Next Article in Journal
Sustainable Management of Metasequoia glyptostroboides Plantation Forests in Shanghai
Previous Article in Journal
Comparison of Different Height–Diameter Modelling Techniques for Prediction of Site Productivity in Natural Uneven-Aged Pure Stands
 
 
Font Type:
Arial Georgia Verdana
Font Size:
Aa Aa Aa
Line Spacing:
Column Width:
Background:
Article

Nitrogen Alters Initial Growth, Fine-Root Biomass and Soil Organic Matter Properties of a Eucalyptus dunnii Maiden Plantation in a Recently Afforested Grassland in Southern Brazil

by
Gabriel W. D. Ferreira
1,2,*,
Fernanda C. C. Oliveira
1,3,
Lucas O. G. Silva
1,
José João L. L. Souza
1,4,
Emanuelle M. B. Soares
1,
Elias F. Araújo
5 and
Ivo R. Silva
1
1
Departamento de Solos, Universidade Federal de Viçosa, Av. PH Rolfs, s/n, Viçosa, MG 36570-900, Brazil
2
Departamento de Ciências Florestais, Universidade Federal de Lavras, Campus UFLA, Lavras, MG 37200-000, Brazil
3
Programa de Pós-Graduação em Desenvolvimento e Meio Ambiente, Universidade Federal de Sergipe, Av. Marechal Rondon, s/n, São Cristóvão, SE 49100-000, Brazil
4
Departamento de Geografia, Universidade Federal do Rio Grande do Norte, Centro de Ensino Superior do Seridó, Rua Joaquim Gregório, s/n, Caicó, RN 59300-000, Brazil
5
CMPC Celulose Riograndense, Rua São Geraldo, 1680, Guaíba, RS 92500-000, Brazil
*
Author to whom correspondence should be addressed.
Forests 2018, 9(2), 62; https://doi.org/10.3390/f9020062
Submission received: 4 December 2017 / Revised: 19 January 2018 / Accepted: 24 January 2018 / Published: 26 January 2018
(This article belongs to the Section Forest Ecology and Management)

Abstract

Nitrogen (N) fertilization effects on Eucalyptus growth and soil carbon (C) stocks are still controversial. We set up an N fertilization experiment in southern Brazil to evaluate initial tree growth and changes in soil organic matter (SOM). Four N levels (24–Reference, 36, 48 and 108 kg ha−1 of N) were tested and tree growth was assessed during the first two years. Afterwards, representative trees were chosen to evaluate fine-root biomass (FRB) and its spatial distribution. Soil was sampled to a 40-cm depth and SOM was fractionated in Particulate (POM) and Mineral-Associated Organic Matter (MAOM) for C and N content, and δ13C determination. Positive N effect on tree growth was seen only for tree height. N addition resulted in higher FRB. Changes in SOM were more expressive in top-soil layers. Overall, afforestation had positive effects on soil C. Increasing reference N dose resulted in higher C and N content in both SOM fractions. C and N dynamics were tightly correlated, especially in MAOM. Eucalypt-derived C was on average three-fold higher in POM. In summary, we showed that N fertilization may have positive but limited effects on tree growth, nevertheless it enhances fine-root biomass and C and N accumulation in SOM pools.

1. Introduction

The growing demand for forest products over the last years and the great pressure to preserve native forests and mitigate increasing atmospheric CO2 concentrations have increased the importance of planted forests. Planted forests cover more than 7.5 million hectares in Brazil and ca. 72% of this area is dominated by Eucalyptus spp., whose average productivities are the highest worldwide [1]. Southern areas in the country, particularly the Rio Grande do Sul State, are a new frontier of Eucalyptus expansion and the planted area in the State has increased 68% over the last 10 years [1,2]. It is a subtropical climate region and special attention should be given due to its particular characteristics [3,4].
Low temperatures and the risk of frost damage are primary concerns for eucalypt development in the Brazilian subtropical region. Therefore, tolerance to such conditions is essential for a successful planting, but tolerance usually happens at the expense of higher productivity. E. dunnii has shown good adaptability to southern Brazil climate conditions and is among the most planted species in the region [4,5,6]. However, there are few studies addressing this specie in the region or helping to identify suitable management practices to boost its productivity such as what has happened with other Eucalyptus spp. in other regions of the country [7,8,9,10,11].
The current high eucalypt productivity in Brazil was achieved mainly due to improvements in genetics and silvicultural practices. The relationship between productivity and fertilization is well known in agriculture and this is not different for forest plantations [10,12]. Forest growth is mainly limited by nitrogen (N) and phosphorus (P) in tropical regions [13]. However, the response of eucalypt plantations to N fertilization has been widely discussed and contradictory in the literature [11,14,15,16,17,18,19,20,21]. Some authors have shown positive responses to N fertilization [11,15,16], especially on initial growth phases [14], while others have shown no response to N supply, suggesting that the soil organic mineralizable N is the main source and sufficient to support tree demand [21,22,23]. Regarding below-ground growth, studies are far more scarce in associating N and root growth in a eucalypt ecosystem [24].
Nitrogen may also be important to sustain stable soil C formation, either by increasing biomass input and turnover, or by forming more complex compounds [25,26,27]. In Brazil, soil C stocks have shown different responses to afforestation [15,28,29,30] and might be dependent on former land use, edaphoclimatic conditions, tree species planted and tillage practices adopted [31]. Studies assessing the effect of afforestation on soil organic matter (SOM) properties in southern Brazil are scant [30,32,33] and are particularly important with afforestation expansion often taking place on a fragile ecosystem dominated by sandy-textured soils prone to wind and water erosion [34]. Sustainability of Eucalyptus forests is highly associated with SOM stocks, and thus understanding the consequences of eucalypt afforestation on SOM in these areas is crucial [13].
To investigate the effects of eucalypt afforestation and fertilization on initial growth and SOM properties, we set up an N fertilization experiment soon after the conversion of natural grasslands in the Pampa Biome in southern Brazil to E. dunnii Maiden plantations. We followed tree growth over the first two years of an expected 7-year rotation, evaluating above- and below-ground growth, and assessed early changes in SOM properties by fractionating in Particulate Organic Matter (POM) and Mineral Associated Organic Matter (MAOM)—two pools with different turnover times and sensitivities to land use change [35,36], and determining C and N content and the proportion of C derived from eucalypt (C3)—using natural differences in 13C isotope, associated with these SOM fractions.

2. Materials and Methods

2.1. Site Description and Experimental Design

The study site was located in Rio Grande do Sul State, southern Brazil, near the Brazil–Uruguay border (30°26′ S; 54°31′ W). The site is within the Pampa Biome, which is characterized by a grass domain with many herbs and shrub species co-occurring with the grass matrix. It is a new frontier of Eucalyptus plantation expansion in Brazil [1]. The site is located in a sub-tropical climate area (Cfa, Kӧppen classification), at ca. 150 m altitude and gentle slope, with mean annual temperature (MAT) of 18 °C and average annual rainfall of 1351 mm during the experiment years (Data from Brazilian National Institute of Spatial Research–INPE–S. Gabriel/RS station, located ~17 km away from experimental site at similar altitude).
Soils from the region are formed from sedimentary material mainly composed by arenite and siltite [34,37]. Soil was classified as Oxyaquic Hapludalf by the US Soil Taxonomy [38] or “Luvissolo Háplico Órtico típico” by the Brazilian Soil Classification System [39], with drainage constraints during wet season and occasional iron concretions (plinthite) occurrence in deeper layers (below 30 cm). It is a relatively shallow soil, in which A and B horizons are limited to the uppermost ~55 cm of the soil profile. Soil chemical and physical characterization were performed in the whole treatment area, soon after eucalypt introduction, at 0–10, 10–20 and 20–40 cm depth. For each depth, intact soil core samples (one per plot, of a total 16 plots) were collected for physical characterization (Soil bulk density (ρb) and total porosity (TP)). For chemical and SOM characterization, five subsamples were collected per plot at each depth and mixed thoroughly to obtain one composite sample per plot at each layer. Average properties at the beginning of the experiment are summarized in Table 1.
E. dunnii Maiden seedlings (100-days old) were planted in August 2012 using a 3.3 × 2.2 m spacing. Before planting, each planting row was subsoiled to a 40-cm depth and then prepared with zonal tillage, i.e., ridge tillage management was used on planting rows. Overall, planting row consisted of ~20 × 40 cm (height x width) ridges.
Amendment of soil for planting consisted of an initial 2 Mg ha−1 of lime broadcast in the whole area before soil preparation. Afterwards, 200 kg ha−1 of single superphosphate (18% of P2O5) were incorporated in the ridge area during tillage. At planting, 06:30:06 NPK fertilizer formulation (NPK + 0.6% B + 0.4% Zn) was applied on the planting row at 150 g plant−1 rate. N fertilization at planting totaled 12 kg ha−1 of N. Using a completely randomized block design with four replications, the stand was divided in four treatments (totaling 16 plots) that consisted of four N rates in the form of Urea, applied as side-dress fertilization one year after planting: 12, 24, 36 and 96 kg ha−1 of N, totaling 24 (Reference dose, i.e., commercial application used by forest companies in the area), 36, 48 and 108 kg ha−1 of N applied. Fertilizer was manually applied as a solution well distributed in the crown area of each tree. P and K were also supplied as side-dressing fertilization, but in equal amounts for all treatments. Each plot contained 140 trees, being 20 trees in 7 different rows, occupying an area of ~1000 m2. Understory vegetation development was prevented by periodic herbicide application.

2.2. Variables Assessed

2.2.1. Tree Growth

Tree height (H), diameter at breast height (DBH), dominant height (Hd) [41] and survival rate were measured at one year (1.08-year-old trees) after planting, i.e., right before the side-dressing fertilization, and at six months (1.54-year-old) and one year (2.33-year-old) afterwards. Basal area (G, m2 ha−1) was calculated using DBH, tree mortality rate and plot area. All trees at each plot were measured and accounted to obtain the average tree growth per plot and treatment.
During the 1.54-year sampling, we also assessed leaf area index (LAI) and leaf N content. LAI was measured using a Li-COR LAI2000 plant canopy analyzer. For each plot, 30 LAI measurements were obtained, simultaneously with the above canopy light measurements that were done in an adjacent open field. Fully expanded leaves from average tree of each plot were collected for leaf N content. Leaves were collected in all positions (N, S, E, W) from the upper third of tree crowns and were mixed to form one bulk sample for each treatment and replication. They were oven-dried at 60 °C and finely ground before sulfuric acid digestion for N determination by Kjeldahl method.

2.2.2. Fine-Root Biomass and Architecture

Fine-root (Ø < 2 mm) biomass (FRB) and its architecture were measured in July 2015 (2.95-year-old trees). We selected one representative tree per plot, i.e., each treatment and replication, for root sampling. Root sampling was carried out in approximately a quarter of the area (based on spacing) of each tree evaluated. For each tree, we sampled nine points in pre-defined locations (also based on spacing, see Figure 1) to a 40 cm depth, since we were studying a relatively shallow soil and almost 90% of fine-roots are expected to be concentrated in upper layers of the soil [42,43]. Points were collected in three different directions: in-row (r), inter-row (i) and a diagonal (d) at 45° between r and i axis (Figure 1). A 6-cm diameter auger was used for sampling.
Samples were separated in 0–10, 10–20, 20–30 and 30–40 cm depth. For each point and depth, soil and roots were gently separated by hand. Roots were stored in plastic bags and taken to the laboratory for further cleaning, drying and weighing. Roots from one replication were stored in a 20% ethanol-water solution to keep fresh properties. In the laboratory, roots were thoroughly washed, and fine-roots were separated from the others with a sieve (2-mm mesh) and dried in a forced draft oven at 50 °C for 48–72 h to obtain total dry mass. Roots that were stored in the ethanol-water solution were washed and scanned for imagery at 300 dpi resolution before being oven dried. We processed root images with Safira software [44] to obtain average root length (RL), average root diameter, total root surface area and specific root area (SRA) (Supplementary material).

2.2.3. SOM Properties

Soil was collected in the same field campaign as root sampling, i.e., at 2.95-year stand age. Soil samples were randomly collected in five points (n = 5) per plot at 0–10, 10–20 and 20–40 cm depth. Samples were then grouped and mixed to build a composite sample of each soil layer per plot. Subsequently, samples were air-dried, crushed, 2-mm sieved and homogenized for SOM physical fractionation into Particulate Organic Matter (POM) and Mineral Associated Organic Matter (MAOM) [35]. Briefly, 5 g of soil were dispersed using 15 mL of a sodium hexametaphosphate (5 g L−1) solution for 16 h at 200 rpm in a horizontal shaker. Afterwards, fractions were separated by a 53 µm sieve by gently adding deionized water until the flush through the sieve was completely clear. All the material and water that flushed through the sieve (MAOM) was captured and dried in an oven for 6–8 days at 60 °C until completely dry. The material remaining on the sieve (POM) was removed by rinsing with deionized water again, recovered in a glass and dried in an oven for 4–5 days at 60 °C until dry.
After drying, POM and MAOM were then weighed and finely ground with a ball mill for C and N content and 13C determination using an elemental isotope ratio mass spectrometer (EA-IRMS ANCA-GSL 20-20, Sercon, Crewe, UK). Reference gas was calibrated with Pee-Dee-Belemnite (PDB) certified standard for isotope signature calculations. The 13C abundance in samples (δ13C) was calculated as follows:
δ C 13 ( ) = ( R s a m p l e R s t a n d a r d 1 ) × 100
where R = 13C/12C ratio.
Based on δ13C, we could calculate, in each treatment, the proportion of C in each fraction that is derived from eucalypt plants (fCEuc) as follows:
f C E u c = ( δ C 13 f δ C 13 R e f ) ( δ C 13 E u c δ C 13 R e f )
where δ13Cf is the δ13C result obtained in SOM each fraction, δ13CRef is the reference value of each fraction (initial value–Table 1), and δ13CEuc is the average δ13C of eucalypt litter and roots sampled in the area.
Eucalypt litter was collected monthly using litterfall traps installed in the area. Each month, litterfall traps were cleared and the fallen litter was dried in an oven at 60 °C to obtain dry mass and litterfall rate. Each litterfall trap occupied an area of ~30 m2 and accumulated litter from nine surrounding trees. The area under the traps was not used for soil or root sampling. The roots used for 13C determinations were the same collected during root sampling in the representative trees. δ13CEuc was obtained by averaging roots and litter 13C values based on total dry biomass of each component for each plot.

2.3. Data Analysis

Data were checked for normality and homoscedasticity for each variable and ln-transformed in necessary cases to meet normality assumptions. Split-plot two-way ANOVA and post-hoc Student LSD test, for tree variables (N and Time) and for SOM properties (N and Depth), were used to assess treatments effects. Regressions were fitted at each time in order to explain increasing N fertilization effects on tree growth (DBH, H) and fine-root biomass. Pearson correlation between above- and below-ground tree variables with SOM properties was also performed.
Spatial distribution of fine-roots across horizontal and vertical layers was represented using ordinary kriging of fine-root density (FRD). This method smoothes root distribution representation, by estimating FRD in areas where roots were not measured, based on the semi-variogram of variances of measured data, considering distance and direction. The semi-variogram model was adjusted according to the normality, stationarity, tendency and anisotropy of the samples, and its fitness was evaluated by a cross validation technique. All analyses were carried out in SISVAR® and R 3.03 software [45,46].

3. Results

3.1. Tree Growth

Trees presented similar growth pattern before side-dress fertilization (Figure 2). A change in the growth-response slope and a positive effect of N input on growth was seen 6 months and 1-year after N fertilization (Figure 2). Nitrogen positively influenced tree H at 1.54 year (F = 10.639; p = 0.0026) and 2.33 year (F = 5.385; p = 0.0213). N influences on tree DBH were less expressive and non-significant in both times, although a nearly significant regression (p = 0.0822) could be used to explain DBH responses to increasing N at 1.54 year (Figure 2). Differences on basal area (G), tree survival, leaf area index (LAI) and leaf N content were all negligible and non-significant at all evaluated times (Table 2).

3.2. Fine-Root Biomass (FRB) and Spatial Distribution

Fine-root biomass differed among N doses (F = 10.002; p = 0.0032). FRB responded positively until ~60 kg ha−1 of N, whereas the addition of 108 kg ha−1 of N resulted in the lowest FRB observed (Figure 3).
Fine-root density (FRD) showed a high heterogeneity along soil profile, and there was both horizontal and vertical anisotropy in root distribution. Root spatial distribution varied among the different N doses tested (Figure 4). The 0–10 cm layer had more homogeneous fine-root spatial distribution (Figure S1). The 108 kg ha−1 of N dose resulted in lower FRD and lower heterogeneity in fine root spatial distribution. Tillage seemed to change root distribution pattern along soil surface and profile (Figure 4). Row region tended to present higher FRD and FRD seems to increase along soil profile at planting row. Inter-row and diagonal positions presented higher FRD in soil top layers, and the highest FRD was observed at 10–20 cm layer.

3.3. C and N Associated with SOM Fractions as Affected by N Level

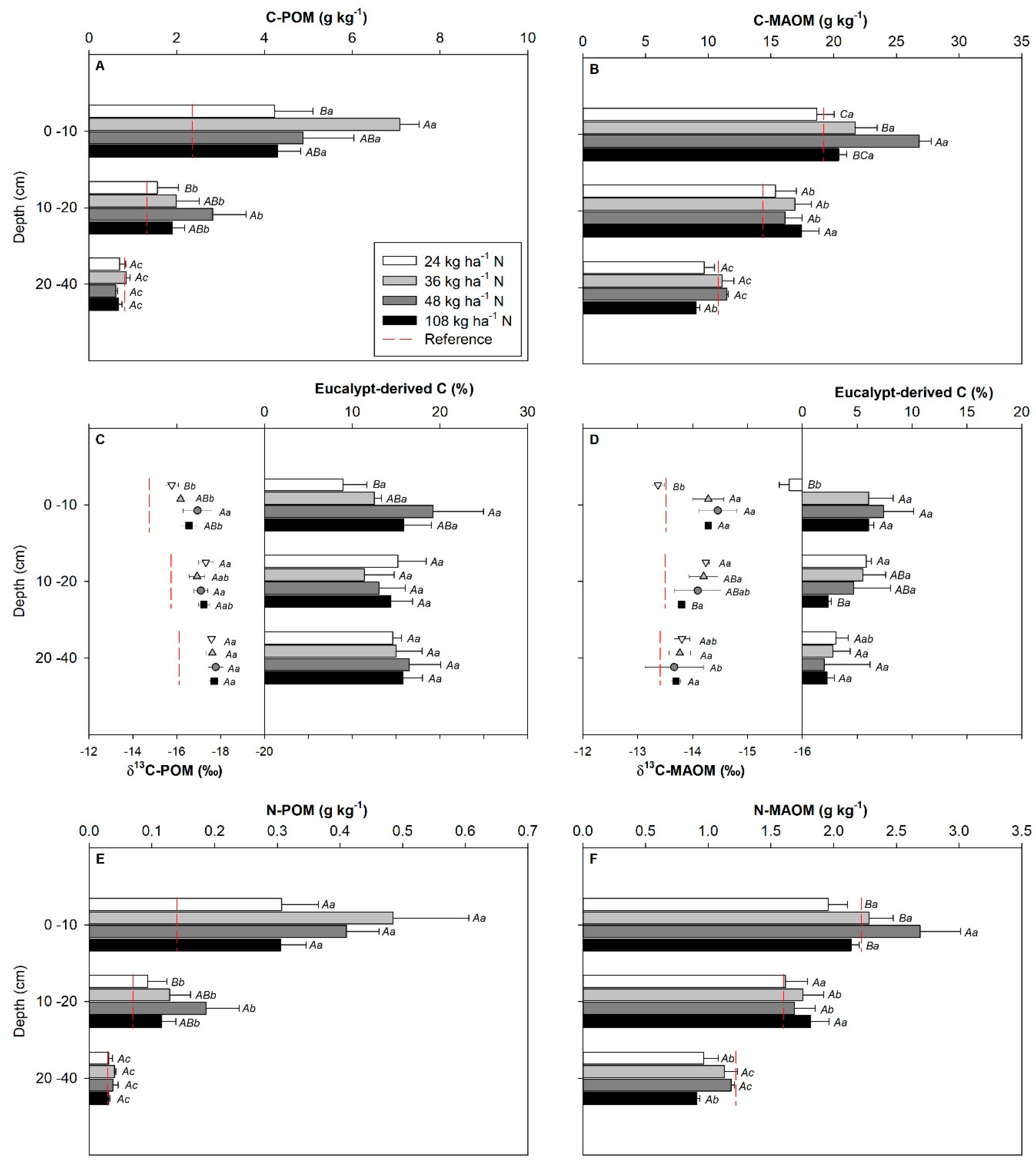
Nitrogen fertilization altered C and N associated with POM and MAOM. N effects were limited to 0–10 and 10–20 cm soil layers and different between fractions (Figure 5). Reference N level (24 kg ha−1) resulted in the lowest C-POM and N-POM at 0–10 cm layer. Overall, 48 kg ha−1 of N was the dose that resulted in the higher C and N contents: the highest C-POM at 10–20 cm layer and the highest C-MAOM and N-MAOM at 0–10 cm layer. Contribution of eucalypt-derived C varied between SOM fractions, but in each fraction similar contributions were observed across the soil layers evaluated. C3-derived C were on average two or three-fold higher in POM, ranging from 9 to 19% in C-POM, and from 0 to 7% in MAOM fraction. Reference N dose resulted in the lowest eucalypt-C proportion in both SOM fractions at 0–10 cm layer. Also, 108 kg ha−1 of N induced the lowest eucalypt-derived C in MAOM at 10–20 cm layer. δ13C-POM became more negative downward soil profile, whilst δ13C-MAOM presented an overall opposite behavior. Differences in δ13C-POM and δ13C-MAOM in deeper layers were small and often negligible.

4. Discussion

4.1. Tree Growth

Eucalypt growth response to N has been widely debated. Mineralizable N and the efficient internal N cycling are considered to suffice their fast growth [47,48]. Seldom responses of eucalypt growth to N fertilization are found in literature and they are usually limited to the first two years, while canopy is still in formation or under N limiting situations [11,14,15,16,17,18,19,20]. Here, tree height responded positively to N fertilization during the two-year evaluation, even with relatively high initial soil N content and low soil C:N ratio (Table 1). N effects on growth were greater at 1.54 year age, i.e., six months after treatment application, and a change in the slope of growth curves could be seen (Figure 2). Although this slope change could be attributed to seasonality (beginning of spring), the significance of fitted Growth × N regressions for DBH and H (p = 0.0822 and p = 0.013, respectively), and ANOVA significance (p = 0.0026) for H, indicate these variables were positively influenced by N, and the fitted regressions explain how they responded to N fertilization. At 2.33 year, only H was positively influenced (p = 0.0213). This faster initial growth obtained with increases in N relative to reference dose is important as it may result in further earlier canopy closure, lower weed competition and higher stand uniformity by overcoming any possible spatial variation of soil constraints [10,24].
Differences in eucalypt LAI and leaf nutrient content due to fertilization may respond to a lower extent than growth [17]. Indeed, here, the highest N dose resulted in the highest measured LAI and leaf N content (Table 2), although differences were negligible and non-significant among treatments. LAIs smaller than 3 m2 m−2 as found here have already been reported for eucalypt tropical plantations [20,49]. It is still considered low, but it is expected to increase as LAI tends to peak when eucalypt forest is around 4-year-old [50].

4.2. Fine-Root Biomass and Spatial Distribution

Total amounts of fine-root biomass found here are in agreement to other studies that have addressed eucalypt roots of similar age plantations [24,51,52] or older [53,54]. In the present study, the highest N dose resulted in the lowest FRB observed (Figure 3). The higher N availability may have resulted in needless root expansion in the highest dose, causing a likely downward trend in the proportions of carbohydrates allocated to belowground biomass [24,51,55].
In a study with Eucalyptus grandis plantations in Brazil, N fertilization (120 kg ha−1 N) had no effect on fine root-growth within the upper 30 cm soil depth [24]. The authors argued this result was consistent with the observed limited effect of N on aboveground tree growth, in contrast to what we found here. In another study, in a Spodosol located in a Mediterranean type climate area, it was also found that there were no differences in eucalypt fine-root production due to fertilization, but an increase in FRB was observed when fertilization was combined with water supply [51]. These results indicate the responses of fine-root biomass to N fertilization are varied and dependent on tree species and environmental and edaphic properties.
Anisotropy in eucalypt fine-root distribution is commonly observed in the literature [42,56,57]. Both horizontal and vertical anisotropy in fine-root growth were noticed in our study and might have resulted in some of the fine-root clustering observed (Figure 4). Fine-root spatial distribution presented a strong behavior likely being driven by ridge tillage, i.e., concentrating in the row area. Overall, eucalypt fine-roots tend to concentrate in upper soil layers, and decrease sharply with depth [42,43,53,54,56,58]. Here, roots growing on the ridge increased with depth. At the planting row position, soil was subsoiled and a ridge of ~20 cm height was created that might have influenced the pattern of fine-root distribution. Soils tend to be more susceptible to temperature and moisture variation in shallower layers in a row area due to aggregate breakdown with pre-planting operations, driving roots downward. Furthermore, trees probably invested in deeper roots in the ridge (row) area due to the elevated density in surrounding areas and these are possibly the reasons why more roots could be found in the planted row below 20 cm depth (Figure 4). In the other positions, FRD peaked in 10–20 cm layer and then decreased. This is particularly interesting due to the higher soil density of this layer in comparison to the uppermost soil layer (shown in Table 1) and is probably a consequence of physical obstructions, e.g., plinthite, found in deeper layers, resulting in the accumulation of roots in 10–20 cm layer at inter-row and diagonal areas.
Some authors argued that fertilization or irrigation may alter eucalypt fine-root distribution, causing a higher concentration of fine-roots in planting row areas near the stump [24,42,59,60]. This could be a reasonable explanation for the higher FRD in planting row found in our study, however we could not see a decreasing gradient in FRD from planting row to inter row or diagonal positions (Figure 4). Thus, although observing differences in FRB and fine-root spatial distribution among N-levels, we believe N fertilization had little or no effect on fine-root spatial distribution, and suggest that tillage and soil properties might be the most responsible factors for the variations observed in fine-root spatial distribution along soil surface and profile.

4.3. SOM Properties as Affected by N Levels

C and N associated with SOM fractions presented similar responses to N fertilization rates (Figure 5). C and N dynamics were tightly correlated in both POM (r = 0.84, p = 0.0001) and MAOM fraction (r = 0.92, p < 0.0001).
Overall, C and N accrual were observed 2.95 year after eucalypt afforestation in comparison to the beginning of the experiment (Figure 5). Accrual occurred mainly in the top soil layer, especially in POM fractions, whereas deeper layer (20–40 cm) remained unchanged or presented lower C and N content. Here, soil C accrual, particularly in POM fraction, seemed rather fast and it is hypothesized that it might be a consequence of the low soil C status of the natural grassland before afforestation [29,33,61], the greater grassland-litter input due to vegetation substitution and a likely imbalance on decomposers caused by changes in litter type input [62,63]. Eucalypt afforestation is likely to increase the proportion of lignin-derived [30] and nonpolar alkyl C compounds [32] in the soil. In early stages of afforestation, the increase in the proportions of these compounds might lead to their accumulation in non-stabilized SOM fractions, since less adapted soil microorganisms to this new fresh material are expected to be found. We believe three hypotheses may be considered to explain this soil C accrual and the differences observed among N levels: (a) the differences in FRB production and turnover, since FRB correlated positively with C-POM (r = 0.58, p = 0.0186); (b) N addition may have inhibited lignin-degrading enzyme activity [64,65]; and/or (c) addition of N might have helped to overcome any eucalypt litter N limitation and resulted in earlier establishment of microbial community structure [62].
Both δ13C-POM and δ13C-MAOM became more negative, with δ13C-POM changing faster. Eucalypt-derived C ranged from 9 to 19% in C-POM, and from 0 to 7% in MAOM. Increases in the reference N dose resulted in more eucalypt-derived C in both fractions, particularly in the top-soil layer. Interestingly, while top soil layer presented higher C-POM content with eucalypt afforestation, it also presented a less negative δ13C-POM (Figure 5). This could be attributed to either the initial lower (more negative) δ13C-POM in deeper layers, or to the higher C content and greater litter-C from the former vegetation in upper layers, creating a dilution effect. The slight decrease of C-POM in the 20–40 cm layer observed, despite similar eucalypt contribution in comparison to upper layers, is intriguing. The overall lower root growth and aboveground litter contribution, combined with the probable slower turnover in deeper layer would be the first option to explain this decrease in C-POM content. But we speculate, since similar eucalypt-derived C is observed, if this response might not be evidence that fresh root input may destabilize old deep soil C, balancing C inputs and losses, and preventing net gains in soil C content [66].
Afforestation effects on soil C are largely debated in the literature [29,30,31,67,68]. The positive effects of N on soil C pools shown here are in disagreement with other authors who found no effect of N fertilization on soil C pools under eucalypt plantations [15,68]. Much higher N doses (300–1600 kg ha−1 of N) were tested on the development of first-rotation eucalypt forest in Hawaii [68], but no evidence of N altering soil C accrual was found because losses of old C4-derived C offset C3-derived inputs throughout an 8-year rotation. Here, after 2.95 year, we observed a positive effect on soil C and N and a depletion in δ13C particularly when the reference N dose was increased (Figure 5). The effects of eucalypt afforestation and N input on SOM dynamics observed in the early stages of the rotation may persist longer and be similar to those observed at the end of a rotation [67,68]. Hence, this early assessment could be valuable information to define proper stand management practices. Although effects of N addition observed here can change through the end of rotation, we hypothesize that effects might be even enhanced as a result of combined mineral and organic N effects on soil C pools [26]. Thereby, we argue that despite little or infrequent responses of eucalypt growth to N fertilization found here or elsewhere [14,47], the proper management of N fertilization in the evaluated areas could increase soil C and N stocks, and may help avoid excessive soil N mining in successive rotations.

5. Conclusions

Our results show that N fertilization alters tree growth, fine-root biomass and SOM fractions in early stages of eucalypt plantations in southern Brazil. A positive change in the slope of growth curve with N addition was observed, but differences were only significant for tree height. Fine-root biomass and SOM fractions were also positively influenced by increasing N supply. The 48 kg ha−1 of N dose resulted in the highest fine-root biomass and stable soil C and N content. Our results indicate that small adjustments in the current N fertilization regime adopted in the region may offer higher productivity and sustainability in early stages of E. dunnii plantations in southern Brazil.

Supplementary Materials

The following are available online at https://www.mdpi.com/1999-4907/9/2/62/s1, Table S1: Root variables obtained from root imaging and Safira® software processing; Figure S1: Ordinary kriging of average fine-root density (FRD) distribution of 2.95-year-old E. dunnii plantations, in the four N rates tested, across the four depths evaluated (0–10: −5 cm; 10–20: −15 cm; 20–30: −25 cm; 30–40: −35 cm).

Acknowledgments

We are grateful to CAPES and CNPq for financial support (scholarship for G.W.D.F and F.C.C.O., and research grant for I.R.S.); NUTREE for additional funding; CMPC Celulose Riograndense, for providing access to experimental area; and Sertef for the help provided in experiment set up and field work. We also would like to thank Carlos Silva, Leônidas Melo, Raphael Fernandes and the anonymous reviewers for their valuable comments in early versions of the manuscript, and Conor Madison for English revision.

Author Contributions

G.W.D.F., F.C.C.O., E.M.B.S., E.F.A. and I.R.S. conceived, designed and installed the experiment; G.W.D.F., F.C.C.O. and E.F.A. were responsible for field work; G.W.D.F., F.C.C.O., L.O.G.S. and J.J.L.L.S. performed laboratory and data analysis under E.M.B.S and I.R.S. supervision; G.W.D.F. and F.C.C.O. wrote the manuscript with contributions from the other authors. All authors approved the final version of the manuscript.

Conflicts of Interest

The authors declare no conflict of interest.

References

  1. Indústria Brasileira de Árvores (IBÁ). Brazilian Tree Industry Report; IBÁ: Brasília, DF, Brazil, 2015; p. 77. [Google Scholar]
  2. Associação Brasileira de Produtores de Florestas Plantadas (ABRAF). Anuário Estatístico; ABRAF: Brasília, DF, Brazil, 2013; p. 148. [Google Scholar]
  3. Alvares, C.A.; Stape, J.L.; Sentelhas, P.C.; Gonçalves, J.L.M.; Sparovek, G. Köppen’s climate classification map for Brazil. Meteorol. Z. 2013, 22, 711–728. [Google Scholar] [CrossRef]
  4. Gonçalves, J.L.M.; Alvares, C.A.; Higa, A.R.; Silva, L.D.; Alfenas, A.C.; Stahl, J.; de Barros Ferraz, S.F.; Lima, W.D.P.; Brancalion, P.H.S.; Hubner, A.; et al. Integrating genetic and silvicultural strategies to minimize abiotic and biotic constraints in Brazilian eucalypt plantations. For. Ecol. Manag. 2013, 301, 6–27. [Google Scholar] [CrossRef]
  5. Jovanovic, T.; Arnold, R.; Booth, T. Determining the climatic suitability of Eucalyptus dunnii for plantations in Australia, China and Central and South America. New For. 2000, 19, 215–226. [Google Scholar] [CrossRef]
  6. Floriani, M.M.P.; Steffens, C.A.; Chaves, D.M. Rustificação de plantas de Eucalyptus dunnii Maiden e a relação entre as concentrações de carboidratos solúveis totais e de prolina foliar e a tolerância ao frio. Rev. Árvore 2011, 35, 21–29. [Google Scholar] [CrossRef]
  7. Hernández, J.; del Pino, A.; Salvo, L.; Arrarte, G. Nutrient export and harvest residue decomposition patterns of a Eucalyptus dunnii Maiden plantation in temperate climate of Uruguay. For. Ecol. Manag. 2009, 258, 92–99. [Google Scholar] [CrossRef]
  8. Guimaraes, C.C.; Schumacher, M.V.; Witshoreck, R.; Souza, H.P.; Santo, J.C. Biomassa e nutrientes em povoamento de Eucalyptus dunnii Maiden no Pampa Gaúcho. Rev. Árvore 2015, 39, 873–882. [Google Scholar] [CrossRef][Green Version]
  9. Higa, R.C.V.; Iga, A.R.; Trevisan, R. Resistência e resiliência a geadas em Eucalyptus dunnii Maiden plantados em Campo do Tenente, PR. Embrapa Florestas Artigo Periód. Indexado 2000, 40, 67–76. [Google Scholar]
  10. Stape, J.L.; Binkley, D.; Ryan, M.G.; Fonseca, S.; Loos, R.A.; Takahashi, E.N.; Silva, C.R.; Silva, S.R.; Hakamada, R.E.; Ferreira, J.M. The Brazil Eucalyptus Potential Productivity Project: Influence of water, nutrients and stand uniformity on wood production. For. Ecol. Manag. 2010, 259, 1684–1694. [Google Scholar] [CrossRef]
  11. Gonçalves, J.L.M.; Stape, J.L.; Laclau, J.P.; Bouillet, J.P.; Ranger, J. Assessing the effects of early silvicultural management on long-term site productivity of fast-growing eucalypt plantations: The Brazilian experience. South. For. 2008, 70, 105–118. [Google Scholar] [CrossRef]
  12. Stape, J.L.; Binkley, D.; Jacob, W.S.; Takahashi, E.N. A twin-plot approach to determine nutrient limitation and potential productivity in Eucalyptus plantations at landscape scales in Brazil. For. Ecol. Manag. 2006, 223, 358–362. [Google Scholar] [CrossRef]
  13. Barros, N.F.; Comerford, N.B. Sustentabilidade da produção de florestas plantadas na região tropical. In Tópicos em Ciência do Solo; Alvarez, V.H., Schaefer, C.E., Barros, N.F., Mello, J.W.V., Costa, L.M., Eds.; Sociedade Brasileira de Ciência do Solo: Viçosa, MG, Brazil, 2002; pp. 487–592. [Google Scholar]
  14. Pulito, A.P.; Gonçalves, J.L.M.; Smethurst, P.J.; Junior, J.C.A.; Alvares, C.A.; Rocha, J.H.T.; Hübner, A.; Moraes, L.F.; Miranda, A.C.; Kamogawa, M.Y.; et al. Available nitrogen and responses to nitrogen fertilizer in Brazilian eucalypt plantations on soils of contrasting texture. Forests 2015, 6, 973–991. [Google Scholar] [CrossRef]
  15. De Jesus, G.L.; de Barros, N.F.; Ribeiro da Silva, I.; Lima Neves, J.C.; Pinheiro Henriques, E.; Campos Lima, V.; Vaz Fernandes, L.; Barros Soares, E.M. Doses e fontes de nitrogênio na produtividade do eucalipto e nas frações da matéria orgânica em solo da região do cerrado de Minas Gerais. Rev. Bras. Ciênc. Solo 2012, 36, 201–214. [Google Scholar] [CrossRef]
  16. Da Silva, P.H.M.; Poggiani, F.; Libardi, P.L.; Gonçalves, A.N. Fertilizer management of eucalypt plantations on sandy soil in Brazil: Initial growth and nutrient cycling. For. Ecol. Manag. 2013, 301, 67–78. [Google Scholar] [CrossRef]
  17. Melo, E.A.; Gonçalves, J.L.; Rocha, J.H.; Hakamada, R.E.; Bazani, J.H.; Wenzel, A.V.; Arthur, J.C.; Borges, J.S.; Malheiros, R.; Lemos, C.C. Responses of clonal eucalypt plantations to N, P and K fertilizer application in different edaphoclimatic conditions. Forests 2016, 7, 2. [Google Scholar] [CrossRef]
  18. Gazola, R.N.; Buzetti, S.; Teixeira Filho, M.C.M.; Dinalli, R.P.; Moraes, M.L.T.; Celestrino, T.S.; Silva, P.H.M.; Dupas, E. Doses of N, P and K in the cultivation of eucalyptus in soil originally under Cerrado vegetation. Semin. Ciênc. Agrár. 2015, 36, 1895–1912. [Google Scholar] [CrossRef]
  19. Smethurst, P.; Holz, G.; Moroni, M.; Baillie, C. Nitrogen management in Eucalyptus nitens plantations. For. Ecol. Manag. 2004, 193, 63–80. [Google Scholar] [CrossRef]
  20. Smethurst, P.; Baillie, C.; Cherry, M.; Holz, G. Fertilizer effects on LAI and growth of four Eucalyptus nitens plantations. For. Ecol. Manag. 2003, 176, 531–542. [Google Scholar] [CrossRef]
  21. Gonçalves, J.L.M.; Stape, J.L.; Laclau, J.P.; Smethurst, P.; Gava, J.L. Silvicultural effects on the productivity and wood quality of eucalypt plantations. For. Ecol. Manag. 2004, 193, 45–61. [Google Scholar] [CrossRef]
  22. Costa, G.S.; Gama-Rodrigues, A.C.; Cunha, G.D. Decomposição e liberação de nutrientes da serapilheira foliar em povoamentos de Eucalyptus grandis no norte fluminense. Rev. Árvore 2005, 29, 563–570. [Google Scholar] [CrossRef]
  23. Versini, A.; Nouvellon, Y.; Laclau, J.P.; Kinana, A.; Mareschal, L.; Zeller, B.; Ranger, J.; Epron, D. The manipulation of organic residues affects tree growth and heterotrophic CO2 efflux in a tropical Eucalyptus plantation. For. Ecol. Manag. 2013, 301, 79–88. [Google Scholar] [CrossRef]
  24. Jourdan, C.; Silva, E.V.; Gonçalves, J.L.M.; Ranger, J.; Moreira, R.M.; Laclau, J.-P. Fine root production and turnover in Brazilian Eucalyptus plantations under contrasting nitrogen fertilization regimes. For. Ecol. Manag. 2008, 256, 396–404. [Google Scholar] [CrossRef]
  25. Neff, J.C.; Townsend, A.R.; Gleixner, G.; Lehman, S.J.; Turnbull, J.; Bowman, W.D. Variable effects of nitrogen additions on the stability and turnover of soil carbon. Nature 2002, 419, 915–917. [Google Scholar] [CrossRef] [PubMed]
  26. Moran, K.K.; Six, J.; Horwath, W.R.; van Kessel, C. Role of mineral-nitrogen in residue decomposition and stable soil organic matter formation. Soil Sci. Soc. Am. J. 2005, 69, 1730–1736. [Google Scholar] [CrossRef]
  27. Dijkstra, F.A.; Hobbie, S.E.; Knops, J.M.H.; Reich, P.B. Nitrogen deposition and plant species interact to influence soil carbon stabilization. Ecol. Lett. 2004, 7, 1192–1198. [Google Scholar] [CrossRef]
  28. Cook, R.L.; Binkley, D.; Stape, J.L. Eucalyptus plantation effects on soil carbon after 20 years and three rotations in Brazil. For. Ecol. Manag. 2016, 359, 92–98. [Google Scholar] [CrossRef]
  29. Lima, A.M.N.; Silva, I.R.; Neves, J.C.L.; Novais, R.F.; Barros, N.F.; Mendonça, E.S.; Smyth, T.J.; Moreira, M.S.; Leite, F.P. Soil organic carbon dynamics following afforestation of degraded pastures with eucalyptus in southeastern Brazil. For. Ecol. Manag. 2006, 235, 219–231. [Google Scholar] [CrossRef]
  30. Santana, G.S.; Knicker, H.; González-Vila, F.J.; González-Pérez, J.A.; Dick, D.P. The impact of exotic forest plantations on the chemical composition of soil organic matter in Southern Brazil as assessed by Py–GC/MS and lipid extracts study. Geoderma Reg. 2015, 4, 11–19. [Google Scholar] [CrossRef]
  31. Li, D.; Niu, S.; Luo, Y. Global patterns of the dynamics of soil carbon and nitrogen stocks following afforestation: A meta-analysis. New Phytol. 2012, 195, 172–181. [Google Scholar] [CrossRef] [PubMed]
  32. Soares, E.M.B.; Silva, I.R.; De Novais, R.F.; Hu, Y.-Y.; Schmidt-Rohr, K. Alterations in molecular composition of humic substances from eucalypt plantation soils assessed by 13C-NMR spectroscopy. Soil Sci. Soc. Am. J. 2013, 77, 293–306. [Google Scholar] [CrossRef]
  33. Fialho, R.C.; Zinn, Y.L. Changes in soil organic carbon under Eucalyptus plantations in Brazil: A comparative analysis. Land Degrad. Dev. 2014, 25, 428–437. [Google Scholar] [CrossRef]
  34. Roesch, L.F.W.; Vieira, F.C.B.; Pereira, V.A.; Schünemann, A.L.; Teixeira, I.F.; Senna, A.J.T.; Stefenon, V.M. The Brazilian Pampa: A fragile biome. Diversity 2009, 1, 182–198. [Google Scholar] [CrossRef]
  35. Cambardella, C.A.; Elliott, E.T. Particulate soil organic-matter changes across a grassland cultivation sequence. Soil Sci. Soc. Am. J. 1992, 56, 777. [Google Scholar] [CrossRef]
  36. Lehmann, J.; da Silva Cravo, M.; Zech, W. Organic matter stabilization in a Xanthic Ferralsol of the central Amazon as affected by single trees: Chemical characterization of density, aggregate, and particle size fractions. Geoderma 2001, 99, 147–168. [Google Scholar] [CrossRef]
  37. Lemos, R.C.; Azolim, M.A.D.; Abrão, P.U.R.; Santos, M.L.C. Levantamento de Reconhecimento dos Solos do Estado do Rio Grande do Sul; MAPA—Ministério da Agricultura, Boletim Técnico no 3: Recife, PE, Brazil, 1973; p. 431. [Google Scholar]
  38. Soil Survey Staff. Soil Taxonomy: A Basic System of Soil Classification for Making and Interpreting Soil Surveys, 2nd ed.; U.S. Department of Agriculture Handbook # 436; Natural Resources Conservation Services: Washington, DC, USA, 1999.
  39. Santos, H.; Jacomine, P.; Anjos, L.; Oliveira, V.; Oliveira, J.; Coelho, M.; Lumbreras, J.; Cunha, T. Sistema Brasileiro de Classificação de Solos, 3rd ed.; Embrapa: Rio de Janeiro, Brazil, 2013. [Google Scholar]
  40. Ruiz, H.A. Incremento da exatidão da análise granulométrica do solo por meio da coleta da suspensão (Silte + Argila). Rev. Bras. Ciênc. Solo 2005, 29, 297–300. [Google Scholar] [CrossRef]
  41. Assman, E. The Principles of Forest Yield Study; Pergamon Press: Oxford, NY, USA, 1970. [Google Scholar]
  42. Bouillet, J.P.; Laclau, J.P.; Arnaud, M.; M’Bou, A.T.; Saint-André, L.; Jourdan, C. Changes with age in the spatial distribution of roots of Eucalyptus clone in Congo Impact on water and nutrient uptake. For. Ecol. Manag. 2002, 171, 43–57. [Google Scholar] [CrossRef]
  43. Rodrigues, F. Crescimento de Eucalipto em Idade Jovem e Movimentação de Cálcio e Magnésio No Solo em Resposta à Aplicação de Calcário e Gesso Agrícola. Ph.D. Thesis, Universidade Federal de Viçosa, Viçosa, Brazil, 2013. [Google Scholar]
  44. Jorge, L.A.C.; Rodrigues, A.F.O. Safira: Sistema de Análise de Fibras e Raízes, 1st ed.; Boletim de Pesquisa e Desenvolvimento; Embrapa: São Carlos, Portugal, 2008; p. 20. [Google Scholar]
  45. Ferreira, D.F. SISVAR: A Computer statistical analysis system. Cienc. Agrotecnol. 2011, 35, 1039–1042. [Google Scholar] [CrossRef]
  46. R Core Team. A Language and Environment for Statistical Computing; R Foundation for Statistical Computing: Vienna, Austria; 2013. [Google Scholar]
  47. Laclau, J.P.; Ranger, J.; de Moraes Gonçalves, J.L.; Maquere, V.; Krusche, A.V.; M’Bou, A.T.; Nouvellon, Y.; Saint-Andre, L.; Bouillet, J.P.; de Cassia Piccolo, M. Biogeochemical cycles of nutrients in tropical Eucalyptus plantations. For. Ecol. Manag. 2010, 259, 1771–1785. [Google Scholar] [CrossRef]
  48. Gama-Rodrigues, A.C.; Barros, N.F. Ciclagem de nutrientes em floresta natural e em plantios de eucalipto e de dandá no sudeste da Bahia, Brasil. Rev. Árvore 2002, 26, 193–207. [Google Scholar]
  49. Binkley, D.; Stape, J.L.; Ryan, M.G.; Barnard, H.R.; Fownes, J. Age-related decline in forest ecosystem growth: An individual-tree, stand-structure hypothesis. Ecosystems 2002, 5, 58–67. [Google Scholar] [CrossRef]
  50. Beadle, C.L. Dynamics of leaf and canopy development. In Management of Soil, Nutrients and Water in Tropical Plantation Forests; Nambiar, E.K.S., Brown, A.G., Eds.; Australian Centre for International Agricultural Research: Canverra, Australia, 1997; pp. 169–212. [Google Scholar]
  51. Fabião, A.; Madeira, M.; Steen, E. Development of root biomass in an Eucalyptus globulus plantation under different water and nutrient regimes. Plant Soil 1995, 215–223. [Google Scholar] [CrossRef]
  52. O’Grady, A.P.; Worledge, D.; Battaglia, M. Temporal and spatial changes in fine root distributions in a young Eucalyptus globulus stand in southern Tasmania. For. Ecol. Manag. 2005, 214, 373–383. [Google Scholar] [CrossRef]
  53. Teixeira, P.C.; Novais, R.F.; Barros, N.F.; Neves, J.C.L.; Teixeira, J.L. Eucalyptus urophylla root growth, stem sprouting and nutrient supply from the roots and soil. For. Ecol. Manag. 2002, 160, 263–271. [Google Scholar] [CrossRef]
  54. Witschoreck, R.; Schumacher, M.V.; Caldeira, M.V.W. Estimativa da biomassa e do comprimento de raízes finas em Eucalyptus urophylla S.T. Blake no município de Santa Maria-RS. Rev. Árvore 2003, 27, 177–183. [Google Scholar] [CrossRef]
  55. Giardina, C.P.; Binkley, D.; Ryan, M.G.; Fownes, J.H.; Senock, R.S. Belowground carbon cycling in a humid tropical forest decreases with fertilization. Oecologia 2004, 139, 545–550. [Google Scholar] [CrossRef] [PubMed]
  56. Laclau, J.P.; Arnaud, M.; Bouillet, J.P.; Ranger, J. Spatial distribution of Eucalyptus roots in a deep sandy soil in the Congo: Relationships with the ability of the stand to take up water and nutrients. Tree Physiol. 2001, 21, 129–136. [Google Scholar] [CrossRef] [PubMed]
  57. Laclau, J.P.; da Silva, E.A.; Rodrigues Lambais, G.; Bernoux, M.; le Maire, G.; Stape, J.L.; Bouillet, J.P.; Gonçalves, J.L.D.M.; Jourdan, C.; Nouvellon, Y. Dynamics of soil exploration by fine roots down to a depth of 10 m throughout the entire rotation in Eucalyptus grandis plantations. Front. Plant Sci. 2013, 4, 243. [Google Scholar] [CrossRef] [PubMed]
  58. Lourenço, H.M. Crescimento e Eficiência Do Uso de Água e Nutrientes em Eucalipto Fertirrigado. Master’s Thesis, Universidade Federal de Viçosa, Viçosa, Brazil, 2009. [Google Scholar]
  59. Kätterer, T.; Fabião, A.; Madeira, M.; Ribeiro, C.; Steen, E. Fine-root dynamics, soil moisture and soil carbon content in a Eucalyptus globulus plantation under different irrigation and fertilisation regimes. For. Ecol. Manag. 1995, 74, 1–12. [Google Scholar] [CrossRef]
  60. Laclau, J.P.; Bouillet, J.P.; Ranger, J. Dynamics of biomass and nutrient accumulation in a clonal plantation of Eucalyptus in Congo. For. Ecol. Manag. 2000, 128, 181–196. [Google Scholar] [CrossRef]
  61. Paul, K.I.; Polglase, P.J.; Nyakuengama, J.G.; Khanna, P.K. Change in soil carbon following afforestation. For. Ecol. Manag. 2002, 168, 241–257. [Google Scholar] [CrossRef]
  62. Baumann, K.; Marschner, P.; Smernik, R.J.; Baldock, J.A. Residue chemistry and microbial community structure during decomposition of eucalypt, wheat and vetch residues. Soil Biol. Biochem. 2009, 41, 1966–1975. [Google Scholar] [CrossRef]
  63. Oliveira, F.C. Emissão de Gases de Efeito estufa e Dinâmica da População Microbiana e do Carbono do Solo em Povoamento de Eucalipto Implantado No Bioma Pampa. Ph.D. Thesis, Universidade Federal de Viçosa, Viçosa, Brazil, 2015. [Google Scholar]
  64. Sinsabaugh, R.L.; Gallo, M.E.; Lauber, C.; Waldrop, M.P.; Zak, D.R. Extracellular enzyme activities and soil organic matter dynamics for northern hardwood forests receiving simulated nitrogen deposition. Biogeochemistry 2005, 75, 201–215. [Google Scholar] [CrossRef]
  65. Waldrop, M.P.; Zak, D.R.; Sinsabaugh, R.L.; Gallo, M.; Lauber, C. Nitrogen deposition modifies soil carbon storage through changes in microbial enzymatic activity. Ecol. Appl. 2004, 14, 1172–1177. [Google Scholar] [CrossRef]
  66. Fontaine, S.; Barot, S.; Barré, P.; Bdioui, N.; Mary, B.; Rumpel, C. Stability of organic carbon in deep soil layers controlled by fresh carbon supply. Nature 2007, 450, 277–280. [Google Scholar] [CrossRef] [PubMed]
  67. Binkley, D.; Resh, S.C. Rapid changes in soils following Eucalyptus afforestation in Hawaii. Soil Sci. Soc. Am. J. 1999, 63, 222–225. [Google Scholar] [CrossRef]
  68. Binkley, D.; Kaye, J.; Barry, M.; Ryan, M.G. First-rotation changes in soil carbon and nitrogen in a Eucalyptus plantation in Hawaii. Soil Sci. Soc. Am. J. 2004, 1713–1719. [Google Scholar] [CrossRef]
Figure 1. Representation of sampling design used for each representative tree. Area shown represents approximately a quarter of tree area (based on spacing). R: indicates row positions; I: indicates inter-row positions; and D: indicates diagonal positions at 45° between row and inter-row.
Figure 1. Representation of sampling design used for each representative tree. Area shown represents approximately a quarter of tree area (based on spacing). R: indicates row positions; I: indicates inter-row positions; and D: indicates diagonal positions at 45° between row and inter-row.
Forests 09 00062 g001
Figure 2. E. dunnii trees’ average diameter at breast height (DBH, cm) and height (H, m) as a function of N level at each sampling age. Arrow indicates when treatments were applied. Vertical bars represent standard errors (n = 4). *, ** and *** indicate significance of regression (Growth × N) parameters at each age at 10, 5 and 1%, respectively.
Figure 2. E. dunnii trees’ average diameter at breast height (DBH, cm) and height (H, m) as a function of N level at each sampling age. Arrow indicates when treatments were applied. Vertical bars represent standard errors (n = 4). *, ** and *** indicate significance of regression (Growth × N) parameters at each age at 10, 5 and 1%, respectively.
Forests 09 00062 g002
Figure 3. Fine-root biomass (FRB) until 40 cm depth at 2.95-year-old E. dunnii Maiden plantation as affected by N fertilization. Vertical bars represent standard errors (n = 4). ** indicates parameter is significant at 5%.
Figure 3. Fine-root biomass (FRB) until 40 cm depth at 2.95-year-old E. dunnii Maiden plantation as affected by N fertilization. Vertical bars represent standard errors (n = 4). ** indicates parameter is significant at 5%.
Forests 09 00062 g003
Figure 4. Ordinary kriging of average fine-root density (FRD) distribution of 2.95-year-old E. dunnii Maiden along soil profile in the three positions evaluated. Trees are placed in the top left corner of each figure. x axis represents increasing distance from tree in each position, and y axis represents depth.
Figure 4. Ordinary kriging of average fine-root density (FRD) distribution of 2.95-year-old E. dunnii Maiden along soil profile in the three positions evaluated. Trees are placed in the top left corner of each figure. x axis represents increasing distance from tree in each position, and y axis represents depth.
Forests 09 00062 g004
Figure 5. N fertilization effects on C (g kg−1, (A,B)), δ13C (‰, bottom x axis) and eucalypt-derived C (%, top x axis) (C,D), and N (g kg−1, (E,F)) content of SOM fractions (POM—(A,C,E); and MAOM—(B,D,F)) at 0–10, 10–20 and 20–40 cm soil depth at 2.95-year-old eucalypt plantation. Reference lines (in red) indicate site properties at experiment beginning (same as found in Table 1). Error bars represent standard error (n = 4). Bars followed by same upper-case letter inside each depth and same lower-case letter inside each N level do not differ at 5% by LSD test.
Figure 5. N fertilization effects on C (g kg−1, (A,B)), δ13C (‰, bottom x axis) and eucalypt-derived C (%, top x axis) (C,D), and N (g kg−1, (E,F)) content of SOM fractions (POM—(A,C,E); and MAOM—(B,D,F)) at 0–10, 10–20 and 20–40 cm soil depth at 2.95-year-old eucalypt plantation. Reference lines (in red) indicate site properties at experiment beginning (same as found in Table 1). Error bars represent standard error (n = 4). Bars followed by same upper-case letter inside each depth and same lower-case letter inside each N level do not differ at 5% by LSD test.
Forests 09 00062 g005
Table 1. Average soil chemical, physical and organic properties at 0–10, 10–20 and 20–40 cm soil depth obtained at the beginning of the experiment in the whole treatment area (n = 16, for each depth), located in Rio Grande do Sul State, southern Brazil.
Table 1. Average soil chemical, physical and organic properties at 0–10, 10–20 and 20–40 cm soil depth obtained at the beginning of the experiment in the whole treatment area (n = 16, for each depth), located in Rio Grande do Sul State, southern Brazil.
DepthpH (1)SB (2)ρb (3)TP (4)Clay (5)POM (6)MAOM (6)SOM (7)
Cδ13CNCδ13CNC:N
cm-cmolc dm−3g cm−3m3 m−3g kg−1g kg−1g kg−1g kg−1g kg−1-
0–104.717.711.150.532802.35−14.750.1419.22−13.522.229.15
10–204.826.831.320.463201.32−15.740.0714.37−13.501.609.40
20–405.077.741.360.453700.81−16.110.0310.79−13.411.229.28
(1) pH determined in H2O, 1:2.5 soil:water solution; (2) Sum of Bases, Ca2+ and Mg2+ determined in KCl 1 mol L−1, K+ and Na+ determined with Mehlich-1 extractor; (3) Soil Bulk Density; (4) Total Porosity; (5) determined following Ruiz (2005) [40]; (6) Fractionation following Cambardella and Elliott (1992) protocol; C and N content and δ13C determinations using an elemental isotope ratio mass spectrometer (EA-IRMS ANCA-GSL 20-20, Sercon, Crewe, UK); (7) Bulk SOM C:N ratio.
Table 2. Effects of N dose on tree variables averaged for all trees at each treatment at 1.08, 1.54 and 2.33-year sampling.
Table 2. Effects of N dose on tree variables averaged for all trees at each treatment at 1.08, 1.54 and 2.33-year sampling.
Variables-Age (year)Nitrogen Dose (kg ha−1)
243648108
DBHcm1.084.35 a (0.11)4.44 a (0.12)4.47 a (0.10)4.55 a (0.11)
1.547.70 b (0.25)7.83 a (0.22)7.89 a (0.18)8.00 a (0.24)
2.3310.89 a (0.20)10.97 a (0.18)11.03 a (0.10)11.11 a (0.10)
Hm1.083.54 a (0.11)3.64 a (0.09)3.75 a (0.12)3.83 a (0.08)
1.547.69 b (0.15)7.94 a,b (0.05)8.09 a (0.10)8.20 a (0.11)
2.3311.86 b (0.11)12.02 ab (0.06)12.02 ab (0.05)12.21 a (0.03)
Hdm1.084.54 a (0.11)4.71a (0.08)4.79 a (0.14)4.79 a (0.18)
1.548.83 ab (0.33)8.51 b (0.26)9.17 a (0.16)9.15 a (0.27)
2.3312.64 a (0.23)12.88 a (0.32)12.94 a (0.16)12.91 a (0.11)
Survival%1.0894.82 a (1.71)95.90 a (1.07)95.71 a (1.34)95.00 a (1.68)
1.5491.25 a (1.35)92.68 a (1.03)95.18 a (1.28)92.14 a (1.62)
2.3392.14 a (0.23)90.36 a (0.90)91.96 a (1.63)89.11 a (1.88)
Gm2 ha−11.081.55 a (0.13)1.73 a (0.13)1.82 a (0.18)1.94 a (0.12)
1.546.21 a (0.41)6.29 a (0.32)6.54 a (0.35)6.61 a (0.47)
2.3312.49 a (0.41)12.65 a (0.23)13.17 a (0.30)13.14 a (0.31)
LAIm2 m−21.542.50 a (0.31)2.72 a (0.13)2.73 a (0.23)2.78 a (0.30)
Leaf Ng kg−11.5421.68 a (1.32)22.08 a (1.52)22.33 a (0.99)23.07 a (1.31)
DBH: Diameter at breast height; H: Height; Hd: Dominant height; G: Basal area; LAI: Leaf area index; Leaf N: Foliar N content. Standard errors (n = 4) are presented inside parentheses. Averages within each sampling period (i.e., each row) followed by same lower-case letter do not differ at 5% by LSD test.

Share and Cite

MDPI and ACS Style

Ferreira, G.W.D.; Oliveira, F.C.C.; Silva, L.O.G.; Souza, J.J.L.L.; Soares, E.M.B.; Araújo, E.F.; Silva, I.R. Nitrogen Alters Initial Growth, Fine-Root Biomass and Soil Organic Matter Properties of a Eucalyptus dunnii Maiden Plantation in a Recently Afforested Grassland in Southern Brazil. Forests 2018, 9, 62. https://doi.org/10.3390/f9020062

AMA Style

Ferreira GWD, Oliveira FCC, Silva LOG, Souza JJLL, Soares EMB, Araújo EF, Silva IR. Nitrogen Alters Initial Growth, Fine-Root Biomass and Soil Organic Matter Properties of a Eucalyptus dunnii Maiden Plantation in a Recently Afforested Grassland in Southern Brazil. Forests. 2018; 9(2):62. https://doi.org/10.3390/f9020062

Chicago/Turabian Style

Ferreira, Gabriel W. D., Fernanda C. C. Oliveira, Lucas O. G. Silva, José João L. L. Souza, Emanuelle M. B. Soares, Elias F. Araújo, and Ivo R. Silva. 2018. "Nitrogen Alters Initial Growth, Fine-Root Biomass and Soil Organic Matter Properties of a Eucalyptus dunnii Maiden Plantation in a Recently Afforested Grassland in Southern Brazil" Forests 9, no. 2: 62. https://doi.org/10.3390/f9020062

APA Style

Ferreira, G. W. D., Oliveira, F. C. C., Silva, L. O. G., Souza, J. J. L. L., Soares, E. M. B., Araújo, E. F., & Silva, I. R. (2018). Nitrogen Alters Initial Growth, Fine-Root Biomass and Soil Organic Matter Properties of a Eucalyptus dunnii Maiden Plantation in a Recently Afforested Grassland in Southern Brazil. Forests, 9(2), 62. https://doi.org/10.3390/f9020062

Note that from the first issue of 2016, this journal uses article numbers instead of page numbers. See further details here.

Article Metrics

Back to TopTop