Abstract
The forests in China’s temperate semi-arid region play a significant role in water conservation, carbon storage, and biodiversity protection. An accurate estimation of their aboveground biomass (AGB) is crucial for assessing key ecological characteristics, such as forest carbon storage capacity, biodiversity, and ecological productivity. This provides a scientific basis for forest resource management and ecological conservation in this region. In this study, we extract 17 features related to the dominant species (Larix gmelinii and Betula platyphylla), including 7 vegetation indices derived from remote sensing data, 14 indices from 7 satellite bands, and 3 forest site characteristics. We then analyze the correlations between the AGB and these features. We compare the performance of AGB estimation models using linear regression (LR), polynomial regression (PR), ridge regression (RR), Support Vector Regression (SVR), Extreme Gradient Boosting (XGBoost), and random forest regression (RFR). The results show that for Larix gmelinii, the Landsat 8 bands TM4 and TM7 have a greater degree of correlation with the AGB than the other features, while for Betula platyphylla, bands TM3 and TM4 show a greater degree of correlation with the AGB, and elevation has a weaker correlation with the AGB. Although the linear regression (LR) demonstrates certain advantages for AGB estimation, particularly when the AGB values range from 40 to 70 t/ha, the RFR outperforms in overall performance, with estimation accuracies reaching 85% for Betula platyphylla and 89% for Larix gmelinii. This study reveals that both the species and environmental characteristics may significantly influence the selection of the remote sensing features for AGB estimation, and the choice of algorithm for model optimization is critical. This study innovatively extracts the features related to the dominant species in temperate forests, analyses their relationships with environmental factors, and optimizes the AGB estimation model using advanced regression techniques, offering a method that can be applied to other forest regions as well.
1. Introduction
Forests play a crucial role in the environment of a region and are essential for the absorption of carbon dioxide []. A forest’s aboveground biomass (AGB) plays a major role in forest ecosystem functioning []. The AGB of forests is an important indicator and is used to describe nutrient cycles, energy flow, ecosystem functioning, and forest health, which are key components of forest ecology []. The AGB can be estimated using either direct or indirect methods, depending on the scale of the forest and the required estimation accuracy []. The existing biomass estimation models primarily rely on traditional methods, which include both field-based measurements and process-based models []. While these methods can provide high accuracy, they have certain limitations. For example, they require extended measurement periods for large forest areas, particularly in areas with difficult topography, where achieving full coverage is challenging due to time and resource constraints. Field-based methods are typically only applicable to small forest areas with fewer tree species. In contrast, many researchers have developed AGB estimation models based on remote sensing data, such as LiDAR and UAV datasets [,,,,,,,]. Unlike traditional methods, remote sensing approaches link the AGB to the reflectivity of electromagnetic waves, enabling the estimation of the AGB for large forest areas. Moreover, with the rapid advancement in artificial intelligence techniques, smaller datasets can now achieve the desired accuracy for AGB models, effectively addressing the challenges mentioned above.
In recent years, there has been increasing interest in remote sensing-based techniques for estimating the AGB. The collection of high-quality data from an adequate number of sample plots, the selection of suitable variables, and the choice of modeling algorithms are critical steps in ensuring an accurate AGB estimation []. Various vegetation indices can serve as the predictor variables in AGB modeling. However, these indices behave differently across various forested regions due to the diversity of regional characteristics. Previous studies have examined the importance of selecting the appropriate predictor variables to improve AGB models [,,]. Some researchers have even integrated additional features to enhance the AGB estimation accuracy. For example, Jiang proposed incorporating the surface temperature and soil moisture as predictors in AGB models []. Furthermore, Zhai et al. improved the accuracy of AGB estimation to 80% by combining allometric relationships with a forest’s structural diversity index, while Zhang et al. demonstrated the superiority of time series data for the carbon estimation of evergreen coniferous forests. Additionally, Liu et al. proved the feasibility of estimating the AGB by extracting the crown radius and tree height features from multi-source remote sensing data in mixed forests with varying canopy heights [,,]. Adimoolam et al. constructed a quantitative structural model to estimate mangrove biomass []. However, these methods have limitations in the Chongli region (the area examined in the current study), such as the influence of extreme temperatures and the uneven distribution of altitude.
It is a critical step to identify the appropriate algorithm to establish AGB estimation models, and the major algorithms include regression and machine learning []. Linear regression has been widely used for AGB estimation due to its simplicity. However, it can only describe the linear relationships between the AGB and predictor variables, and may not provide precise results when dealing with complex data. To address the nonlinear relationships between the AGB and predictor variables, polynomial regression can be used. However, this method still requires empirical hyperparameters or an optimized loss function to reduce the impact of natural deviations in the data. To overcome this limitation, machine learning algorithms, such as Support Vector Regression (SVR), Extreme Gradient Boosting (XGBoost), and random forest regression (RFR) are used for AGB modeling. SVR addresses the issue of linear inseparability, reduces structural risk, and enhances a model’s ability to handle nonlinear data patterns. Additionally, SVR can handle high-dimensional data [,]. XGBoost, on the other hand, is capable of capturing the complex nonlinear relationships between the AGB and multiple predictor variables [,]. Unlike linear regression and polynomial regression, XGBoost does not rely on predefined relationship models but instead automatically uncovers patterns in the data through a tree structure. As a result, XGBoost provides more accurate estimates when dealing with complex ecological data. The RFR algorithm, an extension of traditional decision trees that combines multiple trees [], is efficient at handling large datasets and can rank the importance of the predictor variables [,]. Several studies have shown that RFR provides a higher estimation accuracy and lower error rates than other AGB estimation methods [,,,]. As a result, these algorithms have gained increasing attention in forest modeling, including AGB modeling. More recently, deep learning has been highlighted as a feasible approach for handling complex and large datasets []. However, due to the smaller dataset in the current study, this approach was not considered.
In this study, we compared the performance of various models, including LR, PR, RR, SVR, XGBoost, and RFR, for estimating the AGB of Larix and Betula species in the Chongli region of China, using field and remote sensing data. Our goal was to utilize medium-spatial-resolution, freely available remote sensing data (Landsat 8) to accurately estimate the AGB, and to identify the model with the best performance. While this method has been widely used for AGB estimation of large-scale forests [,], there has been limited research on mid-to-small-scale temperate forest regions. This study focuses on such regions, enabling the estimation of the AGB for the dominant species while improving the accuracy of AGB estimation models compared to those proposed in previous studies. Although previous studies have employed various models for AGB estimation, research focusing on the independent AGB estimation of specific tree species within the same study area, as well as comprehensive comparative analyses of these species, remains relatively scarce [,]. Our study provides a detailed comparison of multiple models and accurately identifies the advantages of random forest regression (RFR) for AGB estimation in this region. We also highlight the performance differences among the models for different AGB value ranges, demonstrating distinct biomass variation trends for an AGB < 40 t/ha and AGB > 70 t/ha. This offers targeted decision-making guidance for model selection in future research. Our study provides the optimal model choice for AGB estimation in this region and offers valuable insights for future AGB estimation studies in areas with similar species (such as Betula platyphylla and Larix gmelinii) and comparable scales. This will contribute positively to the advancement of forest aboveground biomass estimation and has significant implications for the development of this field.
2. Materials and Methods
In this study, the major steps for developing AGB estimation models that are based on remote sensing databases include (1) study area; (2) selection of the variables from Landsat 8; (3) building AGB models with different algorithms; and (4) comparative analysis. The overall methodological process is shown in Figure 1.

Figure 1.
The process of building a remote sensing model for AGB estimation (LR: linear regression; PR: polynomial regression; RR: ridge regression; RFR: random forest regression; SVR: Support Vector Regression; XGBoost: Extreme Gradient Boosting).
2.1. Study Area
The study area is located in Chongli, Zhangjiakou City, Hebei Province, China (40°46′ N–41°17′ N, 114°47′ E–115°33′ E), with an altitude of 813–2174 m. It belongs to the mid- temperate sub-arid zone of the East Asian continental monsoon climate, with an average annual temperature of 3.7 °C. In winter, air movement is active, there are more gale days, and the cold period is longer. In summer, the warm period is short, temperature difference is great, and the rainfall is concentrated. In autumn, the temperature drops rapidly, and the first frost appears earlier. The annual average water volume is 488 mm, and the total amount of precipitation is 1.13 billion cubic meters. There are 80 families of wild plants in Chongli; most are Compositae, Leguminosae, Gramineae, followed by Rosaceae, Ranunculaceae, Lamiaceae, and Polygonaceae. In particular, Larix gmelinii and Betula platyphylla are two strong representatives of regional dominant tree species. The location of study area and sample plots are shown in Figure 2.

Figure 2.
Study area (shaded part; sample plots legend only represents the location, not the acreage).
2.2. Field-Based Data Preparation
The field measurement data for this study came from the third national forest survey sample plots (74 plots). The collection date for the ground sample points was in August 2021. The information includes forest stand features, such as tree species and number of trees, average stand age, stand density, diameter, height, and topographic features (sample plot acreage, slope, slope direction, and altitude). The sample plots are randomly distributed across the forest of Chongli (Figure 2).
First, we set the uniform standard level in each sample plot according to the plot area and average number of trees per plot, which matched the minimum resolution of satellite image (30 m × 30 m). Secondly, we used allometric biomass equations [] to estimate AGB of the species of interest from measured diameter at breast height and full height.
2.3. Selection of Remote Sensing Variables
The remote sensing images we used for extraction of variables were from the Landsat 8 OLI, which were acquired on 13 August 2021. The period for these images was almost the same period as that of field measurements. The remote sensing images consisted of path number 124, row number 31, and cloud cover of 9.1%. A geometric correction, radiometric calibration, and FLAASH atmospheric correction were performed on the images. A vector map of the Chongli study area (Figure 2) was used for cropping to obtain its surface reflection image. The band used in this study was TM1 to TM7, the projection method used was UTM/WGS84, and the projection coordinate was Xi’an 1980.
Since the minimum resolution of the Landsat 8 OLI satellite images is the same as the sample plots size (30 m × 30 m), the pixel gray value at the center point of the plot was extracted from the Landsat images as the remote sensing information for mapping AGB of the sample plot (Figure 3). Due to the limited sample size, we did not partition the data for the two tree species into training and testing sets. Instead, we employed a leave-one-out cross-validation (LOOCV) approach, which was used both to construct the AGB models and to evaluate the accuracy of the models.

Figure 3.
The connection between remote sensing image and AGB.
We selected seven bands (TM1 to TM7) from the images as the basic features, and then combined them to derive seven vegetation indices, as shown in Table 1 and Table 2. This approach allowed us to obtain remote sensing features for 74 sample plots. We analyzed the correlation coefficients between the variables and AGB for the two tree species separately, producing correlation matrices. In these matrices, the closer the absolute value of the correlation is to 1, the stronger the relationship between the stand features and AGB. We trained two separate datasets for Betula platyphylla and Larix gmelinii. Subsequently, we selected the four vegetation indices with the strongest correlations for each tree species: for Larix gmelinii, these were NDVI, DVI, TM4, and TM7, while for Betula platyphylla, they were TM3, TM4, DVI, and NDVI. We then developed AGB models based on these four indices along with other stand characteristics, such as tree age, altitude, and stand density. Initially, we considered the influence of altitude; however, due to the significant presence of artificially planted forests in recent years, this factor interfered with our analysis. As a result, we excluded altitude from the models. The order of the vegetation indices is shown in Figure 4, and the distribution of features and AGB are shown in Figure 5a,b, respectively.

Table 1.
Seven vegetation indices extracted from remote sensing imagery ( is near-infrared band, is red band, and is blue band. The SAVI was set to 0.5).

Table 2.
Seven satellite bands extracted from remote sensing imagery.

Figure 4.
Correlation between vegetation index and AGB (TM1–TM7 are original bands of Landsat 8).

Figure 5.
(a) Distribution of vegetation indices and forest stand features of Betula platyphylla. (b) Distribution of vegetation indices and forest stand features of Larix gmelinii. TM3 is 0.63–0.69 μm for the red band, which is located in the main absorption band of chlorophyll and can be used to distinguish plant types and cover. TM4 is 0.76–0.90 µm, which is the near-infrared band, and this band is located in the highly reflective region of plants, reflecting a large amount of plant information. TM7 is 2.08~2.35 microns, and is the mid-infrared band.
2.4. AGB Modeling Method
We applied both parametric and non-parametric modeling approaches to build the AGB for two tree species. The former approach includes linear regression, nonlinear regression, and ridge regression, while the latter approach includes RFR, SVR, and XGBoost. Some details of these approaches are given below.
2.4.1. Linear Regression
Linear regression uses the mean square error as a loss function to model the relationship between independent and dependent variables. However, in fact, this rule is not always satisfied, especially when using vegetation indices as independent variables in a model. Although we tried to modify the loss function based on the patterns in data, it still did not perform satisfactorily. Our modified loss function is represented by (1).
where is AGB estimation of model, is the parameter of the model, is the AGB value of the sample plot, and N is the number of sample plots.
2.4.2. Polynomial Regression
Polynomial regression in Equation (2) constructs the combined polynomials for the variables on the basis of linear regression. Previous studies have found that polynomial regression better explains the nonlinear relationship between predictor variables and forest AGB. As polynomial degree in the equation increases, it fits the nonlinearity data pattern more effectively. However, an algorithm would over fit with this equation.
2.4.3. Ridge Regression
Even though a polynomial regression could solve the nonlinear problem, its performance in the experiments would not be robust enough, as expected. This is because, as the degree of polynomial increases, the number of parameters in model would grow exponentially. This would undoubtedly make the model more sensitive to small changes in the variables, and any subtle noise would cause the model to react violently, and this model would trend to overfitting. To solve such problems, a ridge regression can be used, which eliminates the interference of abnormality of the model. The principle of ridge regression is to add a regular term to ensure the best fit and make the parameters as simple as possible to enhance the robustness of a model and avoid overfitting problems. In this study, we use cross-validated ridge regression, and the regular term uses a 2-norm to determine the optimal parameters. Its loss function is shown below (3).
In our study, we obtained the best performance when was set to 0.001. This was the optimal parameter value found through cross-validation.
2.4.4. Random Forest Regression
This is one of the non-parametric approaches. In RFR, decision tree regression is used as a weak learner. We trained 10 weak learners simultaneously and integrated them to obtain the final model. For each weak learner in RFR, 60% of the samples were randomly selected, and a subset of features was chosen from all available variables in that sample. During training, we ensured that each sample was selected at least once. Since each weak learner was trained on a randomly selected subset of the overall sample and may have used different features, the weak learners were not completely independent, but their correlation remained minimal. This approach enhanced the overall performance of the model. The mean squared error (MSE) was used as the objective function, which was minimized during the training process. We employed grid search to determine the optimal hyperparameters, selecting 10 regression trees with a maximum depth of 10. This combination provided the best results.
2.4.5. Support Vector Regression
This is one of the non-parametric methods. In SVR, a model is constructed by maximizing the margin between data points. During the training process, the Radial Basis Function (RBF) kernel was chosen due to its ability to effectively capture nonlinear relationships within the data. The key parameters, namely the penalty parameter C and the margin of error epsilon, were optimized, with C set to 100 and epsilon set to 0.1. Additionally, the gamma parameter was optimized through a grid search. The mean squared error (MSE) was employed as the objective function, and cross-validation was utilized to minimize this error during the training process.
2.4.6. Extreme Gradient Boosting
This is a non-parametric approach. In XGBoost, a model is constructed by integrating multiple weak learners (decision tree regressors) to form the final predictive model. XGBoost adopts a gradient-boosting strategy, where each tree is progressively refined based on the previous one. The loss function is computed using mean squared error (MSE), and in each iteration, XGBoost incrementally adjusts the weight of each tree while optimizing its structure and parameters through gradient descent. During training, we selected the optimal set of parameters through cross-validation, utilizing a total of 100 regression trees with a maximum depth of 10.
3. Results
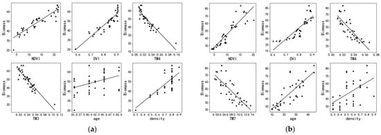
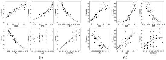
The species distribution area in this study is shown in Figure 6a; regarding the estimated biomass of the two dominant species, Betula platyphylla is displayed in Figure 6b, while the biomass of Larix gmelinii is shown in Figure 6c. We obtained the linear relationship between TM3, TM4, NDVI, DVI, AGE, density, and the AGB for Betula platyphylla (Figure 7a). The relationship between the AGB and TM3 and TM4 were linear, and that between the AGB and the DVI and NDVI were linear to some extent. And, for Larix gmelinii, we obtained the linear relationship between TM4, TM7, NDVI, DVI, AGE, density, and biomass (Figure 7b, Table 3). The ridge regression of each feature and biomass is shown in Figure 8a,b.

Figure 6.
(a) The specific locations of Betula platyphylla and Larix gmelinii in Chongli in China (map sourced from GS (2019) 3333). (b) Remote sensing inversion map of Betula platyphylla biomass in the Chongli area; (c) remote sensing inversion map of Larix gmelinii biomass in the Chongli area.

Figure 7.
(a) Linear regression of each feature and biomass for Betula platyphylla; (b) linear regression of each feature and biomass for Larix gmelinii.

Table 3.
AGB linear regression models (density is stand density).

Figure 8.
(a) Ridge regression of each feature and biomass for Betula platyphylla; (b) ridge regression of each feature and biomass for Larix gmelinii.
The relationship between the degree and performance of the polynomial regression is shown in Figure 9. It shows that as the degree of the polynomial increases, the accuracy declines. The performance of all six models on the sample plots used for model testing is shown in Figure 10.

Figure 9.
The connection between the degree of the polynomial and its performance.

Figure 10.
(a) The testing of each model on Betula platyphylla; (b) the testing of each model on Larix gmelinii (the test plot stands for the data from the sample plots used for testing the AGB model).
Under the polynomial regression model, the AGB had a nonlinear relationship with the NDVI and DVI, and the effect of their fitting was more improved compared to the linear model. However, for the polynomial model with the mixed features, its performance was not as accurate as the linear model. The performance of both the SVR and XGBoost models was not sufficiently accurate, with only the RFR model outperforming the other regression models. The feature importance scores of the variables used in the RFR model are shown in Figure 11. The results of the model comparisons are shown in Table 4.

Figure 11.
(a) RFR model’s feature importance scores for Betula platyphylla; (b) RFR model’s feature importance scores for Larix gmelinii.

Table 4.
Statistical indicators for AGB estimation models.
When the NDVI index was <15, the relationship between this index and the AGB was linear, and when the NDVI was >15, the AGB fluctuated around 70 t/ha. For a DVI < 0.75, the AGB increased slowly with the increase in the index; however, when the DVI index was >0.75, the AGB increased faster. In addition, due to the influence of planted forests, the altitude showed no significant correlation between each feature and the AGB.
4. Discussion
4.1. Selection of Predictor Variables
In addition to the remote sensing-based vegetation indices (Figure 4), we can also use many other variables for the AGB estimation, such as the textures and transformations of the remote sensing images and surface temperature [,]. These variables can be extracted at the pixel level or from the Gray Level Co-occurrence Matrix (GLCM), but each method has its limitations. The role of the GLCM moments in AGB modeling depends on the complexity of the forest structures, as the GLCM moments corresponding to the sample plots can be affected by large plot areas []. Therefore, these variables do not contribute significantly or effectively to enhancing the performance of AGB modeling. Lu D indicated that the SWIR bands (Landsat TM5 and TM7) play a more important role than the visible and NIR bands []. Although TM5 performs poorly in our study, the performance of TM7 for Larix gmelinii’s AGB estimation is consistent with this conclusion. TM3 and TM4 might have higher correlations than the other bands, which may be due to the low rainfall in this mid-temperate sub-arid region and the color characteristic of Betula platyphylla; therefore, the visible-light bands can penetrate the atmosphere well and be clearly reflected onto the remote sensing images. These variables can not only be extracted at the pixel level but also from the moments of the GLCM, which is widely used in AGB estimation.
4.2. Selection of Algorithms
Linear regression (LR) is commonly used for AGB modeling, and our study indicates its strong performance, particularly when the AGB falls within the range of 40–120 mg/ha. Lu et al. [] suggested that not all machine learning and non-parametric algorithms outperform LR in terms of their AGB estimation accuracy; however, they may offer advantages for data selection. This is because the sample plot requirements (e.g., the number of sample plots and data range) for these algorithms are often more stringent than for LR. In our study, the relationship between the AGB and the predictor variables used in the regression is nonlinear. This is particularly evident for variables like the NDVI and DVI (Figure 6 and Figure 7), where the linear regression outperforms the other nonlinear models. As the degree of polynomiality increases, model performance deteriorates, except for the RFR, as shown in Figure 8. Several factors could explain this result: (1) The nonlinear models lack sufficient data, with only 74 sample plots available for analysis, and not all the potential data patterns may be represented; (2) the interference from the planted forests, whose stand structures are often more uniform and may have been planted at the same time, could distort the models when mixed with natural forests; and (3) algorithm incompatibility, as two distinct trends in the AGB emerge when its value reaches 40 t/ha and 70 t/ha. Within this range, a linear relationship is evident; however, as the polynomial degree increases, models, such as polynomial regression (PR) and ridge regression, (RR) become unstable, and their objective functions fail to converge properly. Compared to AGB estimations in other regions of the globe, the AGB estimation model for northern forests in [] achieved a model accuracy of 0.75. The AGB estimation model in [] had an accuracy range of 0.55–0.81, while in [], the accuracy ranged from 0.46 to 0.64. The AGB estimation model in this study outperforms the results from the aforementioned studies.
In contrast to the regression methods mentioned above, the RFR algorithm is an ensemble technique that combines multiple decision tree models. The training of each decision tree in RFR is based on randomly selected subsets of the sample data. As a result, RFR tends to give more weight to a small number of outliers, potentially amplifying their influence. When outliers are present in the training data, RFR is better equipped to distinguish this small subset from the rest of the data, rather than treating it as an anomaly and simply smoothing it out. This ability to handle outliers may explain why the RFR model outperforms all the other methods in this study.
4.3. Future Work
We found that no single algorithm was optimal for estimating the AGB for any forest type. The main reason for this is the large differences in forests and their sample plots characteristics (e.g., species of trees, latitude, climate, topography, air composition, number of plots, and data range). Therefore, it is important to develop species-specific AGB models for different forest types. However, this situation produces a big challenge for AGB modeling, because of the requirement of data from a number of sample plots and the transfer of AGB models to larger forest areas. Our study confirmed the value in improving AGB modeling using RFR for a small sample dataset of forests in the temperate regions of northern China; however, this model needs the same type of forest plots. The use of other databases, such as airborne lidar and space-borne stereo images and any high spatial resolution images, could also improve the accuracy of AGB estimation. Therefore, further study should focus on integrating multiple databases and additional stand features according to the characteristics of different forests.
Additionally, the relationships between the forest stand structure and remote sensing data could also be explored. Once sufficient data are collected, remote sensing data could be used not only for AGB modeling but also for assessing the stand structure and other forest characteristics. Several other forest indicators, which have important implications for the economy, forest health, and climate research in North China, should also be considered in AGB modeling. In future work, we plan to expand the coverage of the sample plots, collect additional data, and analyze more feature combinations, all of which will contribute to improving the accuracy and robustness of the models.
5. Conclusions
This study developed AGB models using both parametric and non-parametric algorithms based on Landsat 8 data and forest stand features. The results show the following: (1) Incorporating appropriate forest stand features, in addition to remote sensing vegetation indices, can significantly improve the accuracy of AGB models. (2) Among the original bands of Landsat 8, TM4 and TM7 were more sensitive to Larix gmelinii, while TM4 and TM3 were more sensitive to Betula platyphylla. (3) Linear regression (LR) remained accurate for AGB estimation only within the range of 40–70 t/ha; however, the polynomial regression (PR) and ridge regression (RR) algorithms had a limited impact on improving the AGB estimation accuracy, with the model accuracy decreasing as the complexity of the polynomial structure increased. The AGB estimation accuracy using the SVR and XGBoost algorithms showed some improvement; however, when compared to RFR, the performance of RFR was superior, outperforming the other methods. (4) Elevation had a minimal effect on the AGB estimation, while other forest stand features, such as age and density, were strongly correlated with the AGB and remote sensing data. (5) Greater attention should be given to the relatively low (<40 t/ha) and high (>70 t/ha) AGB values in the study area, as these two points exhibit a distinct trend in biomass change. (6) Future studies could consider additional features, such as forest canopy height, and utilize spaceborne laser altimeter data, such as ICESat-2/ATLAS and GEDI data, for enhanced modeling.
Author Contributions
Conceptualization, J.L., C.S. and Y.D.; methodology, C.S.; software, Z.L. and T.L.; validation, C.S., Y.D. and Z.L.; formal analysis, C.S.; investigation, Y.D.; resources, C.S., Z.L. and T.L.; data curation, C.S. and T.L.; writing—original draft preparation, Y.D., C.S. and J.L.; writing—review and editing, C.S., Z.L., Y.D., T.L. and J.L.; visualization, C.S and Z.L.; supervision, J.L.; project administration, J.L.; funding acquisition, J.L. All authors have read and agreed to the published version of the manuscript.
Funding
This research was funded by the National Program on Key Research during the Fourteenth Five-year Plan Period (2022YFD2200505); and the Hunan Provincial Natural Science Foundation, Dongting Lake Forest Structure and Ecosystem Service Scale Correlation and Optimization Model (2022JJ31000).
Data Availability Statement
The datasets used and/or analyzed during the current study are available from the corresponding author upon reasonable request.
Acknowledgments
Special thanks go to Guoxiong Zhou from Central South University of Forestry and Technology for their guidance in writing this thesis.
Conflicts of Interest
The authors declare no conflicts of interest.
References
- Pan, Y.; Birdsey, R.A.; Phillips, O.L.; Houghton, R.A.; Fang, J.; Kauppi, P.E.; Keith, H.; Kurz, W.A.; Ito, A.; Lewis, S.L.; et al. The Enduring World Forest Carbon Sink. Nature 2024, 631, 563–569. [Google Scholar] [CrossRef] [PubMed]
- Gonzalez-Jaramillo, V.; Fries, A.; Bendix, J. AGB Estimation in a Tropical Mountain Forest (TMF) by Means of RGB and Multispectral Images Using an Unmanned Aerial Vehicle (UAV). Remote Sens. 2019, 11, 1413. [Google Scholar] [CrossRef]
- Liu, Q.; Yang, L.; Liu, Q.; Li, J. Review of Forest above Ground Biomass Inversion Methods Based on Remote Sensing Technology. J. Remote Sens. 2015, 19, 62–74. [Google Scholar]
- Lu, D.; Chen, Q.; Wang, G.; Liu, L.; Li, G.; Moran, E. A Survey of Remote Sensing-Based Aboveground Biomass Estimation Methods in Forest Ecosystems. Int. J. Digit. Earth 2016, 9, 63–105. [Google Scholar] [CrossRef]
- Duan, Z.; Zhao, D.; Zeng, Y.; Zhao, Y.; Wu, B.; Zhu, J. Estimation of the Forest Aboveground Biomass at Regional Scale Based on Remote Sensing. Geomat. Inf. Sci. Wuhan Univ. 2015, 40, 1400–1408. [Google Scholar]
- Hu, T.; Zhang, Y.; Su, Y.; Zheng, Y.; Lin, G.; Guo, Q. Mapping the Global Mangrove Forest Aboveground Biomass Using Multisource Remote Sensing Data. Remote Sens. 2020, 12, 1690. [Google Scholar] [CrossRef]
- Li, D.; Wang, C.; Hu, Y.; Liu, S. General Review on Remote Sensing-Based Biomass Estimation. Geomat. Inf. Sci. Wuhan Univ. 2012, 37, 631–635. [Google Scholar]
- Xu, T.; Cao, L.; Shen, X.; She, G. Estimates of Subtropical Forest Biomass Based on Airborne LiDAR and Landsat 8 OLI Data. Chin. J. Plant Ecol. 2015, 39, 309–321. [Google Scholar]
- Eckert, S. Improved Forest Biomass and Carbon Estimations Using Texture Measures from WorldView-2 Satellite Data. Remote Sens. 2012, 4, 810–829. [Google Scholar] [CrossRef]
- Tebaldini, S.; Rocca, F. Multibaseline Polarimetric SAR Tomography of a Boreal Forest at P- and L-Bands. IEEE Trans. Geosci. Remote Sens. 2012, 50, 232–246. [Google Scholar] [CrossRef]
- Meng, Q.; Zhang, L.; Xie, Q.; Yao, S.; Chen, X.; Zhang, Y. Combined Use of GF-3 and Landsat-8 Satellite Data for Soil Moisture Retrieval over Agricultural Areas Using Artificial Neural Network. Adv. Meteorol. 2018, 2018, 9315132. [Google Scholar] [CrossRef]
- Liu, K.; Wang, J.; Zeng, W.; Song, J. Comparison and Evaluation of Three Methods for Estimating Forest above Ground Biomass Using TM and GLAS Data. Remote Sens. 2017, 9, 341. [Google Scholar] [CrossRef]
- Lu, D. Aboveground Biomass Estimation Using Landsat TM Data in the Brazilian Amazon. Int. J. Remote Sens. 2005, 26, 2509–2525. [Google Scholar] [CrossRef]
- Lu, D.; Batistella, M. Exploring TM Image Texture and Its Relationships with Biomass Estimation in Rondônia, Brazilian Amazon. Acta Amaz. 2005, 35, 249–257. [Google Scholar] [CrossRef]
- Zhao, P.; Lu, D.; Wang, G.; Liu, L.; Li, D.; Zhu, J.; Yu, S. Forest Aboveground Biomass Estimation in Zhejiang Province Using the Integration of Landsat TM and ALOS PALSAR Data. Int. J. Appl. Earth Obs. Geoinf. 2016, 53, 1–15. [Google Scholar] [CrossRef]
- Jiang, F.; Kutia, M.; Ma, K.; Chen, S.; Long, J.; Sun, H. Estimating the Aboveground Biomass of Coniferous Forest in Northeast China Using Spectral Variables, Land Surface Temperature and Soil Moisture. Sci. Total Environ. 2021, 785, 147335. [Google Scholar] [CrossRef]
- Zhai, Y.; Wang, L.; Yao, Y.; Jia, J.; Li, R.; Ren, Z.; He, X.; Ye, Z.; Zhang, X.; Chen, Y.; et al. Spatially Continuous Estimation of Urban Forest Aboveground Biomass with UAV-LiDAR and Multispectral Scanning: An Allometric Model of Forest Structural Diversity. Agric. For. Meteorol. 2025, 360, 110301. [Google Scholar] [CrossRef]
- Zhang, Y.; He, B.; Chen, R.; Zhang, H.; Fan, C.; Yin, J.; Li, Y. The Potential of Optical and SAR Time-Series Data for the Improvement of Aboveground Biomass Carbon Estimation in Southwestern China’s Evergreen Coniferous Forests. GISci. Remote Sens. 2024, 61, 2345438. [Google Scholar] [CrossRef]
- Liu, X.; Dong, L.; Li, S.; Li, Z.; Wang, Y.; Mao, Z.; Deng, L. Improving AGB Estimations by Integrating Tree Height and Crown Radius from Multisource Remote Sensing. PLoS ONE 2024, 19, e0311642. [Google Scholar] [CrossRef]
- Adimoolam, Y.K.; Pillai, N.D.; Lakshmanan, G.; Mishra, D.; Dadhwal, V.K. Estimation of above Ground Biomass of Mangrove Forest Plot Using Terrestrial Laser Scanner. Egypt. J. Remote Sens. Space Sci. 2025, 28, 1–11. [Google Scholar] [CrossRef]
- Gleason, C.J.; Im, J. Forest Biomass Estimation from Airborne LiDAR Data Using Machine Learning Approaches. Remote Sens. Environ. 2012, 125, 80–91. [Google Scholar] [CrossRef]
- Zhang, J.; Huang, S.; Hogg, E.H.; Lieffers, V.; Qin, Y.; He, F. Estimating Spatial Variation in Alberta Forest Biomass from a Combination of Forest Inventory and Remote Sensing Data. Biogeosciences 2014, 11, 2793–2808. [Google Scholar] [CrossRef]
- Breiman, L. Random Forests. Mach. Learn. 2001, 45, 5–32. [Google Scholar] [CrossRef]
- Zhu, H.; Liu, H.; Zhou, Q.; Cui, A. A XGBoost-Based Downscaling-Calibration Scheme for Extreme Precipitation Events. IEEE Trans. Geosci. Remote Sens. 2023, 61, 4103512. [Google Scholar] [CrossRef]
- Xiong, X.; Guo, X.; Zeng, P.; Zou, R.; Wang, X. A Short-Term Wind Power Forecast Method via XGBoost Hyper-Parameters Optimization. Front. Energy Res. 2022, 10, 905155. [Google Scholar] [CrossRef]
- Belgiu, M.; Dragut, L. Random Forest in Remote Sensing: A Review of Applications and Future Directions. ISPRS-J. Photogramm. Remote Sens. 2016, 114, 24–31. [Google Scholar] [CrossRef]
- Houghton, R.A.; Butman, D.; Bunn, A.G.; Krankina, O.N.; Schlesinger, P.; Stone, T.A. Mapping Russian Forest Biomass with Data from Satellites and Forest Inventories. Environ. Res. Lett. 2007, 2, 045032. [Google Scholar] [CrossRef]
- Ahmed, O.S.; Franklin, S.E.; Wulder, M.A.; White, J.C. Characterizing Stand-Level Forest Canopy Cover and Height Using Landsat Time Series, Samples of Airborne LiDAR, and the Random Forest Algorithm. ISPRS J. Photogramm. Remote Sens. 2015, 101, 89–101. [Google Scholar] [CrossRef]
- Baccini, A.; Friedl, M.A.; Woodcock, C.E.; Warbington, R. Forest Biomass Estimation over Regional Scales Using Multisource Data. Geophys. Res. Lett. 2004, 31, L10501. [Google Scholar] [CrossRef]
- Jiang, X.; Li, G.; Lu, D.; Chen, E.; Wei, X. Stratification-Based Forest Aboveground Biomass Estimation in a Subtropical Region Using Airborne Lidar Data. Remote Sens. 2020, 12, 1101. [Google Scholar] [CrossRef]
- Cartus, O.; Santoro, M.; Wegmüller, U.; Rommen, B. Benchmarking the Retrieval of Biomass in Boreal Forests Using P-Band SAR Backscatter with Multi-Temporal C- and L-Band Observations. Remote Sens. 2019, 11, 1695. [Google Scholar] [CrossRef]
- Liu, P.; Ren, C.; Yang, X.; Wang, Z.; Jia, M.; Zhao, C.; Yu, W.; Ren, H. Combining Sentinel-2 and Diverse Environmental Data Largely Improved Aboveground Biomass Estimation in China’s Boreal Forests. Sci. Rep. 2024, 14, 27528. Available online: https://link.springer.com/article/10.1038/s41598-024-78615-9?fromPaywallRec=false (accessed on 22 January 2025). [CrossRef]
- Fu, L.; Sun, W.; Wang, G. A Climate-Sensitive Aboveground Biomass Model for Three Larch Species in Northeastern and Northern China. Trees 2017, 31, 557–573. Available online: https://link.springer.com/article/10.1007/s00468-016-1490-6 (accessed on 22 January 2025). [CrossRef]
- Wittke, S.; Yu, X.; Karjalainen, M.; Hyyppä, J.; Puttonen, E. Comparison of Two-Dimensional Multitemporal Sentinel-2 Data with Three-Dimensional Remote Sensing Data Sources for Forest Inventory Parameter Estimation over a Boreal Forest. Int. J. Appl. Earth Obs. Geoinf. 2019, 76, 167–178. Available online: https://www.sciencedirect.com/science/article/pii/S0303243418309462?via%3Dihub (accessed on 22 January 2025). [CrossRef]
- Zianis, D.; Muukkonen, P.; Mäkipää, R.; Mencuccini, M. Biomass and Stem Volume Equations for Tree Species in Europe. Silva Fenn. Monogr. 2005, 2005, 1–63. [Google Scholar] [CrossRef]
- Xu, L.Y.; Xie, X.D.; Li, S. Correlation Analysis of the Urban Heat Island Effect and the Spatial and Temporal Distribution of Atmospheric Particulates Using TM Images in Beijing. Environ. Pollut. 2013, 178, 102–114. [Google Scholar] [CrossRef]
- Gu, Y.; Wylie, B.K.; Howard, D.M.; Phuyal, K.P.; Ji, L. NDVI Saturation Adjustment: A New Approach for Improving Cropland Performance Estimates in the Greater Platte River Basin, USA. Ecol. Indic. 2013, 30, 1–6. [Google Scholar] [CrossRef]
- Haboudane, D.; Miller, J.R.; Pattey, E.; Zarco-Tejada, P.J.; Strachan, I.B. Hyperspectral Vegetation Indices and Novel Algorithms for Predicting Green LAI of Crop Canopies: Modeling and Validation in the Context of Precision Agriculture. Remote Sens. Environ. 2004, 90, 337–352. [Google Scholar] [CrossRef]
- Fang, G.; Yu, H.; Fang, L.; Zheng, X. Synergistic Use of Sentinel-1 and Sentinel-2 Based on Different Preprocessing for Predicting Forest Aboveground Biomass. Forests 2023, 14, 1615. [Google Scholar] [CrossRef]
- Ren, H.; Feng, G. Are Soil-Adjusted Vegetation Indices Better than Soil-Unadjusted Vegetation Indices for above-Ground Green Biomass Estimation in Arid and Semi-Arid Grasslands? Grass Forage Sci. 2015, 70, 611–619. [Google Scholar] [CrossRef]
- Lin, W.-P.; Huang, J.-F.; Hu, X.-M.; Zhao, M. Crop Yield Forecast Based on Modis Temperature-Vegetation Angel Index. J. Infrared Millim. Waves 2010, 29, 476–480. [Google Scholar]
- Chrysafis, I.; Mallinis, G.; Gitas, I.; Tsakiri-Strati, M. Estimating Mediterranean Forest Parameters Using Multi Seasonal Landsat 8 OLI Imagery and an Ensemble Learning Method. Remote Sens. Environ. 2017, 199, 154–166. [Google Scholar] [CrossRef]
- Lu, D.S.; Mausel, P.; Brondízio, E.; Moran, E. Relationships between Forest Stand Parameters and Landsat TM Spectral Responses in the Brazilian Amazon Basin. For. Ecol. Manag. 2004, 198, 149–167. [Google Scholar] [CrossRef]
Disclaimer/Publisher’s Note: The statements, opinions and data contained in all publications are solely those of the individual author(s) and contributor(s) and not of MDPI and/or the editor(s). MDPI and/or the editor(s) disclaim responsibility for any injury to people or property resulting from any ideas, methods, instructions or products referred to in the content. |
© 2025 by the authors. Licensee MDPI, Basel, Switzerland. This article is an open access article distributed under the terms and conditions of the Creative Commons Attribution (CC BY) license (https://creativecommons.org/licenses/by/4.0/).