In-Depth Characterization of EpiIntestinal Microtissue as a Model for Intestinal Drug Absorption and Metabolism in Human
Abstract
1. Introduction
2. Materials and Methods
2.1. Material
2.2. Cell Culture
2.3. Bidirectional Permeability Assay
2.4. Measurement of DME Activities in EpiIntestinal and Caco-2
2.5. CES-Mediated Metabolism of Dabigatran Etexilate
2.6. Metabolite Identification
2.7. Measurement of Intestinal First-Pass Availability in EpiIntestinal Microtissues and Caco-2
2.8. Calculation of Fa × Fg in Human
3. Results
3.1. Barrier Function and Transporter Activities
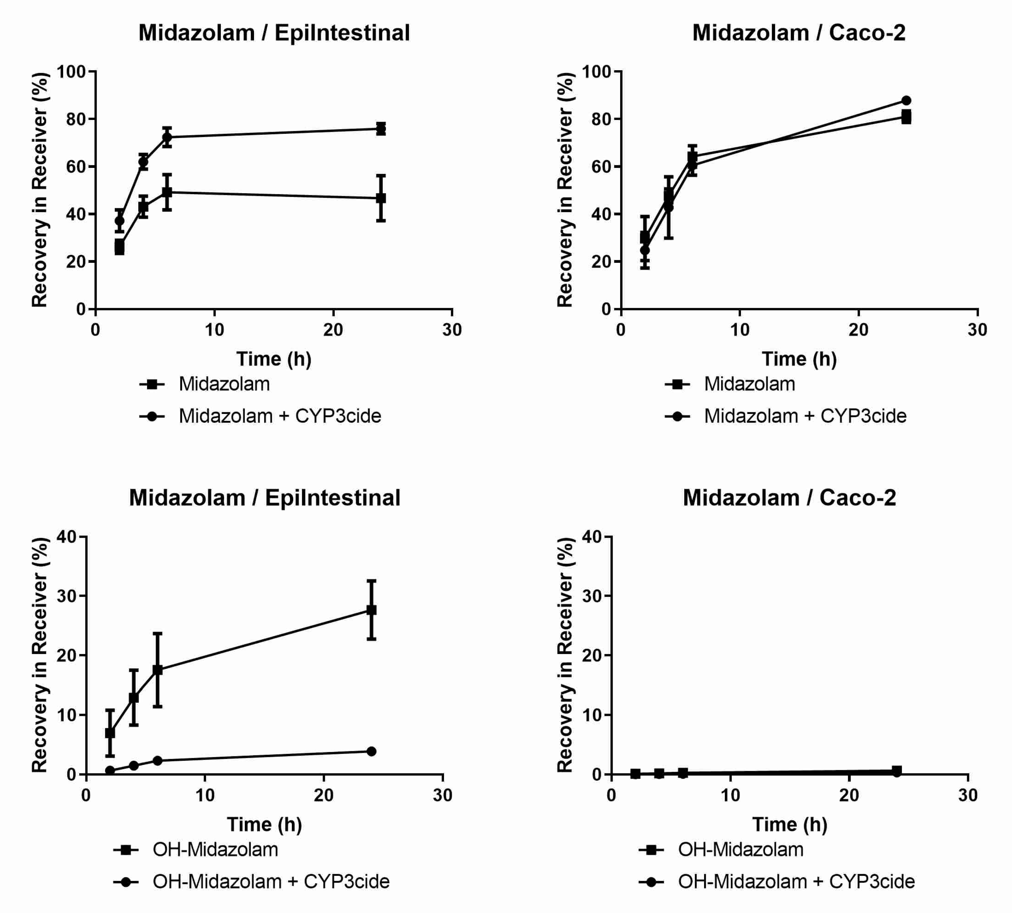
3.2. Drug-Metabolising Enzymes (DME) in EpiIntestinal Microtissues
3.3. Differential Expression of CES1 and CES2 in EpiIntestinal Microtissues and Caco-2 cells
3.4. UGT and SULT Activities in EpiIntestinal Microtissues
3.5. Prediction of Fa × Fg in Human using EpiIntestinal Microtissues
4. Discussion
Supplementary Materials
Author Contributions
Funding
Acknowledgments
Conflicts of Interest
References
- Lennernäs, H.; Palm, K.; Fagerholm, U.; Artursson, P. Comparison between active and passive drug transport in human intestinal epithelial (caco-2) cells in vitro and human jejunum in vivo. Int. J. Pharm. 1996, 127, 103–107. [Google Scholar] [CrossRef]
- Kerns, E.H.; Di, L.; Petusky, S.; Farris, M.; Ley, R.; Jupp, P. Combined Application of Parallel Artificial Membrane Permeability Assay and Caco-2 Permeability Assays in Drug Discovery. J. Pharm. Sci. 2004, 93, 1440–1453. [Google Scholar] [CrossRef] [PubMed]
- Wu, B.; Kulkarni, K.; Basu, S.; Zhang, S.; Hu, M. First-Pass Metabolism via UDP-Glucuronosyltransferase: A Barrier to Oral Bioavailability of Phenolics. J. Pharm. Sci. 2011, 100, 3655–3681. [Google Scholar] [CrossRef] [PubMed]
- Ishiguro, N.; Kishimoto, W.; Volz, A.; Ludwig-Schwellinger, E.; Ebner, T.; Schaefer, O. Impact of Endogenous Esterase Activity on In Vitro P-Glycoprotein Profiling of Dabigatran Etexilate in Caco-2 Monolayers. Drug Metab. Dispos. 2013, 42, 250–256. [Google Scholar] [CrossRef]
- Prueksaritanont, T.; Gorham, L.M.; Hochman, J.H.; O Tran, L.; Vyas, K.P. Comparative studies of drug-metabolizing enzymes in dog, monkey, and human small intestines, and in Caco-2 cells. Drug Metab. Dispos. 1996, 24, 634–642. [Google Scholar]
- Rozehnal, V.; Nakai, D.; Hoepner, U.; Fischer, T.; Kamiyama, E.; Takahashi, M.; Yasuda, S.; Mueller, J. Human small intestinal and colonic tissue mounted in the Ussing chamber as a tool for characterizing the intestinal absorption of drugs. Eur. J. Pharm. Sci. 2012, 46, 367–373. [Google Scholar] [CrossRef]
- Takenaka, T.; Kazuki, K.; Harada, N.; Kuze, J.; Chiba, M.; Iwao, T.; Matsunaga, T.; Abe, S.; Oshimura, M.; Kazuki, Y. Development of Caco-2 cells co-expressing CYP3A4 and NADPH-cytochrome P450 reductase using a human artificial chromosome for the prediction of intestinal extraction ratio of CYP3A4 substrates. Drug Metab. Pharmacokinet. 2017, 32, 61–68. [Google Scholar] [CrossRef]
- Gertz, M.; Harrison, A.; Houston, J.B.; Galetin, A. Prediction of Human Intestinal First-Pass Metabolism of 25 CYP3A Substrates from In Vitro Clearance and Permeability Data. Drug Metab. Dispos. 2010, 38, 1147–1158. [Google Scholar] [CrossRef]
- Bein, A.; Shin, W.; Jalili-Firoozinezhad, S.; Park, M.H.; Sontheimer-Phelps, A.; Tovaglieri, A.; Chalkiadaki, A.; Kim, H.J.; Ingber, D. Microfluidic Organ-on-a-Chip Models of Human Intestine. Cell. Mol. Gastroenterol. Hepatol. 2018, 5, 659–668. [Google Scholar] [CrossRef]
- Rahmani, S.; Breyner, N.; Su, H.-M.; Verdu, E.F.; Didar, T.F. Intestinal organoids: A new paradigm for engineering intestinal epithelium in vitro. Biomater. 2019, 194, 195–214. [Google Scholar] [CrossRef]
- Ayehunie, S.; Landry, T.; Stevens, Z.; Armento, A.; Hayden, P.; Klausner, M. Human Primary Cell-Based Organotypic Microtissues for Modeling Small Intestinal Drug Absorption. Pharm. Res. 2018, 35, 72. [Google Scholar] [CrossRef] [PubMed]
- Madden, L.R.; Nguyen, T.V.; Garcia-Mojica, S.; Shah, V.; Le, A.V.; Peier, A.; Visconti, R.; Parker, E.M.; Presnell, S.C.; Nguyen, D.G.; et al. Bioprinted 3D Primary Human Intestinal Tissues Model Aspects of Native Physiology and ADME/Tox Functions. iScience 2018, 2, 156–167. [Google Scholar] [CrossRef] [PubMed]
- Sieger, P.; Cui, Y.; Scheuerer, S. pH-dependent solubility and permeability profiles: A useful tool for prediction of oral bioavailability. Eur. J. Pharm. Sci. 2017, 105, 82–90. [Google Scholar] [CrossRef]
- Cui, Y.; Lotz, R.; Rapp, H.; Klinder, K.; Himstedt, A.; Sauer, A. Muscle to Brain Partitioning as Measure of Transporter-Mediated Efflux at the Rat Blood–Brain Barrier and Its Implementation into Compound Optimization in Drug Discovery. Pharmaceutics 2019, 11, 595. [Google Scholar] [CrossRef]
- Obach, R.S.; Lombardo, F.; Waters, N. Trend Analysis of a Database of Intravenous Pharmacokinetic Parameters in Humans for 670 Drug Compounds. Drug Metab. Dispos. 2008, 36, 1385–1405. [Google Scholar] [CrossRef]
- Varma, M.V.S.; Feng, B.; Obach, R.S.; Troutman, M.D.; Chupka, J.; Miller, H.R.; El-Kattan, A. Physicochemical Determinants of Human Renal Clearance. J. Med. Chem. 2009, 52, 4844–4852. [Google Scholar] [CrossRef]
- Gibson, D.M.; Stern, R.H.; Abel, R.B.; Whitfield, L.R. Absolute bioavailability of atorvastatin in man. Pharm. Res. 1997, 14, S253. [Google Scholar]
- Stern, R.H.; Yang, B.-B.; Horton, M.; Moore, S.; Abel, R.B.; Olson, S.C. Renal dysfunction does not alter the pharmacokinetics or LDL-cholesterol reduction of atorvastatin. J. Clin. Pharmacol. 1997, 37, 816–819. [Google Scholar] [CrossRef]
- Mahmood, I.; Sahajwalla, C. Clinical Pharmacokinetics and Pharmacodynamics of Buspirone, an Anxiolytic Drug. Clin. Pharmacokinet. 1999, 36, 277–287. [Google Scholar] [CrossRef]
- Yeh, K.C.; Stone, J.A.; Carides, A.D.; Rolan, P.; Woolf, E.; Ju, W.D. Simultaneous investigation of indinavir nonlinear pharmacokinetics and bioavailability in healthy volunteers using stable isotope labeling technique: Study design and model-independent data analysis. J. Pharm. Sci. 1999, 88, 568–573. [Google Scholar] [CrossRef]
- Combes, O.; Barré, J.; Duché, J.-C.; Vernillet, L.; Archimbaud, Y.; Marietta, M.P.; Tillement, J.-P.; Urien, S. In vitro binding and partitioning of irinotecan (CPT-11) and its metabolite, SN-38, in human blood. Investig. New Drugs 2000, 18, 1–5. [Google Scholar] [CrossRef] [PubMed]
- Mizushima, H.; Takanaka, K.; Abe, K.; Fukazawa, I.; Ishizuka, H. Stereoselective pharmacokinetics of oxybutynin and N -desethyloxybutynin in vitro and in vivo. Xenobiotica 2007, 37, 59–73. [Google Scholar] [CrossRef] [PubMed]
- Martin, P. Absolute oral bioavailability of rosuvastatin in healthy white adult male volunteers. Clin. Ther. 2003, 25, 2553–2563. [Google Scholar] [CrossRef]
- Nordt, S.P.; Clark, R.F. Midazolam: A review of therapeutic uses and toxicity. J. Emerg. Med. 1997, 15, 357–365. [Google Scholar] [CrossRef]
- Lee, C.A.; Neul, D.; Clouser-Roche, A.; Dalvie, D.; Wester, M.R.; Jiang, Y.; Jones, J.P.; Freiwald, S.; Zientek, M.; Totah, R.A. Identification of Novel Substrates for Human Cytochrome P450 2J2. Drug Metab. Dispos. 2009, 38, 347–356. [Google Scholar] [CrossRef]
- Matsumoto, S.; Hirama, T.; Matsubara, T.; Nagata, K.; Yamazoe, Y. Involvement of CYP2J2 on the intestinal first-pass metabolism of antihistamine drug, astemizole. Drug Metab. Dispos. 2002, 30, 1240–1245. [Google Scholar] [CrossRef]
- Walsky, R.L.; Obach, R.S.; Hyland, R.; Kang, P.; Zhou, S.; West, M.; Geoghegan, K.F.; Helal, C.J.; Walker, G.; Goosen, T.C.; et al. Selective Mechanism-Based Inactivation of CYP3A4 by CYP3cide (PF-04981517) and Its Utility as an In Vitro Tool for Delineating the Relative Roles of CYP3A4 versus CYP3A5 in the Metabolism of Drugs. Drug Metab. Dispos. 2012, 40, 1686–1697. [Google Scholar] [CrossRef]
- Dalvie, D.; Kang, P.; Zientek, M.; Xiang, C.; Zhou, S.; Obach, R.S. Effect of Intestinal Glucuronidation in Limiting Hepatic Exposure and Bioactivation of Raloxifene in Humans and Rats. Chem. Res. Toxicol. 2008, 21, 2260–2271. [Google Scholar] [CrossRef]
- Kemp, D.C.; Fan, P.W.; Stevens, J.C.; Hill, G.; Cihlar, T.; Oo, C.; Ho, E.S.; Prior, K.; Wiltshire, H.; Barrett, J.; et al. Characterization of Raloxifene Glucuronidation in Vitro: Contribution of Intestinal Metabolism to Presystemic Clearance. Drug Metab. Dispos. 2002, 30, 694–700. [Google Scholar] [CrossRef]
- Van Heek, M.; Farley, C.; Compton, D.S.; Hoos, L.; Alton, K.B.; Sybertz, E.J.; Davis, H.R. Comparison of the activity and disposition of the novel cholesterol absorption inhibitor, SCH58235, and its glucuronide, SCH60663. Br. J. Pharmacol. 2000, 129, 1748–1754. [Google Scholar] [CrossRef]
- Allen, J.D.; Van Loevezijn, A.; Lakhai, J.M.; Van Der Valk, M.; Van Tellingen, O.; Reid, G.; Schellens, J.; Koomen, G.-J.; Schinkel, A.H. Potent and specific inhibition of the breast cancer resistance protein multidrug transporter in vitro and in mouse intestine by a novel analogue of fumitremorgin C. Mol. Cancer Ther. 2002, 1, 417–425. [Google Scholar] [PubMed]
- Luo, F.R.; Paranjpe, P.V.; Guo, A.; Rubin, E.; Sinko, P.J. Intestinal transport of irinotecan in Caco-2 cells and MDCK II cells overexpressing efflux transporters Pgp, cMOAT, and MRP1. Drug Metab. Dispos. 2002, 30, 763–770. [Google Scholar] [CrossRef] [PubMed]
- Shepard, R.L.; Cao, J.; Starling, J.J.; Dantzig, A.H. Modulation of P-glycoprotein but not MRP1- or BCRP-mediated drug resistance by LY335979. Int. J. Cancer 2002, 103, 121–125. [Google Scholar] [CrossRef] [PubMed]
- Kitamura, S.; Maeda, K.; Wang, Y.; Sugiyama, Y. Involvement of Multiple Transporters in the Hepatobiliary Transport of Rosuvastatin. Drug Metab. Dispos. 2008, 36, 2014–2023. [Google Scholar] [CrossRef] [PubMed]
- Brück, S.; Strohmeier, J.; Busch, D.; Droździk, M.; Oswald, S. Caco-2 cells-expression, regulation and function of drug transporters compared with human jejunal tissue. Biopharm. Drug Dispos. 2016, 38, 115–126. [Google Scholar] [CrossRef]
- Nakamura, K.; Hirayama-Kurogi, M.; Ito, S.; Kuno, T.; Yoneyama, T.; Obuchi, W.; Terasaki, T.; Ohtsuki, S. Large-scale multiplex absolute protein quantification of drug-metabolizing enzymes and transporters in human intestine, liver, and kdney microsomes by SWATH-MS: Comparison with MRM/SRM and HR-MRM/PRM. Proteomics 2016, 16, 2106–2117. [Google Scholar] [CrossRef]
- Uchida, Y.; Ohtsuki, S.; Kamiie, J.; Ohmine, K.; Iwase, R.; Terasaki, T. Quantitative targeted absolute proteomics for 28 human transporters in plasma membrane of Caco-2 cell monolayer cultured for 2, 3, and 4 weeks. Drug Metab. Pharmacokinet. 2015, 30, 205–208. [Google Scholar] [CrossRef]
- Elsby, R.; Martin, P.; Surry, D.; Sharma, P.; Fenner, K. Solitary Inhibition of the Breast Cancer Resistance Protein Efflux Transporter Results in a Clinically Significant Drug-Drug Interaction with Rosuvastatin by Causing up to a 2-Fold Increase in Statin Exposure. Drug Metab. Dispos. 2015, 44, 398–408. [Google Scholar] [CrossRef]
- Paine, M.F.; Hart, H.L.; Ludington, S.S.; Haining, R.L.; Rettie, A.E.; Zeldin, D.C. THE HUMAN INTESTINAL CYTOCHROME P450 “PIE”. Drug Metab. Dispos. 2006, 34, 880–886. [Google Scholar] [CrossRef]
- Hui, Y.; Luo, L.; Zhang, L.; Kurogi, K.; Zhou, C.; Sakakibara, Y.; Suiko, M.; Liu, M.-C. Sulfation of afimoxifene, endoxifen, raloxifene, and fulvestrant by the human cytosolic sulfotransferases (SULTs): A systematic analysis. J. Pharmacol. Sci. 2015, 128, 144–149. [Google Scholar] [CrossRef]
- Falany, C.N.; Pilloff, D.E.; Leyh, T.S.; Falany, C.N. Sulfation of raloxifene and 4-hydroxytamoxifen by human cytosolic sulfotransferases. Drug Metab. Dispos. 2005, 34, 361–368. [Google Scholar] [CrossRef] [PubMed]
- Jeong, E.J.; Lin, H.; Hu, M. Disposition Mechanisms of Raloxifene in the Human Intestinal Caco-2 Model. J. Pharmacol. Exp. Ther. 2004, 310, 376–385. [Google Scholar] [CrossRef] [PubMed]
- Bansal, S.; Lau, A.J. Inhibition of Human Sulfotransferase 2A1-Catalyzed Sulfonation of Lithocholic Acid, Glycolithocholic Acid, and Taurolithocholic Acid by Selective Estrogen Receptor Modulators and Various Analogs and Metabolites. J. Pharmacol. Exp. Ther. 2019, 369, 389–405. [Google Scholar] [CrossRef] [PubMed]
- Li, A.; Alam, N.; Amaral, K.; Ho, M.-C.D.; Loretz, C.; Mitchell, W.; Yang, Q. Cryopreserved Human Intestinal Mucosal Epithelium: A Novel In Vitro Experimental System for the Evaluation of Enteric Drug Metabolism, Cytochrome P450 Induction, and Enterotoxicity. Drug Metab. Dispos. 2018, 46, 1562–1571. [Google Scholar] [CrossRef] [PubMed]
- Wong, S.; Doshi, U.; Vuong, P.; Liu, N.; Tey, S.; Le, H.; Kosaka, M.; Kelly, J.R.; Li, A.; Yan, Z. Utility of Pooled Cryopreserved Human Enterocytes as an In vitro Model for Assessing Intestinal Clearance and Drug-Drug Interactions. Drug Metab. Lett. 2018, 12, 3–13. [Google Scholar] [CrossRef]
- Helander, H.F.; Fändriks, L. Surface area of the digestive tract–revisited. Scand. J. Gastroenterol. 2014, 49, 681–689. [Google Scholar] [CrossRef]




| Drug | DME/Metabolite | Internal Standard | Drug Concentration (µM) | Solvent |
|---|---|---|---|---|
| Phenacetin | CYP1A2/Acetaminophen | d4-Acetaminophen | 10–100 | 20% ACN |
| Bupropion | CYP2B6/2-OH-Bupropion | d8-OH-bupropion | 15–300 | Aqua bidest. |
| Amodiaquine | CYP2C8/OH-Desethyl-Amodiaquine | d5-Desethylamodiaquine | 20–200 | Aqua bidest. |
| Diclofenac | CYP2C9/4-OH-Diclofenac | (13C6)4′-OH-Diclofenac | 20–200 | 20% ACN |
| S-Mephenytoin | CYP2C19/4-OH-Mephenytoin | d3-OH-Mephenytoin | 20–200 | 40% ACN |
| Testosterone | CYP3A4/6β-OH-Testosterone | d3-6β-OH-Testosterone | 40–400 | ACN/MeOH |
| Midazolam | CYP3A4/1-OH-Midazolam | d4-1-OH-Midazolam | 5–100 | Ready-to-use solution |
| Dextromethorphan | CYP2D6 Dextrorphan | d3-Dextrorphan | 10–100 | Aqua bidest. |
| 7-OH-Coumarin | UGT/7-OH-Coumarin-Glucuronid | α-Naphtylglucuronid | 15–150 | 40% ACN |
| 7-OH-Coumarin | SULT/7-OH-Coumarin-Sulfat | α-Naphtylglucuronid | 15–150 | 40% ACN |
| β-Estradiol | UGT1A1/β-Estradiol-3-Glucuronid | α-Naphtylglucuronid | 20–200 | DMSO |
| Astemizol | CYP2J2/O-Desmethyl-Astemizol | Dextrorphan tartrate | 2–50 | 30% ACN + 10 mM HCl |
| BIBF1120 | CES/BIBF1202 | d8-BIBF1202 | 10–100 | ACN/MeOH |
| Drug | F | RB | CLp (mL/min/kg) | fe |
|---|---|---|---|---|
| Atenolol | 0.5 [8] | 0.95 # | 2.5 [15] | 1 [16] |
| Atorvastatin | 0.14 [17] | 0.85 # | 8.93 [8] | 0.01 [18] |
| Buspirone | 0.05 [8] | 0.81 [8] | 28.3 [8] | 0.45 [19] |
| Felodipine | 0.15 [8] | 0.7 [8] | 11 [15] | 0 [16] |
| Indinavir | 0.6 [8] | 0.84 [8] | 18 [20] | 0.085 [16] |
| Irinotecan | 0.25 [8] | 0.82 [21] | 7 [15] | 0.32 [16] |
| Midazolam | 0.4 [8] | 0.64 # | 5.3 [15] | 0 [16] |
| Nifedipine | 0.9 [8] | 0.67 [8] | 7.3 [15] | 0 [16] |
| Oxybutynin | 0.06 [8] | 0.686 [22] | 5.1 [15] | 0 * |
| Quinidine | 0.9 [8] | 0.87 [8] | 4 [15] | 0.15 [16] |
| Rosuvastatin | 0.2 [8] | 0.75 # | 11 [23] | 0.3 [23] |
| Saquinavir | 0.04 [8] | 0.74 [8] | 13 [15] | 0.01 * |
| Substrate | Inhibitor | Caco-2 | EpiIntestinal | ||
|---|---|---|---|---|---|
| PappAB (10−6 cm/s) | Efflux | PappAB (10−6 cm/s) | Efflux | ||
| Rosuvastatin | None | 0.3 | 21.0 | 0.3 | 100.0 |
| Ko-143 (3 µM) | 0.5 | 5.5 | 2.6 | 3.1 | |
| Zosuqidar (5 µM) | 0.3 | 19.0 | 0.9 | 25 | |
| DME/Substrate | Caco-2 | EpiIntestinal | ||
|---|---|---|---|---|
| Enzyme Activities * (pmol/h/cm2) Mean/SD | >Intracellular Metabolite (% of Total) | Enzyme Activities * (pmol/h/cm2) Mean/SD | Intracellular Metabolite (% of Total) | |
| CYP1A2/Phenacetin | 123.1/4.8 | BLQ | 17.4/3.0 | BLQ |
| CYP2B6/Bupropion | BLQ | BLQ | 2.6/0.9 | BLQ |
| CYP2C8/Amodiaquine | 11.2/1.9 | 36.5 | 107.9/49.1 | 37.5 |
| CYP2C9/Diclofenac | 20.8/1.6 | 12.8 | 28.4/1.6 | 14.7 |
| CYP2C19/S-Mephenytoin | 7.1/0.7 | 4.5 | 6.9/0.7 | 4.3 |
| CYP3A4/Testosterone | 26.5/3.6 | BLQ | 176.4/8.0 | 0.9 |
| CYP3A4/Midazolam | BLQ | BLQ | 1.9/0.5 | 14.9 |
| CYP2D6/Dextromethorphan | 10.9/2.7 | BLQ | 9.2/1.3 | BLQ |
| UGT/7-OH-Coumarin | 10,770.5/721.9 | 5.5 | 7583.4/855.2 | 10.0 |
| SULT/7-OH-Coumarin | 508.0/46.1 | BLQ | 1747.4/140.0 | 3.4 |
| UGT1A1/β-Estradiol | 65.3/6.9 | 3.2 | 243.3/6.7 | 2.8 |
| CYP2J2/Astemizole | 4.9/0.3 | 62.9 | 17.7/5.2 | 68.7 |
| CES/BIBF 1120 | 370.9/31.4 | 24.7 | 400.0/12.9 | 13.3 |
| Substrate | EpiIntestinal | Human Intestinal Mucosa (HIM) | ||
|---|---|---|---|---|
| Ezetimibe | Raloxifene | Ezetimibe | Raloxifene | |
| Parent (% of parent drug at T0) | 8.4 | 2.4 | 40.3 | 33.2 |
| Glucuronides (% of parent drug at T0) | 39.1 | 2.2 | 58.6 | 18.7 |
| Sulfates (% of parent drug at T0) | n.d. | 14.1 | n.d. | 2.0 |
| Drug | Recovery in Basal Comp. @ 24h (%) | Fa × Fg in Human (%) | DMEs/Transporters |
|---|---|---|---|
| Atenolol | 86 | 50 | |
| Atorvastatin | 43 | 61 | CYP3A4/BCRP/MRP2 |
| Buspirone | 60 | 70 | CYP3A4 |
| Felodipine | 47 | 62 | CYP3A4 |
| Indinavir | 53 | 100 | CYP3A4 |
| Irinotecan | 62 | 39 | Esterases, CYP3A4 |
| Midazolam | 47 | 59 | CYP3A4 |
| Nifedipine | 110 | 100 | CYP3A4 |
| Oxybutynin | 16 | 9 | Esterases, CYP3A4 |
| Qunidine | 85 | 100 | CYP3A4, etc. |
| Rosuvastatin | 30 | 62 | CYP2C9/BCRP/MRP2 |
| Saquinavir | 18 | 25 | CYP3A4/P-gp |
© 2020 by the authors. Licensee MDPI, Basel, Switzerland. This article is an open access article distributed under the terms and conditions of the Creative Commons Attribution (CC BY) license (http://creativecommons.org/licenses/by/4.0/).
Share and Cite
Cui, Y.; Claus, S.; Schnell, D.; Runge, F.; MacLean, C. In-Depth Characterization of EpiIntestinal Microtissue as a Model for Intestinal Drug Absorption and Metabolism in Human. Pharmaceutics 2020, 12, 405. https://doi.org/10.3390/pharmaceutics12050405
Cui Y, Claus S, Schnell D, Runge F, MacLean C. In-Depth Characterization of EpiIntestinal Microtissue as a Model for Intestinal Drug Absorption and Metabolism in Human. Pharmaceutics. 2020; 12(5):405. https://doi.org/10.3390/pharmaceutics12050405
Chicago/Turabian StyleCui, Yunhai, Stephanie Claus, David Schnell, Frank Runge, and Caroline MacLean. 2020. "In-Depth Characterization of EpiIntestinal Microtissue as a Model for Intestinal Drug Absorption and Metabolism in Human" Pharmaceutics 12, no. 5: 405. https://doi.org/10.3390/pharmaceutics12050405
APA StyleCui, Y., Claus, S., Schnell, D., Runge, F., & MacLean, C. (2020). In-Depth Characterization of EpiIntestinal Microtissue as a Model for Intestinal Drug Absorption and Metabolism in Human. Pharmaceutics, 12(5), 405. https://doi.org/10.3390/pharmaceutics12050405

