You are currently viewing a new version of our website. To view the old version click .
Forests
  • Article
  • Open Access

10 August 2024

Germplasm Resource Status and Seed Adaptability of Nypa fruticans Wurmb, an Endangered Species in China

,
,
,
,
and
1
Hainan Academy of Forestry (Hainan Academy of Mangrove), Haikou 571100, China
2
School of Ecology, Hainan University, Haikou 570228, China
*
Author to whom correspondence should be addressed.
This article belongs to the Section Forest Ecophysiology and Biology

Abstract

Nypa fruticans, commonly known as the Nipa palm, belongs to the true mangrove plants of the Arecaceae family. In China, it is naturally distributed only on Hainan Island and designated as a second-class National Key Protected Wild Plants List. Field research and indoor simulation experiments were systematically employed to study the resource status of N. fruticans and the adaptation of seed germination to environmental factors. The results showed that: (1) Four natural populations of N. fruticans, approximately 9319 trees within a total area of 3.96 hm2, were distributed in Haikou, Wenchang, Qionghai, and Wanning on Hainan Island. Only the Wanning population was developed in small patches, while other populations were scattered sporadically. (2) A total of 23 mangrove species belonged to 19 genera in 13 families, which were recorded in all study sites, of which 18 were true mangroves and 5 were semi-mangrove species. The vertical structures of 4 N. fruticans communities exhibited the consistent pattern, characterized by distinct layers including the tree, shrub, and herb layers. However, notable differences in species composition and dominant species were observed among the layers of each community. (3) The population dynamics of N. fruticans in Haikou, Qionghai, and Wanning were declining, while the population in Wenchang was growing. (4) Seed germination of N. fruticans was not resistant to strong light and required some shade treatment with an optimal light intensity of 60%. The suitable salinity range for seed germination was 0‰ to 10‰. With the increase of salinity, the germination rate and seedling rate showed an increasing and then decreasing trend with maximum values of 63.3% and 50.0% at 5‰, which showed the sensitivity of seed germination to salinity, with low salinity promoting germination whereas high salinity inhibiting germination. Around 8 h/d of flooding time was most suitable for the seed germination, and 10 h/d was a critical flooding time. This study provides a theoretical basis for population recovery, resource utilization, and other further research of N. fruticans.

1. Introduction

East Asia harbors relatively abundant monotypic plant species from the Paleogene, Neogene, and even the Cretaceous period [1]. Currently, some of these genera have been reduced to single species with small wild populations and are distributed in specific habitats in China [2], such as Thuja sutchuenensis Franch [3], Taiwania cryptomerioides Hayata [4], Cathaya argyrophylla Chun and Kuang [5], and Nypa fruticans Wurmb [6], and other plants [7]. Habitat loss, degradation, overexploitation, environmental pollution, and global climate change are the main causes for the decline of wild plants in China [8]. In the past 50 years, at least 200 species have become extinct and about 5000 plant species were threatened, so biodiversity conservation has become a national strategy [9]. Therefore, a detailed understanding of the resource status, population structure, and endangerment factors of endangered plants is a prerequisite for implementing effective protection and management strategies for the species and their habitats.
In accordance with variations in their capacity for environmental adaptation and the distribution range, mangrove plants can be divided into two major groups (true mangroves and semi-mangroves) [10]. The former refers to mangrove plants that live only in intertidal sea-flooded areas, while the latter can live in both sea-flooded and inland areas [11]. N. fruticans is a true mangrove plant of the genus Nypa in the Arecaceae family, growing in estuaries and bays with low salinity where tides and fresh water meet, which is an important part of the mangroves in East Asia [12,13]. N. fruticans not only has the ecological value of preventing wind and embankment and air purifying, but also has the economic value of manufacturing various condiments, building houses, weaving clothing, and other handicrafts [14,15]. Simultaneously, N. fruticans is a relict plant and has important scientific value in tropical flora, paleontology, marine geoarchaeology, and paleobotany [16]. Fossil evidence showed that the original distribution of N. fruticans extended from Asia to Europe, Africa, and the United States [17]. In recent years, due to the impact of climate and human activities, its natural population has been on the verge of extinction, and its natural distribution range is currently limited to the paleotropics [18,19]. Previous research showed that the N. fruticans population range was large and exhibited invasiveness in West and Central Africa [13] and the Philippines [20]. However, in Singapore [21] and Bangladesh [22], the population size was small and endangered. In China, N. fruticans is naturally distributed only in Hainan Island [23]. However, their distribution characteristics, population structure, and development trend are not clear up to now.
Seed germination is a key stage in the plant life cycle, which is highly susceptible to biotic and abiotic factors, and natural regeneration disorders are most likely to occur [24,25]. Vivipary in plants refers to a phenomenon that sexually reproduced offspring germinate while still attached to the maternal bodies. This is mostly manifested in mangrove plants [26]. Viviparous propagules of mangrove plants are stressed by unfavorable factors such as high salinity, flooding, shading, and biological interference in intertidal zones, and the dual stress of high salinity and seawater flooding is the main problem faced by viviparous seedlings of mangrove plants after release [27]. Almost all studies have confirmed that the growth of mangrove plants was inhibited by high salinity and promoted by low salt ion concentration, and both viviparous and non-viviparous mangrove plant propagules prefer low-salt environments. However, the germination of viviparous propagules requires a certain amount of salinity, and some mangrove propagules cannot grow normally in fresh water [26]. Viviparous propagules can tolerate the hypoxic conditions of long-term submersion to grow and develop into seedlings, and appropriate tidal inundation can promote the growth of propagules to a certain extent [28]. A large number of afforestation practices have shown that flooding time is a key limiting factor affecting the success of mangrove afforestation [29,30]. Moreover, given the continuing fluctuation of salinity levels along with pH values in seawater bodies coupling with diverse adaptive features across different species, such as varied root systems or leaf structures, further complicates how mangroves respond within tidal contexts [28].
Light plays a crucial role in the colonization of propagules. The epidermis of viviparous propagules contains chlorophyll, which is capable of photosynthesis, providing energy for early growth and promoting rhizome growth [31]. Studies have shown that chlorophyll-deficient propagules exhibiting albino properties due to lack of pigment are unable to photosynthesize and can only survive for several months until they run out of energy. Propagules respond differently to various light intensities. Propagules enhance light absorption by expanding leaf area and chlorophyll content under low light conditions, while they reflect conversely under strong light conditions, and moderate light is beneficial to carbon sequestration [32]. However, there are some exceptions, such as the narrowly distributed Pelliciera rhizophorae Planch. and Triana, thrives in shade conditions and does not grow well when exposed to light, which enriches the generally accepted notion that mangrove plants are not shade-tolerant [33]. In addition, the growth advantage of Avicennia marina (Forssk.) Vierh stem is more obvious under dark ambient conditions, but the stems produced are slender and fragile, the mechanical organization is underdeveloped, and the adaptability to the complex intertidal zone is weakened [34]. Therefore, it is easy to understand that the propagules seedlings at the forest gap grow more rapidly and strongly.
N. fruticans is cryptovivipary, of which the germination rates of propagules (seeds) under natural and greenhouse conditions are only 1.85% and 16.6%, respectively [14]. Through the preliminary investigation, very few seedlings under the N. fruticans forest were found in China, indicating that there was serious seedling regeneration restriction. However, the potential causes for this phenomenon are not clear. At present, there are few studies on the adaptability of N. fruticans propagules, so it is necessary to obtain their responses to environmental factors such as light, salinity, and flooding time through single-factor gradient experiments, which will provide basic data for the in-depth study of their environmental adaptation mechanisms.
Based on this, we conducted this study through field surveys and indoor simulation experiments, aiming to clarify: (i) the geographical distribution and resource status of N. fruticans; (ii) the community characteristics and population structure of N. fruticans; and (iii) to explore the impact of different environmental factors (light intensity, salinity, and flooding time) on propagules (seeds) germination of N. fruticans. The results will provide reference for the protection and utilization of endangered mangrove plants.

2. Materials and Methods

2.1. Overview of the Study Area

Hainan Island is located at 19°20′ N–20°10′ N, 108°21′ E–111°03′ E, which is on the northern edge of the tropics, featuring a tropical monsoon climate with obvious dry and wet seasons. The annual average temperature is 22–26 °C, with southwest high and central mountainous areas low. The average annual precipitation is 1500–2000 mm; however, there is a significant difference between the humid east and the dry west due to the influence of the central mountains. Hainan province is the center of mangrove distribution in China, where there is a rich variety of mangrove plants and the most complete mangrove ecosystem, including 38 species of mangrove plants recorded, of which 26 species are true mangrove and 12 species are semi-mangrove plants [35].

2.2. Methods

2.2.1. Resource Survey

(1)
Sample Plot Setting and Investigation
Through a comprehensive review of literature and in-depth interviews, we have acquired valuable insights into the historical distribution and potential distribution sites of N. fruticans (Haikou, Wenchang, Qionghai, and Wanning). A systematic survey was conducted to assess the current resource status of N. fruticans with the aim of determining its current geographic distribution and quantitative characteristics from April to August 2021. According to the typical sampling approach [36], we established 47 plots measuring 10 m × 10 m within the distribution area. Detailed measurements were taken for: (1) woody species with a diameter ≥3 cm, including species name, diameter at breast height (DBH), tree height, and crown width; (2) shrub species, including number of individuals, height, and coverage; and (3) herbaceous plant species, including species richness, coverage, and abundance.
(2)
Parameter Analysis of Community Characteristics
Relative abundance, relative frequency, relative dominance index, and importance value, which reflect the significance of each population in mangrove communities, were conducted. In this study, abundance refers to the number of individuals counted within a plot for a particular species; frequency indicates how often a specific species appears across all plots; dominance represents basal area at breast height; and coverage denotes vertical projection area occupied by aboveground parts as percentage cover. The importance value for woody plants is calculated as average values from relative abundance, relative frequency, and relative dominance index. For shrubs or herbaceous plants, it is calculated using average values from relative abundance, relative frequency, and coverage [37].
Although the diameter class of plants cannot directly characterize the age class of population, the response patterns of age class and size class to the environment are somewhat consistent under similar habitat conditions. As a result, most scholars have used diameter class instead of age class to analyze the structural and dynamic characteristics of population when it is difficult to accurately obtain the age of population [38]. N. fruticans is a clumping evergreen shrub plant; the common diameter at breast height cannot be used as a standard to divide the diameter structure. Therefore, we employed the method by Rozainah and Aslezaeim [14] to divide the population into 4 diameter classes using the number of pinnate leaves (N) of N. fruticans: Class I (seedling stage, 0 ≤ N < 4), Grade II (juvenile stage, 4 ≤ N < 8), Grade III (adult stage, 8 ≤ N < 15), and Grade IV (mature stage, 15 ≤ N). The number of individuals in each diameter grade was statistically tabulated. A bar chart depicting diameter structure was plotted with diameter grades as the x-axis and the number of individuals per grade as the y-axis.

2.2.2. Indoor Simulation Experiments

(1)
Experimental Design
Six hundred and ninety full and pest-free N. fruticans seeds were randomly selected from the Wanning population and inserted into culture bags filled with sandy soil. The experiments were designed based on a literature review and prior research [39]. Four light intensity treatment groups, eight salinity treatment groups, and eleven flooding treatment groups were designed, and three single-factor experiments were established separately (Table 1). 4 light intensity treatments were adjusted using shade nets (Lvandi, Greenland Shade Co., Taizhou, China) with different shading effects. Tap water mixed with sun-dried coarse salt was used to prepare artificial seawater at different salinity levels. Salinity was checked and adjusted weekly using a salinometer (AZ-8371, Taiwan Hengxin, Shenzhen, China, Measurement range 0–70‰ and overall accuracy ±1%). Sea salt or tap water supplements were added promptly when necessary. The sun-dried salt was purchased from Sanjiang Saltwork, located in Meilan District, Haikou City. The experimental system utilized an automatic tidal simulation tank device comprising a left tank (cultivation tank) and a right tank (water storage tank). A small water pump (Sensen HQB-2000, Samson Group Co., Zhoushan, China, rated power: 24 W, pump head: 1.8 m, and pump flow: 1400 L/h) was employed to complete daily cycles involving watering and drainage (Table 2). Every treatment involved handling ten seeds with three repeats. The experiment was conducted from March 2022 to June 2022, and the test site was located in the mangrove nursery base of Hainan Academy of Forestry (Hainan Academy of Mangrove).
Table 1. Experimental design for the germination of N. fruticans seeds.
Table 2. Time of injection and discharge water per day.
(2)
Parameter Measurements
According to the research methods developed by Mo et al. [40,41], eight indices were selected to measure seed germination characteristics: initial germination time (IGT), duration of germination (DG), germination percentage (GP), initial emergence time (IET), duration of emergence (DE), emergence percentage (EP), plant height (PH), and leaf number (LN). The criterion for germination is the protrusion of the terminal bud from the pericarp, and the absence of germination of the embryonic axis for 5 consecutive days marks the end of the germination experiment. Meanwhile, the criterion for seedling emergence means the emergence of the first pair of leaves from the terminal bud, and the absence of seedling emergence for 5 consecutive days marked the end of the seedling emergence experiment. IGT indicates the length of time from the beginning of the germination test to the first germination event; IET represents the length of time from the beginning of the germination test to the first seeding emergence; DG denotes the length of time from the first germination event to the end of the germination test; and DE is the length of time from the first seedling emergence to the end of the seedling emergence test. The germination percentage (GP) and emergence percentage (EP) are calculated as follows: GP = (Ga × 100)/Gn; EP = (Ns × 100)/Gn. In the above formula, Ga is the number of germinated N. fruticans seeds; Gn is the number of N. fruticans seeds tested; and Ns is the final surviving number of N. fruticans seedlings.

2.3. Data Statistics and Analysis

In the germination experiment, the mean and standard error (SE) of three replicates were calculated. Data on all measurement indicators were analyzed for the differences among different treatments by using one-way ANOVAs. If the difference was significant at p < 0.05, a Duncan test was employed to determine the potential source of the difference. All statistical analyses were performed with SPSS version 16.0 (SPSS Inc., Chicago, IL, USA).

3. Results

3.1. Geographical Distribution and Resource Status of N. fruticans

We found there were four natural populations of N. fruticans plants on Hainan Island. The total area of the natural population was about 3.96 hm2, and the population number was about 9319 trees. The Wanning population size was about 3.82 hm2, with a population abundance of approximately 9010 individuals, while the other 3 populations were totally 0.14 hm2, with only 309 individuals. Under the N. fruticans plants, only 1182 naturally renewed seedlings were found, and their distribution varied significantly among the 4 populations. The abundance of N. fruticans seedlings in Wanning accounted for as high as 75.3%, followed by 23.27% in Wenchang, and there were only 17 and no seedlings in Haikou and Qionghai. In addition, N. fruticans populations were mainly located near ports, piers, waterways, country roads, and riverbanks where human disturbances were frequent (Figure 1).
Figure 1. Geographic distribution and resource status of N. fruticans.

3.2. Community Characteristics of N. fruticans

A total of 23 mangrove species, which belonged to 19 genera in 13 families, were recorded in all study sites, of which 18 were true mangroves and 5 were semi-mangrove species (Table A1). The vertical structures of 4 N. fruticans communities exhibited the consistent pattern, characterized by distinct layers including the tree, shrub, and herb layers. However, notable differences in species composition and dominant species were observed among the layers of each community (Table 3). The community in Haikou encompassed 14 tree species, 2 shrub species, and 1 herbaceous plant. Notably, Bruguiera sexangula (31.57%) and N. fruticans (70.7%) dominated the canopy and shrub layers, respectively; Acrostichum aureum was the exclusive dominant species in the herb layer at 100%. In Wenchang, there were 5 tree species, 2 shrub species, and 1 herbaceous plant. The predominant plants in the canopy and shrub layers were Sonneratia caseolaris (59.19%) and N. fruticans (51.4%), respectively; A. aureum dominated the herb layer at 100%. The community of Qionghai comprised only one tree species (Talipariti tiliaceum), one shrub species (N. fruticans), and one herbaceous plant (A. aureum). Conversely, Wanning’s community encompassed nine tree species, five shrub species, and one herbaceous plant. The most significant plants in the canopy and shrub layers were B. sexangula (33.25%) and N. fruticans (62.70%), respectively; A. aureum was dominant in the herb layer at 100%.
Table 3. Importance values of the top five species in the N. fruticans community.

3.3. Population Structure of N. fruticans

We could see that the N. fruticans population in Haikou had a few seedlings and juveniles from Figure 2A. The number of individuals in these two age classes only accounted for 3.37% and 6.18%, respectively, and the number of mature individuals was the largest, accounting for 57.30%, followed by adults. The N. fruticans population of Wenchang had the largest number of young individuals (seedlings and juveniles), accounting for 77.46%, and the number of adult and mature individuals accounted for only 6.48% and 16.06% (Figure 2B). There were no seedlings and juveniles in the N. fruticans population of Qionghai, and the adult and mature individuals were 33.82% and 66.18%, respectively (Figure 2C). The population structure in Wanning was similar to that of Haikou; seedlings and juveniles accounted for only 2% and 8.01%, respectively. Adult individuals were the most, up to 62.6%, followed by mature individuals at 27.38% (Figure 2D). Due to the extreme lack of young individuals, the population structures of the N. fruticans in Haikou, Qionghai, and Wanning were all declining, while the population structure in Wenchang was growth type.
Figure 2. Age structure of the N. fruticans population.

3.4. The Effects of Different Environmental Factors on the Seed Germination of N. fruticans

3.4.1. The Effect of Light Intensity on Seed Germination

There were no significant differences in the IGT, DG, and GP of N. fruticans seeds (p > 0.05) under different light intensity treatments, while the IET, DE, EP, PH, and LN were significantly different (p < 0.05). All treatments began to germinate on the first day of the experiment and lasted for about 3 days. With the increase in light intensity, the IET and DE decreased firstly with minimum values of 6.33 d and 8 d at 60% light intensity, and then increased to the maximum values of 9.67 d and 13.33 d at 100%, respectively (Figure 3A). Even though there were no significant differences between the GP under different treatments, the GP among all treatments remained above 70%. The EP reached a maximum value of 70% when the light intensity was 60%, then significantly decreased to 50% under full light conditions (Figure 3B). The PH reached the maximum value of 34.53 cm at 60% light intensity and declined to the minimum value of 21.75 cm at 100% (Figure 3C). The LN showed a gradually decreasing trend, with a maximum value of 4.25 leaves at 20% light intensity and a minimum value of 1.75 leaves at 100% light intensity (Figure 3D).
Figure 3. The effect of light intensity on germination parameters of N. fruticans seeds. (A) initial germination time (IGT), duration of germination (DG), initial emergence time (IET) and duration of emergence (DE); (B) germination percentage (GP) and emergence percentage (EP); (C) plant height (PH); (D) leaf number (LN). Different letters indicate significant differences (p < 0.05).

3.4.2. The Effect of Salinity on Seed Germination

All the germination parameters of N. fruticans were significantly different under different salinity treatments (p < 0.05). All parameters significantly grew with the increasing salinity, ranging from 0‰ to 20‰ in Figure 4A. Compared with the control, the IGT, DG, IET, and DE increased by 12 d, 19 d, 24 d, and 26 d under the salinity condition of 20‰. When the salinity exceeded 25‰, all the seeds died. From Figure 4B, we could know that the GP and EP gradually increased, with maximum values of 63.33% and 50% at 5‰. Under a salinity greater than 5‰, the GP and EP significantly decreased, and they were significantly lower than those under the salinity range of 0–5‰. When the salinity exceeded 25‰, the GP and EP rates were both 0. Both PH and LN showed the same trend of increasing first and then decreasing. PH and LN reached maximum values at salinities of 5‰ and 10‰, respectively, and PH and LN under the salinity range 0–10‰ were significantly greater than those under the salinity range of 10–20‰ (Figure 4C,D).
Figure 4. The effect of salinity on germination parameters of N. fruticans seeds. (A) initial germination time (IGT), duration of germination (DG), initial emergence time (IET) and duration of emergence (DE); (B) germination percentage (GP) and emergence percentage (EP); (C) plant height (PH); (D) leaf number (LN). Different letters indicate significant differences (p < 0.05).

3.4.3. The Effect of Flooding Time on Seed Germination

Except for the IGT, other germination parameters of N. fruticans were significantly different under flooding time treatments (p < 0.05). From Figure 5A, all treatments began to germinate on the 1st day. As the flooding time increased, the DG, IET, and DE declined firstly under the flooding time of 2–10 h/d and they all yielded minimum values under the conditions 8 h/d, then they arose significantly up to maximum values under 22 h/d. There was no significant difference in DG, IET, and DE between 2–10 h/d, and they were significantly lower than those under the flooding time of 14–22 h/d.
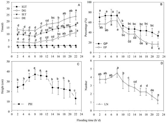
Figure 5. The effect of flooding time on germination parameters of N. fruticans seeds. (A) initial germination time (IGT), duration of germination (DG), initial emergence time (IET) and duration of emergence (DE); (B) germination percentage (GP) and emergence percentage (EP); (C) plant height (PH); (D) leaf number (LN). Different letters indicate significant differences (p < 0.05).
From Figure 5B, we found that the GP and EP among each treatment gradually increased during the flooding time of 2–8 h/d. The GP reached a maximum value at 8 h/d, and the EP yielded the maximum value both at 6 h/d and 8 h/d. During the flooding time of 8–22 h/d, the GP and ER gradually decreased, and were significantly lower than those under the flooding time of 2–8 h/d. The PH and LN showed the same trend under different treatments. Both reached the maximum value when the flooding time was 8 h/d. The PH under the flooding time ranging 6–12 h/d was significantly greater than those of the other treatments, and the LN under the flooding time of 2 h/d–10 h/d were significantly greater than those under the condition of 10 h/d–22 h/d (Figure 5C,D).

4. Discussion

4.1. Resource Status and Population Characteristics of N. fruticans

Currently, N. fruticans is limited to the ancient tropical regions, and the distribution areas with documented and researched records include Bangladesh [15], Singapore [22], Malaysia [12], Cameroon, Thailand, Niger, Vietnam, and the Philippines [7,13,19]. In China, the natural populations were only found in Haikou, Wenchang, Qionghai, and Wanning of Hainan Province, with a total area of 3.96 hm2 harboring 9319 trees. The geographical distribution of N. fruticans populations is not only affected by climate factors but also related to its seed dispersal mechanism [13]. N. fruticans is a cryptoviviparous plant, and newly developed embryos germinate and grow out of the seed coat before leaving the maternal plant. The germinated seeds of N. fruticans fall from the maternal plants by gravity (primary dispersal), take root and grow into seedlings in situ, and spread through tides (secondary dispersal) and extend by anthropogenic dispersal (third dispersal), escaping from the original habitats to other suitable mangrove ecosystems for off-site settlement and naturalization [42].
N. fruticans is considered an established species of semi-mangrove and mangrove communities, which can develop and form a dense, single pure forest or grow mixed with other mangrove plants [20]. In the present study, we found that a total of 23 species of mangrove plants were recorded in the study plots and formed the following mangrove communities, in which N. fruticans, B. sexangula, A corniculatum, and S. caseolaris were the dominant species. Middeljans [21] compared the community characteristics of N. fruticans forest under artificial management and natural conditions along the Abatan River in the Philippines and discovered that plant composition included not only 19 species of mangrove plants like A. corniculatum, A. aureum, and B. sexangula common in the present study sites but also harbored the other 9 species, such as Acanthus volubilis Wall, Avicennia officinalis L. and Bruguiera parviflora (Roxb.) Wight and Arn that were not found in Hainan. In addition, the N. fruticans community under moderate management grew better and had stronger natural regeneration ability than the natural condition [21].
Plant population structure manifested their adaptability to natural environmental factors, which reflected the individual growth and development process within the population and revealed the survival status and renewal strategy of the population [43]. In this study, there were fewer seedlings and juveniles of the N. fruticans population in Haikou, Wanning, and Qionghai, which implied the population structure was roughly “J” type, namely showing recession type, which was also found in the N. fruticans population on Kaili Island in Malaysia [14]. However, the population structure of N. fruticans in Wenchang was roughly in an inverted “J” shape, which denoted a growth population, similar to the results of the Bruguiera gymnorrhiza and Kandelia obovata populations at Beilun river estuary in Guangxi [38]. Through further investigation, we found that the reason for the difference between Wenchang and the other population was human assistance like habitat modification and in situ protection by the Wenchang Municipal Government in recent years. These measures make sure the germinated seeds are not washed away by the tide and they can take root and develop into seedlings in situ, achieving natural renewal. Based on these findings, we can protect and recover the population from the following three aspects: Firstly, we must produce necessary germplasm resources to expand the target population through increasing investment support for the scientific research; secondly, we must enhance habitat restoration to create a suitable ecological environment and improve in situ protection; The third is to optimize ex situ conservation and reintroduction strategies, including but not limited to continuing monitoring and post-management of artificial seedlings. These measures are of great significance for the self-renewal and population expansions of endangered N. fruticans plants.

4.2. The Effects of Simulated Environmental Factors on N. fruticans Seed Germination

4.2.1. The Effect of Light Intensity on N. fruticans Seed Germination

Plant species exhibit varying requirements for light during seed germination, with effects ranging from promotion to inhibition or no significant impact. Some seeds are highly light-sensitive and necessitate light for germination [44,45]. Under darkness and constant temperature, the newly collected seeds of Sonneratia × hainanensis W. C. Ko and al. and Sonneratia ovata Backer did not completely germinate, and increased light promoted seed germination and radicle growth with an optimal light time of 12 h per day [45,46]. Likewise, there were significant differences in the germination rates of B. gymnorhiza and B. sexangula seeds under different conditions of shading intensity [47]. In our study, however, we found no significant difference in the initial germination time, germination duration, and germination rate of N. fruticans seeds under different light intensities. This phenomenon may be due to the fact that sensitivity to light is not expected in species that germinate inside fruits. Unlike most plant seeds, N. fruticans seeds complete their germination while still attached to the parent tree [25,48,49]. The phenomenon of vivipary is most common in the plant kingdom with mangrove plants, which can be divided into vivipary and cryptovivipary [26]. Embryos of viviparous species such as B. gymnorhiza and B. sexangula first break through the seed coat and then grow out of the fruit wall [27]. By contrast, crypto-viviparous mangrove species such as N. fruticans and Aegiceras corniculatum (L.) only break out of the seed coat and not the fruit wall before dehiscence [29]. Therefore, it can be hypothesized that the early stage of N. fruticans seed germination is not affected by light due to embryonic axis characteristics. In this case, it is necessary to further study the effect of light on their seedling emergence.
Under natural conditions, not all seeds have the same fate after leaving the parent tree [50]. The transition from seeds to seedlings is further subject to rigorous environmental sieves, leading to only a rare seedling surviving to achieve natural renewal [51]. We also found that the emergence rate and plant height of N. fruticans seedlings increased firstly and then declined with the increments of light intensity, reaching the maximum under 60% light intensity and the minimum under full sunlight, indicating that appropriate shading could promote N. fruticans growth, which is similar to research on Cunninghamia lanceolata (Lamb.) Hook and Schima superba Gardner and Champ [49]. Moreover, the seedling emergence rate under the shade treatment was significantly higher than that under the full light treatment, which can be explained by the fact that the seedlings were still relatively fragile and lacked the mechanisms of light energy utilization and self-protection, making the failure of adaptation to strong light exposure in open areas [44]. Observations in the field also confirmed that N. fruticans seedlings mainly thrived in the forest understory, making light a key factor affecting seedling regeneration.

4.2.2. The Effect of Salinity on N. fruticans Seed Germination

The seed germination stage is particularly sensitive to salt stress [45]. Mangrove plants, specialized in growing in saline environments, require a certain level of salt throughout their life cycle. While they can endure freshwater or low salinity conditions, high salt levels hinder their growth [52]. Our results indicated that increasing salinity significantly prolonged the initial germination time, germination duration, initial emergence time, and emergence duration of N. fruticans seeds. At low salinity (5‰), the germination rate, seedling emergence rate, plant height, and leaf number were not significantly different from the control (0‰), indicating that low salt concentrations had little effect on N. fruticans seed germination. However, as salinity increased, these indicators decreased significantly. When salt concentrations exceeded 25‰, the N. fruticans seed germination rate dropped to zero. The effect of salinity on seed germination is generally attributed to osmotic effects and ion toxicity. Osmotic effects inhibit water uptake by seeds, while ion toxicity inhibits cell growth and division [53]. There is no consistent conclusion as to whether osmotic effects or ion toxicity inhibit seed germination, which varies by plant species and salt type [54]. Therefore, further studies would be carried out to explain this phenomenon.
Furthermore, this low-salt-promoted and high-salt-inhibited behavior was also observed during seed germination in other non-viviparous mangrove plants like S. × hainanensis and S. ovata, which displayed an optimal salinity of 2.5‰ [45,46]. In contrast, certain viviparous plants, such as B. gymnorhiza and Rhizophora stylosa, achieved suitable seed germination under moderate (10‰) and high (20‰) salinity conditions, respectively [40]. N. fruticans fell between non-viviparous and viviparous plants, with an optimum salinity of 5‰. Notably, in the natural habitat, the seawater salinity of N. fruticans exceeds 13‰, demonstrating that the salinity in its native environment far surpasses the requirements for N. fruticans seed germination. Therefore, salinity simulation experiments confirmed that salinity acted as a limiting factor for both seed germination and seedling regeneration in N. fruticans.

4.2.3. The Effect of Flooding Time on N. fruticans Seed Germination

Tides, mainly affecting the spread and distribution of seeds, are also an important environmental factor for the growth of mangrove plants, to which different types of seeds respond variously [29]. N. fruticans, being a true mangrove plant, is also affected by tidal levels [14]. During most tidal cycles, mangrove plant seedlings are often submerged by the tide; the extension of flooding time and the increments of flooding depth are the main factors determining the survival rate of mangrove seedlings [28]. There was no significant difference in the germination duration, initial emergence time, and emergence duration of N. fruticans when flooding time was <10 h/d; however, the above three parameters were significantly prolonged when flooding was ≥10 h/d. Meanwhile, the germination rate and emergence rate were significantly reduced, and they had the maximum value at 8 h/d, implying that flooding time at 8 h/d was the most suitable for the seed germination and 10 h/d was a critical value for N. fruticans. If the flooding time outweighed this critical value, the germination and seedling growth of N. fruticans would be significantly inhibited, which was also demonstrated in other mangrove plants [55,56]. The possible reason for this observation was mainly because seeds would produce and accumulate alcohol through anaerobic respiration, causing cell poisoning when they were submerged for a long time [57]. Even though Avicennia marina (Forssk.) Vierh is also a cryptoviviparous plant, the optimal flooding time for the seed germination is 4 h/d [58], which may be attributed to the small seed size [59]. Our field monitoring found that the daily tidal cycle of the natural habitat of N. fruticans exceeded 8 h/d. In addition, other scholars’ field investigations found that out of 162 N. fruticans seedlings, only three seedlings eventually grew into young trees, while most of the seedlings were washed away at high tide [14]. This suggests the flooding time dynamic plays a crucial role in the life cycle of N. fruticans.

5. Conclusions

This study analyzed the resource status and community characteristics of N. fruticans through field surveys and found the total number of N. fruticans individuals was small, the understory seedlings were few, and the population structure was declining. In addition, through simulation experiments, we believed that light intensities, salinity, and flooding time were the limiting factors affecting the renewal of N. fruticans seedlings. Based on these findings, in addition to advocating increased investment in scientific research and technology to address seed resource issues, we recommend heightened efforts in habitat restoration, in situ conservation, and the optimization of relocation and field return strategies are needed to bolster N. fruticans populations.

Author Contributions

Conceptualization, M.Z. and C.Z.; Data curation, C.C. and Z.F.; Funding acquisition, M.Z.; Investigation, M.Z. and X.L.; Methodology, M.Z.; Project administration, C.Z.; Resources, C.Z.; Writing—original draft, M.Z.; Writing—review and editing, J.H. All authors have read and agreed to the published version of the manuscript.

Funding

This research was funded by the Technological Innovation Special Project for Provincial Research Institutes in Hainan Province (grant number. jscx202017) and the Start-up Fund of Hainan University (grant number. KYQD(ZR)—22105).

Data Availability Statement

The data presented in this study are available upon request from the corresponding author.

Acknowledgments

We sincerely thank Erhui Feng of the Dongzhai Harbor Mangrove Nature Reserve, China, for field assistance.

Conflicts of Interest

The authors declare no conflicts of interest.

Appendix A

Table A1. Mangrove plant composition in the N. fruticans community.
Table A1. Mangrove plant composition in the N. fruticans community.
NumberFamilyGenusSpecies
True mangrove
1AcanthaceaeAvicenniaAvicennia marina (Forssk.) Vierh
2LythraceaeSonneratiaSonneratia alba Sm. in Ress
3RhizophoraceaeBruguieraBruguiera sexangula (Lour.) Poir
4EuphorbiaceaeExcoecariaExcoecaria agallocha L.
5LythraceaeSonneratiaSonneratia caseolaris (L.) Engler
6RhizophoraceaeRhizophoraRhizophora stylosa Griff
7LythraceaeSonneratiaSonneratia apetala Buch.—Ham
8RhizophoraceaeCeriopsCeriops tagal (Perr.) C. B. Rob
9CombretaceaeLumnitzeraLumnitzera racemosa Willd
10CombretaceaeLagunculariaLaguncularia racemosa (L.) C. F. Gaertn
11AcanthaceaeAcanthusAcanthus ilicifolius L.
12PteridaceaeAcrostichumAcrostichum aureum L.
13LythraceaeSonneratiaSonneratia ovata Backer
14MeliaceaeXylocarpusXylocarpus granatum J. Koenig
15RhizophoraceaeBruguieraBruguiera gymnorhiza (L.) Savigny
16RhizophoraceaeKandeliaKandelia obovata Sheue and al
17ArecaceaeNypaNypa fruticans Wurmb
18PrimulaceaeAegicerasAegiceras corniculatum (L.) Blanco
Semi-mangrove
19BignoniaceaeDolichandroneDolichandrone spathacea (L. f.) Seem
20FabaceaePongamiaPongamia pinnata (L.) Pierre
21LamiaceaeVolkameriaVolkameria inermis L.
22MalvaceaeHeritieraHeritiera littoralis Dryand
23MalvaceaeTaliparitiTalipariti tiliaceum (L.) Fryxell

References

  1. Tang, C.Q.; Matsui, T.; Ohashi, H.; Dong, Y.F.; Momohara, A.; Sonia, H.M.; Qian, S.H.; Yang, Y.C.; Ohsawa, M.; Luu, H.T.; et al. Identifying long–term stable refugia for relict plant species in East Asia. Nat. Commun. 2018, 9, 5241. [Google Scholar] [CrossRef] [PubMed]
  2. Tang, C.Q.; Ohsawa, M. Tertiary relic deciduous forests on a subtropical mountain, Mt. Emei, Sichuan, China. Folia Geobot. 2002, 37, 93–106. [Google Scholar] [CrossRef]
  3. Tang, C.Q.; Yang, Y.C.; Ohsawa, M.; Arata, M.; Yi, S.R.; Kevin, R.; Song, K.; Zhang, S.Q.; He, L.Y. Community structure and survival of tertiary relict Thuja sutchuenensis(Cupressaceae) in the subtropical Daba Mountains, Southwestern China. PLoS ONE 2015, 10, e0125307. [Google Scholar] [CrossRef] [PubMed]
  4. He, L.Y.; Tang, C.Q.; Wu, Z.L.; Wang, H.C.; Ohsawa, M.; Yan, K. Forest structure and regeneration of the tertiary relict Taiwania cryptomerioides in the Gaoligong mountains, Yunnan, southwestern China. Phytocoenologia 2015, 45, 135–156. [Google Scholar] [CrossRef]
  5. Qian, S.; Yang, Y.; Tang, C.Q.; Momohara, A.; Yi, S.; Ohsawa, M. Effective conservation measures are needed for wild Cathaya argyrophylla populations in China: Insights from the population structure and regeneration characteristics. For. Ecol. Manag. 2016, 361, 358–367. [Google Scholar] [CrossRef]
  6. Lovly, M.S.; Merlee-Teresa, M.V. Nypa palm (Nypa fruticans Wurmb.) A new record from Kerala. Int. J. Adv. Res. 2016, 4, 1051–1055. [Google Scholar]
  7. Tang, C.Q.; Yang, Y.C.; Ohsawa, M.; Momohara, M.; Hara, M.; Chen, S.L.; Fan, S.H. Population structure of relict Metasequoia glyptostroboides and its habitat fragmentation and degradation in south–central China. Biol. Conserv. 2011, 144, 279–289. [Google Scholar] [CrossRef]
  8. Xu, Z.H.; Rena, H.; Wei, X.; Ouyang, K.; Li, D.X.; Guo, Y.L.; Wen, S.J.; Long, J.F.; Wang, J.; Hui, D.F. Distribution and conservation status of Camellia longzhouensis (Theaceae), a critically endangered plant species endemic to southern China. Glob. Ecol. Conserv. 2021, 27, e01585. [Google Scholar] [CrossRef]
  9. Volis, S. How to conserve threatened Chinese plant species with extremely small populations? Plant Divers. 2016, 38, 45–52. [Google Scholar] [CrossRef]
  10. Sanger, P.; Hegerl, E.J.; Davie, J.D.S. Global status of mangrove ecosystems. Environmentalist 1983, 3, 7–80. [Google Scholar]
  11. Zhu, J.J. Differences in water and carbon use strategies for photosynthesis in true mangrove and semi-mangrove plants. Plant Physiol. J. 2024, 60, 989–997. [Google Scholar]
  12. Zakaria, R.M.; Aslezaeim, N.; Sofawi, A.B. Effects of water properties and soil texture on the growth of a mangrove palm; Nypa fruticans on carey Island, Malaysia. Pak. J. Bot. 2017, 49, 33–39. [Google Scholar]
  13. Moudingo, J.H.; Ajonina, G.; Dibong, D.; Tomedi, M. Chapter 3: Distribution, Devastating Effect, and Drivers of the Exotic Mangrove Nypa fruticans Van Wurmb (Arecaceae) on the Mangroves of West and Central Africa; Academic Press: Pittsburgh, PA, USA, 2020; pp. 24–36. [Google Scholar]
  14. Rozainah, M.Z.; Aslezaeim, N. A demographic study of a mangrove palm, Nypa fruticans. Sci. Res. Essays 2010, 5, 3896–3902. [Google Scholar]
  15. Hossain, M.F.; Islam, M.A. Utilization of mangrove forest plant: Nipa Palm (Nypa fruticans Wurmb.). Am. J. Agric. For. 2015, 3, 156–160. [Google Scholar]
  16. Tan, Y.H.; Chen, Z. Biological characteristics and conservation countermeasures of the rare and endangered Nypa fruticans. Mod. Hortic. 2013, 23, 31–32. [Google Scholar]
  17. Gee, C.T. The mangrove palm Nypa in the geologic past of the New World. Wetl. Ecol. Manag. 2001, 9, 181–194. [Google Scholar] [CrossRef]
  18. Lin, Y.R. On the systematics, evolution, floristics and economic uses of Palmae and its sister family, Calamaceae. Bull. Bot. Res. 2002, 3, 341–365. [Google Scholar]
  19. Jian, S.G.; Ban, J.W.; Ren, H.; Yan, H.F. Low genetic variation detected within the widespread mangrove species Nypa fruticans (Palmae) from Southeast Asia. Aquat. Bot. 2010, 92, 23–27. [Google Scholar] [CrossRef]
  20. Middeljans, M. The Species Composition of the Mangrove Forest along the Abatan River in Lincod, Maribojoc, Bohol, Philippines and the Mangrove Forest Structure and Its Regeneration Status between Managed and Unmanaged Nipa Palm (Nypa fruticans Wurmb). Bachelor’s Thesis, Van Hall Larenstein University, Leeuwarden, The Netherlands, 2015. [Google Scholar]
  21. Teo, S.; Kurukulasuriya, B.R. The status and distribution of the nipah palm, Nypa fruticans Wurmb. (Arecaceae) in Singapore. Nat. Singap. 2010, 3, 45–52. [Google Scholar]
  22. Mondal, S.; Basu, S.K.; Chowdhury, M. Observation on Nypa fruticans. Phytotaxonomy 2018, 17, 39–42. [Google Scholar]
  23. Chen, L.Z.; Gu, X.X.; Zhong, C.R.; Huang, L.H. The Wetlands of Haikou (Mangroves); Xiamen University Press: Xiamen, China, 2019; pp. 84–102. [Google Scholar]
  24. Borja, J.A.; Silveira, F.A.O.; Fidelis, A.; Poschlod, P.; Commander, E.L. Seed germination traits can contribute better to plant community ecology. J. Veg. Sci. 2016, 27, 637–645. [Google Scholar]
  25. Jiang, H.D.; Xie, W.L.; Chai, S.F.; Tang, J.M.; Jiang, Y.S.; Qin, H.Z.; Wei, X. Seed germination characteristics of Keteleeria calcarea, a precious tree species in karst areas. Guihaia 2022, 42, 951–960. [Google Scholar]
  26. Robert, E.M.; Oste, J.; Vander–Stocken, T.; De–Ryck, D.J.; Quisthoudt, K.; Kairo, J.G.; Dahdouh–Guebas, F.; Koedam, N.; Schmitz, N. Viviparous mangrove propagules of Ceriops tagal and Rhizophora mucronata, where both Rhizophoraceae show different dispersal and establishment strategies. J. Exp. Mar. Biol. Ecol. 2015, 468, 45–54. [Google Scholar] [CrossRef]
  27. Zhou, X.X.; Cai, L.L.; Fu, M.P.; Hong, L.W.; Shen, Y.J.; Li, Q.S. Progress in the studies of vivipary in mangrove plants. Chin. J. Plant Ecol. 2016, 40, 1328–1343. [Google Scholar]
  28. Liu, S.S.; Yang, S.; Liu, X.; Chen, Q.H.; Jiang, Z.M. Research progress in the adaptability of mangroves to tidal inundation. World For. Res. 2022, 35, 25–30. [Google Scholar]
  29. Yan, Z.Z.; Wang, W.Q.; Huang, W.B. Development of the viviparous hypocotyl of mangrove and its adaptation to inter–tidal habitats: A review. Acta Ecol. Sin. 2004, 10, 2317–2323. [Google Scholar]
  30. Zhou, X.X.; Weng, Y.L.; Su, W.Y.; Ye, C.T.; Qu, H.D.; Li, Q.S. Uninterrupted embryonic growth leading to viviparous propagule formation in mangrove. Front. Plant Sci. 2023, 13, 1061747. [Google Scholar] [CrossRef] [PubMed]
  31. Duke, N.C.; Watkinson, A.J. Chlorophyll-deficient propagules of Avicennia marina and apparent longer term deterioration of mangrove fitness in oil-polluted sediments. Mar. Pollut. Bull. 2002, 44, 1269–1276. [Google Scholar] [CrossRef] [PubMed]
  32. Liu, B.E.; Liao, B.W. The physio–ecological response of Acanthus ilicifolius seedlings to different degrees of light intensity in tide environment. For. Res. 2013, 26, 192–199. [Google Scholar]
  33. Ulqodry, T.Z.; Matsumoto, F.; Okimoto, Y.; Nose, A.; Zheng, S.H. Study on photosynthetic responses and chlorophyll fluorescence in Rhizophora mucronata seedlings under shade regimes. Acta Physiol. Plant. 2014, 36, 1903–1917. [Google Scholar] [CrossRef]
  34. Dangremond, E.M.; Feller, I.C.; Sousa, W.P. Environmental tolerances of rare and common mangroves along light and salinity gradients. Oecologia 2015, 179, 1187–1198. [Google Scholar] [CrossRef] [PubMed]
  35. Fu, X.M.; Tang, H.Y.; Liu, Y.; Zhang, M.Q.; Jiang, S.S.; Yang, F.; Li, X.Y.; Wang, C.Y. Resource status and protection strategies of mangroves in China. J. Coast. Conserv. 2021, 25, 42. [Google Scholar] [CrossRef]
  36. Fang, J.Y.; Wang, X.P.; Shen, Z.H.; Tang, Z.Y.; He, J.S.; Yu, D.; Jiang, Y.; Wang, Z.H.; Zheng, C.Y.; Zhu, J.L.; et al. Methods and protocols for plant community inventory. Biodivers. Sci. 2009, 17, 533–548. [Google Scholar]
  37. Kiruba-Sankar, R.; Krishnan, P.; Roy, S.D.; Angel, J.R.J.; Ramesh, R. Structural complexity and tree species composition of mangrove forests of the Andaman Islands, India. J. Coast. Conserv. 2017, 22, 217–234. [Google Scholar] [CrossRef]
  38. Hu, G.; Li, J.; Qin, Y.Y.; Hu, B.Q.; Liu, X.; Zhang, Z.H. Population structure and dynamics of mangrove species in Beilun Estuary, Guangxi, southern China. Acta Ecol. Sin. 2018, 38, 3022–3034. [Google Scholar]
  39. Wijayasinghe, M.M.; Jayasuriya, K.G.; Gunatilleke, C.V.S.; Gunatilleke, I.A.U.N.; Walck, J.L. Effect of salinity on seed germination of five mangroves from SriLanka: Use of hydrotime modelling for mangrove germination. Seed Sci. Res. 2018, 29, 55–63. [Google Scholar]
  40. Mo, Z.C.; Fan, H.Q.; He, B. Effects of seawater salinity on hypocotyl growth in two mangrove species. Acta Phytoecol. Sin. 2001, 25, 235–239. [Google Scholar]
  41. Zhang, Y.; Ye, Y.; Lu, C.Y. Seed germination and seedling growth of mangrove Excoecaria agallocha under different salinities. J. Xiamen Univ. Nat. Sci. 2010, 49, 144–148. [Google Scholar]
  42. Muller, J. Palynology of the recent Orinoco delta and shelf sediments. Micropaleontology 1959, 5, 1–32. [Google Scholar] [CrossRef]
  43. Wu, E.H.; Li, D.H.; Yang, X.B.; Zuo, Y.L.; Yang, N. Study on distribution characteristics and population dynamics of wild Cycas Hainanensis in Hainan Island. For. Resour. Manag. 2021, 4, 130–137. [Google Scholar]
  44. Liu, Q.Q.; Ma, X.Q.; Li, Y.J.; Zhuang, Z.; Du, Z.L.; Xing, X.S.; Liu, B. Response of seed germination and seedling growth of Chinese fir to different light intensities. Chin. J. Appl. Ecol. 2016, 27, 3845–3852. [Google Scholar]
  45. Zhang, M.W.; Yang, X.B.; Long, W.X.; Li, D.H.; Lv, X.B. Reasons for the extremely small population of putative hybrid Sonneratia × hainanensis W.C.Ko (Lythraceae). Forests 2019, 10, 526. [Google Scholar] [CrossRef]
  46. Ren, F.Y.; Zhang, F.; Zhang, L.N.; Wang, S.Q. Seed germination characteristics of the endangered mangrove plant Onychophora maritima. Mol. Plant Breed. 2021, 19, 5150–5156. [Google Scholar]
  47. Zhang, M.W. Comparative Study on Environmental Adaptability of Population Development between Two Mangrove Natural Hybrids and Their Parents in Hainan Island. Ph.D. Thesis, Hainan University, Haikou, China, 2019. [Google Scholar]
  48. Su, H.; Shen, Y.R.; Cai, J.; Jiang, Z.M.; Yang, C.R.; Xu, X.Q. Germination characteristics of Betula albosinensis seeds from different provenances. J. Northwest For. Acad. 2021, 36, 109–114. [Google Scholar]
  49. Zhang, M.W.; Zhong, C.R.; Lv, X.B.; Fang, Z.S.; Cheng, C. Studies on the relict mangrove plant of Nypa fruticans Wurmb in the World. World For. Res. 2022, 35, 20–24. [Google Scholar]
  50. Liu, Q.Q.; Huang, Z.J.; Guo, S.; Wang, D.Y.; Wang, C.H.; Wang, Z.N.; Ma, X.Q.; Liu, B. Responses of seed germination and seedling growth of Cunninghamia lanceolata and Schima superba to different light intensities. Chin. J. Appl. Ecol. 2019, 30, 2955–2963. [Google Scholar]
  51. Han, D.Y.; Zhang, W.; Nurmati, Y.; Yang, Y.F. Recruitment limitation of plant population regeneration. Chin. J. Plant Ecol. 2021, 45, 1–12. [Google Scholar] [CrossRef]
  52. Lv, X.B.; Li, D.H.; Yang, X.B.; Zhang, M.W.; Deng, Q. Leaf enzyme and plant productivity responses to environmental stress associated with sea level rise in two Asian mangrove species. Forests 2019, 10, 250–262. [Google Scholar] [CrossRef]
  53. Orlovsky, N.; Japakova, U.; Zhang, H.; Volis, S. Effect of salinity on seed germination, growth and ion content in dimorphic seeds of Salicornia europaea L. (Chenopodiaceae). Plant Divers. 2016, 38, 183–189. [Google Scholar] [CrossRef]
  54. Saberali, S.F.; Moradi, M. Effect of salinity on germination and seedling growth of Trigonella foenumgraecum, Dracocephalum moldavica, Satureja hortensis and Anethum graveolens. J. Saudi Soc. Agric. Sci. 2019, 18, 316–323. [Google Scholar]
  55. Luo, M.J.; Zhang, S.G.; Cui, L.J.; Tan, F.L.; Huang, Y.R. Response of growth and biomass allocation of Aegiceras corniculatum to waterlogging stress. J. Zhejiang For. Sci. Technol. 2012, 32, 15–19. [Google Scholar]
  56. Liao, B.W. The Adaptability of Seedling of Three Mangrove Species to Tide-Flooding and Water Salinity. Ph.D. Thesis, China Academy of Forestry, Beijing, China, 2010. [Google Scholar]
  57. Dai, J. Adaptation Mechanism of Mangrove Seedlings of Kandelia obovata to Tidal Waterlogging. Master Thesis, East China Normal University, Shanghai, China, 2018. [Google Scholar]
  58. Zhang, Y. Research on the waterlogging stress impact on Avicennia Marina seed germination and its seedling growth. Trop. For. 2018, 46, 35–38. [Google Scholar]
  59. Zhao, L.L.; Mo, B.T.; Wang, P.C.; Zhang, Y.; Long, Z.F. Relationship of Sophora davidii seed size to germination, dormancy, and mortality under water stress. S. Afr. J. Bot. 2015, 99, 12–16. [Google Scholar] [CrossRef]
Disclaimer/Publisher’s Note: The statements, opinions and data contained in all publications are solely those of the individual author(s) and contributor(s) and not of MDPI and/or the editor(s). MDPI and/or the editor(s) disclaim responsibility for any injury to people or property resulting from any ideas, methods, instructions or products referred to in the content.

Article Metrics

Citations

Article Access Statistics

Multiple requests from the same IP address are counted as one view.