Effects of Seasonal Rainfall Changes on N, P, and K Stoichiometric Characteristics in Leaves and Soil of Tropical Coastal Shelterbelt Forests
Abstract
1. Introduction
2. Materials and Methods
2.1. Study Area
2.2. Sample Site Selection and Setup
2.3. Sample Collection and Testing
2.4. Data Analysis
3. Results and Analysis
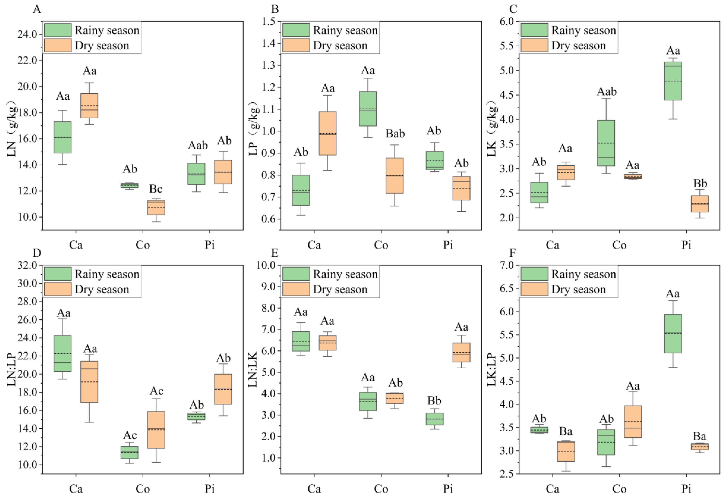
3.1. N, P, and K Stoichiometric Characteristics in Leaves of the Three Shelterbelt Forests
3.1.1. N, P, and K Contents
3.1.2. Stoichiometric Ratios of N, P, and K
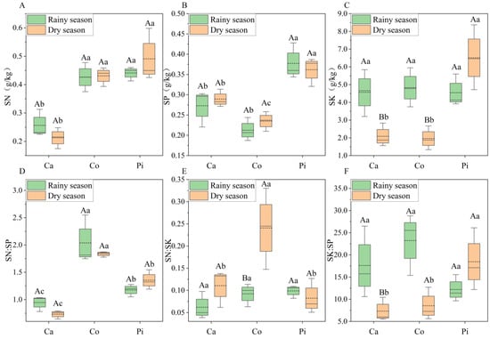
3.2. N, P, and K Stoichiometric Characteristics in Soil of the Three Shelterbelt Forests
3.2.1. N, P, and K Contents
3.2.2. Stoichiometric Ratios of N, P, and K
3.3. N:P:K Stoichiometric Ratio in Leaves and Soil of the Three Shelterbelt Forests
3.4. N:P:K Stoichiometric Homeostasis of Leaves of the Three Shelterbelt Forests
4. Discussion
4.1. N, P, and K Stoichiometric Characteristics of Leaves in the Three Shelterbelt Forests
4.2. N, P, and K Stoichiometric Characteristics of Soil in the Three Shelterbelt Forests
4.3. Correlation Analysis of N:P:K Stoichiometric Ratio of Leaves and Soil in the Three Shelterbelt Forests
4.4. N:P:K Stoichiometric Homeostasis in Leaves and Soil of the Three Shelterbelt Forests
5. Conclusions
Author Contributions
Funding
Data Availability Statement
Conflicts of Interest
References
- Elser, J.J.; Hamilton, A. Stoichiometry and the new biology: The future is now. PLoS Biol. 2007, 5, e181. [Google Scholar] [CrossRef]
- Sterner, R.W.; Elser, J.J. Ecological Stoichiometry: The Biology of Elements from Molecules to the Biosphere; Princeton University Press: Princeton, NJ, USA, 2017. [Google Scholar]
- Han, W.X.; Fang, J.Y.; Guo, D.L.; Zhang, Y. Leaf nitrogen and phosphorus stoichiometry across 753 terrestrial plant species in China. New Phytol. 2005, 168, 377–385. [Google Scholar] [CrossRef]
- Sardans, J.; Janssens, I.A.; Ciais, P.; Obersteiner, M.; Peñuelas, J. Recent advances and future research in ecological stoichiometry. Perspect. Plant Ecol. Evol. Syst. 2021, 50, 125611. [Google Scholar] [CrossRef]
- Chu, C.C.; Wang, Y.; Wang, E.T. Research status and prospect of efficient utilization of nitrogen, phosphorus and potassium in plants. Sci. China (Ser. C) 2021, 51, 1415–1423. [Google Scholar] [CrossRef]
- Leff, J.W.; Bardgett, R.D.; Wilkinson, A.; Jackson, B.G.; Pritchard, W.J.; De Long, J.R.; Oakley, S.; Mason, K.E.; Ostle, N.J.; Johnson, D.; et al. Predicting the structure of soil communities from plant community taxonomy, phylogeny, and traits. ISME J. 2018, 12, 1794–1805. [Google Scholar] [CrossRef]
- Sanaei, A.; Yuan, Z.Q.; Ali, A.; Loreau, M.; Mori, A.S.; Reich, P.B.; Jucker, T.; Lin, F.; Ye, J.; Fang, S.; et al. Tree species diversity enhances plant-soil interactions in a temperate forest in northeast China. For. Ecol. Manag. 2021, 491, 119160. [Google Scholar] [CrossRef]
- Wang, L.; Arif, M.; Zheng, J.; Li, C.X. Patterns and drivers of plant carbon, nitrogen, and phosphorus stoichiometry in a novel riparian ecosystem. Front. Plant Sci. 2024, 15, 1354222. [Google Scholar] [CrossRef]
- Freschet, G.T.; Roumet, C.; Comas, L.H.; Weemstra, M.; Bengough, A.G.; Rewald, B.; Bardgett, R.D.; De Deyn, G.B.; Johnson, D.; Klimešová, J.; et al. Root traits as drivers of plant and ecosystem functioning: Current understanding, pitfalls and future research needs. New Phytol. 2021, 232, 1123–1158. [Google Scholar] [CrossRef]
- Cardone, L.; Castronuovo, D.; Perniola, M.; Scrano, L.; Cicco, N.; Candido, V. The influence of soil physical and chemical properties on saffron (Crocus sativus L.) growth, yield and quality. Agronomy 2020, 10, 1154. [Google Scholar] [CrossRef]
- Moe, S.J.; Stelzer, R.S.; Forman, M.R.; Harpole, W.S.; Daufresne, T.; Yoshida, T. Recent advances in ecological stoichiometry: Insights for population and community ecology. Oikos 2005, 109, 29–39. [Google Scholar] [CrossRef]
- Li, Y.Y.; Wang, J.X.; Wang, L.Q. Seasonal variations in C/N/P/K stoichiometric characteristics in different plant organs in the various forest types of Sygera Mountain. Front. Plant Sci. 2024, 15, 1293934. [Google Scholar] [CrossRef]
- Zhang, J.H.; Zhao, N.; Liu, C.C.; Yang, H.; Li, M.L.; Yu, G.R.; Wilcox, K.; Yu, Q.; He, N.P. stoichiometry in China’s forests: From organs to ecosystems. Funct. Ecol. 2018, 32, 50–60. [Google Scholar] [CrossRef]
- Tian, D.; Yan, Z.B.; Niklas, K.J.; Han, W.X.; Kattge, J.; Reich, P.B.; Luo, Y.K.; Chen, Y.H.; Tang, Z.Y.; Hu, H.F.; et al. Global leaf nitrogen and phosphorus stoichiometry and their scaling exponent. Natl. Sci. Rev. 2018, 5, 728–739. [Google Scholar] [CrossRef]
- Li, Y.Y.; Fu, F.W.; Li, J.R.; Chen, W.S.; Ding, H.H.; Xiao, S.Y. Stoichiometric characteristics of Abies georgei var. smithii plants in southeast Tibet. Sustainability 2023, 15, 8458. [Google Scholar] [CrossRef]
- Zechmeister-Boltenstern, S.; Keiblinger, K.M.; Mooshammer, M.; Peñuelas, J.; Richter, A.; Sardans, J.; Wanek, W. The application of ecological stoichiometry to plant–microbial–soil organic matter transformations. Ecol. Monogr. 2015, 85, 133–155. [Google Scholar] [CrossRef]
- Di Palo, F.; Fornara, D.A. Plant and soil nutrient stoichiometry along primary ecological successions: Is there any link? PLoS ONE 2017, 12, e0182569. [Google Scholar] [CrossRef]
- Luo, Y.; Lian, C.M.; Gong, L.; Mo, C.N. Leaf stoichiometry of halophyte shrubs and its relationship with soil factors in the Xinjiang Desert. Forests 2022, 13, 2121. [Google Scholar] [CrossRef]
- Zhao, Y.H.; Li, T.; Sun, J.K.; Liu, J.H.; Fu, Z.Y. Study on ecological stoichiometry homeostasis characteristics of different halophytes in the Yellow River Delta. Land Degrad. Dev. 2024, 35, 784–797. [Google Scholar] [CrossRef]
- Julian, P.; Gerber, S.; Bhomia, R.K.; King, J.; Osborne, T.Z.; Wright, A.L. Understanding stoichiometric mechanisms of nutrient retention in wetland macrophytes: Stoichiometric homeostasis along a nutrient gradient in a subtropical wetland. Oecologia 2020, 193, 969–980. [Google Scholar] [CrossRef]
- Chen, Z.F.; Zhou, J.J.; Lai, S.B.; Jian, C.X.; Chen, Y.; Luo, Y.; Xu, B.C. Species differences in stoichiometric homeostasis affect grassland community stability under N and P addition. Environ. Sci. Pollut. Res. 2023, 30, 61913–61926. [Google Scholar] [CrossRef]
- Patil, R.H.; Laegdsmand, M.; Olesen, J.; Porter, J.R. Effect of soil warming and rainfall patterns on soil N cycling in Northern Europe. Agric. Ecosyst. Environ. 2010, 139, 195–205. [Google Scholar] [CrossRef]
- Wang, X.X.; Wang, R.; Gao, J. Precipitation and soil nutrients determine the spatial variability of grassland productivity at large scales in China. Front. Plant Sci. 2022, 13, 996313. [Google Scholar] [CrossRef]
- Bai, L.; Wang, J.; Wang, Z.W.; Li, Z.G.; Ren, H.Y.; Wang, H.M.; Zhang, G.G.; Han, G.D. Effects of simulated precipitation gradients on nutrient resorption in the desert steppe of northern China. Front. Plant Sci. 2023, 14, 1211182. [Google Scholar] [CrossRef]
- Luo, Y.; Peng, Q.W.; Li, K.H.; Gong, Y.M.; Liu, Y.Y.; Han, W.X. Patterns of nitrogen and phosphorus stoichiometry among leaf, stem and root of desert plants and responses to climate and soil factors in Xinjiang, China. Catena 2021, 199, 105100. [Google Scholar] [CrossRef]
- Gong, H.; Chen, S.L.; Zhong, X.J.; Chen, Q.; Hu, J.; Cheng, W.F. Complex response of beach erosion and restoration to successive typhoons in northeastern Hainan Island. Acta Oceanol. Sin. 2017, 39, 68–77. [Google Scholar]
- Yang, Q.Q.; Yang, Z.Y.; Xue, Y.; Chen, X.H.; Yu, X.B.; Cui, X.B.; Li, R.; Gao, L. Associated Analysis Between Forest Understory Vegetation Diversity and Soft Factors in Hainan Wenchang Coastal Platform. J. Trop. Crops 2015, 36, 2238–2244. [Google Scholar] [CrossRef]
- Yang, Q.Q.; Yang, Z.Y.; Chen, X.H.; Yu, X.B.; Xue, Y.; Wang, X.Y. Interspecific associations of dominant plant populations in secondary forest of Syzygium odoratum in tropical coast. Sci. Silv. Sin. 2017, 53, 105–113. [Google Scholar] [CrossRef]
- Bao, S. Soil and Agricultural Chemistry Analysis; China Agricultural Press: Beijing, China, 2000. [Google Scholar]
- Persson, J.; Fink, P.; Goto, A.; Hood, J.M.; Jonas, J.; Kato, S. To be or not to be what you eat: Regulation of stoichiometric homeostasis among autotrophs and heterotrophs. Oikos 2010, 119, 741–751. [Google Scholar] [CrossRef]
- Liu, H.R.; Lu, X.H. Leaf–Soil C: N: P stoichiometry and homeostasis characteristics of plantations in the Yellow River floodplain in western Shandong, China. Forests 2024, 15, 1433. [Google Scholar] [CrossRef]
- Elser, J.J.; Fagan, W.F.; Denno, R.F.; Dobberfuhl, D.R.; Folarin, A.; Huberty, A.; Interlandi, S.; Kilham, S.S.; McCauley, E.; Schulz, K.L.; et al. Nutritional constraints in terrestrial and freshwater food webs. Nature 2000, 408, 578–580. [Google Scholar] [CrossRef]
- Qin, H.; Li, J.X.; Gao, S.P.; Li, C.; Li, R.; Shen, X.H. Characteristics of leaf element contents for eight nutrients across 660 terrestrial plant species in China. Acta Ecol. Sin. 2010, 30, 1247–1257. [Google Scholar]
- Xue, Y.; Chen, Y.Q.; Liu, X.Z.; Wang, X.Y.; Lin, Z.P. Comparisons of soil chemical properties under four typical forest stands in northeast Hainan. Ecol. Sci. 2014, 33, 1142–1146. [Google Scholar] [CrossRef]
- Ge, L.L.; Meng, Q.Q.; Lin, Y.; He, Z.M. Coupling relationship between nitrogen and phosphorus reabsorption and biological nitrogen fixation in leaves of different nitrogen-fixing tree species in coastal sandy land. J. Soil Water Conserv. 2019, 33, 134–138,144. [Google Scholar] [CrossRef]
- Zhu, S.Y.; Yan, L.B.; Pi, F.J.; Yu, L.F.; Yuan, C.J.; Shu, L.X. Stoichiometric characteristics and seasonal variation of soils and dominant plant leaves in secondary forest in karst area. J. South. Agric. 2019, 50, 90–96. [Google Scholar] [CrossRef]
- Zhao, L.Q.; Fu, D.G.; Wu, X.N.; Zhu, A.Q.; Xu, Z.X. Changes of soil nutrients and stoichiometric characteristics under different vegetation communities in central Yunnan province. Soils 2020, 52, 1248–1255. [Google Scholar] [CrossRef]
- Ye, G.F.; Gao, W.; Yin, L.; Wang, H.; Huang, S.D. Dynamic of transpiration and water use efficiency of Casuarina eguisetfolia in coastline forest. Sci. Soil Water Conserv. 2012, 10, 104–109. [Google Scholar] [CrossRef]
- Tian, D.; Yan, Z.B.; Fang, J.Y. Review on characteristics and main hypotheses of plant ecological stoichiometry. Chin. J. Plant Ecol. 2021, 45, 682–713. [Google Scholar] [CrossRef]
- Tessier, J.T.; Raynal, D.J. Use of nitrogen to phosphorus ratios in plant tissue as an indicator of nutrient limitation and nitrogen saturation. J. Appl. Ecol. 2003, 40, 523–534. [Google Scholar] [CrossRef]
- Olde Venterink, H.; Wassen, M.J.; Verkroost, A.; De Ruiter, P. Species richness–productivity patterns differ between N-, P-, and K-limited wetlands. Ecology 2003, 84, 2191–2199. [Google Scholar] [CrossRef]
- Liu, J.G.; Gou, X.H.; Wang, F.; Liu, J.; Zhang, F. Seasonal patterns in the leaf C: N: P stoichiometry of four conifers on the northeastern Tibetan Plateau. Global Ecol. Conserv. 2023, 47, e02632. [Google Scholar] [CrossRef]
- National Soil Census Office. Soil Census Techniques in China; Agricultural Publishing House: Beijing, China, 1992. [Google Scholar]
- Berg, B. Litter decomposition and organic matter turnover in northern forest soils. For. Ecol. Manage. 2000, 133, 13–22. [Google Scholar] [CrossRef]
- Yue, X.J.; Ye, G.F.; Gao, W.; Chen, Z.Y.; Chen, M.Y.; Li, D. Characteristics of litter decomposition and ecological stoichiometry of different forests on coastal sandy land in Fujian province. Res. Soil Water Conserv. 2021, 28, 77–83. [Google Scholar] [CrossRef]
- Xia, Y.F.; Zhao, Z.H.; Wang, X.P.; Jin, Z.G.; Zhu, J.J. Spatial distribution of soil physical and chemical properties and influencing factors in Changli Gold Coast National Nature Reserve. Guangdong Agric. Sci. 2024, 51, 125–135. [Google Scholar] [CrossRef]
- Ren, Q.S.; Song, H.; Yuan, Z.X.; Ni, X.L.; Li, C.X. Changes in soil enzyme activities and microbial biomass after revegetation in the Three Gorges Reservoir, China. Forests 2018, 9, 249. [Google Scholar] [CrossRef]
- Hu, H.T.; Qiu, L.J.; Ge, L.L.; Meng, Q.Q.; Lin, Y.; He, Z.M.; Wang, K.Y.; Dong, Q. Stoichometry of fine roots and topsoil of five plantations in coastal sandy. J. Sichuan Agric. Univ. 2018, 36, 444–449. [Google Scholar] [CrossRef]
- Tian, H.Q.; Chen, G.S.; Zhang, C.; Melillo, J.M.; Hall, C.A.S. Pattern and variation of C: N: P ratios in China’s soils: A synthesis of observational data. Biogeochemistry 2010, 98, 139–151. [Google Scholar] [CrossRef]
- Cleveland, C.C.; Liptzin, D. C: N: P stoichiometry in soil: Is there a “Redfield ratio” for the microbial biomass? Biogeochemistry 2007, 85, 235–252. [Google Scholar] [CrossRef]
- Ordoñez, J.C.; Van Bodegom, P.M.; Witte, J.P.M.; Wright, I.J.; Reich, P.B.; Aerts, R. A global study of relationships between leaf traits, climate and soil measures of nutrient fertility. Global Ecol. Biogeogr. 2009, 18, 137–149. [Google Scholar] [CrossRef]
- Ballantyne Iv, F.; Menge, D.N.L.; Ostling, A.; Hosseini, P. Nutrient recycling affects autotroph and ecosystem stoichiometry. Am. Nat. 2008, 171, 511–523. [Google Scholar] [CrossRef]
- Sardans, J.; Rivas-Ubach, A.; Peñuelas, J. The C: N: P stoichiometry of organisms and ecosystems in a changing world: A review and perspectives. Perspect. Plant Ecol. Evol. Syst. 2012, 14, 33–47. [Google Scholar] [CrossRef]
- Hu, Q.J.; Sheng, M.Y.; Bai, Y.X.; Jie, Y.; Xiao, H.L. Response of C, N, and P stoichiometry characteristics of Broussonetia papyrifera to altitude gradients and soil nutrients in the karst rocky ecosystem, SW China. Plant Soil 2022, 475, 123–136. [Google Scholar] [CrossRef]
- Wang, L.; Chen, F.; Wan, K.Y. Progress and expectation of the research on plant K efficiency and its evaluation. Soils 2010, 42, 164–170. [Google Scholar] [CrossRef]
- Li, S.P.; Wang, K.L. Seasonal distribution of soil nutrients and their response to the plant diversity of karst mountain grassland. J. Soil Water Conserv. 2016, 30, 199–205. [Google Scholar] [CrossRef]
- Zhou, S.X.; Wu, D.X.; Zhang, L.; Shi, H.Q. Effect of rainfall pattern change on Stipa grandis seedlings in Inner Mongolia. Chin. J. Plant Ecol. 2010, 34, 1155–1164. [Google Scholar]
- Tian, Y.Q.; Gao, Q.; Zhang, Z.C.; Zhang, Y.; Zhu, K. The advances in study on plant photosynthesis and soil respiration of alpine grasslands on the Tibetan Plateau. Ecol. Environ. Sci. 2009, 18, 711–721. [Google Scholar] [CrossRef]
- Zuo, Q.Q.; Wang, S.J. Regulation mechanism of biotic and abiotic factors on the nitrogen mineralization of forest soil. J. Zhejiang A&F Univ. 2021, 38, 613–623. [Google Scholar] [CrossRef]




| Index | Forest | ||
|---|---|---|---|
| Ca | Co | Pi | |
| Longitude | 110°58′53″ E | 110°51′32″ E | 110°54′52″ E |
| Latitude | 19°43′59″ N | 19°34′51″ N | 19°41′32″ N |
| Soil type | Sandy loam | Sandy loam | Sandy loam |
| Tree height (m) | 9.51 ± 0.47 | 11.54 ± 2.13 | 10.67 ± 0.96 |
| Diameter at breast height (cm) | 17.84 ± 1.44 | 23.72 ± 2.76 | 18.65 ± 1.61 |
| Soil capacity (g/cm3) | 1.46 ± 0.03 | 1.47 ± 0.02 | 1.62 ± 0.04 |
| Soil moisture content (%) | 5.90 ± 0.06 | 6.03 ± 0.08 | 8.56 ± 0.06 |
| Understory vegetation cover (%) | 10.23 ± 3.56 | 12.1 ± 4.47 | 21.32 ± 3.81 |
| Forest | Season | Index | 1/H | H | R2 | P | Level |
|---|---|---|---|---|---|---|---|
| Ca | Wet season | N | 0.63 | 1.59 | 0.783 | 0.019 | Weakly sensitive |
| P | 0.08 | 12.71 | 0.007 | 0.872 | Absolute homeostasis | ||
| K | −0.35 | 2.90 | 0.548 | 0.093 | Weak homeostasis | ||
| N:P | −0.03 | 35.56 | 0.002 | 0.953 | Absolute homeostasis | ||
| N:K | 0.02 | 49.36 | 0.007 | 0.879 | Absolute homeostasis | ||
| K:P | −0.02 | 60.50 | 0.062 | 0.634 | Absolute homeostasis | ||
| Dry season | N | 0.23 | 4.40 | 0.218 | 0.351 | Absolute homeostasis | |
| P | −2.28 | 0.44 | 0.954 | 0.001 | Sensitive | ||
| K | −0.02 | 47.37 | 0.005 | 0.890 | Absolute homeostasis | ||
| N:P | 1.99 | 0.50 | 0.964 | 0.002 | Sensitive | ||
| N:K | 0.19 | 5.26 | 0.856 | 0.008 | Homeostasis | ||
| K:P | −0.37 | 2.73 | 0.975 | 0.003 | Weak homeostasis | ||
| Co | Wet season | N | −0.05 | 21.20 | 0.069 | 0.615 | Absolute homeostasis |
| P | −0.56 | 1.80 | 0.368 | 0.202 | Absolute homeostasis | ||
| K | 0.66 | 1.51 | 0.482 | 0.126 | Absolute homeostasis | ||
| N:P | −0.03 | 35.56 | 0.002 | 0.935 | Absolute homeostasis | ||
| N:K | 0.19 | 5.24 | 0.191 | 0.386 | Absolute homeostasis | ||
| K:P | 0.10 | 9.85 | 0.091 | 0.561 | Absolute homeostasis | ||
| Dry season | N | 1.14 | 0.87 | 0.982 | 0.001 | Sensitive | |
| P | −1.68 | 0.60 | 0.979 | 0.002 | Sensitive | ||
| K | 0.07 | 14.11 | 0.959 | 0.001 | Homeostasis | ||
| N:P | −8.26 | 0.12 | 0.800 | 0.016 | Sensitive | ||
| N:K | 0.26 | 3.87 | 0.841 | 0.010 | Weak homeostasis | ||
| K:P | −0.21 | 4.79 | 0.293 | 0.268 | Absolute homeostasis | ||
| Pi | Wet season | N | −1.78 | 0.56 | 0.908 | 0.003 | Sensitive |
| P | −0.38 | 2.65 | 0.290 | 0.270 | Absolute homeostasis | ||
| K | 0.21 | 4.75 | 0.076 | 0.597 | Absolute homeostasis | ||
| N:P | −0.17 | 5.98 | 0.401 | 0.177 | Absolute homeostasis | ||
| N:K | 0.11 | 9.47 | 0.088 | 0.568 | Absolute homeostasis | ||
| K:P | 0.15 | 6.72 | 0.270 | 0.290 | Absolute homeostasis | ||
| Dry season | N | −0.09 | 11.70 | 0.018 | 0.801 | Absolute homeostasis | |
| P | −0.96 | 1.04 | 0.568 | 0.083 | Sensitive | ||
| K | 0.45 | 2.24 | 0.971 | 0.004 | Weak homeostasis | ||
| N:P | 1.19 | 0.84 | 0.966 | 0.002 | Sensitive | ||
| N:K | 0.19 | 5.20 | 0.485 | 0.124 | Absolute homeostasis | ||
| K:P | 0.02 | 62.42 | 0.028 | 0.753 | Absolute homeostasis |
Disclaimer/Publisher’s Note: The statements, opinions and data contained in all publications are solely those of the individual author(s) and contributor(s) and not of MDPI and/or the editor(s). MDPI and/or the editor(s) disclaim responsibility for any injury to people or property resulting from any ideas, methods, instructions or products referred to in the content. |
© 2025 by the authors. Licensee MDPI, Basel, Switzerland. This article is an open access article distributed under the terms and conditions of the Creative Commons Attribution (CC BY) license (https://creativecommons.org/licenses/by/4.0/).
Share and Cite
Nong, S.; Chen, H.; Chen, Z.; Lin, Z.; Su, S.; Lei, X.; Jia, J.; Chen, Y. Effects of Seasonal Rainfall Changes on N, P, and K Stoichiometric Characteristics in Leaves and Soil of Tropical Coastal Shelterbelt Forests. Forests 2025, 16, 600. https://doi.org/10.3390/f16040600
Nong S, Chen H, Chen Z, Lin Z, Su S, Lei X, Jia J, Chen Y. Effects of Seasonal Rainfall Changes on N, P, and K Stoichiometric Characteristics in Leaves and Soil of Tropical Coastal Shelterbelt Forests. Forests. 2025; 16(4):600. https://doi.org/10.3390/f16040600
Chicago/Turabian StyleNong, Shouqian, Haihui Chen, Zongzhu Chen, Zhipan Lin, Shaofeng Su, Xiangling Lei, Junting Jia, and Yiqing Chen. 2025. "Effects of Seasonal Rainfall Changes on N, P, and K Stoichiometric Characteristics in Leaves and Soil of Tropical Coastal Shelterbelt Forests" Forests 16, no. 4: 600. https://doi.org/10.3390/f16040600
APA StyleNong, S., Chen, H., Chen, Z., Lin, Z., Su, S., Lei, X., Jia, J., & Chen, Y. (2025). Effects of Seasonal Rainfall Changes on N, P, and K Stoichiometric Characteristics in Leaves and Soil of Tropical Coastal Shelterbelt Forests. Forests, 16(4), 600. https://doi.org/10.3390/f16040600

