Abstract
Microbial-mediated decomposition and nutrient mineralization are major drivers of forest productivity. As landscape-scale fuel reduction treatments are being implemented throughout the fire-prone western United States of America, it is important to evaluate operationally how these wildfire mitigation treatments alter belowground processes. We quantified these important belowground components before and after management-applied fuel treatments of thinning alone, thinning combined with prescribed fire, and prescribed fire in ponderosa pine (Pinus ponderosa) stands at the Southwest Plateau, Fire and Fire Surrogate site, Arizona. Fuel treatments did not alter pH, total carbon and nitrogen (N) concentrations, or base cations of the forest floor (O horizon) or mineral soil (0–5 cm) during this 2-year study. In situ rates of net N mineralization and nitrification in the surface mineral soil (0–15 cm) increased 6 months after thinning with prescribed fire treatments; thinning only resulted in net N immobilization. The rates returned to pre-treatment levels after one year. Based on phospholipid fatty acid composition, microbial communities in treated areas were similar to untreated areas (control) in the surface organic horizon and mineral soil (0–5 cm) after treatments. Soil potential enzyme activities were not significantly altered by any of the three fuel treatments. Our results suggest that a variety of one-time alternative fuel treatments can reduce fire hazard without degrading soil fertility.
1. Introduction
When Euro-Americans settled in the southwestern United States of America (USA), the ponderosa pine (Pinus ponderosa P. & C. Lawson) forests they encountered were more open landscapes than today, with clusters of pine trees interspersed in meadows dominated by grasses [1,2]. Frequent fires (every 2–20 year), herbaceous competition, and periodic drought maintained the pre-Euro-American forest structure with densities of 30–140 trees ha-1 [3,4]. Following Euro-American settlement, fire exclusion, livestock grazing, and removal of large pre-settlement trees increased stand densities dramatically [5,6,7]. Removal of the dominant trees, coupled with a large seedling recruitment of ponderosa pine in 1919 [8,9], increased stand densities to the current 727 trees ha-1 on average in Arizona [5], with some stands exceeding 2000 trees ha-1 [6,7]. As tree density increased, canopies became more continuous and understory vegetation declined. High-severity wildfires in dry, fire-prone forests of the southwestern United States (US) have increased in frequency and size after a century or more of increasing tree density and accumulation of fuels [10,11]. Reducing stand densities and fuels in these forests have been shown to decrease fire severity [12,13], but with several alternative fuel reduction strategies available [14,15] the question becomes: What strategy best serves the resilience of these fire-adapted forests?
Prescribed fire has been used to reduce ladder fuels that increase the likelihood of crown fires, but also to control pest and diseases [16]. Various levels of thinning to reduce tree density, frequently combined with prescribed fire, have also been proposed to reduce fuel quantities and continuity [16]. Mitigating wildfire behavior currently is based on limited observational data from wildfires that have moved into previously treated stands [16] and fire behavior modeling [17]. Our knowledge of the ecological effects of these treatments is lacking and a major concern for land managers.
Fire can reduce detrital inputs to soil and result in the loss of decomposer microorganisms due to lethal temperatures [18]. Soil bacteria and fungi, the primary decomposers, process between 80% and 90% of all plant detritus via production of extracellular enzymes [19]. Even though losses of organic matter due to combustion can be as high as 85%, increased nitrogen (N) availability [20,21,22,23], soil insolation and soil moisture [23,24], surface soil pH (cation deposition), and the addition of charcoal [23] can enhance microbial activity [25,26]. Yet prescribed fire can also negatively impact soils by forming hydrophobic surface conditions limiting water infiltration and available soil moisture, reducing microbial activity [18], and disproportionately decreasing fungal biomass especially in the surficial organic (O) horizon [27].
Soil microbial composition is also influenced following thinning by changes in the soil microclimate, such as increased soil moisture and soil temperatures, and levels of harvesting residue left on site [28,29]. In some short-term studies, decomposition and N mineralization rates have been shown to increase in southwestern ponderosa pine [21,30,31]. These increases in soil process rates were hypothesized to result from increased soil microbial activity in the warmer and wetter surface soil following partial canopy removal [21,30]. However, net N immobilization can also occur with increased soil microbial activity [32].
An assessment of the effects of fuel reduction treatments on forest soils has been challenging due to idiosyncratic results from fire research [33], and vastly different application of mechanical treatments [14]. The Fire and Fire Surrogate (FFS) network study was developed specifically to evaluate short- and long-term ecological effects following alternative fuel reduction treatments [34]. These fuel reduction treatments were applied to fire-prone forests at 12 sites across US, with eight replicates in ponderosa pine-dominated ecosystems. A common attribute among the 12 sites is the change from frequent low- to moderate-severity fires to infrequent high-severity fires that have a potential for catastrophic consequences [34]. The requirement for the FFS treatments were to reduce stand and fuel conditions such that, if impacted by a head fire under 80th percentile weather conditions, at least 80 percent of the basal area of dominant and codominant trees would survive [34,35]. The treatment methods primary purpose was to modify fire behavior by reducing quantity and continuity of forest fuels [36]. Prescribed fire has been a common management practice, yet greater restraints have been placed on utilization of prescribed fire due to increased social and administrative issues with increasing populations living in closer proximity to these forests [37]. Surrogate methods, such as thinning and thinning combined with fire, were used at all of the FFS study sites to provide similar reductions in fuel loading as prescribed fire alone, and an experimental design with consistent treatments and measured variables at a landscape scale [35].
The objectives of our study were to quantify the short-term (2 years) effects of FFS fuel treatments on soil chemical properties, and microbial activity and composition at the Southwest Plateau (SWP) site of the FFS study. We measured all of the annual FFS network response variables; in addition, we added a shorter term sampling period (6 months) and included a more thorough microbial assessment through the use of phospholipid fatty acid (PLFA) measurements and additional soil enzyme potential activities. We hypothesized: (1) Prescribed fire will reduce forest floor (O horizon) quantity in the short-term, but increase quality immediately post-treatment (for microbial decomposition and nutrient mineralization), increasing microbial activity. A decrease in microbial populations due to mortality will be minimal given the low severity of prescribed fires, but more pronounced in the forest floor compared to the mineral soil. (2) The thinning only treatment will add organic material to the forest floor and mineral soil surface, which will increase microbial activity but immobilize N due to the low quality of the added organic inputs (e.g., woody materials). And (3) thinning followed by prescribed fire will increase detrital organic matter and nutrient inputs to the soil, but will also increase nutrient availability of the residual organic matter due to oxidation from burning.
2. Experimental Section
2.1 Study Site and Experimental Design
The ponderosa pine forests of the southwestern USA are the driest and most variable with respect to annual precipitation of all the FFS locations. The SWP site, located in north-central Arizona on the Coconino Plateau, was one of the eight ponderosa pine ecosystems within the FFS network. The SWP site is located in northern Arizona and consists of a randomized, complete block experimental design with 3 blocks and 4 treatments. Two of the replicate blocks (Rudd Tank: 35°14.0′05.9”, 111°44.0′58.4”, and Powerline: 35°12.0′33.9”, 111°45.0′32.2”) are located on the Coconino National Forest west of Flagstaff, Arizona, and a third block (KA Hill: 35°12.0′33.9”, 111°45.0′32.2”) on the Kaibab National Forest southeast of Williams, Arizona (Figure 1). Elevations range from 2217 to 2264 m and the forest overstory is dominated by ponderosa pine, with small populations of alligator juniper (Juniperus deppeana Steud.) and Gambel oak (Quercus gambelii Nutt.; [38]).
Figure 1.
Southwest Plateau Fire and Fire Surrogate block locations and a generalized treatment plot design. Each of four 10-ha core treatment units are within each replicate block. Each treatment unit has 36 (typically 6 × 6) permanent gridpoints located 50 m apart oriented north to south. The small squares shown within each treatment unit are soil subplots (20 × 50 m) located adjacent to every other permanent gridpoint for up to ten soil subplots. Each soil subplot’s southeast corner is 10 m east of each permanent gridpoint.
Soils at Powerline and Rudd Tank areas are dominated by the Typic Eutroboralfs soil subgroup [39], while KA Hill area is primarily Lithic Eutroboralfs [40]. Soil family designations are either fine, smectitic or clayey-skeletal, smectitic, with 35% to 60% clay in the fine earth fraction (<2 mm). Mean annual precipitation is 547 mm with a bimodal distribution. Approximately half of the precipitation falls as snow (mean annual amount = 210 cm) and the other half as late summer rains. Little precipitation occurs from May to early July, resulting in low soil moisture content until the onset of summer rains in mid-July to September. This summer rainy period is followed by another dry period prior to winter precipitation. Long-term mean annual air temperature is 7.5 °C, with annual maximums of 15.7 °C and annual minimums of −3.4 °C. During our study, the pre-treatment year (2001) had a total precipitation of 401 mm with 29 mm coming as snow, while the post-treatment years (2004, 2005) total precipitation was 694 mm and 735 mm respectively, with 137 mm and 153 mm of snowfall. Air temperatures were much less variable. Mean daily maximum air temperature in year 2001 was 17.8 °C, while the 2004 and 2005 years were 17.4 °C and 17.2 °C; mean daily minimum temperatures were 3.4, 3.4, and 3.6 °C for 2001, 2004, and 2005, respectively. These values were obtained from the Western Regional Climate Center (http://www.wrcc.dri.edu/summary/climsmaz.html) for the Ft. Valley Station (029359), which is approximately the same elevation as the study sites and 5 km northeast of the Coconino National Forest sites and 25 km northeast of the Kaibab National Forest site.
Treatment unit boundaries followed existing stand and natural landscape features that contained a core 10-ha sampling area. Treatments varied in size from 14 to 16 ha, with at least a 50-m buffer between adjacent units (Figure 1). Permanent boundaries and sampling point centers were established prior to treatments. Thinning treatments began in late 2002 and were completed in the spring of 2003. Thinning was accomplished by hand felling trees, then limbing and sawing into shorter lengths in place. Logs were skidded by rubber-tired vehicle to landings, and then loaded onto trucks. Treatment goals were to reduce stem density to 116 trees ha-1 with a residual overstory of 12-14 m2·ha-1, creating an uneven-aged forest structure [38]. Fire only treatments did not meet either target. Neither thinning only nor thinning plus fire treatments reduced tree density to target levels, while thinning plus fire treatments met the basal area goal and thinning only treatments were just slightly higher than the basal area target. Thinning only and thinning plus fire treatments were based on an uneven-age group selection design, with the majority of trees harvested falling into diameters (at breast height; 1.4 m) classes between 5 and 35 cm. Additional details on vegetation structure and fuels of the FFS study sites can be found in Schwilk et al. [41] and Youngblood [42].
Prescribed fire treatments followed in the fall of 2003 [38]. Fire only and thinning plus fire units were broadcast burned at the same time as the slash piles were burned. Slash from thinning only treatments was removed offsite, while the thinning plus fire slash was piled in buffer zones outside of the experimental area then burned. Approximately 3.0 Mg ha-1 of slash residue remained within the treatment areas. The fire treatments were completed over a one-month period from September 30 to October 22, 2003. Burning conditions ranged between 6.4 and 19.3 km per hour for wind speeds, 21.7 and 27.2 °C for maximum air temperatures, and 9% and 29% for relative humidity. Flame lengths varied at the thinning plus fire treatments between 23 and 51 cm, and 38 and 51 cm for the fire only treatments. Treatments were performed by commercial contractors for thinning and National Forest personnel for prescribed fires. Fire only treatments reduced forest floor biomass by 53%, whereas thinning plus fire treatments reduced forest floor biomass by 37% and thinning-only by 6% (Table S1).
2.2 Soil Sampling and Nutrient Analyses
We followed the experimental design measuring the core soil variables detailed in the FFS study, and augmented these measurements by including phospholipid fatty acids (PLFA) to quantify possible compositional changes to the soil microbial community following the FFS treatments. We also measured additional soil potential enzyme activities important for organic matter decomposition and nutrient cycling. Finally, we included a 6-month post-treatment sampling, in addition to the post one and two year measurements implemented at all the sites, to evaluate the more immediate impact of the treatments on N cycling.
Within each 10-ha core treatment unit, 10 sub-plots (20-m × 50-m) were established for soil sampling. Each treatment unit has 36 (typically 6 × 6) permanent gridpoints located 50 m apart oriented north to south. Each soil subplot’s southeast corner is 10 m east of every other permanent gridpoint for up to ten soil subplots. Pre-treatment sampling (September 2001) was performed at each soil sub-plot [10] for all treatments [4] within each replicate block [3]. The forest floor was collected at randomly selected points within a 0.01-m2 litter frame, placed in polyethylene bags, and transported on ice to the laboratory. Mineral soil (0–5 cm) was also sampled within the litter frame after removing the forest floor, using a 2.22-cm diameter slotted soil probe (AMS, American Falls, ID 83211). Upon arrival at the laboratory, we discarded all material greater than 6-mm diameter for the forest floor samples and sieved the mineral soil samples (< 2 mm). All samples were weighed, and a subsample (20 g) was taken from both the forest floor and mineral soil. Each subsample was placed in a drying oven for 48 h (forest floor 70 °C, mineral soil 105 °C), then reweighed to determine water content. Additional subsamples were taken from the forest floor and mineral soil for soil microbial analyses (10 g), along with mineral soil subsamples for enzyme (5 g) and community-level physiological profile (CLPP; 5 g) analyses. Enzyme assays and CLPP analyses samples were stored no longer than 12 h at 4 °C. The remaining portion of each sample was then air-dried. The forest floor was analyzed for total C and N concentrations, and mineral soil was analyzed for pH, total C and N concentrations, mineral soil extractable base cations, and potential enzyme activities. Air-dried, well-mixed forest floor samples and mineral soil were individually ground until the entire sample passed through a No. 100 sieve (<0.149 mm). Subsamples (20–50 mg) of these materials were then analyzed for total C and N concentrations on an elemental analyzer (Flash EA 1112, CE Elantech, Lakewood, NJ, USA). Extractable cations (calcium (Ca), magnesium (Mg), potassium (K), sodium (Na), iron (Fe), and aluminum (Al)) of sieved, air-dried mineral soil were determined using the method described by Hendershot et al. [43], with elemental concentrations measured with a flame atomic absorption spectrophotometer (Perkin-Elmer AAnalyst 100, Waltham, MA, USA). Briefly, cations were extracted using 30 mL of 0.1 M BaCl2 from a 1 g subsample. Cation exchange capacity (CEC) was calculated by summing the extractable base cations found in our soil samples. Soil pH was determined by immersing a glass electrode into a 1:5 (w/v) soil-to-0.01 M CaCl2 solution [43] connected to a Orion 550A pH meter (Thermo Fisher Scientific, Inc., Waltham, MA, USA).
Soil samples were again collected and analyzed at three post-treatment periods following pre-treatment protocols except where noted below. Post-treatment samples were taken 6 months post-treatment (April 2004), 1-year post-treatment (October 2004), and 2-year post-treatment (September 2005). Mineral soil extractable base cations were measured on pre-treatment and 1-year post-treatment mineral soil only, while PLFA analyses were conducted on 1-year post-treatment forest floor and mineral soil only due to funding constraints. For these analyses, three replicate subsamples were composited from three adjacent sub-plot samples within each treatment unit for both forest floor and mineral soil.
2.3 Microbial Community Analyses
Forest floor and mineral soil composites were assessed for microbial biomass and structure. These subsamples were frozen for 24 h, then freeze-dried (−50 °C, 7 × 10-3 kPa for 24 h, Edwards Modulyo, Crawley, UK) prior to extraction for PLFA. The extraction process occurred within 48 h of returning to the laboratory. Compounds between C14 to C18 in C chain length used as microbial biomarkers were identified using mass spectrometry. We used biomarkers: i15:0, a15:0, i16:0, i17:0, and a17:0 for Gram-positive bacteria [44]; cy17:0, cy19:0, 16:1w9c, 16:1w7, 18:1w5c, and 18:1w7 for Gram-negative bacteria [44,45]; 18:2w6,9 for fungi [44,46]; and 10me16:0 to represent Actinobacteria [47]. Five g of freeze-dried mineral soil sieved (<2 mm) or 2 g of freeze-dried forest floor (ground to <0.149 mm) were extracted with a single-phase mixture of chloroform, methanol, and phosphate buffer [48], followed by fractionation into neutral, glyco-, and phospholipids [49]. We followed the extraction and analysis method described in Schweitzer et al. [50]. Quantification (mmol PLFA kg-1 oven-dry material) of samples was based on calibration curves derived from individual Fatty Acid Methyl Esters (FAME) standards.
2.4 Microbial Activity and Net N Transformations
To determine if FFS treatments affected microbial activity and function, the potential activities of eight ecologically relevant enzymes were assayed: β-1,4-glucosidase, α-1,4-glucosidase, β-galactosidase, β-xylosidase, cellobiohydrolase, N-acetyl-glucosaminidase, alkaline phosphatase, and sulfatase. These eight enzymes were measured using the methylumbelliferone (MUB)-linked substrates [51]. The first five enzymes decompose carbohydrates and polysaccharides into energy sources accessible by soil organisms [52,53,54]. N-acetyl-glucosaminidase contributes to the mineralization of N from chitin [55], phosphatase releases inorganic P by breaking ester linkages [51], and sulfatase breaks ester linkages releasing inorganic forms of sulfur [54,56]. Methods for enzyme assays followed those outlined by Boyle et al. [50]. Field-moist soil (1 g) was first suspended in 100 mL of 5 mM bicarbonate buffer solution (pH 8.2), then an aliquot (100 μL) of this soil solution was added with 100 μL of an enzyme substrate solution to a single microtiter plate well. All eight enzyme substrates followed this procedure six times with quenching standards included on each plate [57]. Plates were immediately read using a Fluoromax fluorometer (Jobin Yvon-Spex, Edison, NJ, USA) with an attached MicroMax Microwell plate reader (excitation of 360 nm, emission 450 nm). Plate incubation was 1 h at 27 °C before the final fluorometric reading.
Community-level physiological profiles were also used for determining potential differences in microbial activity among fuel treatments. Community-level physiological profiles provide a means of assessing soil microbial communities based on carbon (C) substrate utilization [58]. They are indicative of the metabolic potential of the microbial community [59], and provide a qualitative measure of functional diversity [60]. We made use of microtiter plates (Biolog™, Inc, Hayward, CA, USA) developed for both bacteria (Biolog™ EcoPlate) and fungi (Biolog™ SFN2). Bacterial microtiter plates contain 31 different C substrates replicated three times on each plate, while fungal microtiter plates contain 95 individual C substrates. A tetrazolium dye sensitive to reduction is included with each C substrate on bacterial microtiter plates. Fungal microtiter plates do not include the tetrazolium dye due to toxicity to some fungi [61]. This dye develops a purple color if catabolized, while fungal microtiter plates utilize turbidity as a measurement. We followed the CLPP method detailed in Classen et al. [58].
We used the in situ covered-core method [62] to estimate the potential impact of fuel reduction treatments on net N mineralization and nitrification rates in the upper 15 cm of mineral soil. At the same time and adjacent (<1 m away) to locations where samples were taken for the other assays, two intact soil cores (0–15 cm) were removed using a corer attached to a slide hammer (AMS, Inc., American Falls, ID, USA) containing a 5-cm × 15-cm thin-walled polycarbonate inner sleeve. A plastic cap with six small holes (<1 mm dia.) was placed over the top of the core and this core was then returned to its original location and forest floor placed over the mineral soil core. The purpose of these small holes was to improve gas exchange between the incubated soil contained within the polycarbonate sleeve and the surrounding environment, while minimizing water loss or gain by the confined soil. The second core was covered at both ends with solid plastic caps and transported to the laboratory on ice. Immediately after returning to the laboratory, the soil within these initial cores was sieved (<4 mm), mixed, weighed, and subsampled (15 g field-moist mass) to determine gravimetric water content and soil inorganic N pools.
Approximately 5 g (field moist) of soil were extracted with 50 mL of 2 M KCl. Soil suspensions were shaken for 30 min. on a reciprocating shaker, and then filtered through pre-leached (with deionized water), Whatman No. 1 filter paper; filtered aliquots were frozen until analyzed [62]. Ammonium and NO3- concentrations were determined colorimetrically from the KCl extracts using a Flow Injection Analyzer [63,64]. After 28 days, the in situ incubated cores were removed and processed in the same manner as these initial cores. Soil net N transformation rates were determined pre-treatment, and 6 months, 1 year, and 2-year post-treatment. Net N mineralization over the incubation period was calculated by subtracting the initial inorganic N pools (NH4+-N + NO3--N) from the final post-incubation N pools. Net nitrification was calculated similarly using only the NO3--N pool. Subplot mean soil bulk density values (Mg·m-3) of the <4-mm fraction were determined from initial and incubated cores for each subplot across all sampling periods and used to convert mass-based net N transformation rates to an areal basis for that subplot. All mass-based soil values are expressed on an oven-dry mass basis (70 °C for forest floor, 105 °C for mineral soil).
2.5 Statistical methods
The FFS experimental design is a randomized complete block design. Each treatment plus a control was randomly assigned within each block, with three replicate blocks (Figure 1). Measurement of response variables was performed prior to treatment and post-treatment. We used a repeated measures generalized linear mixed model to analyze univariate responses of forest floor mass, total mineral soil C and N concentrations, pH, enzyme activity, extractable cations, CEC, and soil net N transformations (GLIMIXX, SAS for PCs ver. 9.4, Copyright © 2012, SAS Institute Inc., Cary, NC, USA) to determine differences based on treatment, sampling date, and treatment × sampling date interactions. Natural logarithmic transformations of data were used in all statistical analyses except for pH due to heteroscedacity of residuals in the model. We designated block as a random effect and used sampling date (categorical time interval) as the repeated measure. By designating block as a random effect instead of a fixed effect, the treatment error estimate does not include variability attributable to block. Within the GLIMIXX procedure, we designated a normal probability distribution with an identity link function. This procedure tests for differences in treatments on response variables adjusted for any pre-treatment site spatial dependence to the response variable [65]. The temporal correlation is nested within each site and treatment combination. Each subject is a site × thin × burn combination (thinning only 0 or 1, fire only 0 or 1, and thinning plus fire 1 and 1) such that the temporal correlation within each site is modeled and not pooled across sites. An unstructured variance-covariance matrix is fit to account for inter-year correlation in each treatment × block combination. The variances are constrained to be non-negative, while the covariance matrix of the fixed-effect parameter estimates (treatments) are unconstrained in order to avoid non-linear constraints. Denominator degrees of freedom for t and F tests were determined using Kenward and Roger approximation [66]. Generalized linear mixed models in ecological studies allow greater generalizations of conclusions by incorporating all random effects into traditional blocked-design experiments [67].
Multivariate responses of PLFA biomarkers and CLPPs for each sample were analyzed using multi-response permutation procedure (MRPP) [68]. Phospholipid fatty acid data were normalized to express the proportion of each specific biomarker mass relative to the total mass of all biomarkers for a given sample [69]. Community-level physiological data was normalized similarly using absorbance values. Phospholipid fatty acid biomarkers grouped by fungi, gram-positive bacteria, and gram-negative bacteria, and CLPP data grouped by substrate guild, were also analyzed statistically using GLIMIXX procedure described above. Multi-response permutation procedure does not require assumptions of multivariate normality or homogeneity of variances, which are seldom met with ecological community data [69]. Simultaneous pairwise comparisons, using the Peritz closure method to maintain Type I error rate and a prior alpha level (α = 0.05), tested the null hypothesis that all possible pairs are similar [70]. This procedure was performed using Microsoft Excel macros (available from the corresponding author) following the methodology of Mielke and Berry [68]. All values presented within the text are arithmetic means and standard errors (i.e., not back-transformed) across the three sites (n = 3) by treatment block. Site values for each treatment block were calculated from the mean values across the subplots (n = 10) within each block at that site.
3. Results
For the variables we analyzed pre-treatment, there were no significant differences within blocks among the assigned treatment units. Additionally, post-treatment measurements of total C and N concentrations (%) and carbon to nitrogen (C:N) mass ratios of the O horizon were also not significantly different (Table S2). There was a significant reduction in forest floor mass for fire × time interaction (p = 0.043, denominator degrees of freedom (den. df) = 6). Total C concentration was significantly higher for treatments that included thinning post- treatment for the mineral soil (p = 0.025, den. df = 7.988), while total N concentration, C:N, or pH were not significantly different for main effect or treatment by time interactions. Analysis of extractable cations (Ca, Mg, K, Na) and CEC also were non-significant (Table S3). Both Fe and Al were below our detection limits (0.1 mg Fe L−1, 0.03 mg Al L−1). There also were several significant sampling date differences due to seasonal and interannual variations for the forest floor (total N concentration p = 0.036, den. df = 5.914; C:N ratio p = 0.002, den. df = 6.309) and mineral soil (pH p = 0.028, den. df = 6; total N concentration p = 0.028, den. df = 6), but no significant treatment by time interaction.
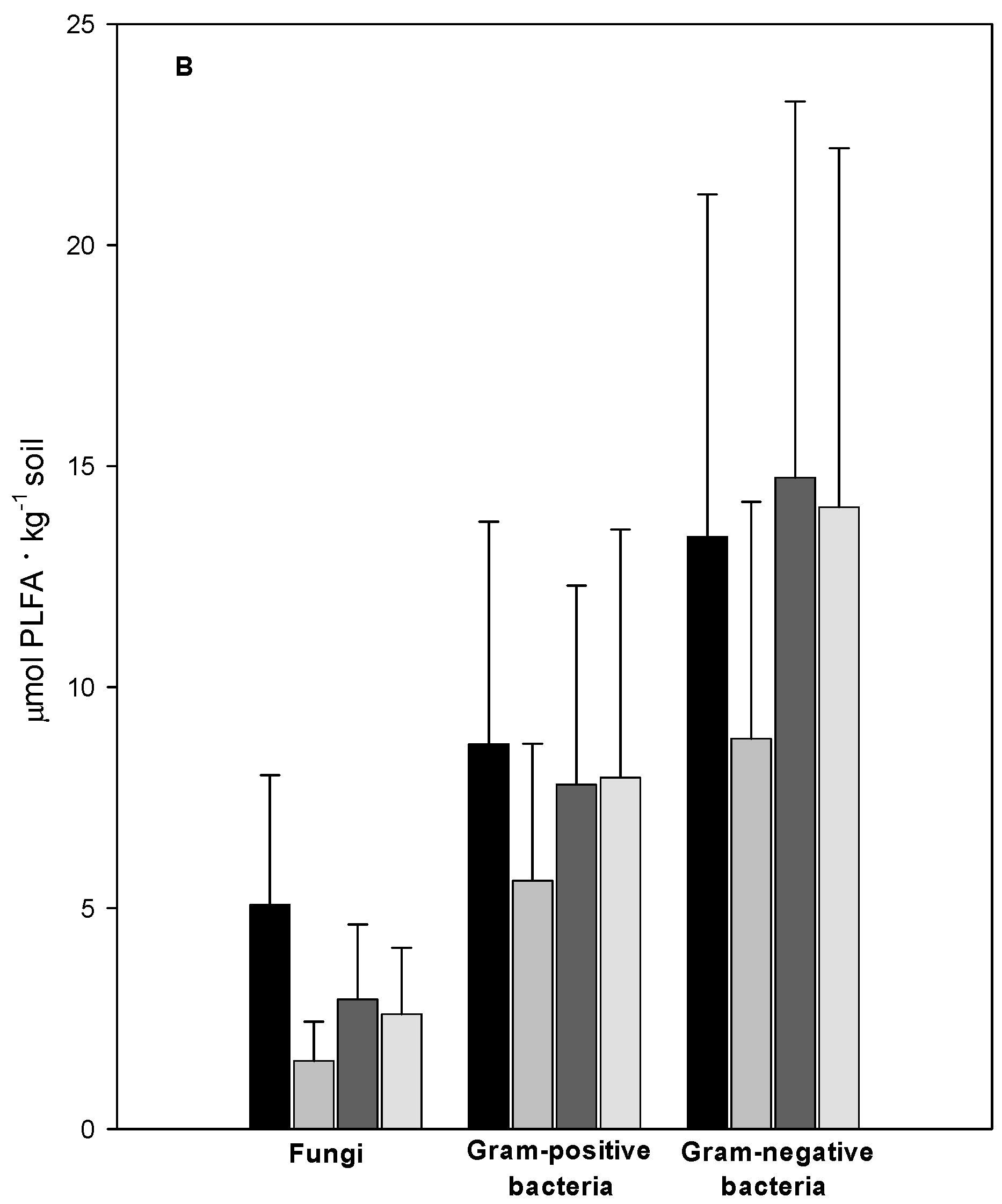
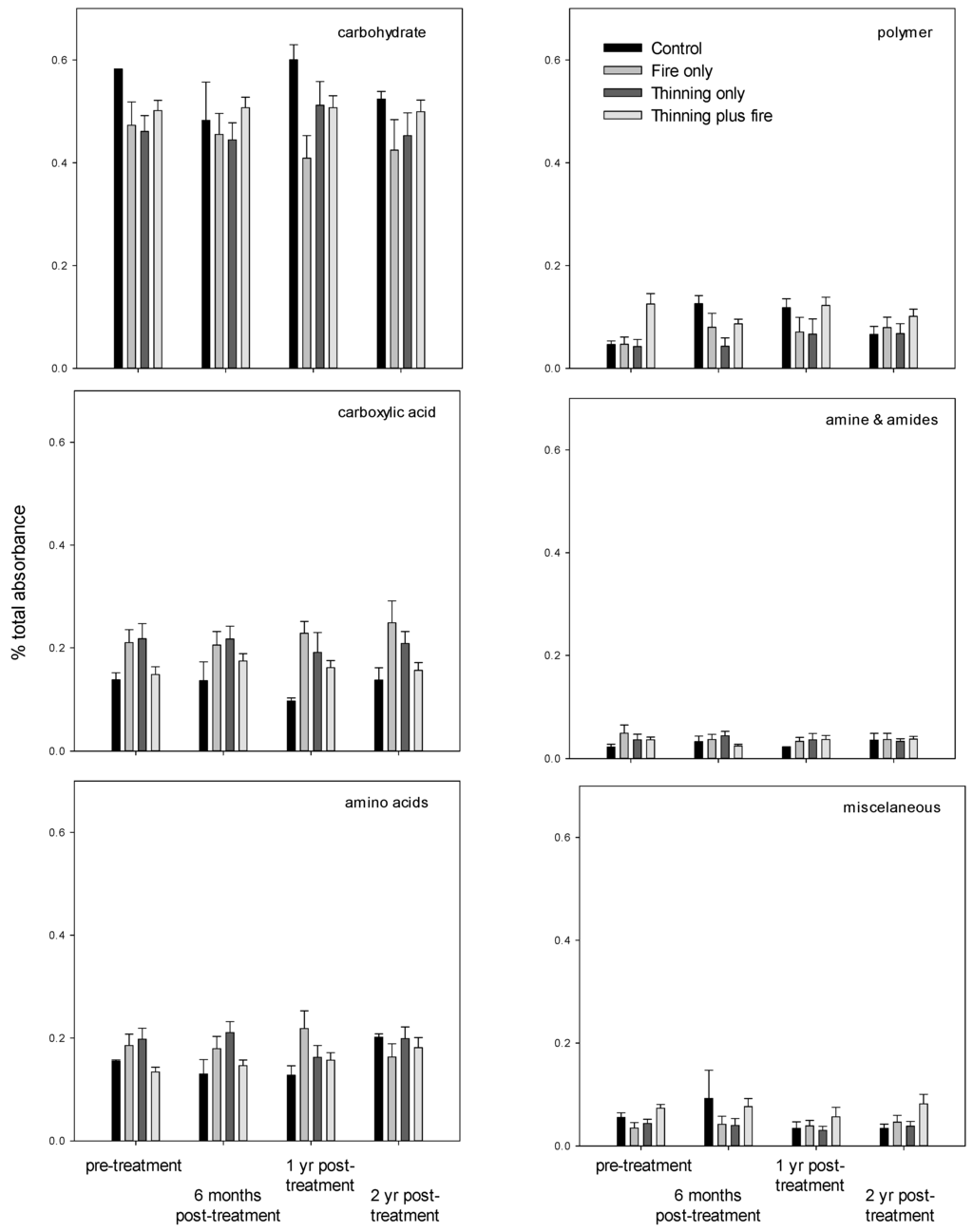
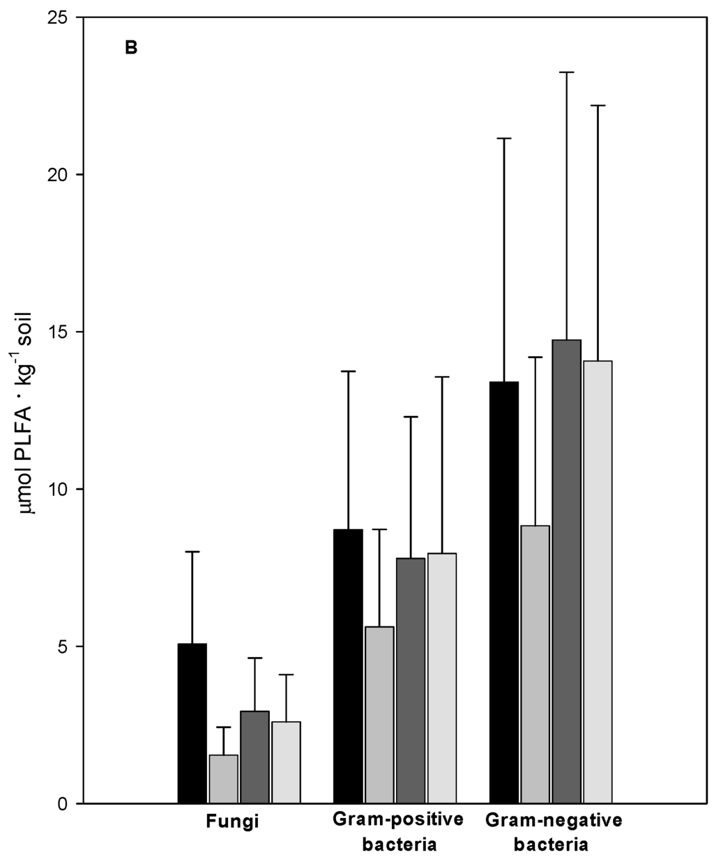
Total microbial biomass based on PLFA was not statistically different among treatments after 1-year (forest floor p = 0.185, den. df = 8.155; mineral soil p = 0.662, den. df = 8.155), yet PLFA biomarkers by groups (i.e., fungi, gram-positive bacteria, and gram-negative bacteria) for forest floor did indicate a treatment difference when fire was part of the treatment using GLIMMIX analysis (forest floor p = 0.012, mineral soil p = 0.163, den. df = 8.155; Figure 2). Fungi to bacteria ratios showed no treatment differences after 1-year post-treatment (forest floor p = 0.229, den. df = 8.155; mineral soil p = 0.163, den. df = 8.155).

Figure 2.
Mean microbial biomass in the forest floor (A) and mineral soil (0–5 cm; B) sampled 1-year post fuel reduction treatments at the Southwestern Plateau, Fire and Fire Surrogate study. Microbial biomass of different functional groups (mean + SE; n = 3) was determined using phospholipid fatty acid analysis (PLFA). Different letters for a given sampling date indicate significant differences (α = 0.05) using Tukey-Kramer pairwise comparison, generalized linear mixed model analysis of treatments. When no letters are provided, mean values among treatments were similar statistically.
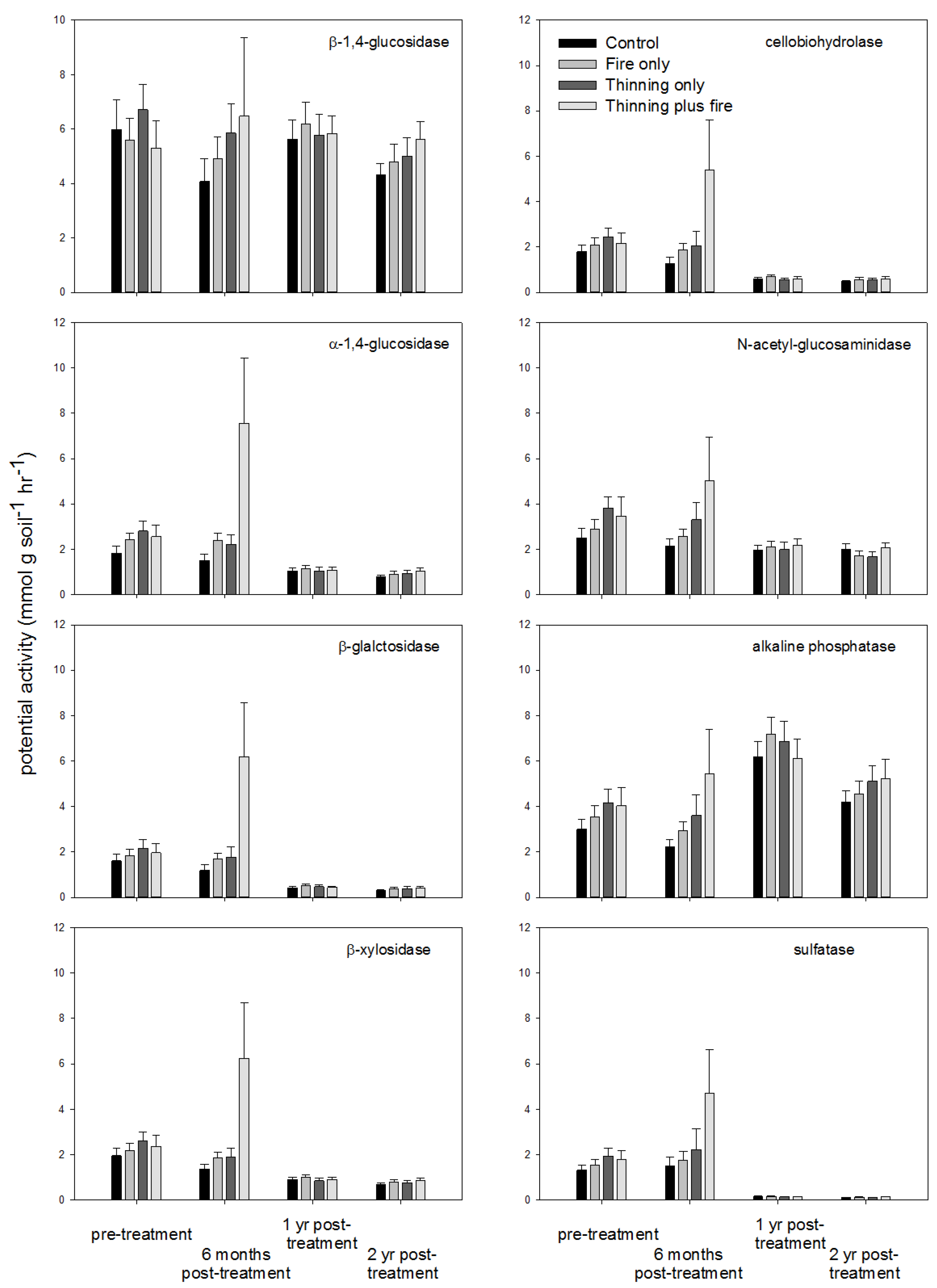
Potential enzyme activity in mineral soil (0–5 cm) for pre-treatment sampled in the fall of 2001 was similar for all enzymes at each treatment unit. Furthermore, post-treatment potential enzyme activity was also not significantly different among treatments for all individual enzymes at each sampling period (Figure 3). The variable that demonstrated the greatest effect on potential enzyme activity was time, with thinning plus fire exhibiting a higher inter-annual variation than the other fuel reduction treatments or the control (p = 0.001, den. df = 5.864). There was no treatment by time interactions for any of the enzyme activities measured when using natural log transformed data.
Figure 3.
The observed mean + SE (n = 3) potential activity of eight enzymes in mineral soil (0–5 cm) pre- and post-fuel reduction treatments at the Southwestern Plateau, Fire and Fire Surrogate study site. Error bars are not visible when errors were small.
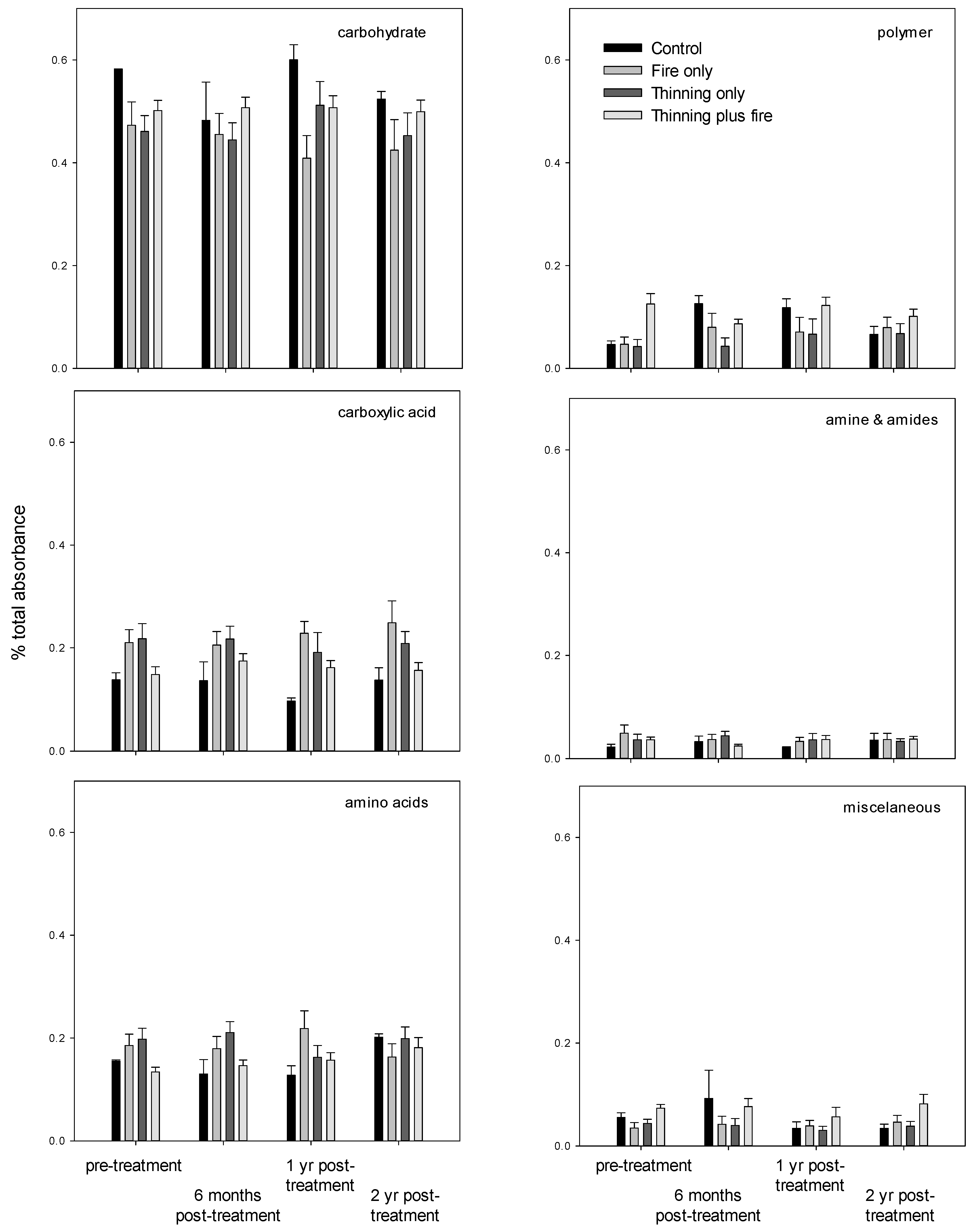
Community-level physiological profiles based on C substrate utilization for mineral soil (0–5 cm) showed no significant differences during pre- or post-treatment sample periods for either bacteria (Figure 4) or fungi (Figure 5). Neither total plate activity nor normalized C substrate utilization patterns showed any statistical differences among treatments (p = 0.242, den. df = 6) or treatment × sampling date interactions (p = 0.671, den. df = 6).
Figure 4.
Community-level physiological profiles for bacteria (Biolog™ EcoPlate) in surface mineral soil (0–5 cm) 1-year post-treatment at the Southwestern Plateau, Fire and Fire Surrogate study site. Data shown are the observed mean catabolic activity + SE (n = 3) by substrate guild, normalized to the total catabolic activity in that treatment. No significant differences (α = 0.05) were found among treatments based on a multi-response permutation procedure.
Figure 5.
Community-level physiological profiles for fungi (Biolog™ SFN2) in surface mineral soil (0–5 cm) 1-year post-treatment at the Southwestern Plateau, Fire and Fire Surrogate study site. Data shown are observed mean catabolic activity + SE (n = 3) by substrate guild, normalized to the total catabolic activity in that treatment. No significant differences (α = 0.05) were found among treatments based on a multi-response permutation procedure.
Net N mineralization and nitrification rates were similar statistically among the pre-treatment and 1- and 2-year post-sampling periods (Figure 6). Only the 6-month post-treatment sampling demonstrated any statistically significant differences in net N transformation rates among treatments. Six months post-treatment net N mineralization rates were 3 times higher for the thinning plus fire treatment than the thinning only treatment (p = 0.003, den. df = 5.995), but not statistically different than the control (Figure 6A). Net nitrification rates also exhibited significant effects for the 6-month samples. Net nitrification for thinning plus fire was six times greater than the control and was significantly different than the thinning only and control treatments (Figure 6B). Net nitrification pre-treatment was approximately 50% of the net N mineralization for all treatments, yet at 6 months thinning plus fire net nitrification accounted for almost all of the net N mineralization. Other than the 6-month sampling, there was no significant treatment by time interactions post-treatment.
Figure 6.
Mean ± one standard error (n = 3) net nitrogen (N) mineralization (A) and nitrification rates (B) in mineral soil (0–15 cm) at the Southwestern Plateau, Fire and Fire Surrogate study site pre- and post-fuel reduction treatments. Different letters for a given sampling date indicate significant differences, but sampling dates that share letters are not significantly different (α = 0.05) using Tukey-Kramer pairwise comparison following a significant repeated measures, generalized linear mixed model analysis of treatments. When no letters are provided, mean values among treatments were similar statistically.
4. Discussion
Developing fuel reduction strategies that create resistance to future disturbances in fire-prone forest ecosystems will require testing a wide range of forest structures [37,71] and instituting fire protocols that restore soil processes thought to have been altered with fire suppression [21,72]. The FFS network study was specifically designed to assess the impact of three alternative fuel reduction treatments on a national level. To test these treatments, the FFS experimental design included pre-treatment data for comparison with post-treatment results repeated over time with true replication of each treatment at each location. Treatment plot size of the FFS treatments was also designed to better simulate operational application of these fuel treatments compared to most previous studies. We specifically tested fuel reduction impacts on N dynamics, soil nutrients, and microbial processes and composition in ponderosa pine stands of northern Arizona.
Prescribed fire did reduce the mass of the forest floor at SWP in the short-term, yet forest floor quality (i.e., C:N ratio) did not change following treatments. An unexpected outcome was that the fire only treatment had no effect on net N mineralization or nitrification, substrate utilization, or enzyme activity. Previously in southwestern ponderosa pine forests, Kaye and colleagues [6,21] found that fire alone increased short-term (2-year) net nitrification rates. Significant differences between SWP and this previous study include a reduction and change in composition of the forest floor prior to prescribed fire, and the relatively small plot sizes (0.25 ha). To simulate pre-settlement fire behavior, Kaye and colleagues removed the entire forest floor from the thinning plus fire plots, and then pine needle litter equivalent to 2–4 year of annual litterfall along with 672 kg·ha-1 of locally harvested aboveground native grass and forb clippings were added. Forest floor at the SWP plots was unaltered prior to burning, and being substantially larger, also exhibited much greater spatial heterogeneity in fire intensity. Nitrogen transformations for fire only returned to pre-treatment levels after 1-year, suggesting a short-term effect, as we hypothesized. Several other prescribed fire studies in ponderosa pine have also shown the impacts of fire on available N are only short-term [20,30,73]. As we hypothesized, fungi were significantly reduced in the forest floor, but fire had no appreciable effect on forest floor bacteria or mineral soil fungi and bacteria. Our results support previous studies where both prescription fire and wildfire decreased fungal dominance within microbial populations [23,27] as fungi are more susceptible to the heat of fire than bacteria [18]. One concern with using fire in mitigation treatments is the possible long-term decrease with repeated burning on fungal populations [27]. However, ponderosa pine forests of the southwestern US naturally burned at short-time intervals pre-settlement. Because we have no microbial measurements in similar forests where a pre-settlement fire regime has been maintained (i.e., a “reference” forest), it is unclear whether this compositional change in soil microbial populations observed at the SWP following fire is outside their historic range in variability in these forests.
Thinning only increased mineral soil total C concentrations even though most of the harvested residues were removed from the SWP sites, which reduced the forest floor mass post treatment. Mixing of organic material into the mineral soil by equipment during treatments is the most likely cause for this increase. We hypothesized that N would be immobilized due to the addition of thinning residues, but removal of the majority of residues at SWP left the forest floor comparable to the controls. Thinning only did not alter our microbial populations in either the forest floor or mineral soil, and there was no effect on microbial activities we measured. Boyle et al. [74] also found little evidence of thinning impacts on microorganisms in mineral soil from the same study site used by Kaye and colleagues [21]. Microbial response to thinning in other forest types has been shown to be quite variable, from reduced microbial biomass without altering the population structure [44], to structural differences without altering microbial biomass [75,76,77], to altered biomass and structure [78]. The microbial responses to thinning are in part quite variable due to differences in thinning intensities, harvest practices, post-treatment site preparations, and timing of thinning relative to soil measurements, making comparisons among studies problematic.
Thinning followed by prescribed fire did not increase forest floor mass as we originally thought due to thinning residues being removed prior to burning. However, different than the thinning only treatment, we did not observe an increase in mineral soil total C. The thinning plus fire produced a short-term increase in net N mineralization and nitrification 6-months post-treatment. Net N mineralization and nitrification were not affected by thinning and burning treatments in the FFS Network analysis, and there were only minor within-site differences [14]. Our 1- and 2-year post-treatment samples reflect these same overall FFS Network patterns. Kaye et al. [6] also maintained that fire alone produced greater short-term (2-year) net nitrification rates than thinning plus fire. Similar to the fire only treatment, fungal populations in the forest floor were reduced, yet neither bacteria in the forest floor or mineral soil populations were affected. Previous research in ponderosa pine forests has found that soil responses from combining thinning and fire treatments are not simple additive effects of the individual treatment effects.
Soil responses appear to be resistant to wildfire mitigation treatments under current operational prescriptions. At SWP, results were consistent with the network scale FFS analysis [79] where C storage, pH, and extractable base cations were not affected by treatments, but C and base cations were highly variable between annual samplings, and within and among sites [15,80]. There were two specific sites in the network-scale FFS analysis that showed increases in pH the first year after thinning and burning, yet pH returned to pre-treatment levels by the 2-year sampling [79]. The pH increases at these sites were attributed to higher burn severity. Neither the FFS network, nor the SWP study site specifically, found significant differences in mineral soil cations [79], and this result is most likely due to the low intensity often found with prescription fires. Due to high temperature thresholds, cations are not easily lost in the gaseous form, but often are the major constituents of ash deposited on the mineral soil surface following fire [18]. The spatially variable nature of prescribed fire can often confound treatment effects; indeed, fire generally showed small and idiosyncratic effects on soil properties and processes at the FFS network scale [79]. The FFS results support the conclusion that total C and N in the mineral soil is relatively insensitive to fuel reduction treatments. Our results at SWP, even with the additional sampling at 6 months and 2-year, concurred with this network finding. Boerner et al. [15] did find increased C:N ratios in the mineral soils across the entire FFS network for thinning only, yet the SWP site, where slash residues were removed from the thinned plots, no effect was found. A meta-analysis by Johnson and Curtis [80] concluded that changes in total mineral soil C and N contents in coniferous stands following thinning were the result of harvest method and treatment of residues. Total C and N contents in the mineral soil have initially been unaffected following restoration treatments that included thinning and prescribed fire in other ponderosa pine stands in northern Arizona [6,79], but long-term increases in total soil N have also been reported [31,74]. The limited effects of the FFS thinning treatments are due in part to modest stand density reductions from a single application. To date no further treatments have been performed at the SWP site. Treatments to maintain a forest structure that mitigate stand-replacing wildfires and create resilient forests necessitates repeat treatments over time.
5. Conclusions
Reducing fuels to decrease intensity and spatial extent of wildfires in ponderosa pine forests is and will continue to be a major concern for land managers. The SWP implementation of the FFS study focused on ponderosa pine forests of the southwestern US, a region that has seen the scale and intensity of wildfires dramatically increase over the last several decades. Overall, soil responses to fuel reduction treatments at SWP, if they occurred at all, were short-term (<1 year), and support the conclusions from the multi-site FFS network meta-analysis [79]. Our more intensive sampling results from the SWP site and the extensive network-wide FFS [79] suggest the mineral soil and associated microorganisms are resistant to disturbances imposed by these modest fuel reduction treatments in the short-term. We suspect that a more intense alteration to forest structure with repeated burning could change microbial community structure and biomass. These changes would have the potential to alter decomposition and nutrient mineralization processes they mediate [6]. Given the large spatial scale that fuel treatments are typically applied, continued monitoring of treatments with repeated burning is essential to determine the longer-term implications to the structure and function of these forests.
Supplementary Files
Supplementary File 1Acknowledgments
This is Contribution Number 208 of the National Fire and Fire Surrogate Project (FFS), funded by the U.S. Joint Fire Science Program. Additional funding was provided by the Rocky Mountain Research Station (Research Joint Venture 06-JV-11221615-228). We thank Dana Erickson for field and laboratory assistance. We are also grateful to Ralph Boerner, Ohio State University, for technical assistance and leadership of the soils group of the Fire-Fire Surrogate network and Carl Edminster (RMRS), the Southwestern Plateau FFS site manager.
Author Contributions
Both authors involved provided considerable input during the planning and implementation of this research. Steven T. Overby directed the field sampling, laboratory analysis, statistical analysis, and drafted the manuscript. Stephen C. Hart provided essential comments that greatly improved manuscript quality.
Conflicts of Interest
The authors declare no conflict of interest.
References
- Covington, W.W.; Fulé, P.; Moore, M.M.; Hart, S.C.; Kolb, T.; Mast, J.; Sackett, S.S.; Wagner, M. Restoring ecosystem health in ponderosa pine forests of the Southwest. J. For. 1997, 95, 23–29. [Google Scholar]
- Fulé, P.Z.; Covington, W.W.; Moore, M.M. Determining reference conditions for ecosystem management of Southwestern ponderosa pine forests. Ecol. Appl. 1997, 7, 895–908. [Google Scholar] [CrossRef]
- White, A.S. Presettlement regeneration patterns in a Southwestern ponderosa pine stand. Ecology 1985, 66, 589–594. [Google Scholar] [CrossRef]
- Swetnam, T.W.; Baisan, C.H. Historical fire regime patterns in the Southwestern United States since AD 1700. In Fire Effects in Southwestern Forests; Allen, C.D., Ed.; U.S. Department of Agriculture, Forest Service: Fort Collins, CO, USA, 1996; pp. 11–32. [Google Scholar]
- O’Brian, R.A. Arizona’s Forest Resources, 1999; U.S. Department of Agriculture, Forest Service: Ogden, UT, USA, 2002.
- Kaye, J.P.; Hart, S.C.; Fulé, P.Z.; Covington, W.W.; Moore, M.M.; Kaye, M.W. Initial carbon, nitrogen, and phosphorus fluxes following ponderosa pine restoration treatments. Ecol. Appl. 2005, 15, 1581–1593. [Google Scholar] [CrossRef]
- Bakker, J.D.; Moore, M.M. Controls on vegetation structure in Southwestern ponderosa pine forests, 1941 and 2004. Ecology 2007, 88, 2305–2319. [Google Scholar] [CrossRef] [PubMed]
- Pearson, G.A. A twenty-year record of changes in an Arizona ponderosa pine forest. Ecology 1933, 14, 272–285. [Google Scholar] [CrossRef]
- Savage, M.A.; Brown, P.M.; Feddema, J. The role of climate in a pine forest regeneration pulse in the southwestern United States. Ecoscience 1996, 3, 310–318. [Google Scholar]
- Covington, W.W.; Moore, M.M. Southwestern ponderosa forest structure. Changes since Euro-American settlement. J. For. 1994, 92, 39–47. [Google Scholar]
- Mast, J.N.; Fulé, P.Z.; Moore, M.M.; Covington, W.W.; Waltz, A.E.M. Restoration of presettlement age structure of an Arizona ponderosa pine forest. Ecol. Appl. 1999, 9, 228–239. [Google Scholar] [CrossRef]
- Pollet, J.; Omi, P.N. Effect of thinning and prescribed burning on crown fire severity in ponderosa pine forests. Int. J. Wildland Fire 2002, 11, 1–10. [Google Scholar] [CrossRef]
- Strom, R.A.; Fulé, P.Z. Pre-wildfire fuel treatments affect long-term ponderosa pine forest dynamics. Int. J. Wildland Fire 2007, 16, 128–138. [Google Scholar] [CrossRef]
- Boerner, R.E.J.; Giai, C.; Huang, J.; Miesel, J.R. Initial effect of fire and mechanical thinning on soil enzyme activity and nitrogen transformations in eight North American forest ecosystems. Soil Biol. Biochem. 2008, 40, 3076–3085. [Google Scholar] [CrossRef]
- Boerner, R.E.J.; Huang, J.; Hart, S.C. Fire, thinning, and the carbon economy, effects of the FFS treatments on carbon storage and sequestration rate. For. Ecol. Manag. 2008, 255, 3081–3097. [Google Scholar] [CrossRef]
- Agee, J.K.; Skinner, C.N. Basic principles of forest fuel reduction treatments. For. Ecol. Manag. 2005, 211, 83–96. [Google Scholar] [CrossRef]
- Kobziar, L.N.; McBride, J.R.; Stephens, S.L. The efficacy of fire and fuels reduction treatments in a Sierra Nevada pine plantation. Int. J. Wildland Fire 2009, 18, 791–801. [Google Scholar] [CrossRef]
- DeBano, L.F.; Neary, D.G.; Ffolliott, P.F. Fire’s Effects on Ecosystems; John Wiley & Sons: New York, NY, USA, 1998; p. 333. [Google Scholar]
- Bardgett, R.D. The Biology of Soil, A Community and Ecosystem Approach; Oxford University Press: Oxford, UK, 2005. [Google Scholar]
- Covington, W.W.; Sackett, S.S. Soil mineral nitrogen changes following prescribed burning in ponderosa pine. For. Ecol. Manag. 1992, 54, 18–191. [Google Scholar] [CrossRef]
- Kaye, J.P.; SHart, C. Ecological restoration alters nitrogen transformations in a ponderosa pine-bunchgrass ecosystem. Ecol. Appl. 1998, 8, 1052–1060. [Google Scholar]
- Frey, S.D.; Knorr, M.; Parrent, J.L.; Simpson, R.T. Chronic nitrogen enrichment affects the structure and function of the soil microbial community in temperate hardwood and pine forests. For. Ecol. Manag. 2004, 196, 159–171. [Google Scholar] [CrossRef]
- Hart, S.C.; DeLuca, T.H.; Newman, G.S.; MacKenzie, D.M.; Boyle, S.I. Post-fire vegetative dynamics as drivers of microbial community structure and function in forest soils. For. Ecol. Manag. 2005, 220, 166–184. [Google Scholar] [CrossRef]
- Simonin, K.; TKolb, E.; Montes-Helu, M.; Koch, G.W. The influence of thinning on components of stand water balance in a ponderosa pine forest stand during and after extreme drought. Agric. For. Meteorol. 2007, 143, 266–276. [Google Scholar] [CrossRef]
- Pietikäinen, J.; Fritze, H. Clear-cutting and prescribed burning in coniferous forest, comparison of effects on soil fungal and total microbial biomass, respiration activity and nitrification. Soil Biol. Biochem. 1995, 27, 101–109. [Google Scholar] [CrossRef]
- Pietikäinen, J.; Kiikkilä, O.; Fritze, H. Charcoal as a habitat for microbes and its effect on the microbial community underlying humus. Oikos 2000, 89, 231–242. [Google Scholar] [CrossRef]
- Cairney, J.W.G.; Bastias, B.A. Influences of fire on forest soil fungal communities. Can. J. For. Res. 2007, 37, 207–215. [Google Scholar] [CrossRef]
- Waldrop, M.P.; McColl, J.G.; Powers, R.F. Effects of forest postharvest management practices on enzyme activities in decomposing litter. Soil Sci. Soc. Am. J. 2003, 67, 1250–1256. [Google Scholar] [CrossRef]
- Grayston, S.J.; Renneberg, H. Assessing effects of forest management on microbial community structure in a central European beech forest. Can. J. For. Res. 2006, 40, 1901–1907. [Google Scholar] [CrossRef]
- Kaye, J.P.; Hart, S.C. Restoration and canopy-type effects on soil respiration in a ponderosa pine-bunchgrass ecosystem. Soil Sci. Soc. Am. J. 1998, 62, 1062–1072. [Google Scholar] [CrossRef]
- Grady, K.C.; Hart, S.C. Influences of thinning, prescribed burning, and wildfire on soil processes and properties in southwestern ponderosa pine forests, A retrospective study. For. Ecol. Manag. 2006, 234, 123–135. [Google Scholar] [CrossRef]
- DeLuca, T.H.; Zouhar, K.L. Effects of selection harvest and prescribed fire on the soil nitrogen status of ponderosa pine forests. For. Ecol. Manag. 2000, 138, 263–271. [Google Scholar] [CrossRef]
- Certini, G. Effects of fire on properties of forest soils, a review. Oecologia 2005, 143, 1–10. [Google Scholar] [CrossRef] [PubMed]
- McIver, J.D.; Erickson, K.; Youngblood, A. Principal Short-Term Finding of the National Fire and Fire Surrogate Study; U.S. Department of Agriculture, Forest Service: Portland, OR, USA, 2012.
- Stephens, S.L.; Moghaddas, J.J.; Edminster, C.; Fiedler, C.E.; Haase, S.; Harrington, M.; Keeley, J.E.; Knapp, E.E.; McIver, J.D.; Metlen, K.; et al. Fire treatment effects on vegetation structure, fuels, and potential fire severity in western U.S. forest. Ecol. Appl. 2009, 19, 305–320. [Google Scholar] [CrossRef] [PubMed]
- McIver, J.D.; Weatherspoon, P.; Edminster, C. A Long-Term Study on the Effects of Alternative Ponderosa Pine Restoration Treatments. Ponderosa Pine Ecosystems Restoration and Conservation, Steps Toward Stewardship; U.S. Department of Agriculture, Forest Service: Ogden, UT, USA, 2001.
- Stephens, S.L.; McIver, J.D.; Boerner, R.E.J.; Fettig, C.J.; Fontaine, J.B.; Hartsough, B.R.; Kennedy, P.; Schwilk, D.W. Effects of forest fuel reduction treatments in the United States. BioScience 2012, 62, 549–560. [Google Scholar]
- Faiella, S.M.; Bailey, J.D. Fluctuations in fuel moisture across restoration treatments in semi-arid ponderosa pine forests of northern Arizona, USA. Int. J. Wildland Fire 2007, 16, 119–127. [Google Scholar] [CrossRef]
- U.S. Department of Agriculture. Terrestrial Ecosystem Survey of the Coconino National Forest; U.S. Department of Agriculture, Forest Service, Southwestern Region: Albuquerque, NM, USA, 1995.
- U.S. Department of Agriculture. Terrestrial Ecosystem Survey of the Kaibab National Forest; U.S. Department of Agriculture, Forest Service, Southwestern Region: Albuquerque, NM, USA, 1991.
- Schwilk, D.W.; Keeley, J.E.; Knapp, E.E.; McIver, J.; Bailey, J.D.; Fettig, C.J.; Fiedler, C.E.; Harrod, R.J.; Moghaddas, J.J.; Outcalt, K.W.; et al. The national Fire and Fire Surrogate study, effects of fuel reduction methods on forest vegetation structure and fuels. Ecol. Appl. 2009, 19, 285–304. [Google Scholar] [CrossRef] [PubMed]
- Youngblood, A. Thinning and burning in dry coniferous forests of the western United State, effectiveness in altering diameter distributions. For. Sci. 2010, 56, 46–59. [Google Scholar]
- Hendershot, W.H.; Lalande, H.; Duquette, M. Soil reaction and exchangeable acidity. In Soil Sampling and Methods of Analysis; Carter, M.R., Ed.; Canadian Society of Soil Science, Lewis Publishers: Boca Raton, FL, USA, 1993; pp. 141–145. [Google Scholar]
- Hassett, J.E.; Zak, D.R. Aspen harvest intensity decreases microbial biomass, extracellular enzyme activity, and soil nitrogen cycling. Soil Sci. Soc. Am. J. 2005, 69, 227–235. [Google Scholar] [CrossRef]
- Leckie, S. Methods of microbial community profiling and their application to forest soils. For. Ecol. Manag. 2005, 220, 88–106. [Google Scholar] [CrossRef]
- Frostegard, A.; Bååth, E. The use of phospholipid fatty acid analysis to estimate bacterial and fungal biomass in soil. Biol. Fertil. Soils 1996, 22, 59–65. [Google Scholar] [CrossRef]
- Zelles, L. Fatty acid patterns of phospholipids and lipopolysaccharides in the characterization of microbial communities in soil, A review. Biol. Fertil. Soils 1999, 29, 111–129. [Google Scholar] [CrossRef]
- White, D.C.; Davis, W.M.; Nickels, J.S.; King, J.C.; Bobbie, R.J. Determination of the sedimentary microbial biomass by extractable lipid phosphate. Oecologia 1979, 40, 51–62. [Google Scholar] [CrossRef]
- Frostegard, A.; Tunlid, A.; Bååth, E. Microbial biomass measured as total lipid phosphate in soils of different organic contents. J. Microbiol. Methods 1991, 14, 151–163. [Google Scholar] [CrossRef]
- Schweitzer, J.A.; Bailey, J.K.; Fischer, D.G.; LeRoy, C.J.; Lonsdorf, E.V.; Whitham, T.G.; Hart, S.C. Soil microorganism—Plant interactions; heritable relationship between plant genotype and associated microorganisms. Ecology 2008, 89, 773–781. [Google Scholar] [CrossRef] [PubMed]
- Eivazi, F.; Tabatabai, M.A. Phosphatases in soils. Soil Biol. Biochem. 1977, 9, 162–172. [Google Scholar] [CrossRef]
- Eivazi, F.; Tabatabai, M.A. Glucosidases and galactosidases in soils. Soil Biol. Biochem. 1988, 20, 601–606. [Google Scholar] [CrossRef]
- Sinsabaugh, R.L. Enzymatic analysis of microbial pattern and process. Biol. Fertil. Soils 1994, 17, 69–74. [Google Scholar] [CrossRef]
- Eivazi, F.; Bayan, M. Effects of long-term prescribed burning on the activity of select soil enzymes in an oak-hickory forest. Can. J. For. Res. 1996, 26, 1799–1804. [Google Scholar] [CrossRef]
- Olander, L.P.; Vitousek, P.M. Regulation of soil phosphatase and chitinase activity by N and P availability. Biogeochemistry 2000, 49, 18–191. [Google Scholar] [CrossRef]
- Ganeshamurthy, A.N.; Nielsen, N.E. Arylsulfatase and the biochemical mineralization of soil organic sulfur. Soil Biol. Biochem. 1990, 22, 1163–1165. [Google Scholar] [CrossRef]
- Sinsabaugh, R.L.; Antibus, R.K.; Linkins, A.E. An enzymatic approach to the analysis of microbial activity during plant litter decomposition. Agric. Ecosyst. Environ. 1991, 34, 43–54. [Google Scholar] [CrossRef]
- Classen, A.T.; Boyle, S.I.; Haskins, K.; Overby, S.; Hart, S.C. Community-level physiological profiles of bacteria and fungi, plate type and incubation temperature influences on contrasting soils. FEMS Microbiol. Ecol. 2003, 44, 319–328. [Google Scholar] [CrossRef]
- Garland, J.; Mills, A. Classification and characterization of heterotrophic microbial communities on the basis of patterns of community-level sole-carbon-source-utilization. Appl. Environ. Microbiol. 1991, 57, 2351–2359. [Google Scholar] [PubMed]
- Kennedy, A.C. Carbon utilization and fatty acid profiles for characterization of bacteria. In Methods of Soil Analysis, Part 2 Microbiological and Biochemical Properties; SSSA Book Series No. 5; Weaver, R.W., Mickelson, S.H., Eds.; Soil Science Society of America: Madison, WI, USA, 1994; pp. 548–551. [Google Scholar]
- Dobranic, J.K.; Zak, J.C. A microtiter plate procedure for evaluating functional diversity. Mycologia 1999, 91, 756–765. [Google Scholar] [CrossRef]
- Hart, S.C.; Stark, J.M.; Davidson, E.A.; Firestone, M.K. Nitrogen mineralization, immobilization, and nitrification. In Methods of Soil Analysis, Part 2 Microbiological and Biochemical Properties; SSSA Book Series No. 5; Weaver, R.W., Mickelson, S.H., Eds.; Soil Science Society of America: Madison, WI, USA, 1994; pp. 985–1018. [Google Scholar]
- Lachat Instruments, Inc. QuickChem Method No. 12-107-06-1-B; Lachat Instruments, Inc.: Milwaukee, WI, USA, 2001. [Google Scholar]
- Lachat Instruments, Inc. QuickChem Method No. 10-107-04-1-C; Lachat Instruments, Inc.: Milwaukee, WI, USA, 2000. [Google Scholar]
- Schabenberger, O. Introducing the GLIMMIX procedure for generalized linear mixed models. In Proceedings of the Thirtieth Annual SAS® Users Group International Conference, Cary, NC, USA, 26–29 April 2005.
- Kenward, M.G.; Roger, J.H. Small Sample Inference for Fixed Effects from Restricted Maximum Likelihood. Biometrics 1997, 53, 983–997. [Google Scholar] [CrossRef] [PubMed]
- Bolker, B.M.; Brooks, M.E.; Clark, C.J.; Geange, S.W.; Poulsen, J.R.; Stevens, M.H.H.; White, J.S. Generalized linear mixed models, a practical guide for ecology and evolution. Trend Ecol. Evol. 2008, 2, 127–135. [Google Scholar] [CrossRef] [PubMed]
- Mielke, P.W., Jr.; Berry, K.J. Permutation Methods, A Distance Function Approach; Springer-Verlag: New York, NY, USA, 2001. [Google Scholar]
- McCune, B.; Grace, J.B. Analysis of Ecological Communities; MjM Software Design: Gleneden Beach, OR, USA, 2002. [Google Scholar]
- Petrondas, D.A.; Gabriel, K.R. Multiple comparisons by rerandomization tests. J. Am. Stat. Assoc. 1983, 78, 949–957. [Google Scholar] [CrossRef]
- Milar, L.I.; Stephenson, N.L.; Stephens, S.L. Climate change and forests of the future, managing in the face of uncertainty. Ecol. Appl. 2007, 17, 2145–2151. [Google Scholar] [CrossRef]
- DeLuca, T.H.; Sala, A. Frequent fire alters nitrogen transformations in ponderosa pine stands of the Inland Northwest. Ecology 2006, 87, 2511–2522. [Google Scholar] [CrossRef]
- Wright, R.J.; Hart, S.C. Nitrogen and phosphorus status in a ponderosa pine forest after 20 years of interval burning. Ecoscience 1997, 4, 526–533. [Google Scholar]
- Boyle, S.I.; Hart, S.C.; Kaye, J.P.; Waldrop, M.P. Restoration and canopy type influence soil microflora in a ponderosa pine forest. Soil Sci. Soc. Am. J. 2005, 69, 1627–1638. [Google Scholar] [CrossRef]
- Maassen, S.; Fritze, F.; Wirth, S. Response of soil microbial biomass, activities, and community structure at a pine stand in northeastern Germany 5 years after thinning. Can. J. For. Res. 2006, 36, 1427–1434. [Google Scholar] [CrossRef]
- Siira-Pietikäinen, A.; Pietikäinen, J.; Fritze, H.; Haimi, J. Short-term responses of soil decomposer communities to forest management, clear felling versus alternative forest harvesting methods. Can. J. For. Res. 2001, 31, 88–99. [Google Scholar] [CrossRef]
- Hannam, K.D.; Quideau, S.A.; Kishcuk, B.E. Forest floor microbial communities in relation to stand composition and timber harvesting northern Alberta. Soil Biol. Biochem. 2006, 38, 2565–2575. [Google Scholar] [CrossRef]
- Pietikäinen, J.; Tikka, P.J.; Valkonen, S.; Isomäki, A.; Fritze, H. Is the soil microbial community related to the basal area of trees in a Scots pine stand? Soil Biol. Biochem. 2007, 39, 1832–1834. [Google Scholar] [CrossRef]
- Boerner, R.E.J.; Huang, J.; Hart, S.C. Impacts of fire and fire surrogate treatments on forest soil properties, a meta-analytical approach. Ecol. Appl. 2009, 19, 338–358. [Google Scholar] [CrossRef] [PubMed]
- Johnson, D.W.; Curtis, P.S. Effects of forest management on soil C and N storage, meta-analysis. For. Ecol. Manag. 2001, 140, 227–238. [Google Scholar] [CrossRef]
© 2016 by the authors; licensee MDPI, Basel, Switzerland. This article is an open access article distributed under the terms and conditions of the Creative Commons by Attribution (CC-BY) license (http://creativecommons.org/licenses/by/4.0/).






