J. 2014, 8, 6–14. [Google Scholar] [CrossRef]
- Oliva, A.; Costantini, S.; De Angelis, M.; Garzoli, S.; Bozovic, M.; Mascellino, M.T.; Vullo, V.; Ragno, R. High Potency of Melaleuca alternifolia Essential Oil against Multi-Drug Resistant Gram-Negative Bacteria and Methicillin-Resistant Staphylococcus aureus. Molecules 2018, 23, 2584. [Google Scholar] [CrossRef]
- Patsilinakos, A.; Artini, M.; Papa, R.; Sabatino, M.; Bozovic, M.; Garzoli, S.; Vrenna, G.; Buzzi, R.; Manfredini, S.; Selan, L.; et al. Machine Learning Analyses on Data including Essential Oil Chemical Composition and In Vitro Experimental Antibiofilm Activities against Staphylococcus Species. Molecules 2019, 24, 890. [Google Scholar] [CrossRef]
- Bilia, A.R.; Guccione, C.; Isacchi, B.; Righeschi, C.; Firenzuoli, F.; Bergonzi, M.C. Essential oils loaded in nanosystems: A developing strategy for a successful therapeutic approach. Evid. Based Complement. Altern. Med. 2014, 2014, 651593. [Google Scholar] [CrossRef]
- Franklyne, J.S.; Mukherjee, A.; Chandrasekaran, N. Essential oil micro- and nanoemulsions: Promising roles in antimicrobial therapy targeting human pathogens. Lett. Appl. Microbiol. 2016, 63, 322–334. [Google Scholar] [CrossRef]
- Oliva, A.; Garzoli, S.; Sabatino, M.; Tadic, V.; Costantini, S.; Ragno, R.; Bozovic, M. Chemical composition and antimicrobial activity of essential oil of Helichrysum italicum (Roth) G. Don fil. (Asteraceae) from Montenegro. Nat. Prod. Res. 2019, 445–448. [Google Scholar] [CrossRef]
- McClements, D.J. Edible nanoemulsions: Fabrication, properties, and functional performance. Soft Matter 2011, 7, 2297–2316. [Google Scholar] [CrossRef]
- Rinaldi, F.; Hanieh, P.N.; Longhi, C.; Carradori, S.; Secci, D.; Zengin, G.; Ammendolia, M.G.; Mattia, E.; Del Favero, E.; Marianecci, C.; et al. Neem oil nanoemulsions: Characterisation and antioxidant activity. J. Enzym. Inhib. Med. Chem. 2017, 32, 1265–1273. [Google Scholar] [CrossRef] [PubMed]
- Bhattacharjee, S. DLS and zeta potential—What they are and what they are not? J. Control. Release 2016, 235, 337–351. [Google Scholar] [CrossRef]
- McNay, E.C.; Sherwin, R.S. From artificial cerebro-spinal fluid (aCSF) to artificial extracellular fluid (aECF): Microdialysis perfusate composition effects on in vivo brain ECF glucose measurements. J. Neurosci. Methods 2004, 132, 35–43. [Google Scholar] [CrossRef] [PubMed]
- Zachariasse, K.A. Intramolecular excimer formation with diarylalkanes as a microfluidity probe for sodium dodecyl sulphate micelles. Chem. Phys. Lett. 1978, 57, 429–432. [Google Scholar] [CrossRef]
- Wong, P.T.; Wang, S.H.; Ciotti, S.; Makidon, P.E.; Smith, D.M.; Fan, Y.; Schuler, C.F., IV; Baker, J.R., Jr. Formulation and characterization of nanoemulsion intranasal adjuvants: Effects of surfactant composition on mucoadhesion and immunogenicity. Mol. Pharm. 2014, 11, 531–544. [Google Scholar] [CrossRef] [PubMed]
- Klemetsrud, T.; Jonassen, H.; Hiorth, M.; Kjøniksen, A.-L.; Smistad, G. Studies on pectin-coated liposomes and their interaction with mucin. Colloids Surf. B Biointerfaces 2013, 103, 158–165. [Google Scholar] [CrossRef]
- Sandri, G.; Motta, S.; Bonferoni, M.C.; Brocca, P.; Rossi, S.; Ferrari, F.; Rondelli, V.; Cantu, L.; Caramella, C.; Del Favero, E. Chitosan-coupled solid lipid nanoparticles: Tuning nanostructure and mucoadhesion. Eur. J. Pharm. Biopharm. 2017, 110, 13–18. [Google Scholar] [CrossRef]
- CLSI. M07-A9 Methods for Dilution Antimicrobial Susceptibility Tests for Bacteria That Grow Aerobically, 9th ed.; Institute, W.P., Ed.; Clinical and Laboratory Standards Institute: Wayne, PA, USA, 2012; Volume 32. [Google Scholar]
- Ahmad, E.; Feng, Y.; Qi, J.; Fan, W.; Ma, Y.; He, H.; Xia, F.; Dong, X.; Zhao, W.; Lu, Y.; et al. Evidence of nose-to-brain delivery of nanoemulsions: Cargoes but not vehicles. Nanoscale 2017, 9, 1174–1183. [Google Scholar] [CrossRef]
- Singh, S.K.; Dadhania, P.; Vuddanda, P.R.; Jain, A.; Velaga, S.; Singh, S. Intranasal delivery of asenapine loaded nanostructured lipid carriers: Formulation, characterization, pharmacokinetic and behavioural assessment. RSC Adv. 2016, 6, 2032–2045. [Google Scholar] [CrossRef]
- Pires, P.C.; Santos, A.O. Nanosystems in nose-to-brain drug delivery: A review of non-clinical brain targeting studies. J. Control. Release 2018, 270, 89–100. [Google Scholar] [CrossRef]
- Rinaldi, F.; Hanieh, P.N.; Imbriano, A.; Passeri, D.; Del Favero, E.; Rossi, M.; Marianecci, C.; De Panfilis, S.; Carafa, M. Different instrumental approaches to understand the chitosan coated niosomes/mucin interaction. J. Drug Deliv. Sci. Technol. 2020, 55, 101339. [Google Scholar] [CrossRef]
- Ahmad, N.; Ahmad, R.; Naqvi, A.A.; Alam, M.A.; Ashafaq, M.; Abdur Rub, R.; Ahmad, F.J. Intranasal delivery of quercetin-loaded mucoadhesive nanoemulsion for treatment of cerebral ischaemia. Artif. Cells Nanomed. Biotechnol. 2018, 46, 717–729. [Google Scholar] [CrossRef] [PubMed]
- Maccelli, A.; Vitanza, L.; Imbriano, A.; Fraschetti, C.; Filippi, A.; Goldoni, P.; Maurizi, L.; Ammendolia, M.G.; Crestoni, M.E.; Fornarini, S.; et al. Satureja montana L. Essential Oils: Chemical Profiles/Phytochemical Screening, Antimicrobial Activity and O/W NanoEmulsion Formulations. Pharmaceutics 2019, 12, 7. [Google Scholar] [CrossRef] [PubMed]
- Fiandra, L.; Capetti, A.; Sorrentino, L.; Corsi, F. Nanoformulated Antiretrovirals for Penetration of the Central Nervous System: State of the Art. J. Neuroimmune Pharm. 2017, 12, 17–30. [Google Scholar] [CrossRef] [PubMed]
- Gendelman, H.E.; Gelbard, H.A. Adjunctive and long-acting nanoformulated antiretroviral therapies for HIV-associated neurocognitive disorders. Curr. Opin. HIV AIDS 2014, 9, 585–590. [Google Scholar] [CrossRef] [PubMed]






| Sample | Span20 (mg/mL) | SAEO (mg/mL) | TVEO (mg/mL) | Chitosan (mg/mL) |
|---|---|---|---|---|
| SA-NEs | 5.2 | 5.2 | - | - |
| C-SA-NEs | 0.06 | |||
| TV-NEs | - | 5.2 | - | |
| C-TV-NEs | 0.06 |
| N° | Component | LRI 1 | LRI 2 | A1% | A2% |
|---|---|---|---|---|---|
| 1 | α-pinene | 1020 | 1021 | - | 1.3 ± 0.64 |
| 2 | camphene | 1063 | 1065 | - | 1.0 ± 0.11 |
| 3 | β-pinene | 1090 | 1099 | - | 0.3 ± 0.09 |
| 4 | β-myrcene | 1162 | 1157 | - | 1.1 ± 0.05 |
| 5 | α-terpinene | 1180 | 1186 | - | 0.6 ± 0.04 |
| 6 | limonene | 1190 | 1198 | - | 0.5 ± 0.02 |
| 7 | eucalyptol | 1200 | 1209 | - | 1.2 ± 0.08 |
| 8 | γ-terpinene | 1241 | 1244 | - | 5.2 ± 0.19 |
| 9 | o-cymene | 1280 | 1287 | - | 18.2 ± 0.31 |
| 10 | 1-octen-3-ol | 1465 | 1458 | - | 0.5 ± 0.11 |
| 11 | camphor | 1512 | 1507 | - | 2.4 ± 0.02 |
| 12 | linalool | 1542 | 1537 | - | 7.5 ± 0.30 |
| 13 | methyl thymyl ether | 1550 | 1555 | - | 0.4 ± 0.03 |
| 14 | terpinen-4-ol | 1610 | 1603 | 3.0 ± 0.11 | |
| 15 | β-caryophyllene | 1622 | 1619 | 8.7 ± 0.20 | 2.4 ± 0.03 |
| 16 | cis-beta-terpineol | 1650 | 1644 * | - | 0.2 ± 0.02 |
| 17 | humulene | 1675 | 1668 | 1.0 ± 0.03 | - |
| 18 | α-terpineol | 1698 | 1690 * | - | 0.2 ± 0.06 |
| 19 | endo-borneol | 1720 | 1717 | - | 2.2 ± 0.02 |
| 20 | methylsalicylate | 1768 | 1763 | 0.2 ± 0.03 | - |
| 21 | caryophyllene oxide | 1896 | 1892 | - | 0.7 ± 0.03 |
| 22 | thymol | 2158 | 2154 | - | 44.4 ± 0.17 |
| 23 | eugenol | 2180 | 2172 | 80.1 ± 0.46 | - |
| 24 | carvacrol | 2230 | 2222 | - | 6.6 ± 0.04 |
| 25 | eugenol acetate | 2281 | 2277 * | 9.9 ± 0.79 | - |
| Sum | 99.9 | 99.9 | |||
| Sample | Hydrodynamic Diameter (nm) ± SD | ζ-Potential (mV) ± SD | PDI ± SD |
|---|---|---|---|
| SA-NEs | 106.0 ± 0.2 | −45.3 ± 0.5 | 0.21 ± 0.04 |
| C-SA-NEs | 238.0 ± 6.2 | +38.1 ± 4.9 | 0.25 ± 0.07 |
| TV-NEs | 110.0 ± 2.9 | −48.3 ± 0.4 | 0.22 ± 0.02 |
| C-TV-NEs | 232.0 ± 8.2 | +40.3 ± 1.2 | 0.24 ± 0.08 |
| Sample | Polarity (I1/I3) | Microviscosity (IE/I3) | Fluidity (Anisotropy) |
|---|---|---|---|
| SA-NEs | 0.92 | 1.72 | 0.24 |
| C-SA-NEs | 0.83 | 1.77 | 0.21 |
| TV-NEs | 0.88 | 2.04 | 0.26 |
| C-TV-NEs | 0.79 | 2.05 | 0.34 |
| Sample | Hydrodynamic Diameter (nm) | ζ-Potential (mV) ± SD | PDI ± SD | pH | Turbidity (AU) |
|---|---|---|---|---|---|
| SA-NEs | 106.0 ± 0.2 | −45.3 ± 0.5 | 0.21 ± 0.04 | 6.2 | 283.4 |
| SA-NEs + M | 167.2 ± 2.3 | −34.1 ± 1.2 | 0.23 ± 0.09 | 6.4 | 321.3 |
| TV-NEs | 110.0 ± 2.9 | −48.3 ± 0.4 | 0.22 ± 0.02 | 6.4 | 318.8 |
| TV-NEs + M | 146.1 ± 3.4 | −24.8 ± 0.7 | 0.26 ± 0.09 | 6.3 | 344.0 |
| M | 1623.0 ± 57.0 | −15.6 ± 0.4 | 0.4 ± 0.09 | 6.1 | 346.3 |
| Sample | Hydrodynamic Diameter (nm) | ζ-Potential (mV) ± SD | PDI ± SD | pH | Turbidity (AU) |
|---|---|---|---|---|---|
| C-SA-NEs | 238.0 ± 6.2 | +38.1 ± 4.9 | 0.25 ± 0.07 | 6.3 | 101.5 |
| C-SA-NEs + M | 252.7 ± 8.3 | −35.5 ± 0.9 | 0.28 ± 0.07 | 6.2 | 119.7 |
| C-TV-NEs | 232.0 ± 8.2 | +40.3 ± 1.2 | 0.24 ± 0.08 | 6.3 | 99.1 |
| C-TV-NEs + M | 234.9 ± 9.1 | −35.7 ± 2.3 | 0.29 ± 0.09 | 6.2 | 150.6 |
| M | 1623.0 ± 57.0 | −15.6 ± 0.4 | 0.4 ± 0.10 | 6.1 | 346.3 |
| Strains | MSSA | MRSA | CR-Ab | CR-Kp | CR-Pa | E. coli | ||||||
|---|---|---|---|---|---|---|---|---|---|---|---|---|
| MIC | MBC | MIC | MBC | MIC | MBC | MIC | MBC | MIC | MBC | MIC | MBC | |
| TV-NEs | 0.125 | 0.125 | >0.125 | >0.125 | 0.03 | 0.03 | 0.03 | 0.03 | 0.125 | 0.125 | >0.125 | >0.125 |
| TVEO | <0.03 | <0.03 | <0.03 | <0.03 | <0.03 | <0.03 | <0.03 | <0.03 | <0.03 | <0.03 | <0.03 | <0.03 |
| Thymol * | 0.031 | 0.062 | <0.015 | 0.031 | <0.015 | <0.015 | 0.062 | 0.062 | 0.031 | 0.031 | 0.031 | 0.031 |
| SA-NEs | 0.125 | 0.125 | >0.125 | >0.125 | 0.03 | <0.03 | 0.03 | 0.03 | 0.125 | 0.125 | 0.125 | 0.125 |
| SAEO | <0.03 | 0.07 | <0.03 | 0.07 | <0.03 | 0.07 | <0.03 | 0.07 | 0.07 | 0.07 | <0.03 | 0.07 |
| Eugenol * | 0.007 | <0.003 | 0.007 | 0.007 | <0.003 | <0.003 | 0.007 | 0.007 | 0.056 | 0.056 | 0.028 | 0.028 |
| VAN *,** | 0.00004 | 0.00007 | 0.00007 | 0.00007 | NA | NA | NA | NA | NA | NA | NA | NA |
| MEM *,** | NA | NA | NA | NA | 0.005 | 0.009 | 0.018 | 0.037 | 0.0006 | 0.001 | 0.000004 | 0.000004 |
| Strains | TVEO | SAEO |
|---|---|---|
| MSSA | 29 | 6 |
| MRSA | 29 | 8 |
| CR-Ab | 28 | 12 |
| CR-Kp | 26 | 10 |
| CR-Pa | 0 | 0 |
| E. coli | 24 | 7 |
© 2020 by the authors. Licensee MDPI, Basel, Switzerland. This article is an open access article distributed under the terms and conditions of the Creative Commons Attribution (CC BY) license (http://creativecommons.org/licenses/by/4.0/).
Share and Cite
Rinaldi, F.; Oliva, A.; Sabatino, M.; Imbriano, A.; Hanieh, P.N.; Garzoli, S.; Mastroianni, C.M.; De Angelis, M.; Miele, M.C.; Arnaut, M.; et al. Antimicrobial Essential Oil Formulation: Chitosan Coated Nanoemulsions for Nose to Brain Delivery. Pharmaceutics 2020, 12, 678. https://doi.org/10.3390/pharmaceutics12070678
Rinaldi F, Oliva A, Sabatino M, Imbriano A, Hanieh PN, Garzoli S, Mastroianni CM, De Angelis M, Miele MC, Arnaut M, et al. Antimicrobial Essential Oil Formulation: Chitosan Coated Nanoemulsions for Nose to Brain Delivery. Pharmaceutics. 2020; 12(7):678. https://doi.org/10.3390/pharmaceutics12070678
Chicago/Turabian StyleRinaldi, Federica, Alessandra Oliva, Manuela Sabatino, Anna Imbriano, Patrizia N. Hanieh, Stefania Garzoli, Claudio M. Mastroianni, Massimiliano De Angelis, Maria Claudia Miele, Marcela Arnaut, and et al. 2020. "Antimicrobial Essential Oil Formulation: Chitosan Coated Nanoemulsions for Nose to Brain Delivery" Pharmaceutics 12, no. 7: 678. https://doi.org/10.3390/pharmaceutics12070678
APA StyleRinaldi, F., Oliva, A., Sabatino, M., Imbriano, A., Hanieh, P. N., Garzoli, S., Mastroianni, C. M., De Angelis, M., Miele, M. C., Arnaut, M., Di Timoteo, F., Marianecci, C., Ragno, R., & Carafa, M. (2020). Antimicrobial Essential Oil Formulation: Chitosan Coated Nanoemulsions for Nose to Brain Delivery. Pharmaceutics, 12(7), 678. https://doi.org/10.3390/pharmaceutics12070678

