Abstract
Psychological anxiety among college students has attracted research interest. Previous studies have shown that greenspaces play a positive role in the recovery of student health. However, limited studies have explored the benefits of restorative environmental greenspace components. Therefore, this study used virtual reality to conduct control variable experiments. Considering the terrain scene, pavement material, and green vision rate as research elements, we monitored the skin conductance level and heart rate variability of 36 college students, as well as the positive and negative affect schedule and perceptual recovery scales, and we found that terrain elements have a significant impact on perceptual recovery, while pavement material has a significant impact on physiological recovery. Significant differences in perceptual recovery scores and changes in negative emotions among the different green vision levels were also observed. According to the regression relationship, the scene’s attractiveness rating was the highest when the scene’s green vision rate was 50%, while at 48%, the positive emotional improvement was the highest, and at 40%, the negative emotional improvement was the greatest.
1. Introduction
Urban landscapes are an essential ecosystem; however, urban living may be linked to poor mental health [,]. Mental disorders have been one of the top ten leading causes of global health burden since 1990. According to the Lancet GBD 2019, nearly one billion people worldwide suffer from mental health disorders, such as depression and anxiety []. Recently, the prevalence of anxiety among college students has increased []. High levels of student stress reflect a wide range of social stress patterns among young people []. Studies have shown that anxiety can affect attention and memory during learning and, to some extent, thinking []. In addition, increased anxiety levels in adolescents may have adverse effects on cardiovascular health later in life []. Therefore, there is an urgent need to provide adequate and appropriate support services to this group.
Regarding the management of mental health among college students, one study proposed recommendations from the perspectives of students, academic instructors, teaching methodologies, and culture. In addition, suggestions have been made regarding the benefits of exposure to the environment []. Previous studies on urban greenspaces have shown that exposure to natural greenspaces provides various health benefits. In addition to mitigating exposure to air pollution, noise, and heat, greenspaces have the potential to enhance attention and alleviate psychological stress [,,,,,]. The term “restorative environment” was first proposed in 1983 by Kaplan (a psychology professor at the University of Michigan) and Talbot, and it is defined as “an environment that can provide people with relief from psychological fatigue and negative emotions associated with stress”. The most influential theories explaining the natural environmental recovery mechanisms include Kaplan’s attention recovery theory (ART) [] and Ulrich’s stress reduction theory []. Under the ART framework, Kaplan proposed four objective conditions to measure restorative environment recovery, namely, distance, fascination, extent, and compatibility. Under the theoretical decompression framework, cardiopulmonary physiology is emphasised, and indices, such as heart rate variability (HRV) and skin electrical activity, are used. Emphasis is placed on measuring emotional responses using established questionnaires, including a positive–negative impact scale and a discrete emotion questionnaire survey [].
With the “restorative environment” concept, scholars have begun to study the impact of the natural environment or urban greenspace on different specific groups of people [,]. Some of these studies were specifically aimed at students [,]. The findings from a previous study investigating the utilisation of green areas among university students demonstrated that those who regularly visited greenspaces positively experienced a higher quality of life and an improved mood and perceived lower levels of stress. However, student barriers to greenspace use included insufficient time [,]. Studies have shown that virtual reality (VR) technology can have an effective restorative function at school or during workdays in the absence of a highly restorative natural environment. Exposure to nature through immersive VR enhances the connection to nature for individuals with limited inherent affinity [,,,,,,]; therefore, it is possible to replace the inconvenient actual environment with a convenient VR environment [,]. Moreover, VR has proven effective in assessing environmental restoration quality []. In recent years, with the development of VR technology, modelling scenes have become increasingly more realistic, and this level of realism affects emotional responses and perceptions, making it easier to control experimental variables []. Therefore, an increasing number of studies have focused on the use of VR technology in restorative environments. For example, Mattila studied the impact of VR forest environmental restoration by constructing an immersive VR forest [], while Wang constructed interactive VR scenarios to study the effects of restorative environments on anxiety and depression []. Additionally, some studies have been conducted on restorative environmental components []; for example, Huang and QY used VR technology to study the potential impact of different vegetation types and the influence of different types of trees, grass, and concrete environments on stress reduction []. However, the number of such studies is limited, and the available data are insufficient for practice []. Currently, most studies on restorative environments have focused on comparing the health benefits of greenspaces with those of other types of urban spaces [,,], whereas some studies have only examined the overall restorative benefits of greenspaces for population health [].
In this study, we recruited college students who experienced stress and anxiety and investigated the effects of restorative environmental components, including the terrain scene, pavement material, and scene green visual rate, from both physiological and psychological perspectives by exposing the participants to a greenspace environment created via VR. We also investigated the restorative effects of greenspace components on students’ anxiety to help develop better services for college students with anxiety. Moreover, our research has practical implications in the construction of urban greenspaces, such as campus greenspaces, to reduce anxiety.
2. Materials and Methods
2.1. Experimental Design
2.1.1. Participants and Experimental Conditions
After invitation through online social platforms and offline publicity, we selected 40 college students aged 22–26 years as participants, with a 1:1 male-to-female ratio. After a data validity analysis, we used data from 36 participants. The experimental site was a closed windowless room (4 × 6 m) in a teaching building. The lights were switched on uniformly in the room, the air conditioning temperature was set at 26 °C, the air humidity was set at 50%, and there was no odour in the room. All the participants signed an informed consent form and complied with the operational requirements related to stress before the experiment.
Before the start of the experiment, all participants completed a background questionnaire on their recent physical and mental conditions (Appendix B, Figure A1). Through the participant self-rating analysis results (Appendix A, Table A1), it was found that the participants generally believed that they had mild depression, low self-rated anxiety, and good health, and they did not take any drugs that affected their physical and mental state or cognitive level. Therefore, the results are in accordance with the experimental settings.
2.1.2. Technology Roadmap
First, according to our research theme, the experiment focused on three basic greenspace components, namely, terrain scene, pavement material, and scene green vision rate. The pressure recovery benefits were measured using both subjective and objective indicators. The experimental results were pre-processed and analysed using an independent sample t-test, descriptive statistical analysis, one-way analysis of variance, and regression analysis. Finally, the results are presented from both physiological and psychological perspectives. A technology roadmap is illustrated in Figure 1.

Figure 1.
Technology roadmap of the experiment design and implementation and the process and method of processing the experimental data of the three green components, namely, terrain scene, pavement material, and scene green visual rate.
2.1.3. Measurement Indicators
The objective indices were the skin conductance level (SCL) and HRV. Changes in skin SCL are related to sympathetic nerve activity, which reflects the nervous state of the human body, but not parasympathetic nerve activity, which reflects the relaxed state of the human body []. In this experiment, a physiological test module skin electrical sensor, EDA, was used to measure the skin conductance response of the participants []. HRV provides information on the neurohumoral factors that regulate the cardiovascular system. RMSSD was used for a short-term electrocardiogram (ECG) signal analysis and is a sensitive indicator of parasympathetic nerve function []. In this experiment, an ECG sensor was used to measure the HRV of the subjects to obtain data [].
Subjective indicators included perceived restorative (PRS) [] and positive and negative affect schedule (PANAS) []. The PRS includes questions for Kaplan’s four perceptual recovery theory dimensions (distance, charm, extensibility, and compatibility []). Each dimension contains four to eight questions. The score of each dimension was calculated based on the responses, and the total PRS score was accumulated. The PANAS includes 20 emotional adjectives—10 positive and 10 negative—and adopts the form of a visual analogue scale to compile the measurement questionnaire. Each dimension consists of 10 questions, and the scores for each question were summed to determine the overall score for positive and negative emotions.
2.1.4. Procedure and Experimental Scene Setting
The experiment was divided into preparation, calming, stress, recovery, and end periods and conducted from 1 to 6 PM, and the participants were required to sleep for 8 h on the day before the experiment. The experimental protocol was communicated to the participants in advance. The initial phase quantified calmness for a duration of 5 min. Subsequently, moderate stress was induced using a dedicated program with a 5 min limit. Following this, five virtual scenes were presented during the recovery period, with each scene limited to 5 min. Between the scenes, there was random switching between five observation points. After the experiment, the participants were thanked and guided. For details, refer to the experimental flowchart shown in Figure 2. The stress-inducing part of this experiment combined the Trier arithmetic social stress test [,] with a noisy stimulus. In the experiment, the participants answered questions and filled out their answers in the input box on the answer screen without using any computing equipment or with substantial background noise. If the answer was wrong, the system would exert pressure on the subjects through auditory and visual means, recording physiological indicator changes in SCL and RMMSD throughout the experiment. The participants were asked to fill in the PRS (Appendix B, Table A12) and PANAS (Appendix B, Table A13).

Figure 2.
Experimental flowchart. The duration of the experiment was 50 min, divided into five periods, and the corresponding experimental content was displayed in each period vividly.
In the terrain experiments, Scenarios 1 and 2 were distinguished solely by the terrain. In Scenario 1, the terrain was altered, whereas all other factors remained constant. Conversely, Scenario 2 featured a flat field with no terrain modifications. The angle of the soil slope was set based on the actual conditions in both scenarios. Figure 3 shows the scenes of the experimental and control groups in the terrain experiment.


Figure 3.
Experimental scenes of topography. Scenario 1 (a,c,e,g,i) is the experimental group with terrain, while Scenario 2 (b,d,f,h,j) is the control group without terrain. Each scenario is set up with five observation points that can be switched randomly.
The experiment on terrain material compared Scenes 3 and 4, with the only difference being the paving material. The other factors in the scenes were kept constant. Scenario 3 used natural materials, such as marble, pebbles, granite, wood, and plain soil, while Scenario 4 used artificial materials, such as cement, asphalt, glass, steel, and concrete. Figure 4 shows the scenes of the experimental and control groups in the pavement material experiment.


Figure 4.
Pavement material experiment scenes. Scenario 3 is the experimental group with natural materials, such as marble (a), pebble (c), granite (e), wood (g), and plain soil (i), while Scenario 4 is the control group with artificial materials, like cement (b), asphalt (d), glass (f), steel (h), and concrete (j). Each scenario is set up with five observation points that can be switched randomly.
In the scene green visual rate experiment, ErgoLAB V2.0 (Kingfar Technology Co., Ltd., Beijing, China) was used to export the participants’ screen video VR experiences. The recorded video was exported frame by frame using Pr CC2022 video editing software developed by Adobe (San Jose, CA, USA), and the image was segmented using fully convolutional network (FCN)-8s []. The inputs and outputs of the FCN are shown in Figure 5.

Figure 5.
Input and output of the fully convolutional network. The image is converted from 3 channels to 96 channels in the first convolution layer, followed by 256 channels in the second layer, 384 channels in the third layer, and finally 150 channels in the last convolution layer, each corresponding to a different segmentation type.
In the entire study, the lowest green vision rate was 15%, the highest was 66%, and the average value was 44.80%. The obtained green vision rate was divided into four grades using the quartile method: lower (<37%), low (37%–42%), high (42%–54%), and higher green vision rates (>54%) (Appendix A, Table A2). Some of the scenes from the green vision rate experiment are presented in Figure 6.


Figure 6.
Obtained green vision rate was divided into four grades using the quartile method in scene green visual rate experiment, and partial representative scenes in each grade are displayed: (a) scene of lower green visual rate (<37%); (b) scene of low green visual rate (37%–42%); (c) scene of high green visual rate (42%–54%); (d) scene of higher green visual rate (>54%).
2.2. Data Analysis
2.2.1. Data Pre-Processing
In this study, ECG and HRV signal data were pre-processed using the ErgoLAB human–machine environment synchronisation platform.
In the HRV signal processing, the cut-off frequencies of the low-pass, high-pass, and band-stop filters were 20, 0.5, and 50 Hz, respectively, using a moderate wavelet denoising option. The median method was used to detect and correct singularities, and the median parameter was set to 5.
For ECG signal data processing, the moving mean filter window length was set at 500 ms, the moving root mean square filter window length was set at 500 ms, the sampling rate was 4 Hz, and the window starting point was set at 1–4 s relative to the stimulus event. For SCR amplitude processing, the minimum SCR threshold was set at 0.2 µS, the Gaussian filter window length was set at 200 ms, the sampling interval was set at 10 s to estimate the tonic component, and the extreme value threshold was set at 0.001 µS.
2.2.2. Statistical Analysis
An independent sample t-test was used to study the restorative effects of the scene terrain and pavement materials. A descriptive statistical analysis was used to describe the outcomes of the physiological and perceptual restoration brought about by the three greenspace components. The recovery effects of the different grades of green vision were analysed using a one-way analysis of variance (ANOVA). A regression analysis was used to analyse the four perceptual recovery evaluation dimensions and the negative and positive emotion rates of green vision. IBM SPSS Statistics 27 was used to analyse the experimental data.
3. Results
3.1. Terrain Scene and Pavement Material
3.1.1. Effects on Physiological Recovery
The effects of terrain and non-terrain on skin electrical activity and HRV were compared using an independent sample t-test. As shown in Table 1, the test results for the impact of terrain elements in different scenes on skin electrical activity and HRV were not significant (p > 0.05), indicating that the subjects’ perceptions of the impact of terrain elements on skin electrical activity and HRV did not significantly differ.

Table 1.
Comparative analysis of the influence of different terrain elements and pavement materials on physiological activity.
The effects of different pavement materials on skin electrical activity and HRV were compared using an independent sample t-test. As shown in Table 1, the test results of the impact of pavement materials on skin electrical activity in different scenes were significant (t = 1.748, p = 0.045 < 0.05), indicating that the participants’ perceptions of the influence of terrain elements on skin electrical activity were significantly different. The natural material scene had a better effect on the improvement of skin electrical activity. The test results for the influence of pavement material on HRV in different scenes were not significant (t = 0.658, p = 0.513 > 0.05), indicating that there was no significant difference in the participants’ perception of the influence of HRV caused by pavement material differences.
3.1.2. Effects on Perceptual Restorability
An independent sample t-test was used to compare the terrain and non-terrain effects on the perceptual restorative evaluation, as well as on positive and negative emotions.
As shown in Table 2, the test results for the impact of the two scenarios on the perceptual restorative evaluation were significant (t = 2.326, p = 0.023 < 0.05), indicating significant differences in the perceptual restorative evaluation results. According to the descriptive statistics of the perceptual restoration results, the scores of the perceptual restorative evaluation for scenes with terrain were significantly higher than those for scenes without terrain (Table 2). The test results for the impact of terrain elements in different scenarios on positive and negative emotions did not reach a significant level (p > 0.05), indicating no significant difference in the participants’ perceptions of the impact of terrain elements on positive and negative emotions.

Table 2.
Comparative analysis of the influence of different terrain scenes and pavement materials on perceptual recovery.
An independent sample t-test was used to compare the effects of natural and artificial pavement materials on the perceptual restorative evaluation, as well as on positive and negative emotions.
As shown in Table 2, the test results for the impact of the two scenarios on the perceptual restorability and positive and negative emotion assessments were not significant (p > 0.05), indicating that the participants did not experience significant differences in the perceptual restorability or positive and negative emotion assessments.
In addition, according to the analysis of each restorability feature dimension (Appendix A, Table A3), the terrain scene had the highest score in each dimension (3.39 ± 0.06), followed by the non-terrain scene (3.18 ± 0.07). The mean scores of the recovery characteristics for the different scenarios are shown in Figure 7.

Figure 7.
Mean values of different scenario recovery characteristic dimensions in being away, fascination, extent, and compatibility of non-terrain scenes and terrain scenes. Non-terrain scenes belonged to the control group; terrain scenes belonged to the experiment group.
3.2. Scene Green Visual Rate
3.2.1. Physiological Recovery Effects
A one-way ANOVA was used to compare the effects of the four green vision levels on electrodermal activity and HRV. There were no significant differences in electrodermal activity (p > 0.05) or HRV (p > 0.05) between the different green vision levels (Appendix A, Table A4, Table A5, Table A6 and Table A7).
3.2.2. Perceptual Restorability Effects
ANOVA was used to compare the effects of the four green vision ratings on the perceptual restorability evaluation (Appendix A, Table A8 and Table A9). There were significant differences among the different green vision ratings in the perceptual restorability evaluation (F = 3.198, p < 0.05). A one-way ANOVA was used to compare the effects of the four green vision levels on positive and negative emotions; the different green vision levels showed no significant difference in positive emotions (F = 1.728, p > 0.05). However, there were significant differences in the improvement effects of the different green vision levels on negative emotions (F = 2.473, p < 0.05) (Table 3).

Table 3.
Univariate variance analysis of the effects of different green vision ratings on psychological activity.
Simultaneously, we conducted a descriptive analysis of the effects of the results of the different green vision levels on the perceptual restorative evaluation, as well as on positive and negative emotions (Table 4). To accurately assess the differences among the groups, post hoc tests were conducted to assess perceptual restorability and the impact of negative emotions. We found a significant difference between low and high green vision levels (p < 0.05), and the value of high green vision was higher in multiple comparisons of the perceptual restorative evaluation. In addition, there was a significant difference between high and low green vision levels (p < 0.05); higher green vision levels had a more significant effect on improving negative emotions in multiple comparisons of negative emotions (Appendix A, Table A10).

Table 4.
Descriptive analysis of different green vision level perceptual restorative results.
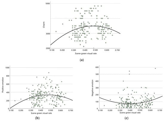
In addition, we used a regression analysis to conduct a four-dimensional analysis of the scene green vision rate perceptual restorative evaluation and found that the regression relationship between the green vision rate and distance, extensibility, and compatibility evaluation was not significant (p > 0.05), but the relationship was significant with charm regression (Appendix A, Table A11). The effect of the green vision rate on the attractiveness evaluation showed a nonlinear relationship. The green vision rate square term T-value was −2.938, p < 0.05, and R2 = 0.045 in the regression model, indicating a good prediction effect (F = 5.066, p = 0.007 < 0.05) (Appendix A, Table A11). In addition, the regression results of the influence of positive and negative emotions (Appendix A, Table A11) showed that the green vision rate correlated with positive and negative emotions, and the relationship was nonlinear. Therefore, the predictive effect of the model was good.
Figure 8 shows the three regression results of the green vision rate experiment. When the attractiveness evaluation was optimal, the greenness rate was 50% (Figure 8a). When the scene was the best for positive emotion enhancement, the green vision rate was 48%, as shown in Figure 8b. When the scene had the best negative emotion recovery, the green vision rate was 40% (Figure 8c).

Figure 8.
Regression analysis of scene green rate in attractiveness, positive emotion, and negative emotion: (a) green visual rate and attractiveness scatterplot analysis; (b) green visual rate and positive emotion scatterplot analysis; (c) green visual rate and negative emotion scatterplot analysis. (Dots represent the results of positive emotions under different green vision rates in the experiment; The line represents the fitting curve of all points in the experiment that influence the result.)
4. Discussion
Our study confirmed that the scene topography, pavement material, and scene green vision rate of greenspaces have different mitigating effects on student anxiety.
4.1. Terrain Scene and Pavement Material
There was a significant effect on the participants’ perceptual restoration ratings of terrain elements, and all four dimensions of environmental restorativeness were significant, suggesting that terrain can be added to greenspaces to reduce students’ anxiety.
For the different paving materials, the participants showed no significant results, except for in the SCL index. We speculate that there are two reasons for this finding. First, due to the limitations of the VR environment experience equipment, the participants could only obtain the restorative benefits of the scene through visual sensory stimulation. However, in addition to visual differences, tactile differences are also important characteristics of paving materials. Tactile experiences may enhance the sense of connection with nature and aid in psychological recovery []. The tactile perception of different materials affects individuals’ sense of pleasure []. There was an inability to perceive the tactile change in the material, but the restoration brought about by the difference in the material will have a greater impact. Second, in the production of scene models, owing to the technical limitations of modelling software material libraries, it is impossible to create more representative paving styles for natural and artificial materials.
4.2. Scene Green Visual Rate
Green vision had no significant effect on physiological recovery, yet it showed good performance in psychological recovery, particularly in improving negative emotions. Previous studies have shown that higher green vision is associated with lower levels of negative emotions [,]. Compared with higher green vision (>54%), high green vision (42%–54%) had higher scores in the perceptual recovery assessment and negative emotion assessment, which can be interpreted by previous research findings. Dense vegetation can obstruct the view and cause discomfort or even fear []; compared with a heavily wooded landscape, places with moderate tree cover may be more suitable for recreational activities []. Jiang found an inverted U-shaped dose–response curve when investigating the effect of green vision on male stress recovery. The data confirmed that the effect of green visibility on stress recovery is not “the higher, the better” [].
4.3. Others
The restorative benefits attributed to greenspace components were mainly reflected from a subjective perception perspective, and there was no significant correlation from a physiological perspective, except for pavement material. We hypothesised that changes in physiological indicators require more refined measurement and analysis methods and may be disrupted by several factors, making it relatively difficult to capture the relationship between restorative benefits and greenspace components. Moreover, limitations of the experimental design and measurement methods may have led to different trends in the observed results. For example, there may be subtle associations between the physiological indicators used in this study and recovery benefits. However, these associations were not observed due to insufficient experimental measurements or improper analytical methods. In contrast, subjective perception measures may be better suited for capturing restorative benefits and are therefore more likely to show a link between subjective perception and greenspace components in observations.
In addition, terrain elements, pavement materials, and scene green vision rates did not significantly affect positive emotions, possibly due to the nonlinear relationship between the influence of terrain elements, pavement materials, and scene green visual rates on emotions. Failure to capture a nonlinear relationship may lead to uncertainty in the results.
4.4. Research Innovation
Previous studies have primarily focused on the overall restorative effects of urban greenspaces and therefore lacked in-depth research on the restorative effects of the components of urban greenspaces. In addition, most studies on urban greenspace restorative environments are based on sampling surveys of actual greenspaces, and the research index is relatively simple. Conversely, our study focused on three basic components of accessible greenspaces and used both psychological and physiological indicators to assess the restorative effects of greenspace components on students, making the experimental results more accurate []. In addition, our experiments were conducted in a VR environment; although actual greenspace provides a more realistic three-dimensional experience, it is difficult to specifically study the restorative effect of one or several specific greenspace components due to the influence of many factors (light, sound, etc.). This can be avoided by reducing the interference of external variables in the VR experimental environment.
4.5. Research Limitation and Further Study
This study has some limitations. First, although VR technology can replace some experiences in reality, a gap remains between reality and VR []. Attempts should be made to conduct comparative experiments between virtual and actual experiences [], improve VR scenes through the difference in and identification of the experimental results, and enhance the virtual exposure effect on participants. Additionally, this study was based on vision. Most current virtual reality research on greenspaces is conducted from the perspectives of sight and sound, which are crucial for reducing psychological stress. Smells are also available; however, touch and taste cannot be simulated for technical reasons []. In the future, VR technology may be able to replicate the multisensory experience of greenspaces to a greater extent, and actual outdoor environmental factors (haptic, odour, etc.) can be added to verify the validity of our conclusions. Finally, due to the limitations of the COVID-19 pandemic, our subjects were limited to our university []. In follow-up research, similar studies should be conducted with students from different cultural backgrounds and educational levels to make the results more universal.
5. Conclusions
According to the above results, we can draw the following conclusions.
5.1. Terrain Scene and Pavement Material
In terms of physiological recovery, the data showed no significant difference between the terrain and non-terrain scenes. Topographic elements have a significant impact on perceptual recovery. The perceptual recovery score and the positive and negative emotional change results for the terrain scene were significantly better than those for the non-terrain scene.
In this study, a significant difference was found in physiological recovery due to the influence of pavement material, whereas no significant correlation was found for perceptual recovery.
5.2. Scene Green Visual Rate
There were significant differences in the perceptual recovery score and changes in negative emotions among the different green vision rate levels; however, there were no significant differences in the changes in positive emotions. A higher green vision rate (42%–54%) was significantly better than a low green vision rate (<37%) or a high green vision rate (>54%) in the recovery of negative emotions. There were no significant differences in the physiological recovery between the different green vision rates. According to the established regression relationship, the scene charm evaluation value was the highest when the green vision rate was 50%.
The degree of improvement in the positive emotion scene was the best when the green vision rate was 48%, and the degree of improvement in the negative emotion scene was the best when the green vision rate was 40%.
The results suggest that incorporating unrolling terrain, using natural paving materials, and adjusting the green amount of different greenspaces according to the green vision rate (42%–54%) can improve students’ anxiety regarding greenspace design with high recovery efficiency. In the space designed to attract students, the greenery areas in the control scene were 50%. When the space was designed to enhance positive emotions and alleviate negative emotions in the students, the greenery rates in the control scene were 48% and 40%, respectively. This study provides novel insights into the advantages of restorative environmental elements.
Author Contributions
Conceptualisation, Y.X.; data curation, R.Z. and H.L.; formal analysis, Y.X.; funding acquisition, T.X., B.Z. and W.W.; methodology, Y.X.; project administration, W.W.; resources, B.Z.; software, T.X.; supervision, W.W.; visualisation, R.Z.; and writing—original draft, R.Z. All authors have read and agreed to the published version of the manuscript.
Funding
This work was supported by the Priority Academic Program Development of Jiangsu Higher Education Institutions (No. 164120230) for Zhao B., the General Project of Philosophy and Social Science Research in the Universities of Jiangsu Province (No. 2019SJA0438) for Wei W., and the project of the Innovation Programme for Postgraduate Research and Practice in Jiangsu Province (No. SJCX230352) for Xia T.
Data Availability Statement
The data presented in this study are available upon request, and we declare the confidentiality of personal data.
Acknowledgments
We thank the editors and reviewers of the journal for their valuable suggestions for improving the manuscript.
Conflicts of Interest
The authors declare no conflicts of interest.
Appendix A

Table A1.
Participants’ self-rated statistically described results.
Table A1.
Participants’ self-rated statistically described results.
Mean (SD) | Min | Max | Skewness | Kurtosis | |
---|---|---|---|---|---|
Depression self-rated results | 2.03 (0.135) | 1 | 4 | 0.631 | 0.320 |
Anxiety self-rated results | 1.42 (0.108) | 1 | 4 | 1.986 | 5.628 |
Health self-rated results | 73.03 (2.890) | 20 | 100 | −1.132 | 1.315 |

Table A2.
Descriptive statistics of segmentation results of scene green visual rate.
Table A2.
Descriptive statistics of segmentation results of scene green visual rate.
Mean (SD) | Min | Max | Skewness | Kurtosis | |
---|---|---|---|---|---|
Green visual rate | 0.448 (0.07) | 3.61 (0.12) | 3.50 (0.12) | 2.21 (0.10) | 3.43 (0.13) |

Table A3.
Mean and total mean scores of different scenario restorative characteristics.
Table A3.
Mean and total mean scores of different scenario restorative characteristics.
Total Points Mean (SD) | Scene Recovery Feature Dimension | ||||
---|---|---|---|---|---|
Distancing Mean (SD) | Charm Mean (SD) | Extensibility Mean (SD) | Compatibility Mean (SD) | ||
Non-terrain scenes | 3.18 (0.07) | 3.61 (0.12) | 3.50 (0.12) | 2.21 (0.10) | 3.43 (0.13) |
Terrain scenes | 3.39 (0.06) | 3.70 (0.14) | 3.64 (0.15) | 2.32 (0.12) | 3.51 (0.12) |

Table A4.
Homogeneity test of variance based on mean for the effects of different green visual rates on physiological recovery.
Table A4.
Homogeneity test of variance based on mean for the effects of different green visual rates on physiological recovery.
Levene Statistics | df1 | df2 | p | |
---|---|---|---|---|
SCL | 1.739 | 3 | 212 | 0.160 |
RMMSD | 3.719 | 3 | 212 | * 0.012 |
The significance level was set at 0.05; * p < 0.05.

Table A5.
The influence of scene green visual rate on RMSSD by means equality robust test.
Table A5.
The influence of scene green visual rate on RMSSD by means equality robust test.
Statistics | df1 | df2 | p | |
---|---|---|---|---|
Welch | 0.628 | 3 | 104.529 | 0.599 |
Brown–Forsythe | 1.246 | 3 | 51.623 | 0.303 |

Table A6.
Univariate variance analysis of different green vision rating effects on physiological activity.
Table A6.
Univariate variance analysis of different green vision rating effects on physiological activity.
Quadratic Sum | df | Mean Square | f | p | ||
---|---|---|---|---|---|---|
SCL | Between groups | 53.869 | 3 | 17.956 | 0.800 | 0.495 |
Within group | 4758.836 | 212 | 22.447 | |||
Total | 4812.705 | 215 |

Table A7.
Descriptive analysis of the different green vision level effects on physiological activity.
Table A7.
Descriptive analysis of the different green vision level effects on physiological activity.
Indicator | Green Vision Rating | Mean (SD) | 95% Confidence Interval for the Mean | Min | Max | |
---|---|---|---|---|---|---|
Low | High | |||||
SCL | Lower green vision (n = 58) | −4.147 (5.565) | −5.611 | −2.684 | −29.720 | 7.060 |
Low green vision (n = 53) | −3.436 (3.863) | −4.501 | −2.371 | −19.090 | 2.640 | |
High green vision (n = 52) | −3.232 (4.059) | −4.362 | −2.102 | −22.790 | 5.990 | |
Higher green vision (n = 53) | −2.786 (5.147) | −4.204 | −1.367 | −16.150 | 16.030 | |
Total (n = 216) | −3.418 (4.731) | −4.053 | −2.784 | −29.720 | 16.030 | |
RMSSD | Lower green vision (n = 58) | 10.786 (70.724) | −7.810 | 29.382 | −427.870 | 205.840 |
Low green vision (n = 53) | 13.056 (21.451) | 7.144 | 18.969 | −53.370 | 71.610 | |
High green vision (n = 52) | 175.502 (1043.055) | −114.887 | 465.890 | −28.340 | 7545.790 | |
Higher green vision (n = 53) | 17.362 (36.986) | 7.167 | 27.556 | −53.370 | 205.950 | |
Total (n = 216) | 52.610 (514.451) | −16.385 | 121.605 | −427.870 | 7545.790 |

Table A8.
Homogeneity test of variance based on mean for the effects of different green visual rates on perceptual recovery.
Table A8.
Homogeneity test of variance based on mean for the effects of different green visual rates on perceptual recovery.
Levene Statistics | df1 | df2 | p |
---|---|---|---|
Scene green vision level effect on perceptual restorative evaluation | |||
2.891 | 3 | 212 | * 0.036 |
Scene green vision level effect on positive emotions | |||
1.501 | 3 | 212 | 0.215 |
Scene green vision level effect on negative emotions | |||
0.398 | 3 | 212 | 0.755 |
The significance level of the difference is 0.05; * p < 0.05.

Table A9.
Scene green vision level effect on perceptual restorative evaluation by means equality robust test.
Table A9.
Scene green vision level effect on perceptual restorative evaluation by means equality robust test.
Statistics | df1 | df2 | p | |
---|---|---|---|---|
Welch | 3.198 | 3 | 116.213 | 0.026 |
Brown–Forsythe | 3.286 | 3 | 196.498 | 0.022 |

Table A10.
Multiple comparisons of different levels of green vision.
Table A10.
Multiple comparisons of different levels of green vision.
Green Vision Rating (I) | Green Vision Rating (J) | Mean Difference (I−J) | p | |
---|---|---|---|---|
Multiple perceptual restorative evaluation comparisons | Lower green vision (<37%) | Low green vision (37%–42%) | −0.134 (−0.393, 0.124) | 0.664 |
High green vision (42%–54%) | −0.266706 (−0.506, −0.02) | * 0.021 | ||
Higher green vision (>54%) | −0.185 (−0.397, 0.026) | 0.116 | ||
Low green vision (37%–42%) | Lower green vision (<37%) | 0.134 (−0.124, 0.393) | 0.664 | |
High green vision (42%–54%) | −0.132 (−0.393, 0.129) | 0.688 | ||
Higher green vision (>54%) | −0.051 (−0.287, 0.185) | 0.993 | ||
High green vision (42%–54%) | Lower green vision (<37%) | 0.266706 (0.028, 0.506) | * 0.021 | |
Low green vision (37%–42%) | 0.132 (−0.129, 0.393) | 0.688 | ||
Higher green vision (>54%) | 0.081 (−0.133, 0.295) | 0.893 | ||
Higher green vision (>54%) | Lower green vision (<37%) | 0.185 (−0.026, 0.397) | 0.116 | |
Low green vision (37%–42%) | 0.051 (−0.185, 0.287) | 0.993 | ||
High green vision (42%–54%) | −0.081 (−0.295, 0.133) | 0.893 | ||
Negative emotions affect multiple comparisons | Lower green vision (<37%) | Low green vision (37%–42%) | 11.346 (−72.46, 95.15) | 0.790 |
High green vision (42%–54%) | 61.104 (−23.12, 145.33) | 0.154 | ||
Higher green vision (>54%) | −57.126 (−140.93, 26.68) | 0.180 | ||
Low green vision (37%–42%) | Lower green vision (<37%) | −11.346 (−95.15, 72.46) | 0.790 | |
High green vision (42%–54%) | 49.758 (−36.32, 135.84) | 0.256 | ||
Higher green vision (>54%) | −68.472 (−154.14, 17.20) | 0.117 | ||
High green vision (42%–54%) | Lower green vision (<37%) | −61.104 (−145.33, 23.12) | 0.154 | |
Low green vision (37%–42%) | −49.758 (−135.84, 36.32) | 0.256 | ||
Higher green vision (>54%) | −118.230 (−204.31, −32.15) | * 0.007 | ||
Higher green vision (>54%) | Lower green vision (<37%) | 57.126 (−26.68, 140.93) | 0.180 | |
Low green vision (37%–42%) | 68.472 (−17.20, 154.14) | 0.117 | ||
High green vision (42%–54%) | 118.230 (32.15, 204.31) | * 0.007 |
The significance level of the difference is 0.05; * p < 0.05.

Table A11.
Green rate perception evaluation regression model on four-dimensional analysis, positive emotions, and negative emotions.
Table A11.
Green rate perception evaluation regression model on four-dimensional analysis, positive emotions, and negative emotions.
Y | X | Unstandardised Regression Coefficient | Standardised Regression Coefficient | p | t | ||
---|---|---|---|---|---|---|---|
B | SE | Beta | |||||
Four dimensions | Charm | R2 = 0.045, Adjust R2 = 0.036 | F = 5.066, * p = 0.007 | ||||
(constant) | 0.457 | 0.989 | 0.644 | 0.462 | |||
Green visual index | 13.632 | 4.453 | * 0.002 | 3.061 | |||
(Green visual index)2 | −14.207 | 4.836 | * 0.004 | −2.938 | |||
Distance | R2 = 0.0028, Adjust R2 = −0.0018 | F = 0.6163, p = 0.4333 | |||||
(constant) | 3.4482 | 0.2443 | <2 × 10−16 | 14.113 | |||
Green visual index | 0.4172 | 0.5315 | 0.433 | 0.785 | |||
(Green visual index)2 | 0.4172 | 0.5315 | 0.433 | 0.785 | |||
Extensibility | R2 = 0.0022, Adjust R2 = −0.0024 | F = 0.4823, p = 0.4881 | |||||
(constant) | 2.4999 | 0.2258 | <2 × 10−16 | 11.073 | |||
Green visual index | −0.3411 | 0.4911 | 0.488 | −0.695 | |||
(Green visual index)2 | −0.3411 | 0.4911 | 0.488 | −0.695 | |||
Compatibility | R2 = 0.0093, Adjust R2 = 0.0047 | F = 2.014, p = 0.1573 | |||||
(constant) | 3.0760 | 0.2495 | <2 × 10−16 | 12.327 | |||
Green visual index | 0.7703 | 0.5428 | 0.157 | 1.419 | |||
(Green visual index)2 | 0.7703 | 0.5428 | 0.157 | 1.419 | |||
Emotions | Positive emotions | R2 = 0.028, Adjust R2 = 0.019 | F = 3.084, p = 0.048 * | ||||
(constant) | −188.827 | 205.905 | 0.360 | −0.917 | |||
Green visual index | 2160.657 | 927.109 | 1.344 | 0.021 | 2.331 | ||
(Green visual index)2 | −2228.868 | 1006.696 | −1.277 | *0.028 | −2.214 * | ||
Negative emotions | R2 = 0.033, Adjust R2 = 0.024 | F = 3.627, p = 0.028 * | |||||
(constant) | 232.496 | 112.383 | 0.040 | 2.069 | |||
Green visual index | −810.122 | 506.019 | −0.921 | 0.111 | −1.601 | ||
(Green visual index)2 | 1012.957 | 549.458 | 1.061 | * 0.047 | 1.844 |
The significance level of the difference is 0.05; * p < 0.05.
Appendix B

Figure A1.
Background questionnaire about participants’ recent physical and mental conditions.

Table A12.
Perceptual recovery scale (PRS).
Table A12.
Perceptual recovery scale (PRS).
One Point—Five Points | Scene A | Scene B | Scene C | Scene D | Scene E | |
---|---|---|---|---|---|---|
1 | Here I feel relieved | |||||
2 | It provides a break from my daily routine | |||||
3 | Here I can temporarily escape from the stress of daily life and study | |||||
4 | This place helps me relax | |||||
5 | This will help me reduce unnecessary attention consumption | |||||
6 | I find this scene attractive | |||||
7 | My attention is drawn to many interesting things | |||||
8 | I want to know more about this place | |||||
9 | There is so much to explore and discover here | |||||
10 | I wish I had more time to spend looking around | |||||
11 | It is boring here | |||||
12 | It is charming here | |||||
13 | Nothing to look at here | |||||
14 | There are too many things here | |||||
15 | I am confused here | |||||
16 | There are too many things here to distract me | |||||
17 | It is chaotic here | |||||
18 | This is the place for me | |||||
19 | I can do what I want here | |||||
20 | I feel like I belong here | |||||
21 | I can enjoy happiness here | |||||
22 | I feel so connected to the scene |

Table A13.
Positive and negative affect scale (PANAS).
Table A13.
Positive and negative affect scale (PANAS).
One Point—One Hundred Points | Scene A | Scene B | Scene C | Scene D | Scene E | |
---|---|---|---|---|---|---|
1 | I am interested | |||||
2 | I am restless | |||||
3 | I am excited | |||||
4 | I am upset | |||||
5 | I am full of energy | |||||
6 | I am guilty | |||||
7 | I am terrified | |||||
8 | I feel trepidation | |||||
9 | I am passionate | |||||
10 | I am proud | |||||
11 | I am angry | |||||
12 | I am vigilant | |||||
13 | I feel ashamed | |||||
14 | I am inspired | |||||
15 | I feel nervous | |||||
16 | I am determined | |||||
17 | I am focused | |||||
18 | I am disturbed | |||||
19 | I am alive | |||||
20 | I am scared |
References
- Bornioli, A.; Subiza-Perez, M. Restorative urban environments for healthy cities: A theoretical model for the study of restorative experiences in urban built settings. Landsc. Res. 2023, 48, 152–163. [Google Scholar] [CrossRef]
- Chung, W.K.; Lin, M.; Chau, C.K.; Masullo, M.; Pascale, A.; Leung, T.M.; Xu, M. On the study of the psychological effects of blocked views on dwellers in high dense urban environments. Landsc. Urban Plan. 2022, 221, 104379. [Google Scholar] [CrossRef]
- Ferrari, A.J.; Santomauro, D.F.; Herrera, A.M.M.; Shadid, J.; Ashbaugh, C.; Erskine, H.E.; Charlson, F.J.; Degenhardt, L.; Scott, J.G.; McGrath, J.J.; et al. Global, regional, and national burden of 12 mental disorders in 204 countries and territories, 1990–2019: A systematic analysis for the Global Burden of Disease Study 2019. Lancet Psychiatry 2022, 9, 137–150. [Google Scholar] [CrossRef]
- Beiter, R.; Nash, R.; McCrady, M.; Rhoades, D.; Linscomb, M.; Clarahan, M.; Sammut, S. The prevalence and correlates of depression, anxiety, and stress in a sample of college students. J. Affect. Disord. 2015, 173, 90–96. [Google Scholar] [CrossRef] [PubMed]
- Yang, T.; Barnett, R.; Fan, Y.; Li, L. The effect of urban green space on uncertainty stress and life stress: A nationwide study of university students in China. Health Place 2019, 59, 10219. [Google Scholar] [CrossRef]
- Diethelm, O.; Jones, M.R. Influence of anxiety on attention, learning, retention and thinking. Arch. Neurol. Psychiatry 1947, 58, 325–336. [Google Scholar] [CrossRef]
- Ryan, I. Anxious Generation: A Review of the Relationship Between Anxiety Disorders and Cardiovascular Disease in Youth. Curr. Epidemiol. Rep. 2020, 7, 39–43. [Google Scholar] [CrossRef]
- Baik, C.; Larcombe, W.; Brooker, A. How universities can enhance student mental wellbeing: The student perspective. High. Educ. Res. Dev. 2019, 38, 674–687. [Google Scholar]
- Markevych, I.; Schoierer, J.; Hartig, T.; Chudnovsky, A.; Hystad, P.; Dzhambov, A.M.; de Vries, S.; Triguero-Mas, M.; Brauer, M.; Nieuwenhuijsen, M.J.; et al. Exploring pathways linking greenspace to health: Theoretical and methodological guidance. Environ. Res. 2017, 158, 301–317. [Google Scholar] [CrossRef]
- Collins, C.; Haase, D.; Heiland, S.; Kabisch, N. Urban green space interaction and wellbeing—Investigating the experience of international students in Berlin during the first COVID-19 lockdown. Urban For. Urban Green. 2022, 70, 127543. [Google Scholar] [CrossRef]
- Hystad, P.; Payette, Y.; Noisel, N.; Boileau, C. Green space associations with mental health and cognitive function: Results from the Quebec CARTaGENE cohort. Environ. Epidemiol. 2019, 3, e040. [Google Scholar] [CrossRef] [PubMed]
- Wang, X.; Zhou, Q.; Zhang, M.; Zhang, Q. Exercise in the Park or Gym? The Physiological and Mental Responses of Obese People Walking in Different Settings at Different Speeds: A Parallel Group Randomized Trial. Front. Psychol. 2021, 12, 728826. [Google Scholar] [CrossRef] [PubMed]
- Hou, J.; Wang, Y.; Zhou, D.; Gao, Z. Environmental Effects from Pocket Park Design According to District Planning Patterns-Cases from Xi’an, China. Atmosphere 2022, 13, 300. [Google Scholar] [CrossRef]
- Wyles, K.J.; White, M.P.; Hattam, C.; Pahl, S.; King, H.; Austen, M. Are some natural environments more psychologically beneficial than others? The importance of type and quality on connectedness to nature and psychological restoration. Environ. Behav. 2019, 51, 111–143. [Google Scholar] [CrossRef]
- Kaplan, S. The Restorative Environment: Nature and Human Experience; Timber Press: Portland, OR, USA, 1992. [Google Scholar]
- Ulrich, R.S. Aesthetic and affective response to natural environment. In Behavior and the Natural Environment; Springer: Berlin/Heidelberg, Germany, 1983; pp. 85–125. [Google Scholar]
- Nukarinen, T.; Rantala, J.; Korpela, K.; Browning, M.H.E.M.; Istance, H.O.; Surakka, V.; Raisamo, R. Measures and modalities in restorative virtual natural environments: An integrative narrative review. Comput. Hum. Behav. 2022, 126, 107008. [Google Scholar] [CrossRef]
- Berto, R. Assessing the restorative value of the environment: A study on the elderly in comparison with young adults and adolescents. Int. J. Psychol. 2007, 42, 331–341. [Google Scholar] [CrossRef]
- Fang, M.Q.; Cheol, K.J. A Study on the Relationship between Young People’s Perceived Restorative Environment and Stress Relief in Urban Parks. Des. Res. 2021, 6, 105–120. [Google Scholar] [CrossRef]
- Lee, K.E.; Williams, K.J.H.; Sargent, L.D.; Williams, N.S.G.; Johnson, K.A. 40-second green roof views sustain attention: The role of micro-breaks in attention restoration. J. Environ. Psychol. 2015, 42, 182–189. [Google Scholar] [CrossRef]
- Akpinar, A. How perceived sensory dimensions of urban green spaces are associated with teenagers’ perceived restoration, stress, and mental health? Landsc. Urban Plan. 2021, 214, 104185. [Google Scholar] [CrossRef]
- Holt, E.W.; Lombard, Q.K.; Best, N.; Smiley-Smith, S.; Quinn, J.E. Active and Passive Use of Green Space, Health, and Well-Being amongst University Students. Int. J. Environ. Res. Public Health 2019, 16, 424. [Google Scholar] [CrossRef]
- Li, D.; Sullivan, W.C. Impact of views to school landscapes on recovery from stress and mental fatigue. Landsc. Urban Plan. 2016, 148, 149–158. [Google Scholar] [CrossRef]
- Mattila, O.; Korhonen, A.; Poyry, E.; Hauru, K.; Holopainen, J.; Parvinen, P. Restoration in a virtual reality forest environment. Comput. Hum. Behav. 2020, 107, 106295. [Google Scholar] [CrossRef]
- Leung, G.Y.S.; Hazan, H.; Chan, C.S. Exposure to nature in immersive virtual reality increases connectedness to nature among people with low nature affinity. J. Environ. Psychol. 2022, 83, 101863. [Google Scholar] [CrossRef]
- Theodorou, A.; Romano, L.; Bratman, G.N.; Carbone, G.A.; Rodelli, R.; Casagrande, G.; Panno, A. Different types of virtual natural environments enhance subjective vitality through restorativeness. J. Environ. Psychol. 2023, 87, 101981. [Google Scholar] [CrossRef]
- Li, H.; Dong, W.; Wang, Z.; Chen, N.; Wu, J.; Wang, G.; Jiang, T. Effect of a Virtual Reality-Based Restorative Environment on the Emotional and Cognitive Recovery of Individuals with Mild-to-Moderate Anxiety and Depression. Int. J. Environ. Res. Public Health 2021, 18, 9053. [Google Scholar] [CrossRef]
- Lähtevänoja, A.; Holopainen, J.; Mattila, O.; Parvinen, P. The use of virtual reality as a potential restorative environment in school during recess. In Proceedings of the Digital Transformation and Global Society: 5th International Conference, DTGS 2020, St. Petersburg, Russia, 17–19 June 2020; Revised Selected Papers 5. Springer: Berlin/Heidelberg, Germany, 2020; pp. 436–446. [Google Scholar]
- Reese, G.; Stahlberg, J.; Menzel, C. Digital shinrin-yoku: Do nature experiences in virtual reality reduce stress and increase well-being as strongly as similar experiences in a physical forest? Virtual Real. 2022, 26, 1245–1255. [Google Scholar] [CrossRef]
- Chan, S.H.M.; Qiu, L.; Esposito, G.; Mai, K.P.; Tam, K.-P.; Cui, J. Nature in virtual reality improves mood and reduces stress: Evidence from young adults and senior citizens. Virtual Real. 2021, 27, 3285–3300. [Google Scholar] [CrossRef]
- White, M.P.; Yeo, N.L.; Vassiljev, P.; Lundstedt, R.; Wallergard, M.; Albin, M.; Lohmus, M. A prescription for “nature”—The potential of using virtual nature in therapeutics. Neuropsychiatr. Dis. Treat. 2018, 14, 3001–3013. [Google Scholar] [CrossRef]
- Depledge, M.H.; Stone, R.J.; Bird, W.J. Can natural and virtual environments be used to promote improved human health and wellbeing? Environ. Sci. Technol. 2011, 45, 4660–4665. [Google Scholar] [CrossRef]
- Ünal, A.B.; Pals, R.; Steg, L.; Siero, F.W.; van der Zee, K.I. Is virtual reality a valid tool for restorative environments research? Urban For. Urban Green. 2022, 74, 127673. [Google Scholar] [CrossRef]
- Newman, M.; Gatersleben, B.; Wyles, K.J.; Ratcliffe, E. The use of virtual reality in environment experiences and the importance of realism. J. Environ. Psychol. 2022, 79, 101733. [Google Scholar] [CrossRef]
- Wang, Z.; Li, Y.; An, J.; Dong, W.; Li, H.; Ma, H.; Wang, J.; Wu, J.; Jiang, T.; Wang, G. Effects of Restorative Environment and Presence on Anxiety and Depression Based on Interactive Virtual Reality Scenarios. Int. J. Environ. Res. Public Health 2022, 19, 7878. [Google Scholar] [CrossRef] [PubMed]
- Huang, Q.; Yang, M.; Jane, H.-a.; Li, S.; Bauer, N. Trees, grass, or concrete? The effects of different types of environments on stress reduction. Landsc. Urban Plan. 2020, 193, 103654. [Google Scholar] [CrossRef]
- Deng, L.; Li, X.; Luo, H.; Fu, E.-K.; Ma, J.; Sun, L.-X.; Huang, Z.; Cai, S.-Z.; Jia, Y. Empirical study of landscape types, landscape elements and landscape components of the urban park promoting physiological and psychological restoration. Urban For. Urban Green. 2020, 48, 126488. [Google Scholar] [CrossRef]
- Tyrväinen, L.; Ojala, A.; Korpela, K.; Lanki, T.; Tsunetsugu, Y.; Kagawa, T. The influence of urban green environments on stress relief measures: A field experiment. J. Environ. Psychol. 2014, 38, 1–9. [Google Scholar] [CrossRef]
- Gidlow, C.J.; Jones, M.V.; Hurst, G.; Masterson, D.; Clark-Carter, D.; Tarvainen, M.P.; Smith, G.; Nieuwenhuijsen, M. Where to put your best foot forward: Psycho-physiological responses to walking in natural and urban environments. J. Environ. Psychol. 2016, 45, 22–29. [Google Scholar] [CrossRef]
- Stragà, M.; Miani, C.; Mäntylä, T.; Bruine de Bruin, W.; Mottica, M.; Del Missier, F. Into the wild or into the library? Perceived restorativeness of natural and built environments. J. Environ. Psychol. 2023, 91, 102131. [Google Scholar] [CrossRef]
- Weber, A.M.; Trojan, J. The restorative value of the urban environment: A systematic review of the existing literature. Environ. Health Insights 2018, 12, 1178630218812805. [Google Scholar]
- Sugimine, S.; Saito, S.; Takazawa, T. Normalized skin conductance level could differentiate physical pain stimuli from other sympathetic stimuli. Sci. Rep. 2020, 10, 10950. [Google Scholar] [CrossRef]
- Qasim, M.S.; Bari, D.S.; Martinsen, O.G. Influence of ambient temperature on tonic and phasic electrodermal activity components. Physiol. Meas. 2022, 43, 065001. [Google Scholar] [CrossRef]
- Drawz, P.E.; Babineau, D.C.; Brecklin, C.; He, J.; Kallem, R.R.; Soliman, E.Z.; Xie, D.; Appleby, D.; Anderson, A.H.; Rahrnan, M.; et al. Heart Rate Variability Is a Predictor of Mortality in Chronic Kidney Disease: A Report from the CRIC Study. Am. J. Nephrol. 2013, 38, 517–528. [Google Scholar] [CrossRef]
- Tegegne, B.S.; Man, T.F.; van Roon, A.M.; Riese, H.; Snieder, H. To the Editor-10-second ECG-based RMSSD as valid measure of HRV. Heart Rhythm. 2019, 16, E35. [Google Scholar] [CrossRef] [PubMed]
- Han, K.-T. A review of self-report scales on restoration and/or restorativeness in the natural environment. J. Leis. Res. 2018, 49, 151–176. [Google Scholar] [CrossRef]
- Crawford, J.R.; Henry, J.D. The positive and negative affect schedule (PANAS): Construct validity, measurement properties and normative data in a large non-clinical sample. Br. J. Clin. Psychol. 2004, 43, 245–265. [Google Scholar] [CrossRef] [PubMed]
- Jang, Y.; Son, Y. The Characteristics of Urban Forests as Restorative Environments with the use of the Perceived Restorativeness Scale: Focusing on the Hongneung Experimental Forest, Seoul, South Korea. Int. Rev. Spat. Plan. Sustain. Dev. 2020, 8, 107–123. [Google Scholar] [CrossRef]
- Halbeisen, G.; Domes, G.; Walther, E. Is stress colorblind? Exploring endocrine stress responses in intergroup contexts using a virtual reality-based Trier Social Stress Test (TSST-VR). Psychoneuroendocrinology 2023, 147, 105970. [Google Scholar] [CrossRef]
- Man, I.S.C.; Shao, R.; Hou, W.K.; Xin Li, S.; Liu, F.Y.; Lee, M.; Wing, Y.K.; Yau, S.-y.; Lee, T.M.C. Multi-systemic evaluation of biological and emotional responses to the Trier Social Stress Test: A meta-analysis and systematic review. Front. Neuroendocrinol. 2023, 68, 101050. [Google Scholar] [CrossRef]
- Yao, Y.; Liang, Z.; Yuan, Z.; Liu, P.; Bie, Y.; Zhang, J.; Wang, R.; Wang, J.; Guan, Q. A human-machine adversarial scoring framework for urban perception assessment using street-view images. Int. J. Geogr. Inf. Sci. 2019, 33, 2363–2384. [Google Scholar] [CrossRef]
- Rickard, S.C.; White, M.P. Barefoot walking, nature connectedness and psychological restoration: The importance of stimulating the sense of touch for feeling closer to the natural world. Landsc. Res. 2021, 46, 975–991. [Google Scholar]
- Marschallek, B.E.; Low, A.; Jacobsen, T. You can touch this! Brain correlates of aesthetic processing of active fingertip exploration of material surfaces. Neuropsychologia 2023, 182, 108520. [Google Scholar] [CrossRef]
- Wang, R.; Browning, M.H.E.M.; Qin, X.; He, J.; Wu, W.; Yao, Y.; Liu, Y. Visible green space predicts emotion: Evidence from social media and street view data. Appl. Geogr. 2022, 148, 102803. [Google Scholar] [CrossRef]
- Mahrous, A.; Dewidar, K.; Refaat, M.; Nessim, A. The impact of biophilic attributes on university students level of Satisfaction: Using virtual reality simulation. Ain Shams Eng. J. 2024, 15, 102304. [Google Scholar] [CrossRef]
- Jansson, M.; Fors, H.; Lindgren, T.; Wistrom, B. Perceived personal safety in relation to urban woodland vegetation—A review. Urban For. Urban Green. 2013, 12, 127–133. [Google Scholar] [CrossRef]
- Brown, R.D.; Corry, R.C. Evidence-based landscape architecture: The maturing of a profession. Landsc. Urban Plan. 2011, 100, 327–329. [Google Scholar] [CrossRef]
- Jiang, B.; Chang, C.-Y.; Sullivan, W.C. A dose of nature: Tree cover, stress reduction, and gender differences. Landsc. Urban Plan. 2014, 132, 26–36. [Google Scholar] [CrossRef]
- Li, X.; Zhang, X.; Jia, T. Humanization of nature: Testing the influences of urban park characteristics and psychological factors on collegers’ perceived restoration. Urban For. Urban Green. 2023, 79, 127806. [Google Scholar] [CrossRef]
- Wilson, C.J.; Soranzo, A. The use of virtual reality in psychology: A case study in visual perception. Comput. Math. Methods Med. 2015, 2015, 151702. [Google Scholar]
- Browning, M.; Shipley, N.; McAnirlin, O.; Becker, D.; Yu, C.P.; Hartig, T.; Dzhambov, A.M. An Actual Natural Setting Improves Mood Better Than Its Virtual Counterpart: A Meta-Analysis of Experimental Data. Front. Psychol. 2020, 11, 2200. [Google Scholar] [CrossRef]
- Hejtmánek, L.; Hůla, M.; Herrová, A.; Surový, P. Forest digital twin as a relaxation environment: A pilot study. Front. Virtual Real. 2022, 3, 1033708. [Google Scholar] [CrossRef]
- Zhang, S.; Zhu, K.; Wang, S.; Jin, X.; Li, Y.; Ding, K.; Zhang, Q.; Li, X. A cross-sectional study about coronavirus fear of Chinese college students in school lockdowns during the COVID-19 pandemic. Heliyon 2022, 8, e09892. [Google Scholar] [CrossRef]
Disclaimer/Publisher’s Note: The statements, opinions and data contained in all publications are solely those of the individual author(s) and contributor(s) and not of MDPI and/or the editor(s). MDPI and/or the editor(s) disclaim responsibility for any injury to people or property resulting from any ideas, methods, instructions or products referred to in the content. |
© 2024 by the authors. Licensee MDPI, Basel, Switzerland. This article is an open access article distributed under the terms and conditions of the Creative Commons Attribution (CC BY) license (https://creativecommons.org/licenses/by/4.0/).