Abstract
Forest management situations are intrinsically challenging due to the nature of being an interconnected and multi-faceted problem. Integrating ecological, social, and economic objectives is one of the biggest hurdles for forest planners. Often, decisions made with the interest of producing a specific ecosystem service may affect the production of other forest ecosystem services. We present a forest management scheduling model that involves multiple ownerships and addresses the joint production of two ecosystem services: timber and upland hardwood old forest. We use a marginal value approach to evaluate old forest. We analyze the impacts of considering different management options, shapes and levels of marginal value functions for old forest, and potential benefits of rewarding the major forest land ownership groups to produce old forest. Results show the downward-sloping marginal value function as a compromise strategy and the benefits of applying it over approaches using either fixed values or targets for addressing ecosystem services. A decomposition model was useful for recognizing important stand-level detail. A broad landscape and multiple ownership approach helped identify interconnections between forest cover types and between landowner groups.
1. Introduction
Forest management situations are typically complex, multi-faceted problems. Decisions often must be made to incorporate broad landscape level objectives such as wildlife population needs, forest health, and sustainable harvest; it is also important to recognize stand-level details such as soil conditions, mixed tree species and/or ages, or operability (Figure 1). Also, long planning horizons are generally needed, and many forests are mosaics of multiple ownerships. Managers want to understand the trade-offs associated with the management options available. The integration of ecological and economic objectives is considered one of the biggest hurdles for forest planning. The consequences resulting from forest management decisions made today will likely affect landscape conditions and associated ecosystem services far into the future.
Figure 1.
Potential facets of forest management situations (from Ref. [4]).
The concept of ecosystem services was developed to address the linkages between ecosystems and human well-being. Ecosystem services are defined as the benefits that people obtain from ecosystems [1]. Due to the diversity and complexity of ecosystems and associated ecosystem services, an interdisciplinary effort is generally needed. A key in studying ecosystem services is in combining economics and ecology [2]. Gómez-Baggethun et al. presents the history of how economic theory has considered nature’s benefits from a classic economic perspective up through a modern view of ecosystem services [3].
Ecosystems reinforce human well-being in many ways, and this fact is acknowledged in the Millennium Ecosystem Assessment, where ecosystem services are divided into provisioning (food, fresh water, fuel, timber,…), regulating (climate regulation, erosion regulation, water quality,…), cultural (recreational, aesthetic, spiritual values,…), and supporting services (soil formation, nutrient cycling,…) [1]. Both the definition and classification stated in the Millennium Ecosystem Assessment have been widely used, but other definitions and classifications of ecosystem services are highlighted in the literature [5,6,7,8]. Fisher et al., as well as Boyd and Banzhaf, argued the need to distinguish between intermediate services (considered as processes or functions in Boyd and Banzhaf) and final ecosystem services, to avoid double counting services when estimating their economic values, aggregating their values, or integrating them into a model [9,10]. They also discriminated between services and benefits, advocating that services are benefit-specific [10] and that the same service can produce several benefits [9]. Boyd and Banzhaf suggested to define final ecosystem services as the components of nature or ecological characteristics that are directly used or consumed to produce human well-being, they are nature’s end-products. However, Fisher et al. promoted the idea of considering ecosystem services as the aspects of the ecosystem that are either actively or passively used to produce human well-being [9].
Additionally, Fisher et al. also discussed the use of the relationships between supply and demand of ecosystem services to evaluate and connect them to human welfare [9]. This economic framework highlights the idea that the willingness to pay for an ecosystem service might not always be constant, depending on both the quantity and quality of the ecosystem service provided. In other words, the value of an ecosystem service is a function of marginal changes in the flow of the service produced. The marginal value could also be understood as the amount that people are willing to pay to access to an extra unit of the service or the price that people would pay to avoid losing one unit. With this approach, higher marginal values will be assigned to an ecosystem service when it becomes scarce, and this marginal value will decrease as the supply of the service increases. In other words, the value of additional services will depend on the level of ecosystem service already provided.
In the case of forest ecosystems, the list of services that humans can benefit from is very extensive, ranging from timber production, water regulation (quality and quantity), carbon storage, local and global climate regulation, nontimber products, or wildlife habitat. Binder et al. [11] present a detailed review of forest ecosystem services highlighting research related to ecological production functions and economic benefits functions for the different forest uses. Old forest is considered an ecological end product that could provide several benefits including wildlife habitat, recreational use, biological diversity, and/or aesthetic value. The old forest definition should not be confused with the old growth stage (or multi-aged complex [12]) of stand development, which is classified based on structure, composition, and function. The age at which a stand provides old forest services may vary by region due to differences in climate and species. For example, in northern Minnesota, USA, many of the common species are early successional with average life spans of less than 150 years [13]. This may be very different from other regions, for example rotations shorter than 10 years for eucalypt species (Eucalyptus spp.) in Brazil [14] versus cutting cycles where the maximum age of Engelmann spruce (Picea engelmannii Parry ex Engelm.) can be greater than 300 years in the Intermountain West in the USA [15]. An important reason that age is used to define old forests is that it can be more easily assessed and used by forest planning models compared to structure, composition, and function.
The Multiple Use Sustained Yield Act of 1960 (P.L. 86–517) requires US national forests to be managed for outdoor recreation, range, timber, watershed, and wildlife, and fishing purposes. The National Forest Management Act (NFMA) of 1976 (P.L. 94–588) requires the USDA Forest Service to use a systematic and interdisciplinary approach to management planning. Forest planning models integrating multiple forest uses have been used since the 1970s. Work has ranged from developing general models that account for the production of multiple services [16], to specific models accounting for timber and wildlife production, including both spatial and temporal dimensions [17,18] or models that provide an even flow of timber production while minimizing sediment levels settled to stream segments [19]. Diaz-Balteiro and Romero extensively reviewed the most recent forest management problems with a multiple criteria decision making approach [20]. In addition, Filyushkina et al. compiled and analyzed the most recent studies that integrate non-market forest ecosystem services into the decision making in the Nordic countries [21]. Borges et al. provides good detail on the role of scheduling models in forest management [22]. Downward-sloping demand (marginal value) curves have been explored and used in forestry, primarily for timber production [23,24,25,26].
Even though studies related to ecosystem services might differ on how they define and classify the services that multi-functional ecosystems provide, there is a common conclusion that both the economic valuation of ecosystem services and understanding benefits and costs of management options are key to help make decisions when managing ecosystems. We also want to acknowledge that forest management is intrinsically a joint production problem. Decisions made with the interest of producing a specific ecosystem service may affect the production of other forest ecosystem services.
With the main goal of understanding better the trade-offs of integrating multiple ecosystem services we study a harvest scheduling model considering the combined production of two ecosystem services: timber and old forest production. We use the marginal valuation approach described above to value the old forest service. Emphasis is made on important details, including stand-level differences in the forest cover type, stand age, ecological region, site quality, riparian percent, and distances to timber markets. We use an application of the model in northern Minnesota in the US to help us better understand the impact of incorporating multiple ecosystem services into the decision-making process. There is a wide range of factors that can impact the quantity and quality of old forest, such as forest cover type, intensity of harvest levels of the main forest cover types, stand ownership, ecological region, and the successional nature of the cover type among others. With the purpose of understanding the relationship between all these factors and the production of the old forest, we analyzed (1) the production of upland hardwood old forest under different forest management options, (2) the trade-offs of using distinct marginal value functions for the production of old forest, and (3) the potential impacts of adding premium values to major forest land ownership groups to produce old forest. As it is often done in forest planning, multiple model scenarios are emphasized with comparisons across scenarios adding insight on trade-offs and impacts of modeling assumptions.
2. Materials and Methods
We explained our study methods in four steps. First, we provided an overview of the forest management situation in northern Minnesota with a desire for a landscape approach for analysis considering all forest landowners. Next, we described an overview of the forest management scheduling model used, with its ability to decompose large problems to help recognize important forest details. Then, we provided background on a marginal approach for valuing old forest over time with a multi-ownership landscape perspective, and described alternative scenarios modeled to address old forest for the Minnesota situation. Finally, we described details on additional facets modeled to help address impacts of plausible changes in timber demands and opportunities to recognize quality differences in terms of the old forest produced.
2.1. Overview of the Forest Management Situation in Minnesota
The state of Minnesota is located in the north-central portion of the United States and is bordered by Canada to the north. Approximately 35% of the 22.5 million hectares of Minnesota is classified as forested [27]. The forests of Minnesota are diverse and include three of Bailey’s ecosystem provinces: Prairie Parkland in the west, the Eastern Deciduous Forest through the center and southeastern section, and the Laurentian Mixed Forest in the northeast [28]. The past glacial activity has substantially shaped topography and soil condition across the state, generating a low topographic relief landscape and a broad selection of soil conditions ranging from sandy outwash plains to rich peat bogs [29]. The soil composition has influenced vegetation cover, resulting in pine (Pinus) species commonly observed on sandier less nutrient-rich soils, hardwoods observed on nutrient-rich silt loams, and spruce (Picea), tamarack (Larix), and ash (Fraxinus) species observed in poorly drained bogs. In addition, past human actions have also had a large effect on the current forest cover in Minnesota. Agricultural conversion and intensive logging practices during the late 19th and early 20th centuries have greatly influenced current forest distribution and composition [29].
Ownership is diverse and includes multiple forest management agencies including the USDA Forest Service, the Minnesota Department of Natural Resources (DNR), county land departments, Tribal governments, industrial private landowners, and non-industrial private landowners. Management objectives frequently vary by owner. Among public land, state and county lands are more intensely managed for timber production [30]. A state requirement of both state and county lands is the production of timber for revenue, some of which is used to help fund schools in the local communities. Of the federal lands, the Superior National Forest’s Boundary Water Canoe Area Wilderness (BWCAW), with an approximate extent of 400,000 hectares, is part of the National Wilderness Preservation System, and it is reserved forest land which is not available for timber production.
This study utilized information generated from a recent and ongoing Minnesota study [31]. Data needs were intensive and included forest inventory data, forest inventory projections, cost estimates of silvicultural treatment options, and timber transportation cost estimates to major timber market centers in Minnesota. USDA Forest Inventory and Analysis (FIA) inventory data was used to describe and help project the forestlands in the model. The Minnesota DNR has aggregated the USDA Forest Service forest cover type classifications into 11 Minnesota forest cover types. We used that classification with a few small modifications. Aspen is the main forest cover type in Minnesota (29% of the statewide forest land), followed by black spruce (9%), oak (9%), northern hardwoods (9%), and lowlands hardwoods (9%) [30]. The aspen forest cover type is also widely spread across the study area. It usually contains a substantial component of other species, with the mix generally containing more hardwoods in the Southwest and more conifers in the Northeast. FIA data are collected using a nationally consistent two-phase sampling design and the program uses an annual system in which all the field plots are visited and measured once during the survey cycle. The duration of that cycle is five years in Minnesota, therefore one-fifth of the forestland is measured every year. The spatial sampling intensity of the FIA program in Minnesota is close to one plot per 2428 hectares [32,33]. Data from the FIA program are available and open to the public. The sampling design of the FIA plots allows them to be further divided into ‘conditions’, meaning that a proportion of a plot could be in different forest condition. This could be based on differences in the forest cover type, ownership, stand age, or reserve status. Data for this study were collected for the 2010–2014 survey cycle. A total of 7169 of FIA plots were included, characterizing approximately 6,046,840 hectares of forest land in Minnesota that are north of the Minneapolis-St. Paul metropolitan area, about 95% of the forest land in Minnesota.
Separate AAs were used for each of all of the forest condition classes of FIA plots in the study area. Each FIA plot condition class was subdivided to reflect estimated areas in one of three riparian classes. Each FIA condition class on privately-owned land was further subdivided into five classes to reflect timing assumptions regarding the availability for harvest. Details are described in Hoganson et al. [31] with availability assumptions generally varying by stand age and forest cover type.
Aspen and red pine (Pinus resinosa Ait.) are two of the most valuable tree species for the forest industry and with the highest demand in Minnesota. To help account for regional variation of the aspen forest cover type in Minnesota, the AAs in the aspen cover type are further classified based on ecological region (Figure 2). Tree species mixes found in aspen stands vary substantially by ecological region, as do natural succession cover type pathways of stands currently in the aspen forest cover type. Red pine AAs were subdivided into red pine plantations and natural stands of red pine, allowing the model to recognize higher yields and thinning opportunities from red pine plantations.
Figure 2.
Ecological regions in Minnesota. For the purpose of this study, small ecological regions were combined with a nearby section. Specifically, 212J was merged with 212K, and 251A and 251B were combined with 222M.
In addition to clearcut options for harvest, shelterwood systems were considered for oak, and uneven-aged management options were considered for northern hardwoods. No-harvest options were considered for all AAs. Although old forest objectives are of concern for all forest cover types, this study focused on old forest production of hardwoods on uplands. Northern hardwoods in Minnesota is a mix species cover type commonly constituted by red maple (Acer rubrum), sugar maple (Acer saccharum), paper birch (Betula papyrifera), trembling aspen (Populus tremuloides), northern red oak (Quercus rubra), and basswood (Tilia Americana).
To help the reader understand better the current situation for the study area, Figure 3 shows, by forest ownership, the age-class distributions for the main cover types at the start planning horizon. In Minnesota, optimal economic rotation age for the aspen cover type is usually 40–45 years, 80–90 years for the oak and northern hardwoods cover types depending on site quality, and 50 years for the birch cover type. Figure 3 illustrates the current relative abundance of financially overmature imbalance for both aspen and birch cover types for timber production at the start of the planning horizon, as well as, the fact that the majority of the oak and northern hardwoods timberland are on private lands. The graphs also use the same scale, helping illustrate the current balance of these four forest cover types central to this study.
Figure 3.
Current age-class distribution of aspen (a), oak (b), northern hardwoods (c), and paper birch (d) cover type timberland at the beginning of the planning horizon (period 0) in the study area.
2.2. Dualplan: Background and Overview of the Model
Dualplan is a forest management scheduling model developed initially over 30 years ago [34]. Over time it has been substantially updated with diverse features and modules that give the model flexibility to describe and track important stand-level detail while addressing relatively large problems [35,36,37,38,39,40]. Dualplan and Dtran, its multi-market, multi-ownership, transportation variant, have been successfully applied in many large studies, ranging from all-landowner-multi-market studies emphasizing timber based economic development [41,42] to USDA National Forest planning emphasizing spatial arrangement of the forest for wildlife habitat [43,44,45,46].
Dualplan uses a Model II linear programming formulation [47] to define the forest planning problem. It decomposes the formulation into subproblems that are each linked to the master problem via the dual variables associated with the forest-level constraints of the master problem. Forest-level constraints can range from constraints on total timber production by planning period to periodic targets for old forest characteristics. In the simplest case, each subproblem in Dualplan is an economic analysis of a specific timber stand. Analyses for each subproblem use estimated values of dual variables for the forest-wide constraints of the master problem to recognize the stand-level impacts of stand management options on the forest-wide constraints [34,48,49]. Once Dualplan develops an initial forest-wide schedule, the schedule is summarized with those results used to help re-estimate the optimal values of the dual variables for the forest-wide constraints. The subproblem solution process is repeated iteratively, each time updating estimates of the dual variables (shadow prices) for the forest-level constraints. With its ties to duality theory, the solution process always produces optimal solutions, yet the solutions are infeasible solutions in that they typically violate at least some of the forest-wide constraints of the master problem. However, the process of using the intermediate results to help re-estimate the values of the dual variables is key to help move solutions towards feasibility. Applications have consistently found that estimates of the dual variables for the forest-wide constraints can be determined such that violations (infeasibilities) of the forest-wide constraints are acceptable in practical terms. With its ability to decompose problems into subproblems, very detailed forest-wide problems (many stands) can be addressed.
Dual variable value estimates (shadow price estimates) are central for addressing forest-level constraints in stand-level analyses. Essentially, each dual variable value estimate is an added bonus or penalty to include in a stand-level analysis so that forest-level impacts of stand-level management options are addressed when they are evaluated. The level of these bonuses or penalties is often valuable information to decision-makers in selecting appropriate constraint levels (targets) for the forest-level constraints. Often a key aspect of planning is to use the analyses to help select targets or goals for the forest as more is learned about the potentials of the forest, especially in terms of realistic forest-level targets over time. Dualplan emphasizes the economic interpretation of the dual formulation of the forest-wide problem, which has been emphasized as valuable information for decision-makers in planning [48,49].
Dualplan takes advantage of the efficiencies of Model II formulations [47], where the analysis area (AA) treatment options can be defined separately for each rotation without enumeration of all possible combinations of multiple-rotation options as used in Model I formulations [47]. Treatment options for existing AA conditions or for future regeneration options in Dualplan take into consideration both market type and condition type flows. Market type flows are the benefits and costs for the output product (they are assumed to occur at the midpoint of the planning period), and the condition type flows are descriptions, at the end of the planning period, of the condition of the AA if the associated treatment option is selected. A condition type flow is a unique combination of the stand age (5-year age class), forest cover type, and site index class.
The model uses map layers of the forest and associated map colors for each layer to allow users to help define forest condition sets and market flow sets. Map layers can show stand characteristics such as ownership, ecological region, or management zone. Dualplan is extremely detailed in tracking market type flows and forest condition type flows. Condition type flows are in terms of forest area and can be aggregated into condition sets, which are groups of condition type flows defined by the user. For example, a condition set could be the total area of ‘old forest’ within a specific forest cover type and a specific ecological region. The area of the forest in every condition set is tracked by the model for each planning period. A condition type flow can belong to more than one condition set. For example, a 60-year-old stand in the aspen (Populus spp.) cover type on federal lands could be included in an “old hardwoods” condition set and in an “age 60 federal lands” condition set. Similarly, market sets are total aggregated market flows for each planning period of one or more market type flows recognized in the stand-level treatment options. Again, each market type can be part of any number of market set flows. This form of defining sets helps us to define constraints applied to sets (either market or condition set) for each planning period.
Another critical facet of scheduling models are the inventory conditions at the end of the planning horizon. When the value of the ending inventory is not fully and appropriately recognized in a linear programming model, results can have a tendency of liquidating or overestimating the value of ending inventory. To help overcome this inclination, Dualplan incorporates the option of projecting the dual variable estimates for periods beyond the planning horizon, thus allowing ending inventory to be valued based on modeling results. The user can decide to project the shadow prices estimates of the dual variable of the last period, or an average of the shadow values found for periods near the end of the planning horizon.
Because Dualplan decomposes problems into subproblems, the process fits well with computational efficiency opportunities offered by parallel processing technologies that harness multiple co-processors common today on desktop computers. Essentially, each co-processor can analyze a different set of subproblems (stands) during each iteration.
The Dualplan model has also the ability to recognize a wide range of silvicultural treatment options for each forest cover type. Clearcutting with residuals was considered a management option for all forest cover types. Minnesota Forest Management Guidelines regarding clearcutting with residuals were followed for estimating all timber yields [50]. A minimum and a maximum for rotation ages were also defined for each forest cover type and site quality class to guarantee that harvests could only happen within a reasonable age range. Details can be found in Hoganson et al. [31].
2.3. Marginal Value Functions for Old Forest
Although old forest objectives are of concern for all forest cover types in Minnesota, this study focused on old forest production of uplands hardwoods. In Minnesota, wood supply issues generally center on aspen timber volumes, with many acres of the aspen forest cover type potentially succeeding to hardwoods if not harvested. Undoubtedly, many acres of the aspen forest cover type will succeed to hardwoods. Integrating management across hardwood cover types is an important challenge in Minnesota and elsewhere.
To help better understand trade-offs between the joint production of the two ecosystem services, timber and old forest, we developed a series of alternatives in which hardwood old forest is valued differently. As mentioned in the introduction, a marginal value approach was used to evaluate the old forest value ecosystem services and, in this section, we explain how the alternative marginal value functions were chosen. We considered three types of relationship between the marginal value and old forest area: horizontal, vertical, and downward-sloping functions.
In order to better comprehend the dynamics of the model in relation to the old forest, we first considered alternatives in which old forest has a constant marginal value per hectare, resulting in a horizontal marginal value function with respect to quantity produced. As a baseline, we assumed that environmental preferences towards old forest were absent, so that old forest was valued at $0/ha and timber production was the sole valued service from the forest. We also considered three additional alternatives with horizontal demand curves, raising this horizontal demand curve in increments of $20/acre. Translating to metric units resulted in constant annual values of $49.4/ha, $98.8/ha and $148.3/ha. These marginal value curves essentially included the value of old forest in the objective function of the scheduling model, not forcing the production of old forest through any explicit constraints in the model. Comparing model results for these alternatives will add insight about potential gains from explicitly recognizing a constant old forest value in planning.
With the intent of assessing the behavior of the model with an approach that forest planners commonly follow to sustain old forest conditions, a second set of alternatives used a fixed target amount of old forest to be achieved at the end of each planning period. These area targets implied vertical demand curves. We considered old forest targets of 0.85 million hectares, 0.93 million hectares, and 1.01 million hectares. These values should not be considered as precise estimates, as they were developed initially as 2.1 million acres, 2.3 million acres, and 2.5 million acres with conversion to hectares, potentially suggesting more precision than intended. Initially, the forest had approximately 1.23 million hectares of old forest; in terms of financial maturity this reflected that much of the forest was initially financially overmature. Modeling results will help add insight regarding whether a wider range of old forest production levels might be realistic.
Finally, we defined and explored three additional old forest marginal value curves with a downward slope, to reflect the possibility that stakeholders place higher marginal value on scarce flows of the ecosystem service. To at least some degree, the position and shape of a marginal value function for old forest is a controversial topic, especially when little is known about the potential trade-offs of forest management. Different forest stakeholder groups have quite different values associated with old forest. For example, some in the timber industry would likely argue for keeping marginal values for old forest high for only a short range of old forest production levels and then declining rapidly with increasing quantity. By contrast, some environmental groups might suggest marginal value curves that decline slowly with increasing quantity. To incorporate both views into the study we considered two marginal value functions mimicking these preferences, as well as a third, intermediate option with a constant slope. Figure 4 shows these three marginal value functions; called high, medium, and low marginal value functions throughout the rest of the paper. Again, these functions relate only to the production of old forest of upland hardwoods for our study area.
Figure 4.
Downward–sloping marginal value functions used for the old forest as the ecosystem service.
The decision to leave an individual stand as old forest or to harvest is a marginal one, having only a small effect on overall timber or old forest production. As a result, that decision entails computing the net marginal benefits (marginal benefits minus marginal costs) of leaving a stand as old forest. The net marginal benefits can be thought of the marginal benefits of recreational opportunities, wildlife habitat, or biological diversity, less any direct costs such as recreation upkeep or increased damages from wildfire. Opportunity costs are already explicitly captured when considering harvesting the stand. The exact numeric values and functional forms we used for marginal values were intended only to cover a range of alternatives, and did not reflect our judgment of a ‘true’ social marginal value curve. All the marginal value functions were assumed to be for the aggregated value of the total old forest and were assumed to be the same for each planning period. Values were in terms of forest condition at the end of each planning period, and were expressed here in annual terms, representing a value that can be added (or credited) as a series of benefits over time for valuing specific stand-level management options. These marginal values varied by periods, since the total area of old forest changes over time.
2.4. Additional Considerations for Northern Minnesota Applications
Overall, our intent was to keep the model simple enough to be useful, yet realistic and aligned to the current forest situation in Minnesota. There is a strong interest in the potential future growth of the forest industry in Minnesota, and all of our scenarios considered some potential expansion of the forest industry in Minnesota. For the first 5-year planning period harvest, levels were constrained to be between 13.77 million m3 and 15.22 million m3. For period two and all periods beyond, statewide harvest levels were constrained to be between 14.5 million m3 and 16.31 million m3. The model recognized premiums for timber by species and product class with the highest prices for red pine sawlogs. Timber prices were delivered prices to the market, including harvest and transport costs.
Aspen harvest levels in Minnesota are of particular interest, because of interest for potential mill expansions and because aspen harvest levels, at least in a long-term perspective, are likely currently near their long-term sustainable level. Also, because of aspen’s general short-lived nature, much of the aspen forest cover type is currently at a stand age where merchantable stand volume is declining and these stands are succeeding to other forest cover types. Current aspen age-class distributions also vary substantially by forest ownership group. The volume of aspen includes the following species: trembling aspen (Populus tremuloides Michx.), bigtooth aspen (Populus grandidentata Michx.), and balsam poplar (Populus balsamifera L.). Recognizing the importance of aspen harvest levels, we considered three alternatives that differ in the assumed volume of aspen harvested per year, while the constraints on the statewide harvest levels are the same for these three alternatives. These alternatives were: (1) the first alternative that forced aspen harvest levels to be at least 5.43 million m3 per year throughout the planning horizon. This was an approximate estimate of the current aspen harvest volume of recent years in Minnesota; (2) a second alternative to assess the behavior of harvest flows under a relatively small mill expansion alternative that increased aspen harvest levels by 200,000 cords annually to a constant level of 6.16 million m3 throughout the horizon planning; and (3) the last alternative where we imposed an early departure of aspen volume levels at 6.16 million m3 per year during the first 20 years of the planning horizon and decreasing those levels to 5.8 million m3 after that, remaining at that 5.8 million m3 level throughout the rest of the 100-year planning horizon. This third “aspen demand” alternative addressed the potential for a short-term increase in aspen harvest levels with some decline in aspen levels longer-term, potentially reflecting shifts in timber demand to more under-utilized species.
Condition sets were defined in Dualplan to help track and constrain production of old forest. The focus was on a condition set that tracked the area of the old forest of upland hardwoods. The area of this condition set included all area in the oak and northern hardwoods forest cover types greater than age 60 years. It also included percentages of the aspen and paper birch (Betula papyrifera) cover types, with percentages varying by forest cover type, stand age, and ecoregion (Table 1). Both aspen and paper birch forest cover types are generally short-lived where, if not harvested, a proportion of their area is assumed to have transitioned to a mixed hardwood condition. The transition period is a gradual time period over which the oldest overstory trees die and are replaced by hardwoods assumed to be in the stand. “Age” of the stand is defined in terms of stand age at the start of the planning horizon plus time since the start of the planning horizon, with stand forest cover type not changed explicitly in the specific treatment options used as model input. For example, the 0.3 value for the aspen forest cover type at age 100–105 in the Northeast ecoregion (Table 1) indicates that 30% of these aspen stands are assumed to meet old forest hardwood requirements. Generally, as reflected in Table 1, stands in the Northeast portion of the study area transition to hardwoods at a later age. We assume that a higher percentage of the area in the aspen forest cover type produce old forest before transitioning to another forest cover type. However, as also reflected in Table 1, a lower percentage of the oldest aspen stands in the Northeast transitions to old hardwoods because a substantial proportion of aspen forest cover type in this region will succeed to a mixed conifer condition. In terms of defining the area of old forest hardwoods, the birch forest cover type was not considered to produce old forest until the forest cover type changes, as birch trees are short-lived and generally do not make for good wildlife cavity trees as would aspen trees [51].
Table 1.
Percentages of the area of aspen and paper birch forest cover types that meet old forest requirements in each ecoregion and each stand age class.
Similar to how some timber products (like pine sawlogs) have premium values, premiums for specific types of old forest conditions were also considered in some scenarios. We also included two additional alternatives to help better understand the potential of shifting old forest production by stand ownership. These alternatives used either high or low premiums based on stand ownership, stand age, and forest cover type (Table 2). Generally, in terms of ecosystem services, it may be more desirable to have the older hardwood conditions emphasized more on public lands, and potentially more aggregated on the landscape through specific areas like on National Forest system in Minnesota. Premium levels were developed initially in terms of $/acre/year, with the high precision of the values reported in Table 2 being somewhat misleading because of conversion to metric units for reporting. Both specific values and premium levels for old forest are certainly difficult to estimate. Our strategy was somewhat like a classic cost-price approach for dealing with price uncertainties where the focus is not on developing and using a specific price estimate, but rather on the sensitivity of results to prices [52,53]. Our interest was more focused on shifts in production between ownerships with premiums rather than identifying break-even future prices.
Table 2.
Premiums considered for old forest of upland hardwoods based on forest cover type, stand age class, and forest ownership class ($/ha/year).
In summary, each scenario corresponded directly with an application of the forest management scheduling model, and each was a unique combination of assumptions concerning three facets described in this methods section: (1) one of ten marginal value functions for old hardwood forest; (2) one of three assumed plausible demand levels for aspen timber volumes over time; and (3) one of three premium levels reflecting relative value differences between the types of old forest produced. For all the scenarios modeled, we used a 100-year horizon planning divided into 20 5-year periods. To calculate the net present value of all stand-level management options, a 4% annual discount rate was used for all scenarios.
3. Results
Results are presented in five subsections: (1) old forest and timber production across different aspen harvest levels; (2) results related to the behavior of the different horizontal marginal value functions for old forest for the middle aspen harvest level; (3) results showing the impact of targeting a fixed quantity of old forest; (4) downward-sloping marginal value functions used for old forest evaluation; and (5) impacts of premium levels across forest ownership.
3.1. The Joint Production of Old Forest and Timber with Different Aspen Harvest Levels
One of the goals of this study was to assess the joint production of old forest with several alternative aspen harvest levels. As mentioned earlier, aspen is one of the main forest cover types in Minnesota, both in area and in harvest levels. With the highest old forest marginal value function showed in Figure 4, the amount of old forest produced under the three aspen harvest levels is similar and follows the same pattern (Figure 5a). It peaks during the first period under all three alternatives and it gradually decreases until period nine. This fact is again correlated with the current forest condition for the forest cover types considered producing old forest. In period 10, when the aspen stands harvested in period one and two are available to harvest again, the marginal value for old forest slightly increases, favoring holding the stands to create old forest. Differences among scenarios are greater in the shadow values associated with the aspen constraints. For the low aspen harvest level alternative (5.44 million m3 annually) shadow values remained zero (or very close to zero) during the first four periods and during the last ten periods (Figure 5b) and shadow prices were always under $5.2/m3 during the rest of the periods. However, these values substantially increased under the high aspen harvest level alternative (6.16 million m3 annually), implying that achieving the highest harvest level for aspen may be difficult to sustain throughout the planning horizon. Aspen shadow prices for the medium aspen harvest level followed a regular pattern (Figure 5b). They gradually increase in value until they reach the maximum value in period eight, and they slightly decrease afterwards when aspen area harvested in period one is again available to harvest.
Figure 5.
Amount of old forest produced under three aspen harvest levels and the high marginal value function for old forest (showed in Figure 2) (a) and aspen shadow prices for the three aspen harvest levels and the high marginal value function for old forest (b).
The shadow price estimates for the volume constraints applied to all the species followed the same pattern across aspen harvest levels (Figure 6). For earlier periods, these shadow prices are negative, acting as penalties that maintain lower timber flows. These values increase over time, eventually becoming positive subsidies encouraging harvest in later periods. Essentially, these shadow prices reflect the initial overmaturity of the forest (financially), with a fairly steady increase in returns for delaying harvests until later periods to offset stand-level volume growth rates that are below the interest rate for a large percentage of the forest in most cover types.
Figure 6.
Shadow prices estimates for the all species volume constraints across all three aspen harvest levels (low, medium, and high).
Results from the models using the different aspen harvest levels suggested that the medium aspen harvest alternative is most plausible, so we used that alternative for the rest of the paper. The lowest aspen harvest level yields zero shadow value during several periods, suggesting that aspen harvest levels could be increased. In contrast, the high aspen harvest level alternative may not be sustainable in the long term. The medium aspen harvest alternative entails an early departure of an annual level of 6.16 million m3 of aspen during the first 20 years, decreasing to 5.8 million m3 in period six and remaining constant throughout the rest of the planning horizon.
3.2. Horizontal Marginal Value Functions for Old Forest (Fixed and Constant Price)
One of the easiest ways to promote a non-common use of forests is to give a reward for that use. For old forest, the area of forest that is producing old forest is not harvested. This section assesses the potential impact of a fixed price incentive for old forest, a common implementation practice. With this approach, each stand-level treatment option is rewarded by a price in each planning period it produces old forest. Under this set of scenarios, this per unit price is fixed regardless the amount of old forest produced forest-wide. In other words, the marginal value function is a horizontal function with respect to the forest-level quantity of old forest. As mentioned earlier, we considered four horizontal marginal value functions, with a constant annual price of $0, $49.4, $98.9, and $148.3 per hectare of forest retained to produce old forest.
As expected, a higher value assigned to old forest generally led to a larger area of old forest being produced across the planning horizon. The difference between the amounts of old forest produced by marginal value functions becomes larger during the middle periods and decreases considerably at the beginning and the end of the horizon planning (Figure 7a). For example, the ratio of the two extreme marginal value functions—no value and the $148.3/ha scenarios—is more than two during periods 8 to 13, but there is little difference between the two extreme scenarios at both the beginning and the end of the planning horizon.
Figure 7.
Amount of old forest produced under the horizontal marginal value functions (a) and marginal values associated with the aspen volume constraints (b).
A horizontal marginal value function that assigns a constant value to the old forest service generally produces an irregular flow of old forest through the planning horizon (Figure 7a). The largest difference is found for the scenario with the no-old-forest-value alternative. For that scenario, the maximum area of old forest is produced during the first period. That result reflected the current state of the forest in Minnesota, where a large proportion of the forests is financially overmature. When no value of old forest was considered, timber production was the only ecosystem service driving the harvesting schedule, resulting in a substantial decline in old forest, dropping from 1.23 million hectares in period one to 653,169 hectares in period six. The range of old forest produced on each scenario becomes smaller as the value for old forest increases. For the case of the highest value, the differences among periods are smaller, resulting in the smallest quantities of old forest towards the end of the planning horizon (periods 17 to 20).
The financially mature situation of aspen forests in Minnesota were also reflected in the marginal values associated with aspen volume constraints (Figure 7b). The general trend for the different marginal value functions was an increase in shadow price over the first eight periods. The explanation of that behavior is that the forest is over its rotation age in period one. If the model did not have the aspen volume constraints built into it, more aspen would be harvested in period one. Including these constraints, the model needs to hold more area to be harvested in the following periods and the only manner to encourage harvesting later is to increase prices for later periods. Shadow prices for period nine generally decrease because the area of aspen regenerated in period one is available to be harvested again in period nine. This pattern is found in the four scenarios considered in this subsection, but the values of the shadow prices associated with the different scenarios completely depend on the marginal value function applied. Shadow prices for the scenario using the $148.3/ha of old forest alternative are especially high in the middle periods, being more than 11 times higher than the shadow values for non-value scenario in period eight (Figure 7b).
A horizontal marginal value function for the old forest produces a very imbalanced old forest flow across periods and relatively large and substantially higher shadow prices for the aspen harvest level constraints for some periods for the two scenarios, with the highest shadow prices for old forest.
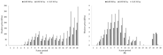
3.3. Vertical Marginal Value Functions for Old Forest (Fixed and Constant Quantity of Old Forest)
Another common strategy in forest planning for addressing old forest is to fix a constant target level or goal of old forest flow throughout the planning horizon. Public agencies generally use these forest policies (i.e., retain a 10% or 15% of the forest to produce old forest). Of interest is the implied marginal values (or costs) of these constraints, both in terms of general level and fluctuations over time. For the scenarios of this subsection, we constrained the model to always obtain the same quantity of old forest each period regardless how expensive it is. This commonly applied policy resulted in shadow price estimates that varied greatly over time for both old forest targets and aspen volume targets (Figure 8).
Figure 8.
Marginal value estimates for old forest under three fixed old forest target levels (a) and marginal values associated with the aspen species volume constraints with these old forest target levels (b).
Marginal values for old forest when applying a fixed target vary from an annual value of $0 to $341 per hectare of old forest, for the scenario using the highest target of 1.01 million hectares of old forest. For the three scenarios applied in this section, the marginal value of old forest was zero (or close to zero) for the first five periods implying again that there will not be any extra cost of holding more old forest because the fixed target of old forest has already been met. The pattern of the marginal values was the same for the three targets considered, but higher targets of old forest required higher marginal values in later periods. Specifically, values for the scenario with the highest target (1.01 million hectares) increase substantially at the end of the planning horizon, being greater than $200/ha/year for the last three periods and reaching an annual $342/ha during the last period. Figure 8a presents the precise description about the interest in using a downward-sloping marginal function to valuate old forest. Marginal values for old forest were zero across old forest targets during the first four periods. That implies that the three targets were reached on those periods, and an extra hectare of old forest would not add any value once the constraint was met. Similarly, the large marginal values for old forest at the end of the planning horizon suggested that the targets were very expensive to achieve, and very large subsidies must be offered to encourage to hold a hectare to produce old forest.
Shadow prices for the aspen harvest constraints follow the same pattern across all the scenarios considered in this subsection. Values increase from zero or close to zero in periods one and two, to peak in period eight. Values in this period vary across target levels, reaching almost double for the 1.01 million hectare target than for the 0.85 million hectare target (Figure 8b). For these scenarios we can also see how the aspen shadow prices slightly increase at the end of the planning horizon, encouraging aspen harvest to be postponed for later periods.
Results from this and the former subsection suggested the idea of using a declining marginal value function as the method for evaluating old forest. The next subsection discusses the results found on the application of the three downward-sloping marginal value functions on the medium aspen volume alternative.
3.4. Downward-Sloping Marginal Value Functions
The purpose of this subsection is to show some of the options that a forest planner would encounter when working with different stakeholders or landowners that differ on the ‘value’ assigned towards one of the ecosystem services. It is important to know the interactions and possible trade-offs between ecosystem services before deciding to apply a specific policy for forest planning. For the medium aspen harvest level assumption described earlier, we developed three scenarios using the low, medium, and high marginal value functions explained in Section 2.3.
Old forest flows and their marginal values follow a different trend across scenarios (Figure 9). For the low marginal value function alternative, old forest area starts in period one with its maximum value, 1.18 million hectares, and with a very low marginal value associated with it, close to zero. The area of old forest in that scenario decreases over time until period nine. When the old forest area is slightly decreasing, the associated marginal values must increase, due to the definition of the downward-sloping function used to value old forest: the scarcer the service is, the higher the marginal value given to the service. This is also aligned with what we see in Figure 9b between period one and nine. From period nine to the end of the planning horizon, both the area of old forest and its marginal value remain approximately constant over time.
Figure 9.
Old forest flow (million hectares) (a) and their marginal value estimates for old forest under the three marginal value functions ($/ha/year) (b).
These trends are different for the scenarios using the medium and high marginal value functions. As is expected, values of the amount of old forest and the marginal values for the high marginal value alternative are always higher than the ones for the medium alternative. Area of old forest produced in both scenarios decrease from the maximum amount of old forest reached in period one, to period nine. However, in these two scenarios, the amount of old forest produced grows again until period 12, and after that it gradually drops until it reaches the minimum amount of old forest in period 20 (Figure 9a).
For these two scenarios, marginal values associated with old forest are substantially higher than the values for the low scenario. That difference is largest at the end of the planning horizon where the marginal value for the highest alternative scenario reaches $180/ha/year, more than four times bigger than the value in period 20 for the scenario with the low marginal value function, $41.3/ha/year (Figure 9b).
Differences in value were also found in the shadow prices for aspen harvest levels, but the pattern followed by the three scenarios was similar: an increase in shadow prices until period eight, and a gradual drop in values for the next three periods. In period 12, higher subsidies are offered to promote holding aspen harvest level and to be able to meet the aspen level constraints in later periods (Figure 10).
Figure 10.
Marginal values for the aspen species volume constraints across marginal value functions.
A key aspect of any forest policy is also how it impacts the other conditions or characteristics of the forest not directly related to the policy. One of the potential concerns of an old forest policy could be how it interacts with younger age classes during and at the end of the planning horizon. The impact of the two extreme marginal value functions on the age-class distribution of the forest cover type that contribute to produce old forest was the same by forest cover type, with the difference that the high marginal value alternative produced a larger amount of old forest than the low marginal function alternative. Figure 11 shows the changes of the age-class distribution for oak and northern hardwoods over time under a low old forest marginal value function. Figure 12 shows the age-class distributions for the same forest cover types over time under a high old forest marginal value function.
Figure 11.
Oak and northern hardwood age-class distribution under the lowest old forest marginal value function at year 40 (a), 60 (b), 80 (c), and 100 (d) of the 100-year planning horizon.
Figure 12.
Oak and northern hardwood age-class distribution under the highest old forest marginal value function at year 40 (a), 60 (b), 80 (c), and 100 (d) of the 100-year planning horizon.
The impact of the high old forest marginal value function alternative (Figure 12) on the northern hardwoods age-class distribution over time clearly differed from the impact observed under the low the marginal value function (Figure 11). Results showed an increase in area assigned to the oldest class (>140 years), and that difference was already patent at year 40 (Figure 11a and Figure 12a). The difference in the amount of old forest area produced by different scenarios in this forest cover type was more abrupt at the end of the planning horizon, being around 200,000 hectares for the low marginal value function, to more than 400,000 hectares in the high marginal value function (Figure 11d and Figure 12d).
3.5. Premiums Levels for Old Forest by Ownerships and Age
Values of ecosystem services almost certainly vary by ownership and age class. Here, we compare results of nine scenarios, with scenarios varying combinations of the three downward-sloping marginal revenue curves for old forest of upland hardwoods (Figure 4), and the premium level assumed for types of old forest (Table 2). Generally, public land management agencies question to what extent the public should rely on private landowners producing old forest. At the start of the planning horizon, there were 1.23 million hectares estimated in the oak and northern hardwoods cover types in our study area, and nearly 723,000 hectares are on private lands. Table 3 shows the amount of these two cover types that are over 80 years old at three points in time: The start of the planning horizon, the end of the planning horizon, and the midpoint of the planning horizon (period ten). Table 3 shows some clear trends. First, under all nine scenarios, private lands comprise well over half of the old forest area regardless of premium assumed. Second, there are some relatively distinct trends in old forest levels by ownership. Note the values in Table 3 on Federal lands double over the planning horizon under all scenarios. This is not surprising; as noted earlier, the BWCAW lands cannot be harvested and most of BWCAW is federal land. However, the old forest totals for federal lands are not large compared to other ownerships because much of the oak and northern forest types in Minnesota are not in the BWCAW.
Table 3.
Comparison of model results for nine scenarios in terms of the impact of premiums used for old forest based on ownership, forest cover type and stand age.
As one would expect, the premiums assumed for old hardwoods are causing some shifts in the ownership where old hardwood conditions are scheduled, but the impact of the marginal value function for old forest has a much larger impact than the premium levels we assumed. For the high premium alternative, we assumed a premium as high as $23.72/ha/year, which would translate to a $593/ha net present value for a stand in the initial inventory that can provide old forest condition indefinitely. However, the premiums do not result in much of an increase in old forest. As shown in Table 3, the net increase in old forest in the northern hardwoods and oak forest cover types never exceeds 29,000 ha. In contrast, the totals shown in Table 2 vary by about 250,000 ha in both period 10 and period 20 between the low and high demand scenarios (Table 3).
4. Discussion
Like the information summarized in Figure 1, the forest management situation in Minnesota is complex. Management choices are clearly impacting the ecosystem services provided. Structuring a model to address such complexities is clearly a challenge. Here, we discuss briefly a few insights from our experiential learning associated with this study that may be helpful for studies elsewhere.
4.1. Benefits of Using Downward-Sloping Marginal Value Curves
Modeling results for our scenarios suggested the limitations of using constant prices or constant targets for ecosystem services. Initial age-class distributions for the forest are imbalanced, and extremely so for some forest cover types. Our results showed that with constant marginal values assumed for old forest, substantial fluctuations occur in the old forest output levels over time, with levels declining more in later periods for the values we considered. In contrast, when setting old forest targets constant over time, targets were achieved at low-cost short term with substantially higher marginal costs in later periods. Downward-sloping marginal revenue curves fit well with basic concepts of scarcity, reflecting higher marginal values when resources are scarcer. Such an approach also helped overcome problems with setting infeasible or unrealistic old forest targets. With these downward-sloping target levels, targets can vary periodically on their associated marginal cost. In simple terms, users have opportunity to define targets based on associated costs at the margin. Often in forest planning, it is important to consider targets for management, yet such targets are difficult to set until more is learned through analysis of production possibilities. Also, in forestry, these possibilities substantially change over time as forest conditions change. Also, the temporal scale is important, as old-forest values are typically time series of benefits at the stand level, with it generally important to plan ahead.
4.2. Importance of Forest-Level Analysis Across Forest Cover Types
Our applications also demonstrate some of the difficulties and over-simplifications of addressing forest cover types separately. The composition of individual stands changes with succession, resulting in a shift or change in the forest cover type. This is especially true for short-lived species like aspen. Unless natural disturbance rates are high, relatively new forest reserve areas will take time to develop into a more steady-state old forest condition, and even then, forest-level conditions will vary substantially over time unless we are dealing with vary large landscapes. Some forest cover types, like aspen in Minnesota, are critical for sustaining local timber economies. Other forest types, like northern hardwood, are more complex in ecological structure and may be better suited for producing a mix of economic and ecological benefits, especially if uneven-aged management can be financially viable. Our results also demonstrate that the general wood supply situation in Minnesota, in terms of its ability to support additional economic development, is especially sensitive to specific tree species needed for development opportunities in question. Although aspen is of major value to the existing forest industry in Minnesota, opportunities for additional expansions based primarily on aspen would likely cause substantial timber supply challenges to existing forest industry. The situation is quite different for other species and forest cover types. Generally, most of Minnesota’s forest cover types are currently financially overmature, as is consistently shown in all our scenarios with the forest-level “even flow” harvest volume constraints at their upper bounds in early periods and at lower bounds in later periods. Even without considering climate change impacts, with Minnesota currently having a preponderance of older stands that are currently growing slowly, it does not seem all that surprising that forest insect and disease outbreaks are increasing and could be quite devastating, especially for some forest cover types.
4.3. Benefits of Analysis across Ownerships
With Minnesota having a mosaic of ownerships, there is clear value for large ownerships to better understand their management situation in a forest-wide landscape context. This was one clear need identified by a major recent analysis of Minnesota DNR timber harvest levels [54]. Additionally, for economic development opportunities, one cannot fully understand the supply situation if it is not analyzed over a broad landscape that recognizes the details of market demands. Another consideration is the production of fewer timber products, but with timber products being more valuable. Emphasizing more the value than the quantity of timber produced, will almost certainly integrate better with additional objectives associated with ecological services.
It is also important to recognize that our analyses have used optimization modeling, including nonmarket objectives. Our intent is not to show predictive results, but to help identify needs and understand trade-offs. Certainly, one cannot control private landowner behavior directly through broad landscape-level forest management scheduling. For example, our results certainly suggest that harvesting more of the older aspen on private lands in the short-term, as otherwise substantial volumes will be lost from the market for what appears a relatively tight timber supply situation for aspen that may continue for 40 years or more.
4.4. Additional Details, Data Needs and Further Analysis
Results are certainly sensitive to assumptions about private landowners. Detailed data on the behavior of private landowners in Minnesota and elsewhere is limited at best. However, the fact that a financially overmature aspen stand is even present on the landscape suggests that this landowner is unlikely to harvest this stand in the near future—many of these landowners have been approached by wood procurement foresters in the recent past and have declined harvest offers. Modeling results are also certainly sensitive to basic data involving growth and yield data, especially for the aspen forest cover type. The recent statewide Minnesota DNR study highlights this need [54]. Specifically, their study points out the sensitivity of their results to the aspen growth and yield data used. Aspen timber prices are also very sensitive to seasonal limitations on harvests, which we did not address in our scenarios. Limited information is also currently available on harvest costs. And although FIA inventory data is relatively current, future work might look at potentials of integrating inventories from major landowners into a landscape analysis. This would help allow for more site-specific and spatial detail, which are important for ecosystem services. Also, how short-lived cover types will change forest cover types over time is certainly not clear. In Minnesota and elsewhere, detailed analyses for forest planning helps to identify important information needs for forest management.
5. Conclusions
Numerous facets of a forest management situation may impact forest management decisions, especially when management involves multiple objectives. This study examined the integration of timber production with production of old forest of upland hardwoods across all forest ownerships in northern Minnesota. Results from a forest management scheduling model were compared for nineteen scenarios. Comparisons provided specific insight on the Minnesota situation related to ecosystem services. Broader insights for future efforts include:
- A marginal value approach utilizing downward-sloping marginal value functions was useful for integrating objectives. It recognizes that marginal value depends on relative scarcity. With this approach, management targets are cost sensitive, helping overcome problems related to setting ecosystem production targets or values for each planning period prior to analysis. It is a compromise approach, as marginal values for ecosystem services can vary between planning periods as their associated production level fluctuates. This tends to help dampen large periodic shifts in marginal costs or production levels.
- The decomposition approach for forest management scheduling that was used in this study proved valuable, allowing recognition of substantial detail in stand-level analyses, including explicit ties to forest-level constraints. The study utilized parallel processing with total computation where time not a factor. With the model, multiple map layers portraying forest condition measures can be tracked, valued, and constrained by the planning period relatively easily.
- Coordination of management across forest cover types is important, especially when early successional forest cover types are involved and initial age classes are imbalanced. Inefficiencies in timber production associated with high timber mortality can add additional pressures for harvesting more of the forest to meet timber needs. More effectively managing some stands for timber production can help provide opportunities for emphasizing other ecosystem services in other areas of the forest.
- Collaboration across ownerships is potentially important for more effective forest management. Ownerships likely have different mixes of forest cover types, with differing age class imbalances. Forest management opportunities and needs for specific ownership groups can be better understood when considered in a multi-owner landscape perspective.
Author Contributions
I.D.P.L., H.M.H., M.W.-C., and S.M. designed the study and interpreted the results. I.D.P.L. and H.M.H. did the model runs. I.D.P.L. wrote the paper. H.M.H., M.W.-C., and S.M. substantially contributed to writing the paper.
Funding
This study was funded by the Interagency Information Cooperative (University of Minnesota) for research and technological development.
Conflicts of Interest
The authors declare no conflict of interest. The founding sponsors had no role in the design of the study; in the collection, analyses, or interpretation of data; in the writing of the manuscript, and in the decision to publish the results.
References
- Millennium Ecosystems Assesment. Ecosystems and Human Well-Being: Synthesis; Island Press: Washington, DC, USA, 2005. [Google Scholar]
- Polasky, S.; Segerson, K. Integrating Ecology and Economics in the Study of Ecosystem Services: Some Lessons Learned. Annu. Rev. Resour. Econ. 2009, 1, 409–434. [Google Scholar] [CrossRef]
- Gómez-Baggethun, E.; de Groot, R.; Lomas, P.L.; Montes, C. The history of ecosystem services in economic theory and practice: From early notions to markets and payment schemes. Ecol. Econ. 2010, 69, 1209–1218. [Google Scholar] [CrossRef]
- Hoganson, H.M.; Meyer, N.G. Constrained Optimization for Addressing Forest-Wide Timber Production. Curr. For. Rep. 2015, 1, 33–43. [Google Scholar] [CrossRef]
- Daily, G. Nature’s Services: Societal Dependence on Natural Ecosystems; Island Press: Washington, DC, USA, 1997. [Google Scholar]
- Costanza, R.; Arge, R.; De Groot, R.; Farberk, S.; Grasso, M.; Hannon, B.; Limburg, K.; Naeem, S.; O’Neill, R.V.; Paruelo, J.; et al. The value of the world’s ecosystem services and natural capital. Nature 1997, 387, 253–260. [Google Scholar] [CrossRef]
- Costanza, R. Ecosystem services: Multiple classification systems are needed. Biol. Conserv. 2008, 141, 350–352. [Google Scholar] [CrossRef]
- Fisher, B.; Turner, R.K.; Morling, P. Defining and classifying ecosystem services for decision making. Ecol. Econ. 2009, 68, 643–653. [Google Scholar] [CrossRef]
- Fisher, B.; Turner, K.; Zylstra, M.; Brouwer, R.; de Groot, R.; Farber, S.; Ferraro, P.; Green, R.; Hadkey, D.; Harlow, J.; et al. Ecosystem Services and Economic Theory: Integration for Policy-Relevant Research. Ecol. Appl. 2008, 18, 2050–2067. [Google Scholar] [CrossRef] [PubMed]
- Boyd, J.; Banzhaf, S. What are ecosystem services? The need for standardized environmental accounting units. Ecol. Econ. 2007, 63, 616–626. [Google Scholar] [CrossRef]
- Binder, S.; Haight, R.G.; Polasky, S.; Warziniack, T.; Mockrin, M.H.; Deal, R.L.; Arthaud, G. Assessment and Valuation of Forest Ecosystem Services: State of the Science Review; U.S. Department of Agriculture, Forest Service, Northern Research Station: Newtown Square, PA, USA, 2017.
- Franklin, J.F.; Van Pelt, R. Spatial aspects of structural complexity in old-growth forests. J. For. 2004, 22–28. [Google Scholar] [CrossRef]
- Fire Effects Information System (FEIS); US Department of Agriculture, Forest Service, Rocky Mountain Research Station: Fort Collins, CO, USA, 2008.
- Diaz-Balteiro, L.; Rodriguez, L.C.E. Optimal rotations on Eucalyptus plantations including carbon sequestration-A comparison of results in Brazil and Spain. For. Ecol. Manag. 2006, 229, 247–258. [Google Scholar] [CrossRef]
- Alexander, R.R. Ecology, Silviculture, and Management of the Engelmann Spruce—Subalpine Fir Type in the Central and Southern Rocky Mountains; US Department of Agriculture, Forest Service: Washington, DC, USA, 1987; p. 144.
- Bowes, M.D.; Krutilla, J.V. Multiple use management of public forestlands. Handb. Nat. Resour. Energy Econ. 1985, 2, 531–569. [Google Scholar] [CrossRef]
- Arthaud, G.J.; Rose, D.W. A methodology for estimating production possibility frontiers for wildlife habitat and timber value at the landscape level. Can. J. For. Res. 1996, 26, 2191–2200. [Google Scholar] [CrossRef]
- Nalle, D.J.; Montgomery, C.A.; Arthur, J.L.; Polasky, S.; Schumaker, N.H. Modeling joint production of wildlife and timber. J. Environ. Econ. Manag. 2004, 48, 997–1017. [Google Scholar] [CrossRef]
- Hof, J.; Bevers, M. Optimal timber harvest scheduling with spatially defined sediment objectives. Can. J. For. Res. 2000, 30, 1494–1500. [Google Scholar] [CrossRef]
- Diaz-Balteiro, L.; Romero, C. Making forestry decisions with multiple criteria: A review and an assessment. For. Ecol. Manag. 2008, 255, 3222–3241. [Google Scholar] [CrossRef]
- Filyushkina, A.; Strange, N.; Löf, M.; Ezebilo, E.E.; Boman, M. Non-market forest ecosystem services and decision support in Nordic countries. Scand. J. For. Res. 2016, 31, 99–110. [Google Scholar] [CrossRef]
- Borges, J.G.; Diaz-Balteiro, L.; McDill, M.E.; Rodriguez, L.C. Management of Industrial Forest Plantations; Springer: London, UK, 2016. [Google Scholar]
- Walker, J.L. ECHO: Solution Technique for a Nonlinear Economic Harvest Optimization Model. Available online: http://agris.fao.org/agris-search/search.do?recordID=US19780291272 (accessed on 18 July 2018).
- Duloy, J.H.; Norton, R.D. Prices and incomes in linear programming models. Am. J. Agric. Econ. 1975, 57, 591–600. [Google Scholar] [CrossRef]
- Hrubes, R.J.; Navon, D.I. Application of Linear Programming to Downward Sloping Demand Problems in Timber Production; US Department of Ariculture, Forest Service, Pacific Southwest Forest and Range Experiment Station: Berkeley, CA, USA, 1976.
- Walker, J.L. Traditional Sustained Yield Management: Problems and Alternatives. For. Chron. 1990, 66, 20–24. [Google Scholar] [CrossRef]
- Miles, P.D.; Crocker, S.J.; Walters, B.F.; Kepler, D. Forests of Minnesota, 2016; US Department of Ariculture, Forest Service, Northern Research Station: Newtown Square, PA, USA, 2017.
- Bailey, R.G. Delineation of ecosystem regions. Environ. Manag. 1983, 7, 365–373. [Google Scholar] [CrossRef]
- Stearns, F.W. History of the Lake States Forests: Natural and Human Impacts. In Lake States Regional Forest Resources Assessment: Technical Papers; Webster, H.H., Vasievich, M.J., Eds.; US Department of Ariculture, Forest Service, North Central Forest Experiment Station: St. Paul, MN, USA, 1997. [Google Scholar]
- Miles, P.D.; VanderSchaaf, C.L.; Barnett, C.; Butler, B.J.; Crocker, S.J.; Gormanson, D.; Kurtz, C.M.; Lister, T.W.; McWilliams, W.H.; Morin, R.S.; et al. Minnesota Forests 2013; US Department of Ariculture, Forest Service, Northern Research Station: Newtown Square, PA, USA, 2016.
- Hoganson, H.M.; Rapids, G.; Meyer, N.G.; Carson, M.T.; Sciences, N.R. Better Understanding Minnesota’s Forest-based Economic Development Opportunities: A Draft Model & Draft Analyses; Department of Forest Resources, University of Minnesota: St. Paul, MN, USA, 2017. [Google Scholar]
- Miles, P.D.; Brand, G.J.; Mielke, M.E. Minnesota’s Forest Resources in 2003; US Department of Ariculture, Forest Service, North Central Research Station: St. Paul, MN, USA, 2003.
- O’Connell, B.; Conkling, B.; Wilson, A.; Burrill, E.; Turner, J.; Pugh, S.; Christiansen, G.; Ridley, T.; Menlove, J. The Forest Inventory and Analysis Database: Databse Description and User Guide Version 6.1 for Phase 2; US Department of Agriculture, Forest Service, Rocky Mountain Research Station: Fort Collins, CO, USA, 2016.
- Hoganson, H.M.; Rose, D.W. A Simulation Approach for Optimal Timber Management Scheduling. For. Sci. 1984, 30, 220–238. [Google Scholar]
- Hoganson, H.M.; Kapple, D. DTRAN Version 1.0: A Multi-market Timber Supply Model; University of Minnesota: St Paul, MN, USA, 1991. [Google Scholar]
- Hoganson, H.M.; Reese, L. Sustaining Timber Harvesting and Older Forest Conditions: A Harvest Scheduling Analysis for Koochiching County’s 2010 Forest Plan; University of Minnesota: St Paul, MN, USA, 2010. [Google Scholar]
- Hoganson, H.; Borges, J.G.; Wei, Y. Coordinating management decisions of neighboring stands with dynamic programming. Des. Green Landsc. 2008, 187–214. [Google Scholar] [CrossRef]
- Hauer, G.; Hoganson, H.M. Tailoring a decomposition method to a large-scale forest management scheduling problem in northern Ontario. Inf. Syst. Oper. Res. 1996, 34, 209–231. [Google Scholar]
- Hoganson, H.M.; Rose, D.W. A model for recognizing forestwide risk in timber management scheduling. For. Sci. 1987, 33, 268–282. [Google Scholar]
- Hoganson, H.M.; Borges, J.G. Using dynamic programming and overlapping subproblems to address adjacency in large harvest scheduling problems. For. Sci. 1998, 44, 526–538. [Google Scholar]
- Consulting, J.P. Final Generic Environmental Impact Statement Study on Timber Harvesting and Forest Management in Minnesota; University of Minnesota Digital Conservancy: St Paul, MN, USA, 1994. [Google Scholar]
- Minnesota Deptartment of Natural Resources. UPM/Blandin Paper Thunderhawk Project. Draft Environmental Impact Statement; Minnesota Deptartment of Natural Resources: St. Paul, MN, USA, 2006. [Google Scholar]
- USDA Forest Service. 2004 Forest Plan Chippewa National Forest. Available online: https://www.fs.usda.gov/detail/chippewa/landmanagement/planning/?cid=fsm9_016569 (accessed on 18 July 2018).
- USDA Forest Service. 2004 Proposed Forest Plan Superior National Forest. Available online: https://www.fs.usda.gov/detail/superior/landmanagemetn/planning/?cid=fsm91_049716 (accessed on 18 July 2018).
- Wei, Y.; Hoganson, H.M. Landscape impacts from valuing core area in national forest planning. For. Ecol. Manag. 2005, 218, 89–106. [Google Scholar] [CrossRef]
- Hoganson, H.M.; Wei, Y.; Hokans, R. Integrating Spatial Objectives into Forest Plans for Minnesota’s National Forests; General Technical Report PNW; US Department of Agriculture, Forest Service: Washington, DC, USA, 2005; pp. 115–122.
- Johnson, K.N.; Scheurman, H.L. Techniques for prescribing optimal timber harvest and investment under different objectives—Discussion and synthesis. For. Sci. 1977, 18, 31. [Google Scholar]
- Paredes, G.L.; Brodie, J.D. Land Value and the Linkage between Stand and Forest Level Analyses. Land Econ. 1989, 65, 158–166. [Google Scholar]
- Paredes, G.L.; Brodie, J.D. Activity Analysis in Forest Planning. For. Sci. 1988, 34, 3–18. [Google Scholar]
- Minnesota Forest Resources Council. Sustaining Minnesota Forest Resources: Voluntary Site-Level Forest Management Guidelines for Landowners, Loggers and Resource Managers; Minnesota Forest Resources Council: St. Paul, MN, USA, 2013.
- Burns, R.M.; Honkala, B.H. Silvics of North America: 1. Conifers; 2. Hardwoods; US Department of Ariculture, Forest Service: Washington, DC, USA, 1965.
- Lundgren, A.L. Cost-Price a Useful Way to Evaluate Timber Growing Alternatives; US Department of Ariculture, Forest Service, North Central Forest Experiment Station: St. Paul, MN, USA, 1973.
- Chapman, H.H.; Meyer, W.H. Forest Valuation; McGraw-Hill: New York, NY, USA, 1947. [Google Scholar]
- Minnesota Department of Natural Resources. DNR sustainable Timber Harvest Analysis. Available online: https://dnr.state.mn.us/forestry/harvest-analysis/index.html (accessed on 18 July 2018).
© 2018 by the authors. Licensee MDPI, Basel, Switzerland. This article is an open access article distributed under the terms and conditions of the Creative Commons Attribution (CC BY) license (http://creativecommons.org/licenses/by/4.0/).











