Next Article in Journal
Enriching ALS-Derived Area-Based Estimates of Volume through Tree-Level Downscaling
Next Article in Special Issue
Juvenile Southern Pine Response to Fertilization Is Influenced by Soil Drainage and Texture
Previous Article in Journal
Wood Decay Fungi Restore Essential Calcium to Acidic Soils in Northern New England
Previous Article in Special Issue
Growth and Nutrient Status of Foliage as Affected by Tree Species and Fertilization in a Fire-Disturbed Urban Forest
 
 
Font Type:
Arial Georgia Verdana
Font Size:
Aa Aa Aa
Line Spacing:
Column Width:
Background:
Article

Importance of Arboreal Cyanolichen Abundance to Nitrogen Cycling in Sub-Boreal Spruce and Fir Forests of Central British Columbia, Canada

by
Ania Kobylinski
1 and
Arthur L. Fredeen
2,*
1
Natural Resources and Environmental Studies (NRES) Graduate Program, University of Northern British Columbia (UNBC), 3333 University Way, Prince George, BC V2N 4Z9, Canada
2
NRES Institute
*
Author to whom correspondence should be addressed.
Forests 2015, 6(8), 2588-2607; https://doi.org/10.3390/f6082588
Submission received: 30 June 2015 / Revised: 19 July 2015 / Accepted: 20 July 2015 / Published: 31 July 2015
(This article belongs to the Special Issue Nitrogen and Phosphorus Nutrition of Trees and Forests)

Abstract

:
The importance of N2-fixing arboreal cyanolichens to the nitrogen (N)-balance of sub-boreal interior hybrid spruce (Picea glauca × engelmannii) and subalpine fir (Abies lasiocarpa) forests was examined at field sites in central BC, Canada. Host trees were accessed by a single-rope climbing technique and foliage as well as arboreal macrolichen functional groups were sampled by branch height in eight random sample trees from each of two high (High Cyano) and two low (Low Cyano) cyanolichen abundance sites for a total of 32 sample trees. Natural abundances of stable isotopes of N (15N, 14N) and carbon (13C, 12C) were determined for aggregate host tree and epiphytic lichen samples, as well as representative samples of upper organic and soil horizons (Ae and Bf) from beneath host trees. As expected, N2-fixing cyanolichens had 2–6-fold greater N-contents than chlorolichens and a δ15N close to atmospheric N2, while foliage and chlorolichens were more depleted in 15N. By contrast, soils at all trees and sites were 15N-enriched (positive δ15N), with declining (not significant) δ15N with increased tree-level cyanolichen abundance. Lichen functional groups and tree foliage fell into three distinct groups with respect to δ13C; the tripartite cyanolichen Lobaria pulmonaria (lightest), host-tree needles (intermediate), and bipartite cyanolichens, hair (Alectoria and Bryoria spp.) and chlorolichens (heaviest). Branch height of host trees was an effective predictor of needle δ13C. Our results showed a modest positive correlation between host tree foliage N and cyanolichen abundance, supporting our initial hypothesis that higher cyanolichen abundances would elevate host tree foliar N. Further study is required to determine if high cyanolichen abundance enhances host tree and/or stand-level productivity in sub-boreal forests of central BC, Canada.

1. Introduction

Nitrogen (N) is commonly limiting to conifer forests in much of the Pacific Northwest, USA [1] as well as the central interior of BC, Canada [2]. Biological N2-fixing species have been shown to contribute and mediate important inputs of N to these forests [3]. In central British Columbia, mature spruce and fir forests, particularly in the wetter ecological zones, can have well-developed and vertically stratified communities of lichen epiphyte, with N2-fixing cyanolichens predominating (when present) in the lower canopy branches [4,5]. This stratification and interaction between upper and lower canopy zones can be further altered by vertical gradients in lichen epiphyte guild to create significant variation in N content [4] and δ15N [6] across a vertical profile of a host tree. Although the presence and guild of epiphytic lichens have been shown to enhance certain aspects of N-cycling, empirical evidence for their forest level significance has been equivocal. For example, the removal of lichens from an oak forest system had no effect on tree growth [7]. Thus, while atmospheric N contributions from cyanolichens are observed in sub-boreal spruce and fir ecosystems [8], it is difficult to predict the nature of combined cyanolichen and host conifer tree ecological interactions (i.e., mutualistic to competitive) over tree to forest spatial and as well as temporal scales.
Stable isotopes have been used experimentally to infer many properties about elemental cycles of important nutrients (most notably C and N) at a variety of temporal and spatial scales and ecological contexts. The ratio of the heavier less common stable isotope to that of the lighter abundant isotope (e.g., 15N:14N and 13C:12C) can be expressed as atom %, but are typically represented in delta (δ) notation, which is not the absolute isotope ratio, but the difference between the sample measurement and an internationally accepted reference standard [9] in parts per thousand or per mil (‰) [10]. In theory, natural abundances of isotopes can be used to make inferences about the contributions of N2-fixing species to forest trees by exploiting the naturally occurring differences in 15N:14N ratios between plant-available mineral N sources in the soil and that of atmospheric N2 utilized by N2-fixing species [11]. Non-N2-fixing plants receive their entire N supply from soil N pools and can be expected to be isotopically heavier or lighter than N2-fixing plants and lichens in concordance with the soil δ15N. In either case, natural abundances of stable N isotopes have frequently been used to estimate direct or indirect contributions of N2-fixation to plant N content [12].
Most terrestrial materials have δ15N compositions ranging between −20‰ and +30‰ [13], but lichens have a more restricted range of 15N compositions (−21.5‰ [14]) to (+18‰ [15]), and plants even moreso (e.g., −5‰ to +2.9‰ [16]). The natural abundances and ratios of stable isotope compositions are potentially useful to the researchers quantifying these processes in that they can shift due to isotopic fractionation.
Isotopic fractionation can occur from a variety of processes. For example, N2-fixation in organisms such as epiphytic cyanolichens does not discriminate between the 15N and 14N and therefore would normally represent N isotope ratios close to the atmospheric δ15N standard of 0‰. By contrast, non-N2-fixing elements and processes of forest systems such as ectomycorrhizae (ECM), mineralization of organic nitrogen, nitrification, microbial assimilation of inorganic N, and denitrification can fractionate stable isotopes of N belowground. Nutrient uptake in temperate and boreal trees is predominantly dependent on ECM hyphae growing into the soil from the mycorrhizal root tips [17]. Högberg et al. [18] found that ECM roots of Norway spruce (Picea abies) and beech (Fagus sylvatica) were 2‰ enriched in 15N relative to non-mycorrhizal roots. The study also found ECM fungi were enriched in 15N compared to their host plants, further suggesting that 15N ECM discrimination was fungal in origin. ECM fungi were also more enriched in 13C relative to total soil C [19], demonstrating 13C ECM discrimination. Biologically mediated reactions that control elemental dynamics in soils can result in 15N and 13C enrichment or depletion, making inferences on forest ecosystem N- and C-cycling based on natural abundances of stable isotopes challenging.
Bulk soil δ15N values are generally higher than atmospheric N (positive, ~5–10‰), a result of faster losses of the lighter isotope in soil N during decomposition [20], usually with increasing (more positive) deltas with increasing depth of organic (‘L’, ‘F’, and ‘H’) and mineral horizons [21]. Thus, fractionation of isotopes during litter decomposition in forests causes surface soils to have lower δ15N values than deeper soil horizons [22]. Even slight fractionations occurring over decades of transfers of N from mineral soil to forest biomass can be sufficient enough to increase δ15N of soil organic matter by ~6–8‰ [23]. Surface soils located beneath trees have also been found to have lower δ15N values than those in open areas as a result of litter deposition [24], making decomposing epiphytic lichens an important factor influencing soil N isotope composition.
Nitrogen-fixing plants in western North American forest systems typically have more positive δ15N values than non-N2-fixing plants, and/or are closer to the of atmospheric N2 [25,26]. The differences between these plant δ15N values provide the basis of the 15N natural abundance technique for estimating fixed-N contributions to terrestrial ecosystems [24]. However, attempting to trace fixed-N through ecosystems can be complicated by a myriad of fractionations, which are caused by numerous and often serial pathways of mineralization, nitrification, immobilization, and denitrification within the soil, plant root and mycorrhizal fungus mediation of soil N uptake [27].
Nutrient cycling processes in the soil are known to vary with plant community composition [28]. The processes associated with litter decomposition and enzymatic transformations of organic substrates in particular can vary because of differences in a variety of factors such as chemistry of the litter material, soil biota and soil chemistry associated with different plant species [29]. Both litter accumulation and stem flow can deliver N to epiphytes from various N pools [6], making the abundance and branch position of lichens on a tree significant. Lichens may play an important role in nutrient cycling in forest ecosystems, but the relative impact of lichens compared to other ecosystem components is not well understood. The effect of lichens on forest N-cycling could range from large in ecosystems where epiphytic lichens, especially cyanolichens are abundant, to insignificant where lichens are only present in low amounts [30].
In this study, we examine the importance of the vertical distributions of arboreal lichen biomasses [5] to the N-status of wet sub-boreal spruce and fir forest ecosystems of the central interior of BC, Canada. To do this, we measured the 15N:14N, %N of host tree (i.e., conifer) foliage, host tree epiphytic lichen functional groups and organic and mineral soil horizons under the tree crowns at sites containing variable amounts of cyanolichen tripartite (i.e., L. pulmonaria) and bipartite lichens from relatively low to high levels. We hypothesized that sub-boreal forest trees with high cyanolichen abundance should have higher needle %N reflecting the greater inputs of biologically fixed-N into these systems [8,31]. Knowledge obtained from this study should provide valuable information on the functional importance of epiphytic (N2-fixing) cyanolichens to the N-status of wet sub-boreal conifer ecosystems of central BC.

2. Experimental Section

2.1. Study Area

The study area was described previously by Kobylinski and Fredeen [5]. In brief, this field study was carried out on the north side of the Fraser River near the town of Upper Fraser, BC, located approximately 70 km NE of Prince George, BC. All study sites were characterized by having relatively cool and moist summers and cold, snowy winters. Four mature sub-boreal forest sites were chosen based on having trees with predominantly high (High Cyano) or low (Low Cyano) epiphytic cyanolichen abundance and diversity, denoted as ‘Upper Fraser’ and ‘Herrick’ in previous work [5,32], respectively.
The two dominant tree species representing the vast majority of the canopy trees at all four sites were interior hybrid spruce (Picea engelmannii Parry ex Engelm. x glauca (Moench)) and subalpine fir (Abies lasiocarpa (Hook.) Nutt.) High Cyano sites were in “sub-boreal spruce” (SBS) ‘wk1’ and the ‘vk’ subzones (BC Biogeoclimatic Ecosystem Classification scheme) with a mean elevation of 680 m above sea level (a.s.l.), mean summer temperature of 11.8 ± 5.3 °C and relative humidity of 78% [8]. Low Cyano sites had lower average cyanolichen abundances and diversities and were located within 10–20 km of the High Cyano sites at a slightly higher mean elevation of 850 m a.s.l. and similar mean summer temperature and relative humidity of 10.8 ± 5.3 °C and 78%, respectively [8]. Soils at all sites were Orthic Humo-Ferric Podzols formed from sandy-colluvial materials at the High Cyano sites and from sandy–skeletal glaciofluvial materials at the Low Cyano sites. Average precipitation in the ecotonal study area is approximately 897 mm per year [8].

2.2. Canopy Access and Biomass Sampling

Sample tree selection, canopy access and biomass sampling procedures were previously described in Kobylinski and Fredeen [5]. In brief, trees were selected randomly from High Cyano and Low Cyano sites, with the exception of the fact that trees adjacent to Sitka alder (Alnus viridis) were excluded from the study given that annual N-inputs from Sitka alder can be substantial [26] and could have confounded 15N natural abundance interpretation. All study trees were canopy trees and in excess of 22 m in height and 20 cm in DBH. Needles and lichens were sampled from each canopy height zone at the highest accessible point of each of the 32 study trees. Access into canopies was achieved through a single rope technique [33,34]. Selected trees were rigged, climbed and assessed vertically for epiphytic lichen biomass.
Lichen and needle sampling was described previously [5]. Briefly, epiphytic lichen functional group or species and host tree needle samples were collected over two summers: June to August 2008 and May to September 2009 at various heights within sample tree canopies. All cyanolichens in these mature forest tree sites were almost exclusively arboreal and on branches, with negligible cyanolichen occurring on the forest floor [35]. Bryophytes were essentially absent from all canopies, as is normal for these forest types [35]. Lichen biomasses were separated into five primary categories or functional groups based on biomass dominance by single species or functional group properties within different vertical canopy zones: Alectoria sarmentosa (Ach.) Ach., Bryoria Brodo & D. Hawksw. species, foliose chlorolichens, bipartite cyanolichens, and Lobaria pulmonaria (L.) Hoffm., the only tripartite cyanolichen at the site. The needle cohort was taken exclusively from the previous year’s foliage to keep the age of the sampled needles constant. A processed and homogeneous sample for each functional group or needle was sent for isotopic analysis from the upper, middle and lower canopy height zones provided they were present in that zone.

2.3. Composite Soil Sampling

Soil samples were collected from the base of each sample tree between June and August 2009. We extracted soil cores using a soil auger (7.5 cm in diameter) by rotating the auger while applying downward force and lifting out the full blades. Soil core samples were extracted from a 1-m radius around each sample tree base in each of the cardinal directions. Samples were separated into three distinct layers: F-folic layer composed of organic matter rich in mycelia (~5 cm ± 2 cm deep), Ae-grayish surface soil layer (~2–10 cm thick); and Bf—yellowish brown to reddish brown subsoil layer (~10–20 cm). All layers were distinct and could be easily separated from each other; the soil auger was cleaned between cores. The three layers of the four subsamples were air dried for two days at room temperature (~22–25 °C), roots were removed and soil sieved through a 2-mm sieve. The F-layer samples were separated twice more (0.85 mm and 0.3 mm sieves) to remove small pieces of woody debris before composite samples were prepared. Composite samples were also made from the four Ae and Bf subsamples from each site. A dry weight of 2 g from each of the three layers of the four samples was mixed into one composite sample per soil layer (8 g dry weight), for a total of 96 soil samples.

2.4. Stable Isotope Analyses

Sample preparation of lichen, needle and soil samples took place at the University of Northern British Columbia (UNBC) before samples were shipped to the Stable Isotope lab at the University of Saskatchewan (U of S) in Saskatoon, Canada for analysis. Lichen and needle samples were oven dried for three days at 55 °C in paper bags. Samples were ball-milled (Retsch MM301, Hann, Germany) to a particle size of less than 250 µm and any fibrous matter or visible granules removed to improve precision of isotopic analysis. Ball-mill chambers were cleaned with deionized water and dried between samples. Samples (2 ± 0.2 mg) were stored in scintillation vials and encapsulated in 8 × 5-mm tin capsules (Catalog # D1008, Elemental Microanalysis Limited, Okehampton, UK) before combustion.
Soil, needle and lichen samples were analyzed using an elemental analyzer (Costech ECS4010, Valencia, CA, USA) coupled to a Delta V Advantage isotope ratio mass spectrometer with continuous flow (Conflo IV, Thermoscientific, Waltham, MA, USA) interface. The continuous flow gas isotope ratio mass spectrometer was used to measure % N, % C and the relative abundance of stable isotopes (15N, 14N, 13C, and 12C) in needle, lichen, and soil samples. Isotope ratio calibrations were performed with IAEA-N1, IAEA-N2, IAEA-NO-3, IAEA-CH6, and USGS-24 standards (International Atomic Energy Agency, 1995).

2.5. Natural Abundance Method

The δ values for 15N and 13C were calculated using equations 1 and 2, respectively.
15N (‰ relative to atmospheric N2) = (Rsample/Rstandard − 1) × 1000)
13C [‰ relative to V-PDB] = (Rsample/Rstandard − 1) × 1000)
The value R is the ratio of heavy isotope (15N and 13C) to their lighter more abundant isotope.

2.6. Statistical Analyses

Data were analyzed using Sigma Plot 11 (Systat Software Inc., San Jose, CA, USA). Ordinary least square (OLS) multiple linear regression analyses were performed to address whether there were statistically significant differences in: (1) δ15N and δ13C between lichen functional groups and needles controlling for tree branch height, tree species, and lichen abundance; (2) δ15N and δ13C by tree branch height controlling for lichen functional groups and needles; (3) δ15N and δ13C between High and Low Cyano sites controlling for lichen functional groups, needles and soil; (4) δ15N and δ13C between tree species (spruce and fir) controlling for the lichen functional groups, needles and soil; and (5) foliar (needle) %N at sites with higher abundances of cyanolichen. The unstandardized coefficient (B) for OLS linear regression analyses provide an estimate of the change in the dependent variable associated with a one-unit change in the identified independent variable controlling for all other independent variables.
Six OLS regression models were created to predict: (i) δ15N in lichen functional groups; (ii) δ15N in needles; (iii) δ13C in lichen functional groups; iv) δ13C in needles; (v) δ15N in soil; and (vi) δ13C in soil. Correlation analyses were conducted between all the variables in each model to check for potential collinearity. Additional correlations were also conducted to look at the relationships between needle δ15N and cyanolichen abundance, % N and cyanolichen abundance, and soil δ15N and cyanolichen abundance.
Kolmogorov-Smirnov and Shapiro-Wilk tests were used to determine normality of data. Both tests showed lichen and needle δ15N (KS = 0.191, p < 0.001 and W = 0.886, p < 0.001) and δ13C (KS = 0.122, p < 0.001 and W = 0.949, p < 0.001) were not normally distributed. However, because of bimodal distributions of the dependent variable, data transformations were not used. The distribution of lichen and needle δ15N and δ13C (but not soil) showed some signs of heteroscedasticity and non-linearity across all independent variables.

3. Results

Nitrogen contents varied by over six-fold among lichen epiphytes sampled. At the extremes, Alectoria sarmentosa had the lowest % N (0.50 ± 0.13) and bipartite cyanolichens had the greatest %N (3.24 ± 0.52) on a dry weight basis (Figure 1). Bryoria spp. and foliose chlorolichens had very similar %N contents of 0.77 ± 0.18 and 0.73 ± 0.19, respectively. Needles had a higher %N content (1.11 ± 0.14) than hair lichens and foliose chlorolichens but not as high as L. pulmonaria (2.26 ± 0.30). The differences in mean %N between functional groups were significant (F5,404 = 950.3, p < 0.001: Tukey test) except for Bryoria spp. and foliose chlorolichens (Figure 1).
Figure 1. Mean %N (± SD) of lichen biomass in functional groups of lichen and foliage (needle) from 32 spruce and fir study trees with varying amounts of tree-level cyanolichen abundance. Different letters above error bars indicate significant (p < 0.001) differences between lichen functional groups (Tukey multiple mean comparison test).
Figure 1. Mean %N (± SD) of lichen biomass in functional groups of lichen and foliage (needle) from 32 spruce and fir study trees with varying amounts of tree-level cyanolichen abundance. Different letters above error bars indicate significant (p < 0.001) differences between lichen functional groups (Tukey multiple mean comparison test).
Forests 06 02588 g001
All lichen functional groups or species and conifer foliage (needle) had mostly unique δ15N signatures relative to their %N (Figure 2). Bryoria spp. hair lichens at the top of the canopy had the lowest δ15N, while the hair lichen Alectoria sarmentosa found lower in the canopy had slightly lower %N and higher δ15N than Bryoria. Host tree needles and foliose chlorolichens had δ15N values that were intermediate between hair lichens and cyanolichens but similar %N. While L. pulmonaria and bipartite cyanolichens both had δ15N values close to atmospheric N215N = 0), L. pulmonaria had 1.5-times less N on average (Figure 2). Mean δ15N isotope values were slightly higher at Low Cyano sites for all lichen functional groups and host tree needles, but there was no significant difference in the δ15N values or %N of lichens or needles on trees from High Cyano (black symbols) versus Low Cyano (white symbols) sites (Figure 2).
Figure 2. Mean (± SD) % N and δ15N signatures of five epiphytic lichen and host tree foliage (needle) biomasses across four sites and two host tree species from sub-boreal spruce and fir forests in central interior BC. Half of the host trees were from high (High Cyano: black symbols) and the other half from low (Low Cyano: white symbols) cyanolichen abundance sites.
Figure 2. Mean (± SD) % N and δ15N signatures of five epiphytic lichen and host tree foliage (needle) biomasses across four sites and two host tree species from sub-boreal spruce and fir forests in central interior BC. Half of the host trees were from high (High Cyano: black symbols) and the other half from low (Low Cyano: white symbols) cyanolichen abundance sites.
Forests 06 02588 g002
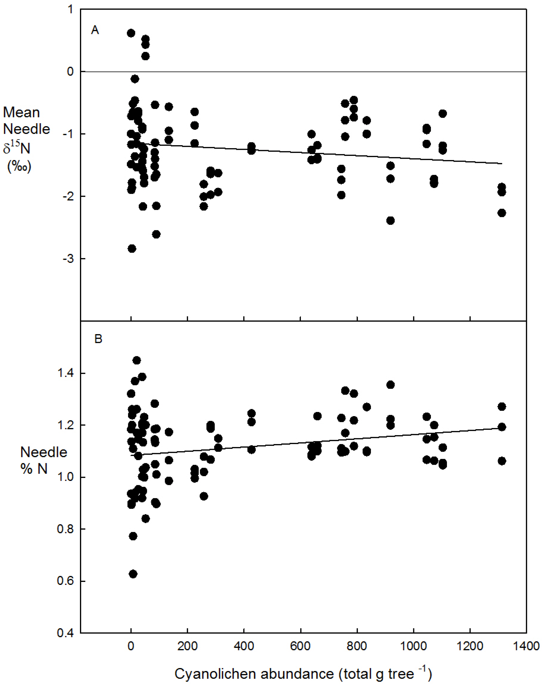
When we compared δ15N of living conifer foliage (needle) on each of the 32 study trees to their actual cyanolichen abundance, there was a small, but ultimately not significant (r = −0.16, p = 0.121) negative correlation between mean needle δ15N and increasing cyanolichen abundance (Figure 3a). Host tree foliage (needles) %N showed a significant but weak positive correlation to actual tree-level cyanolichen abundance (r = 0.24, p = 0.019; Figure 3b).
When lichen species, tree branch height, and tree species were controlled for, cyanolichen abundance in the canopy was a statistically significant but ineffective predictor of δ15N (B < 0.001, p < 0.001, Table 1). The regression coefficients of the dependent variable δ15N suggest that lichen species and cyanolichen abundance, but not tree species or tree branch height, were significant predictors of δ15N in lichen functional groups. The regression analyses also show that A. sarmentosa (B = −3.657, p < 0.001), Bryoria spp. (B = −4.838, p < 0.001) and foliose chlorolichen (B = −0.482, p = 0.002) tree-level abundances were all negatively related to their δ15N signatures. Conversely, bipartite cyanolichens (B = 0.561, p < 0.001) and L. pulmonaria (B = 1.608, p < 0.001) tree-level abundances were positively related to their δ15N signatures. Both tree species (B = −0.166, p = 0.095) and tree branch height (B = 0.010, p =0.238) were not significantly related to δ15N levels in lichen functional groups (data not shown) and insignificant or with a very small coefficient for δ15N in needles (B = 0.028, p = 0.002). Similarly, tree species (B = −0.146, p = 0.267) and cyanolichen abundance (data not shown) were not significant predictors of δ15N in lichen or host-tree foliage.
Figure 3. Mean(a) δ15N and (b) %N of host tree foliage (needle) from low to high tree-level cyanolichen abundance (total g tree−1).
Figure 3. Mean(a) δ15N and (b) %N of host tree foliage (needle) from low to high tree-level cyanolichen abundance (total g tree−1).
Forests 06 02588 g003
Table 1. Linear regression (OLS) coefficients with standard error for the regression model predicting δ15N of lichen functional groups (F = 220.501, p < 0.001, R2 = 0.817) and host tree needles (F = 4.363, p = 0.006, R2 = 0.126) based on tree species (spruce and fir), cyanolichen abundance, tree branch height, and lichen species or functional group.
Table 1. Linear regression (OLS) coefficients with standard error for the regression model predicting δ15N of lichen functional groups (F = 220.501, p < 0.001, R2 = 0.817) and host tree needles (F = 4.363, p = 0.006, R2 = 0.126) based on tree species (spruce and fir), cyanolichen abundance, tree branch height, and lichen species or functional group.
Lichen Functional Groups (Model i)Needles (Model ii)
Unstandardized coefficient (B)Std ErrorUnstandardized coefficient (B)Std Error
Intercept −1.126 ***0.165−1.499 ***0.171
Tree species (Spruce)–0.1660.099−0.1460.131
Tree branch height0.0100.0080.028 **0.009
Alectoria sarmentosa−3.657 ***0.168
Bryoria spp.−4.838 ***0.183
Foliose chlorolichen−0.482 **0.156
Bipartite cyanolichen0.561 ***0.137
Lobaria pulmonaria1.608 ***0.165
*** p < 0.001; ** p < 0.01; * p < 0.05.
Soil horizon (F, Ae and Bf) δ15N values were consistently higher at Low Cyano (means: F = 1.340, Ae = 5.130, Bf = 6.262) than at High Cyano (F = 0.782, Ae = 4.765, Bf = 5.383) sites, and decreased with increasing cyanolichen abundance in all three horizons (Figure 4A–4C), respectively. The abundances of cyanolichens and δ15N were negatively correlated in all three soil horizons, with correlations being nearly significant for the uppermost horizons (F: r = −0.341, p = 0.056; Ae: r = −0.263, p = 0.146), and significant for the Bf horizon (r = −0.356, p = 0.045). Total %N in the F-horizon decreased with increasing tree-level cyanolichen abundance (Figure 4D), but was relatively unaffected in Ae and Bf horizons (Figure 4E and 4F).
Figure 4. Mean δ15N and %N of (A and B) the surface organic F horizons, (B and E) upper-most mineral (Ae) horizons and (C and F) lower mineral (Bf) horizons, respectively, beneath host trees with varying levels of cyanolichen abundance (total g tree−1).
Figure 4. Mean δ15N and %N of (A and B) the surface organic F horizons, (B and E) upper-most mineral (Ae) horizons and (C and F) lower mineral (Bf) horizons, respectively, beneath host trees with varying levels of cyanolichen abundance (total g tree−1).
Forests 06 02588 g004
Tree species and both upper mineral soil horizons were all significant predictors and all contributed to the overall relationship of both soil δ15N and δ13C (Table 2). Cyanolichen abundance was a significant predictor for both soil δ15N and δ13C, but coefficients were <0.01 and therefore not relevant (data not shown). There was also a statistically significant difference in soil δ15N (B = −0.525, p < 0.001) and soil δ13C (B = −0.221, p = 0.009) between host tree species (spruce and fir).
Table 2. Linear regression (OLS) coefficients with standard error for the regression model predicting δ15N (F = 314.044, p < 0.001, R2 = 0.932) and δ13C (F = 117.897, p < 0.001, R2 = 0.838) of soil based on tree species, and Ae and Bf soil horizons.
Table 2. Linear regression (OLS) coefficients with standard error for the regression model predicting δ15N (F = 314.044, p < 0.001, R2 = 0.932) and δ13C (F = 117.897, p < 0.001, R2 = 0.838) of soil based on tree species, and Ae and Bf soil horizons.
δ15Nδ13C
Unstandardized coefficient (B)Std. ErrorUnstandardized coefficient (B)Std. Error
Intercept 1.586 ***0.140−26.923 ***0.094
Tree species−0.525 ***0.123−0.221 **0.062
Mineral surface soil (Ae)3.887 ***0.1451.523 ***0.097
Mineral subsoil (Bf)4.777 ***0.1451.961 ***0.097
*** p < 0.001; ** p < 0.01; * p < 0.05.
When controlling for all independent variables, tree species and branch height were significant predictors of δ13C of host-tree foliage (needles) and to lesser extents for lichen epiphytes (Table 3 and Figure 5A). Trends of increasing (less negative) δ13C values with increasing branch height were evident for both L. pulmonaria and tree foliage (Figure 5A). There was evident clumping of δ13C into three distinct groups (Figure 5A and Figure 6). Specifically, δ13C values of the lone tripartite cyanolichen (L. pulmonaria) were lower than host tree needles, which were in turn lower than hair lichens (A. sarmentosa and Bryoria spp.), bipartite cyanolichens and foliose chlorolichens.
Figure 5. Variation in the natural abundances of (A) δ13C and (B) δ15N of five epiphytic lichen functional group and host tree foliage (needle) biomasses according to tree branch height for all sites.
Figure 5. Variation in the natural abundances of (A) δ13C and (B) δ15N of five epiphytic lichen functional group and host tree foliage (needle) biomasses according to tree branch height for all sites.
Forests 06 02588 g005
Table 3. Linear regression (OLS) coefficients with standard error for the regression model predicting δ13C in lichen functional groups (F = 711.517, p < 0.001, R2 = 0.942) and needles (F = 79.545, p < 0.001, R2 = 0.724) based on tree species (spruce), tree branch height and lichen functional groups.
Table 3. Linear regression (OLS) coefficients with standard error for the regression model predicting δ13C in lichen functional groups (F = 711.517, p < 0.001, R2 = 0.942) and needles (F = 79.545, p < 0.001, R2 = 0.724) based on tree species (spruce), tree branch height and lichen functional groups.
Lichen Functional Groups
(Model iii)
Needles
(Model iv)
Unstandardized coefficient (B)Std. ErrorUnstandardized coefficient (B)Std. Error
Intercept −30.523 ***0.154−31.868 ***0.204
Tree species (Spruce)0.0480.0890.622 ***0.156
Tree branch height0.093 ***0.0080.148 ***0.011
Alectoria sarmentosa4.899 ***0.151
Bryoria spp.4.513 ***0.164
Foliose chlorolichen3.969 ***0.140
Bipartite cyanolichen4.324 ***0.166
Lobaria pulmonaria−4.358 ***0.149
*** p < 0.001; ** p < 0.01; * p < 0.05.
Hair lichens A. sarmentosa and Bryoria spp. had uniformly negative δ15N values that were also more negative than all other functional groups (Figure 5B), and trending lower with increase in branch height. The δ15N of other lichen functional groups and host-tree foliage did not appear to be influenced by branch height.
Host tree needles had δ13C values intermediate to L. pulmonaria and all other lichen functional groups (Figure 6), but at distinctly higher C concentrations than all lichen groups (Figure 7). Lichen functional groups, cyanolichen abundance, tree branch height, and the interaction between cyanolichens and site cyanolichen abundance (but not tree species) were significant predictors of δ13C in lichen functional groups. The regression analyses showed that A. sarmentosa (B = 4.899, p < 0.001), Bryoria spp. (B = 4.513, p < 0.001), foliose chlorolichens (B = 3.969, p < 0.001), and bipartite cyanolichens (B = 4.324, p < 0.001) were positively related to δ13C levels in lichen functional groups (Table 2). Conversely, L. pulmonaria (B = −4.358, p < 0.001) was negatively related to δ13C levels in lichen functional groups. Both cyanolichen abundance (B = −0.001, p < 0.001) and tree branch height (B = 0.093, p < 0.001) were significantly related to δ13C levels in lichen functional groups. There was also a statistically significant interaction between cyanolichens and site cyanolichen abundance and δ13C increased slightly as site-level cyanolichen abundance increased (B = 0.001, p = 0.005, Table 2). There was no significant difference in δ13C between sample tree species spruce and fir in lichen functional groups (B = 0.048, p = 0.594, Table 2). Alternatively, both tree species (B = 0.622, p < 0.001) and tree branch height (B = 0.148, p < 0.001), but not cyanolichen abundance (B < 0.001, p = 0.942), were significant predictors of δ13C in needles (B = 0.028, p = 0.002).
Figure 6. Dual natural abundance isotope plot of δ15N versus δ13C of the five epiphytic lichen functional group and host tree foliage (needle) biomasses across four sites and two host tree species.
Figure 6. Dual natural abundance isotope plot of δ15N versus δ13C of the five epiphytic lichen functional group and host tree foliage (needle) biomasses across four sites and two host tree species.
Forests 06 02588 g006
Figure 7. Mean (± SD) C concentrations versus δ13C signals of five epiphytic lichen functional group and host tree foliage (needle) biomasses across four sites and two host tree species.
Figure 7. Mean (± SD) C concentrations versus δ13C signals of five epiphytic lichen functional group and host tree foliage (needle) biomasses across four sites and two host tree species.
Forests 06 02588 g007

4. Discussion

Nitrogen-fixing cyanolichen epiphytes can be both diverse and abundant in conifer forests of central BC, and have been conjectured to be an important component of the N-cycle in these forest locations [4,8,32,36]. Although lichen N pool sizes and decomposition rates in these studies were indicative of enhanced mineral N flux rates, as observed in other forests types [7], direct links between cyanolichen abundance and improved host tree N status have been elusive. In our study, gradients in cyanolichen abundance across host trees (interior hybrid spruce and subalpine fir) in two generally high cyanolichen abundance sites and two generally low cyanolichen abundance sites [8,32] provided us with an opportunity to examine the potential for enhanced cyanolichen N-inputs into these forests in central BC. We hypothesized that foliar (needle) N contents would be positively correlated with cyanolichen abundance, and in fact this was found to be the case, albeit the relationship was not strong (Figure 3b). We further sought to more directly link increased host tree foliar N with cyanolichen N using the natural abundances of 15N and 14N of forest tree, lichen and soil components of these systems.
Our results corroborate previous findings of δ15N values in lichen functional groups and or species. It is already known that cyanolichens that fix N2 typically have δ15N values close to atmospheric N2, i.e., 0‰ [37,38]. We also found δ15N values close to 0‰ for both bipartite and tripartite (L. pulmonaria) cyanolichens in our study. By contrast, other non-N2-fixing arboreal macrolichens (hair and chlorolichen) as well as host-tree foliage all had δ15N values that were negative and less enriched in 15N than either cyanolichen functional group. Hair lichens had the lowest δ15N, while chlorolichens and host tree foliage were intermediate. Interestingly, A. sarmentosa, occurring lower in the canopy than Bryoria spp., and therefore overlapping with cyanolichen canopy zones [5], had δ15N closer to atmospheric δ15N (i.e., 0) (Figure 2). This is consistent with A. sarmentosa receiving more leached-N from cyanolichens than Bryoria spp., and supported by the fact that an increase in the δ15N of A. sarmentosa was observed in High Cyano sites, while relatively little change in δ15N was observed for Bryoria spp. In both hair lichens, relatively low N contents and low δ15N (~–6 ‰ in Low Cyano sites) were consistent with low atmospheric N inputs in central BC [39] and the negative δ15N of precipitation N measured in other studies [31].
Although biological N2-fixation may represent a significant N input into ecosystems, both via leaching (less well documented) and decomposition, it may be difficult to identify because of its small relative isotopic effect against the background of ecosystem component δ15N signatures [12]. Nitrogen isotope signatures of epiphytes varied across functional groups and with canopy position, but the reason for lichen δ15N variability with canopy position in most studies remains unexplained. The δ15N of hair lichens, with single sources of N (i.e., atmospheric fixed-N), are relatively easy to explain relative to other lichens (cyanolichen and chlorolichen) lower in the canopy where inputs and outputs are more complex. At least 10 processes have been identified that can alter δ15N values, none of which can currently be separated out in field studies [9]. Key explanations for δ15N variability in lichens are: (i) a preference for uptake of the lighter 14N isotope which can then lead to δ15N enrichment of outputs [40]; (ii) fractionation of N isotopes in gaseous phase ammonia is greater than in the liquid phase of nitrate; and (iii) transfer of organic N which can result in increased 15N depletion of the photobiont and less depletion in the mycobiont [41]. In general, our results were in agreement with previous work showing that lichens with a green alga as their photobiont (all lichens except bipartite cyanolichens) showed greater relative 15N depletion [42] (Figure 1).
Soil δ15N values increased with soil depth in our study, consistent with results of Gebauer and Schulze [43]. In keeping with our expectations, we also observed decreasing trends in δ15N with increasing cyanolichen abundance in all soil horizons (Figure 4A–4E) equating to less positive soil horizon δ15N values, more proximal to the δ15N of cyanolichen biomasses which were uniformly close to zero. There are many reasons why soil δ15N wouldn’t necessarily be closely correlated with tree δ15N. First, measured δ15N of soil pools may not represent the true isotopic composition of N available to plant roots, since most of the N in soils is bound in forms that are not immediately available to plants [25,44]. Second, only a few % of total soil N becomes available in a year [18], and symbiotic fungi (mycorrhizae) can alter the δ15N of the N transferred from soil to host plant. Nevertheless, a similar downward trend in tree foliage δ15N at our sites with increasing abundance of cyanolichen (Figure 3) was consistent with the downward trend in soil δ15N (Figure 4A–4C). Explaining the increase in %N of host tree foliage with increased cyanolichen abundance is difficult to reconcile with total soil N. If greater cyanolichen inputs of N increased soil N concentrations, then a straightforward mass action of greater plant N uptake could have explained enhanced foliar %N. However, soil N decreased in all soil horizons, though not significantly, with higher cyanolichen abundance (Figure 4D–4F). Since total soil N does not in any way equate with amounts and forms of available inorganic N, it is possible that more readily available N fractions were more available at high abundance cyanolichen sites, even though total %N was not. Further work on soil N at these sites would be required to test this hypothesis.
Foliar (needle) δ15N values in our host trees ranged between 0.6 and −2.8‰ and did not differ significantly between High and Low Cyano sites or tree branch height. However, there was a trend of decreasing foliar δ15N with increasing cyanolichen abundance (Figure 3a). Gebauer and Schulze [43] reported lower, but overlapping, δ15N values for conifer needles (between −2.5 and −4.1‰), which varied according to stand and age, with foliage from the healthiest site having the lowest δ15N. It is unclear why the range of δ15N values observed by Gebauer & Schulze were more negative than ours, but one possibility would be the presumed greater atmospheric N inputs in these European forests when compared to the N-limited forests of central BC. Gebauer and Schulze [43] also reported a similar trend of δ13C values of needles, which ranged between −26.2 and −32.2‰ and did not differ between lichen abundance sites but did change with canopy height. Similar to our study, needle δl3C values were not significantly different between abundance sites (Table 3), were more negative in the lower canopy and increasing with branch height (Figure 5).
Lichen δ13C values were previously found to vary widely over a large range of habitats and species [45]. Our lichen functional groups and tree foliage (needles) fell into three distinct groups with respect to δl3C values: the tripartite (and only cephalodic) cyanolichen L. pulmonaria with the lowest δl3C values (−36 to −31), host tree foliage with intermediate δl3C values (−33 to −26), and all other lichens including bipartite cyanolichens, hair lichens and chlorolichens with the least negative δl3C values (−28 to −23). Our values are entirely consistent with those of Maguas et al. [46], namely that tripartite lichen associations typically have the lowest and bipartite lichens the highest δl3C. Carbon isotope discrimination in lichens [42] has been attributed to the species of photobiont present. Carbon concentrations also clearly distinguished between conifer foliage (mean %C of ~50.5%) and all lichen functional groups (means of %C ranging from ~42%–45%). This range of values are in close agreement with %C values observed previously for epiphytic lichens in sub-boreal BC [8] and conifer foliage [47], respectively.
Interestingly, we observed positive relationships between tree branch height and δl3C values for both L. pulmonaria and foliage. Possible causes that may be responsible for the observed height-specific differences in these δl3C values are CO2 source, light level and factors influencing diffusion resistance such as water availability. Carbon dioxide source influences the δl3C value of lichens [48,49], and lichens growing in the canopy close to the forest floor (i.e., L. pulmonaria) would more readily assimilate CO2 enriched by soil respiration [46,50,51]. Light levels also influence photosynthesis and can alter the CO2 gradient inside the lichen thallus. Inorganic carbon acquisition by lichen photobionts fluctuate greatly with moisture and light availability [52], and lichen hydration is known to affect δl3C values. Increased δl3C values have been reported for lichens in drier habitats [45] and on thinner branches, both being directly and indirectly associated with desiccation stress, respectively [53]. Water stress would be expected to increase with branch height. Therefore, differences in δl3C likely exist due to biological traits (e.g., foliage (stomatal) versus lichen, cephalodic versus non-cephalodic lichen), different microclimatic conditions in the canopy and/or the uptake of isotopically different CO2 sources. Irrespective of mechanism and ecological significance, the δl3C—in concert with the δ15N—are clearly useful in chemically distinguishing among epiphyte functional group and host tree foliage.

5. Conclusions

Stable isotope natural abundance techniques have been important tools for ecophysiology and ecosystem research for many decades now [10,18], but have infrequently been applied to determining the contributions that arboreal cyanolichens make to forest N-cycling. Despite the narrow geographic and temporal scope of this study, the results from our study support previous work at our high and low cyanolichen abundance sites [8,32], suggesting that trees with a high abundance of arboreal cyanolichens provide greater N-inputs into N-limited conifer forests of central BC. High cyanolichen abundance, typically coupled with higher overall arboreal lichen diversity, is usually constrained to mature and old-growth stands in drier parts of the central interior of BC. However, the reasons for the variability in cyanolichen abundance at the tree and site level, and the contributions that cyanolichen abundances make to tree and forest growth remain uncertain and are the topics of current and future research at our forest research sites. Low-input, extensive forestry practiced in central British Columbia could benefit from this increased understanding.

Acknowledgements

The authors are grateful for Jocelyn Campbell’s guidance and assistance with field site selection and project design. Kevin Jordan provided expert professional help and support in accessing canopies in year one of this study. Thanks are extended to Myles Stocki for stable isotope analyses and to the many graduate student field assistants for help in gathering samples in the canopy. This project was primarily funded by a Discovery Grant from the Natural Sciences and Engineering Research Council of Canada (NSERC 194405; ALF).

Author Contributions

Ania Kobylinski is the lead author and researcher. She climbed nearly half of the experimental trees, conducted the field sampling, prepared samples for analyses, and collated and analyzed data. This work comprised one chapter in her M.Sc. thesis. Art Fredeen conceived of the fundamental research questions, acquired the research funding, helped in decision-making regarding sampling, analyses and data processing, and helped in the editing and/or writing of the thesis chapter and manuscript.

Conflicts of Interest

The authors declare no conflict of interest.

References

  1. Holub, S.M.; Lathja, K. The fate and retention of organic and inorganic 15N-nitrogen in an old-growth forests soil in western Oregon. Ecosystems 2004, 7, 368–380. [Google Scholar] [CrossRef]
  2. Brockley, R.P.; Simpson, D.G. Effects of Intensive Fertilization on the Foliar Nutrition and Growth of Young Lodgepole Pine and Spruce Forests in the Interior of British Columbia (E.P. 886.13): Establishment and Progress Report. Available online: https://www.for.gov.bc.ca/hfd/ pubs/Docs/tr/tr018.pdf (accessed on 27 July 2015).
  3. Coxson, D.S.; Nadkarni, N.M. Ecological Roles of Epiphytes in Nutrient Cycles of Forest Ecosystems. In Forest Canopies; Academic Press: San Diego, California, CA, USA, 1995. [Google Scholar]
  4. Campbell, J.; Fredeen, A.L. Contrasting the abundance, nitrogen, and carbon of epiphytic macrolichen species between host trees and soil types in a sub-boreal forest. Can. J. Bot. 2007, 85, 31–42. [Google Scholar] [CrossRef]
  5. Kobylinski, A.; Fredeen, A.L. Vertical distribution and nitrogen content of epiphytic macrolichen functional groups in sub-boreal forests of central British Columbia. For. Ecol. Manag. 2014, 329, 118–128. [Google Scholar] [CrossRef]
  6. Bergstrom, D.M.; Tweedie, C.E. A conceptual model for integrative studies of epiphytes: Nitrogen utilisation, a case study. Aust. J. Bot. 1998, 46, 273–280. [Google Scholar] [CrossRef]
  7. Knops, J.M.H.; Nash, T.H.I.; Schlesinger, W.H. The influence of epiphytic lichens on the nutrient cycling of a blue oak woodland. Ecol. Monogr. 1997, 66, 75–82. [Google Scholar]
  8. Campbell, J.; Fredeen, A.L.; Prescott, C.E. Decomposition and nutrient release from four epiphytic lichen litters in sub-boreal spruce forests. Can. J. Bot. 2010, 40, 1473–1484. [Google Scholar] [CrossRef]
  9. Robinson, D. δ15N as an integrator of the nitrogen cycle. Trends Ecol. Evol. 2001, 16, 153–162. [Google Scholar] [CrossRef]
  10. Dawson, T.E.; Mambelli, S.; Plamboeck, A.H.; Templer, P.H.; Tu, K.P. Stable isotopes in plant ecology. Annu. Rev. Ecol. Syst. 2002, 33, 507–559. [Google Scholar] [CrossRef]
  11. Boddey, R.M.; Peoples, M.B.; Palmer, B.; Dart, P.J. Use of the 15N natural abundance technique to quantify biological nitrogen fixation by woody perennials. Nutr. Cycl. Agroecosyst. 2000, 57, 235–270. [Google Scholar] [CrossRef]
  12. Vitousek, P.M.; Shearer, G.; Kohl, D.H. Foliar 15N natural abundance in Hawaiian rainforest: Patterns and possible mechanisms. Oecologia 1989, 78, 383–388. [Google Scholar] [CrossRef]
  13. Junk, G.; Svec, H.J. The absolute abundance of the nitrogen isotopes in the atmosphere and compressed gas from various sources. Geochim. Cosmochim. Acta 1958, 14, 234–243. [Google Scholar] [CrossRef]
  14. Fogel, M.L.; Wooller, M.J.; Cheeseman, J.; Smallwood, B.J.; Roberts, Q.; Romero, I.; Meyers, M.J. Unusually negative nitrogen isotopic compositions (δ15N) of mangroves and lichens in an oligotrophic, microbially-influenced ecosystem. Biogeosciences 2008, 5, 1693–1704. [Google Scholar] [CrossRef]
  15. Huiskes, A.H.L.; Boschker, H.T.S.; Lud, D.; Moerdijk-Poortvliet, T.C.W. Stable isotope ratios as a tool for assessing changes in carbon and nutrient sources in antarctic terrestrial ecosystems. Plant Ecol. 2006, 182, 79–86. [Google Scholar]
  16. Amundson, R.; Austin, A.T.; Schurur, E.A.G.; Yoo, K.; Matzek, V.; Kendall, C.; Uebersax, A.; Brenner, D.; Baisden, W.T. Global patterns of the isotopic composition of soil and plant nitrogen. Glob. Biogeological Cycles 2003, 17, 1–10. [Google Scholar] [CrossRef]
  17. Wallander, H.; Göransson, H.; Rosengren, U. Production, standing biomass and natural abundance of 15N and 13C in ectomycorrhizal mycelia collected at different soil depths in two forest types. Oecologia 2004, 139, 89–97. [Google Scholar] [CrossRef] [PubMed]
  18. Högberg, P. Tansley Review No. 95 15N natural abundance in soil-plant systems. New Phytol. 1997, 137, 179–203. [Google Scholar] [CrossRef]
  19. Högberg, P.; Högberg, M.N.; Quist, M.E.; Ekblad, A.; Nasholm, T. Nitrogen isotope fractionation during nitrogen uptake by ectomycorrhizal and non-mycorrhizal Pinus sylvestris. New Phytol. 1999, 142, 569–576. [Google Scholar] [CrossRef]
  20. Peterson, B.J.; Fry, B. Stable isotopes in ecosystem studies. Annu. Rev. Ecol. Syst. 1987, 18, 293–320. [Google Scholar] [CrossRef]
  21. Mariotti, A.; Pierre, D.; Vedy, J.; Bruckert, S.; Guillemot, J. The abundance of natural nitrogen-15 in the organic matter of soils along an altitudinal gradient. Catena 1980, 7, 293–300. [Google Scholar] [CrossRef]
  22. Nadelhoffer, K.J.; Fry, B. Controls on natural nitrogen-15 and carbon-13 abundances in forest soil organic matter. Soil Sci. Soc. Am. J. 1988, 52, 1633–1640. [Google Scholar] [CrossRef]
  23. Billings, S.A.; Richter, D.D. Changes in stable isotopic signatures of soil nitrogen and carbon during 40 years of forest development. Oecologia 2006, 148, 325–333. [Google Scholar] [CrossRef] [PubMed]
  24. Shearer, G.B.; Kohl, D.H. N2-fixation in field settings: Estimations based on natural 15N abundance. Aust. J. Plant Physiol. 1986, 13, 699–756. [Google Scholar] [CrossRef]
  25. Binkley, D.; Hart, S.C. Components of nitrogen availability assessments in forest soils. Adv. Soil Sci. 1989, 10, 57–112. [Google Scholar]
  26. Sanborn, P.; Preston, C.; Brockley, R. N2 fixation by Sitka alder in a young lodgepole pine stand in central interior British Columbia, Canada. For. Ecol. Manag. 2002, 167, 223–231. [Google Scholar] [CrossRef]
  27. Lajtha, K.; Schlesinger, W.H. Plant response to variations in nitrogen availability in a desert shrubland community. Biogeochemistry 1986, 2, 29–37. [Google Scholar] [CrossRef]
  28. Ehrenfeld, J.G.; Ravit, B.; Elgerma, K. Feedback in the plant–soil system. Annu. Rev. Ecol. Syst. 2005, 30, 1–41. [Google Scholar] [CrossRef]
  29. Aerts, R. Climate, leaf litter chemistry and leaf litter decomposition in terrestrial ecosystems: A triangular relationship. Oikos 1997, 79, 439–449. [Google Scholar] [CrossRef]
  30. Pike, L.H. The importance of epiphytic lichens in mineral cycling. Bryol. 1978, 81, 247–257. [Google Scholar] [CrossRef]
  31. Freyer, H.D. Seasonal variation of 15N/14N ratios in atmospheric nitrate species. Tellus 1991, 43, 30–44. [Google Scholar] [CrossRef]
  32. Campbell, J.; Bradfield, G.E.; Prescott, C.E.; Fredeen, A.L. The influence of overstorey Populus on epiphytic lichens in subboreal spruce forests of British Columbia. Can. J. For. Res. 2010, 40, 143–154. [Google Scholar] [CrossRef]
  33. Denison, W.C. Life in tall trees. Sci. Am. 1973, 228, 74–80. [Google Scholar] [CrossRef]
  34. Perry, D.; Wiliams, J. The tropical rain forest canopy: A method providing total access. Biotropica 1981, 13, 283–285. [Google Scholar] [CrossRef]
  35. Botting, R.S.; Fredeen, A.L. Contrasting terrestrial moss, lichen and liverwort diversity and abundance between old-growth and young second-growth sub-boreal spruce forest in central British Columbia. Can. J. Bot. 2006, 84, 120–132. [Google Scholar] [CrossRef]
  36. Campbell, J.; Fredeen, A.L. Lobaria pulmonaria abundance as an indicator of macrolichen diversity in interior cedar hemlock forests of East-Central British Columbia. Can. J. Bot. 2004, 82, 970–982. [Google Scholar] [CrossRef]
  37. Macko, S.A.; Fogel, M.L.; Hare, P.E.; Hoering, T.C. Isotopic fractionation of nitrogen and carbon in the synthesis of amino acids by microorganisms. Chem. Geol. 1987, 65, 79–92. [Google Scholar] [CrossRef]
  38. Virginia, R.A.; Delwiche, C.C. Natural 15N abundance of presumed N2-fixing and non-N2-fixing plants from selected ecosystems. Oecologia 1982, 54, 317–325. [Google Scholar] [CrossRef]
  39. Hope, G. The Soil Ecosystem of an ESSF Forest and Its Response to a Range of Harvesting Disturbances (Extension Note 53). Available online: http://www.for.gov.bc.ca/hfd/pubs/Docs/En /En53.pdf (accessed on 11 February 2014).
  40. Wania, R.; Hietz, P.; Wanek, W. Natural 15N abundance of epiphytes depends on the position within the forest canopy: Source signals and isotope fractionation. Plant Cell Environ. 2002, 25, 581–589. [Google Scholar] [CrossRef]
  41. Hobbie, E.A.; Hobbie, J.E. Natural abundance of 15N in nitrogen-limited forests and tundra can estimate nitrogen cycling through mycorrhizal fungi: A review. Ecosystems 2008, 11, 815–830. [Google Scholar] [CrossRef]
  42. Riera, P. δ13C and δ15N comparisons among different co-occurring lichen species from littoral rocky substrata. Lichenologist 2005, 37, 93–95. [Google Scholar] [CrossRef]
  43. Gebauer, G.; Schulze, E.D. Carbon and nitrogen isotope ratios in different compartments of a healthy and a declining Picea abies forest in the Fichtelgebirge, NE Bavaria. Oecologia 1991, 87, 198–207. [Google Scholar] [CrossRef]
  44. Jansson, S.L. Tracer studies on nitrogen transformations in soil with special attention to mineralization-immobilization relationships. Ann. R. Agri. Coll. Swed. 1958, 24, 101–361. [Google Scholar]
  45. Batts, J.E.; Calder, L.J.; Batts, B.D. Utilizing stable isotope abundances of lichens to monitor environmental change. Chem. Geol. 2004, 204, 345–368. [Google Scholar] [CrossRef]
  46. Máguas, C.; Griffiths, H.; Broadmeadow, M.S.J. Gas exchange and carbon isotope discrimination in lichens: Evidence for interactions between CO2-concentrating mechanisms and diffusion limitation. Planta 1995, 196, 95–102. [Google Scholar] [CrossRef]
  47. Thomas, S.C.; Martin, A.R. Carbon content of tree tissues: A synthesis. Forests 2012, 3, 332–352. [Google Scholar] [CrossRef]
  48. Farquhar, G.D.; Ehleringer, J.R. Carbon isotope discrimination and photosynthesis. Annu. Rev. Plant Physiol. Plant Mol. Biol. 1989, 40, 503–537. [Google Scholar] [CrossRef]
  49. Lakatos, M.; Hartard, B.; Maguas, C. The stable isotopes of δ13C and δ18O of lichens can be used as tracers of microenvironmental carbon and water sources. In Stable Isotopes as Indicators of Ecological Change (Terrestrial Ecology); Dawson, T.E., Siegwolf, R.T.W., Eds.; Elsevier: Oxford, UK, 2007; pp. 73–88. [Google Scholar]
  50. Broadmeadow, M.S.J.; Griffiths, H.; Maxwell, C.; Borland, A.M. The carbon isotope ratio of plant organic material reflects temporal and spatial variations in CO2 within tropical forest formations in Trinidad. Oecologia 1992, 89, 435–441. [Google Scholar] [CrossRef]
  51. Máguas, C.; Griffiths, H.; Ehleringer, J.R.; Serodio, J. Characterizations of photobiont associations in lichens using carbon isotope discrimination techniques. In Stable Isotopes and Plant Carbon-Water Relations; Academic Press London: New York, NY, USA, 1993; pp. 201–212. [Google Scholar]
  52. Palmqvist, K. Tansley review No. 117 Carbon economy in lichens. New Phytol. 2000, 148, 11–36. [Google Scholar] [CrossRef]
  53. Hietz, P.; Wanek, W.; Wania, R.; Nadkarni, N.M. Nitrogen-15 natural abundance in a montane cloud forest canopy as an indicator of nitrogen cycling and epiphyte nutrition. Oecologia 2002, 131, 350–355. [Google Scholar] [CrossRef]

Share and Cite

MDPI and ACS Style

Kobylinski, A.; Fredeen, A.L. Importance of Arboreal Cyanolichen Abundance to Nitrogen Cycling in Sub-Boreal Spruce and Fir Forests of Central British Columbia, Canada. Forests 2015, 6, 2588-2607. https://doi.org/10.3390/f6082588

AMA Style

Kobylinski A, Fredeen AL. Importance of Arboreal Cyanolichen Abundance to Nitrogen Cycling in Sub-Boreal Spruce and Fir Forests of Central British Columbia, Canada. Forests. 2015; 6(8):2588-2607. https://doi.org/10.3390/f6082588

Chicago/Turabian Style

Kobylinski, Ania, and Arthur L. Fredeen. 2015. "Importance of Arboreal Cyanolichen Abundance to Nitrogen Cycling in Sub-Boreal Spruce and Fir Forests of Central British Columbia, Canada" Forests 6, no. 8: 2588-2607. https://doi.org/10.3390/f6082588

APA Style

Kobylinski, A., & Fredeen, A. L. (2015). Importance of Arboreal Cyanolichen Abundance to Nitrogen Cycling in Sub-Boreal Spruce and Fir Forests of Central British Columbia, Canada. Forests, 6(8), 2588-2607. https://doi.org/10.3390/f6082588

Article Metrics

Back to TopTop