Mapping Above-Ground Carbon Stocks at the Landscape Scale to Support a Carbon Compensation Mechanism: The Chocó Andino Case Study
Abstract
:1. Introduction
2. Materials and Methods
2.1. Study Area
2.2. Ground-Truth Data
2.3. Remote Sensing Data Assembling
2.4. Above-Ground Carbon (AGC) Regression Models
2.5. Error and Uncertainty Estimation
2.6. Carbon Maps’ Post-Processing
2.7. Carbon Stocks Spatial Patterns, Gains, and Losses
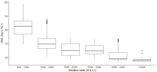
3. Results
4. Discussion
4.1. Uncertainty and Its Impact on the Calculation of Carbon Credits
4.2. Robustness of the AGC Model
4.3. Implications for Forest Conservation and Restoration in the RBCA
4.4. Limitations and Further Research
5. Conclusions
Supplementary Materials
Author Contributions
Funding
Data Availability Statement
Acknowledgments
Conflicts of Interest
References
- Pörtner, H.-O.; Roberts, D.C.; Adams, H.; Adler, C.; Aldunce, P.; Ali, E.; Begum, R.A.; Betts, R.; Kerr, R.B.; Biesbroek, R. Climate Change 2022: Impacts, Adaptation and Vulnerability; IPCC Sixth Assessment Report; IPCC: Geneva, Switzerland, 2022. [Google Scholar]
- Bastin, J.-F.; Finegold, Y.; Garcia, C.; Mollicone, D.; Rezende, M.; Routh, D.; Zohner, C.M.; Crowther, T.W. The Global Tree Restoration Potential. Science 2019, 365, 76–79. [Google Scholar] [CrossRef]
- IPCC Summary for Policymakers. In Climate Change 2022: Mitigation of Climate Change. Contribution of Working Group III to the Sixth Assessment Report of the Intergovernmental Panel on Climate Change; Shukla, P.R.; Skea, J.; Slade, R.; Al Khourdajie, A.; van Diemen, R.; McCollum, D.; Pathak, M.; Some, S.; Vyas, P.; Fradera, R.; et al. (Eds.) Cambridge University Press: Cambridge, UK, 2022; pp. 1–53. [Google Scholar]
- Roe, S.; Streck, C.; Obersteiner, M.; Frank, S.; Griscom, B.; Drouet, L.; Fricko, O.; Gusti, M.; Harris, N.; Hasegawa, T.; et al. Contribution of the Land Sector to a 1.5 °C World. Nat. Clim. Chang. 2019, 9, 817–828. [Google Scholar] [CrossRef]
- Streck, C. REDD+ and Leakage: Debunking Myths and Promoting Integrated Solutions. Clim. Policy 2021, 21, 843–852. [Google Scholar] [CrossRef]
- Goetz, S.J.; Hansen, M.; Houghton, R.A.; Walker, W.; Laporte, N.; Busch, J. Measurement and Monitoring Needs, Capabilities and Potential for Addressing Reduced Emissions from Deforestation and Forest Degradation under REDD+. Environ. Res. Lett. 2015, 10, 123001. [Google Scholar] [CrossRef]
- Cook-Patton, S.C.; Leavitt, S.M.; Gibbs, D.; Harris, N.L.; Lister, K.; Anderson-Teixeira, K.J.; Briggs, R.D.; Chazdon, R.L.; Crowther, T.W.; Ellis, P.W.; et al. Mapping Carbon Accumulation Potential from Global Natural Forest Regrowth. Nature 2020, 585, 545–550. [Google Scholar] [CrossRef] [PubMed]
- Aragón, S.; Salinas, N.; Nina-Quispe, A.; Qquellon, V.H.; Paucar, G.R.; Huaman, W.; Porroa, P.C.; Olarte, J.C.; Cruz, R.; Muñiz, J.G.; et al. Aboveground Biomass in Secondary Montane Forests in Peru: Slow Carbon Recovery in Agroforestry Legacies. Glob. Ecol. Conserv. 2021, 28, e01696. [Google Scholar] [CrossRef]
- Herold, M.; Carter, S.; Avitabile, V.; Espejo, A.B.; Jonckheere, I.; Lucas, R.; McRoberts, R.E.; Næsset, E.; Nightingale, J.; Petersen, R.; et al. The Role and Need for Space-Based Forest Biomass-Related Measurements in Environmental Management and Policy. Surv. Geophys. 2019, 40, 757–778. [Google Scholar] [CrossRef]
- González-Jaramillo, V.; Fries, A.; Zeilinger, J.; Homeier, J.; Paladines-Benitez, J.; Bendix, J. Estimation of above Ground Biomass in a Tropical Mountain Forest in Southern Ecuador Using Airborne LiDAR Data. Remote Sens. 2018, 10, 660. [Google Scholar] [CrossRef]
- Christmann, T.; Menor, I.O. A Synthesis and Future Research Directions for Tropical Mountain Ecosystem Restoration. Sci. Rep. 2021, 11, 23948. [Google Scholar] [CrossRef] [PubMed]
- Cuni-Sanchez, A.; Sullivan, M.J.P.; Platts, P.J.; Lewis, S.L.; Marchant, R.; Imani, G.; Hubau, W.; Abiem, I.; Adhikari, H.; Albrecht, T.; et al. High Aboveground Carbon Stock of African Tropical Montane Forests. Nature 2021, 596, 536–542. [Google Scholar] [CrossRef]
- Christmann, T.; Palomeque, X.; Armenteras, D.; Wilson, S.J.; Malhi, Y.; Oliveras Menor, I. Disrupted Montane Forest Recovery Hinders Biodiversity Conservation in the Tropical Andes. Glob. Ecol. Biogeogr. 2023, 32, 793–808. [Google Scholar] [CrossRef]
- Mathez-Stiefel, S.L.; Peralvo, M.; Báez, S.; Rist, S.; Buytaert, W.; Cuesta, F.; Fadrique, B.; Feeley, K.J.; Groth, A.A.P.; Homeier, J.; et al. Research Priorities for the Conservation and Sustainable Governance of Andean Forest Landscapes. Mt. Res. Dev. 2017, 37, 323–339. [Google Scholar] [CrossRef]
- Asner, G.P.; Brodrick, P.G.; Philipson, C.; Vaughn, N.R.; Martin, R.E.; Knapp, D.E.; Heckler, J.; Evans, L.J.; Jucker, T.; Goossens, B. Mapped Aboveground Carbon Stocks to Advance Forest Conservation and Recovery in Malaysian Borneo. Biol. Conserv. 2018, 217, 289–310. [Google Scholar] [CrossRef]
- Rodríguez-Veiga, P.; Quegan, S.; Carreiras, J.; Persson, H.J.; Fransson, J.E.S.; Hoscilo, A.; Ziółkowski, D.; Stereńczak, K.; Lohberger, S.; Stängel, M.; et al. Forest Biomass Retrieval Approaches from Earth Observation in Different Biomes. Int. J. Appl. Earth Obs. Geoinf. 2019, 77, 53–68. [Google Scholar] [CrossRef]
- Bustamante, M.M.C.; Roitman, I.; Aide, T.M.; Alencar, A.; Anderson, L.O.; Aragão, L.; Asner, G.P.; Barlow, J.; Berenguer, E.; Chambers, J. Toward an Integrated Monitoring Framework to Assess the Effects of Tropical Forest Degradation and Recovery on Carbon Stocks and Biodiversity. Glob. Chang. Biol. 2016, 22, 92–109. [Google Scholar] [CrossRef] [PubMed]
- Blundo, C.; Carilla, J.; Grau, R.; Malizia, A.; Malizia, L.; Osinaga-Acosta, O.; Bird, M.; Bradford, M.; Catchpole, D.; Ford, A. Taking the Pulse of Earth’s Tropical Forests Using Networks of Highly Distributed Plots. Biol. Conserv. 2021, 260, 108849. [Google Scholar]
- Avitabile, V.; Herold, M.; Heuvelink, G.B.M.; Lewis, S.L.; Phillips, O.L.; Asner, G.P.; Armston, J.; Ashton, P.S.; Banin, L.; Bayol, N.; et al. An Integrated Pan-Tropical Biomass Map Using Multiple Reference Datasets. Glob. Chang. Biol. 2016, 22, 1406–1420. [Google Scholar] [CrossRef] [PubMed]
- Araza, A.; De Bruin, S.; Herold, M.; Quegan, S.; Labriere, N.; Rodriguez-Veiga, P.; Avitabile, V.; Santoro, M.; Mitchard, E.T.A.; Ryan, C.M. A Comprehensive Framework for Assessing the Accuracy and Uncertainty of Global Above-Ground Biomass Maps. Remote Sens. Environ. 2022, 272, 112917. [Google Scholar] [CrossRef]
- Réjou-Méchain, M.; Tymen, B.; Blanc, L.; Fauset, S.; Feldpausch, T.R.; Monteagudo, A.; Phillips, O.L.; Richard, H.; Chave, J. Using Repeated Small-Footprint LiDAR Acquisitions to Infer Spatial and Temporal Variations of a High-Biomass Neotropical Forest. Remote Sens. Environ. 2015, 169, 93–101. [Google Scholar] [CrossRef]
- Baccini, A.; Walker, W.; Carvalho, L.; Farina, M.; Sulla-Menashe, D.; Houghton, R.A. Tropical Forests Are a Net Carbon Source Based on Aboveground Measurements of Gain and Loss. Science 2017, 358, 230–234. [Google Scholar] [CrossRef]
- Chen, L.; Ren, C.; Zhang, B.; Wang, Z.; Xi, Y. Estimation of Forest Above-Ground Biomass by Geographically Weighted Regression and Machine Learning with Sentinel Imagery. Forests 2018, 9, 582. [Google Scholar] [CrossRef]
- Duncanson, L.; Armston, J.; Disney, M.; Avitabile, V.; Barbier, N.; Calders, K.; Carter, S.; Chave, J.; Herold, M.; MacBean, N. Aboveground Woody Biomass Product Validation: Good Practices Protocol; Committee on Earth Observation Satellites: Reston, VA, USA, 2021.
- Musthafa, M.; Singh, G. Improving Forest Above-Ground Biomass Retrieval Using Multi-Sensor L-and C-Band SAR Data and Multi-Temporal Spaceborne LiDAR Data. Front. For. Glob. Chang. 2022, 5, 822704. [Google Scholar] [CrossRef]
- Li, Y.; Li, M.; Li, C.; Liu, Z. Forest Aboveground Biomass Estimation Using Landsat 8 and Sentinel-1A Data with Machine Learning Algorithms. Sci. Rep. 2020, 10, 9952. [Google Scholar] [CrossRef]
- Nelson, R.; Jimenez, J.; Schnell, C.E.; Hartshorn, G.S.; Gregoire, T.G.; Oderwald, R. Technical Note: Canopy Height Models and Airborne Lasers to Estimate Forest Biomass: Two Problems. Int. J. Remote Sens. 2000, 21, 2153–2162. [Google Scholar] [CrossRef]
- Lu, D. Aboveground Biomass Estimation Using Landsat TM Data in the Brazilian Amazon. Int. J. Remote Sens. 2005, 26, 2509–2525. [Google Scholar] [CrossRef]
- Rodrigues de Moura Fernandes, M.; Fernandes da Silva, G.; Quintão de Almeida, A.; Marques Fernandes, M.; Ribeiro de Mendonça, A.; Guimarães Gonçalves, F.; Henrique Breda Binoti, D.; Pereira Martins Silva, J. Aboveground Biomass Estimation in Dry Forest in Northeastern Brazil Using Metrics Extracted from Sentinel-2 Data: Comparing Parametric and Non-Parametric Estimation Methods. Adv. Sp. Res. 2023, 72, 361–377. [Google Scholar] [CrossRef]
- Fassnacht, F.E.; Hartig, F.; Latifi, H.; Berger, C.; Hernández, J.; Corvalán, P.; Koch, B. Importance of Sample Size, Data Type and Prediction Method for Remote Sensing-Based Estimations of Aboveground Forest Biomass. Remote Sens. Environ. 2014, 154, 102–114. [Google Scholar] [CrossRef]
- Mascaro, J.; Asner, G.P.; Knapp, D.E.; Kennedy-Bowdoin, T.; Martin, R.E.; Anderson, C.; Higgins, M.; Chadwick, K.D. A Tale of Two “Forests”: Random Forest Machine Learning Aids Tropical Forest Carbon Mapping. PLoS ONE 2014, 9, e85993. [Google Scholar] [CrossRef]
- Cartus, O.; Kellndorfer, J.; Walker, W.; Franco, C.; Bishop, J.; Santos, L.; Michel Fuentes, J.M. A National, Detailed Map of Forest Aboveground Carbon Stocks in Mexico. Remote Sens. 2014, 6, 5559–5588. [Google Scholar] [CrossRef]
- Rodríguez-Veiga, P.; Saatchi, S.; Tansey, K.; Balzter, H. Magnitude, Spatial Distribution and Uncertainty of Forest Biomass Stocks in Mexico. Remote Sens. Environ. 2016, 183, 265–281. [Google Scholar] [CrossRef]
- Saatchi, S.; Malhi, Y.; Zutta, B.; Buermann, W.; Anderson, L.O.; Araujo, A.M.; Phillips, O.L.; Peacock, J.; ter Steege, H.; Lopez Gonzalez, G.; et al. Mapping Landscape Scale Variations of Forest Structure, Biomass, and Productivity in Amazonia. Biogeosci. Discuss. 2009, 6, 5461–5505. [Google Scholar] [CrossRef]
- Zhang, Y.; Liang, S. Fusion of Multiple Gridded Biomass Datasets for Generating a Global Forest Aboveground Biomass Map. Remote Sens. 2020, 12, 2559. [Google Scholar] [CrossRef]
- de Koning, G.H.J.; Veldkamp, A.; Fresco, L.O. Land Use in Ecuador: A Statistical Analysis at Different Aggregation Levels. Agric. Ecosyst. Environ. 1998, 70, 231–247. [Google Scholar] [CrossRef]
- Sierra, R. Dynamics and Patterns of Deforestation in the Western Amazon: The Napo Deforestation Front, 1986–1996. Appl. Geogr. 2000, 20, 1–16. [Google Scholar] [CrossRef]
- Messina, J.P.; Walsh, S.J.; Mena, C.F.; Delamater, P.L. Land Tenure and Deforestation Patterns in the Ecuadorian Amazon: Conflicts in Land Conservation in Frontier Settings. Appl. Geogr. 2006, 26, 113–128. [Google Scholar] [CrossRef]
- Cuenca, P.; Arriagada, R.; Echeverría, C. How Much Deforestation Do Protected Areas Avoid in Tropical Andean Landscapes? Environ. Sci. Policy 2016, 56, 56–66. [Google Scholar] [CrossRef]
- Sierra, R.; Stallings, J. The Dynamics and Social Organization of Tropical Deforestation in Northwest Ecuador, 1983–1995. Hum. Ecol. 1998, 26, 135–161. [Google Scholar] [CrossRef]
- Lepers, E.; Lambin, E.F.; Janetos, A.C.; DeFries, R.; Achard, F.; Ramankutty, N.; Scholes, R.J. A Synthesis of Information on Rapid Land-Cover Change for the Period 1981–2000. Bioscience 2005, 55, 115–124. [Google Scholar] [CrossRef]
- Kleemann, J.; Zamora, C.; Villacis-Chiluisa, A.B.; Cuenca, P.; Koo, H.; Noh, J.K.; Fürst, C.; Thiel, M. Deforestation in Continental Ecuador with a Focus on Protected Areas. Land 2022, 11, 268. [Google Scholar] [CrossRef]
- Wiegant, D.; Peralvo, M.; van Oel, P.; Dewulf, A. Five Scale Challenges in Ecuadorian Forest and Landscape Restoration Governance. Land Use Policy 2020, 96, 104686. [Google Scholar] [CrossRef]
- Van Manen, M.L.T.; Jansen, B.; Cuesta, F.; León-Yánez, S.; Gosling, W.D. From Leaf to Soil: N-Alkane Signal Preservation, despite Degradation along an Environmental Gradient in the Tropical Andes. Biogeosciences 2020, 17, 5465–5487. [Google Scholar] [CrossRef]
- Llerena-Zambrano, M.; Ordoñez, J.C.; Llambí, L.D.; van der Sande, M.; Pinto, E.; Salazar, L.; Cuesta, F. Minimum Temperature Drives Community Leaf Trait Variation in Secondary Montane Forests along a 3000-m Elevation Gradient in the Tropical Andes. Plant Ecol. Divers. 2021, 14, 47–63. [Google Scholar] [CrossRef]
- Pinto, E.; Cuesta, F.; Bernardi, A.; Llerena-Zambrano, M.; Pérez, A.J.; van der Sande, M.T.; Gosling, W.D.; Burgess, K.S. Determinants of Above-Ground Carbon Stocks and Productivity in Secondary Forests along a 3000 m Elevation Gradient in the Ecuadorian Andes. Plant Ecol. Divers 2023. submitted. [Google Scholar]
- Pinto, E.; Cuesta, F. Monitoreo de Biodiversidad, Contenidos de Carbono, Productividad y Rasgos Funcionales En Bosques Montanos; CONDESAN: Quito, Ecuador, 2019. [Google Scholar]
- Duque, A.; Peña, M.A.; Cuesta, F.; González-Caro, S.; Kennedy, P.; Phillips, O.L.; Calderón-Loor, M.; Blundo, C.; Carilla, J.; Cayola, L. Mature Andean Forests as Globally Important Carbon Sinks and Future Carbon Refuges. Nat. Commun. 2021, 12, 2138. [Google Scholar] [CrossRef]
- Hansen, M.C.; Potapov, P.V.; Moore, R.; Hancher, M.; Turubanova, S.A.; Tyukavina, A.; Thau, D.; Stehman, S.V.; Goetz, S.J.; Loveland, T.R.; et al. High-Resolution Global Maps of 21st-Century Forest Cover Change. Science 2013, 342, 850–853. [Google Scholar] [CrossRef]
- Martin, A.R.; Doraisami, M.; Thomas, S.C. Global Patterns in Wood Carbon Concentration across the World’s Trees and Forests. Nat. Geosci. 2018, 11, 915–920. [Google Scholar] [CrossRef]
- Gorelick, N.; Hancher, M.; Dixon, M.; Ilyushchenko, S.; Thau, D.; Moore, R. Google Earth Engine: Planetary-Scale Geospatial Analysis for Everyone. Remote Sens. Environ. 2017, 202, 18–27. [Google Scholar] [CrossRef]
- Scarth, P.; Armston, J.; Flood, N.; Denham, R.; Collett, L.; Watson, F.; Trevithick, B.; Muir, J.; Goodwin, N.; Tindall, D. Operational Application of the Landsat Timeseries to Address Large Area Landcover Understanding. Int. Arch. Photogramm. Remote Sens. Spat. Inf. Sci. 2015, 40, 571. [Google Scholar] [CrossRef]
- Mullissa, A.; Vollrath, A.; Odongo-Braun, C.; Slagter, B.; Balling, J.; Gou, Y.; Gorelick, N.; Reiche, J. Sentinel-1 Sar Backscatter Analysis Ready Data Preparation in Google Earth Engine. Remote Sens. 2021, 13, 1954. [Google Scholar] [CrossRef]
- Farr, T.G.; Rosen, P.A.; Caro, E.; Crippen, R.; Duren, R.; Hensley, S.; Kobrick, M.; Paller, M.; Rodriguez, E.; Roth, L. The Shuttle Radar Topography Mission. Rev. Geophys. 2007, 45. [Google Scholar] [CrossRef]
- Breiman, L. Random Forests. Mach. Learn. 2001, 45, 5–32. [Google Scholar] [CrossRef]
- Denisko, D.; Hoffman, M.M. Classification and Interaction in Random Forests. Proc. Natl. Acad. Sci. USA 2018, 115, 1690–1692. [Google Scholar] [CrossRef]
- Pelletier, C.; Valero, S.; Inglada, J.; Champion, N.; Marais Sicre, C.; Dedieu, G. Effect of Training Class Label Noise on Classification Performances for Land Cover Mapping with Satellite Image Time Series. Remote Sens. 2017, 9, 173. [Google Scholar] [CrossRef]
- Pedregosa, F.; Varoquaux, G.; Gramfort, A.; Michel, V.; Thirion, B.; Grisel, O.; Blondel, M.; Prettenhofer, P.; Weiss, R.; Dubourg, V.; et al. Scikit-Learn: Machine Learning in Python. J. Mach. Learn. Res. 2011, 12, 2825–2830. [Google Scholar]
- Bengio, Y.; Grandvalet, Y. No Unbiased Estimator of the Variance of K-Fold Cross-Validation. Adv. Neural Inf. Process. Syst. 2004, 5, 1089–1105. [Google Scholar]
- Asner, G.P.; Mascaro, J.; Anderson, C.; Knapp, D.E.; Martin, R.E.; Kennedy-Bowdoin, T.; van Breugel, M.; Davies, S.; Hall, J.S.; Muller-Landau, H.C. High-Fidelity National Carbon Mapping for Resource Management and REDD+. Carbon Balance Manag. 2013, 8, 7. [Google Scholar] [CrossRef]
- Girardin, C.A.J.; Farfan-Rios, W.; Garcia, K.; Feeley, K.J.; Jørgensen, P.M.; Murakami, A.A.; Cayola Pérez, L.; Seidel, R.; Paniagua, N.; Fuentes Claros, A.F.; et al. Spatial Patterns of Above-Ground Structure, Biomass and Composition in a Network of Six Andean Elevation Transects. Plant Ecol. Divers. 2014, 7, 161–171. [Google Scholar] [CrossRef]
- Phillips, J.; Ramirez, S.; Wayson, C.; Duque, A. Differences in Carbon Stocks along an Elevational Gradient in Tropical Mountain Forests of Colombia. Biotropica 2019, 51, 490–499. [Google Scholar] [CrossRef]
- Slik, J.W.F.; Aiba, S.; Brearley, F.Q.; Cannon, C.H.; Forshed, O.; Kitayama, K.; Nagamasu, H.; Nilus, R.; Payne, J.; Paoli, G. Environmental Correlates of Tree Biomass, Basal Area, Wood Specific Gravity and Stem Density Gradients in Borneo’s Tropical Forests. Glob. Ecol. Biogeogr. 2010, 19, 50–60. [Google Scholar] [CrossRef]
- Baccini, A.; Goetz, S.J.; Walker, W.S.; Laporte, N.T.; Sun, M.; Sulla-Menashe, D.; Hackler, J.; Beck, P.S.A.; Dubayah, R.; Friedl, M.A. Estimated Carbon Dioxide Emissions from Tropical Deforestation Improved by Carbon-Density Maps. Nat. Clim. Chang. 2012, 2, 182–185. [Google Scholar] [CrossRef]
- Spawn, S.A.; Sullivan, C.C.; Lark, T.J.; Gibbs, H.K. Harmonized Global Maps of above and Belowground Biomass Carbon Density in the Year 2010. Sci. Data 2020, 7, 112. [Google Scholar] [CrossRef] [PubMed]
- Girardin, C.A.J.; Malhi, Y.; AragÃO, L.E.O.C.; Mamani, M.; Huaraca Huasco, W.; Durand, L.; Feeley, K.J.; Rapp, J.; Silva-Espejo, J.E.; Silman, M.; et al. Net Primary Productivity Allocation and Cycling of Carbon along a Tropical Forest Elevational Transect in the Peruvian Andes. Glob. Chang. Biol. 2010, 16, 3176–3192. [Google Scholar] [CrossRef]
- Kennedy, R.E.; Yang, Z.; Gorelick, N.; Braaten, J.; Cavalcante, L.; Cohen, W.B.; Healey, S. Implementation of the LandTrendr Algorithm on Google Earth Engine. Remote Sens. 2018, 10, 691. [Google Scholar] [CrossRef]
- Terra Global Capital. VCS Methodology for Carbon Accounting for Mosaic and Landscape-Scale REDD Projects, V2.2—VM0006; 2017. Available online: https://verra.org/methodologies/vm0006-methodology-for-carbon-accounting-for-mosaic-and-landscape-scale-redd-projects-v2-2/ (accessed on 2 June 2023).
- Berry, N.; Baumann, D.; Foster, B.; Kaonga, M.; Langan-Farmer, J.; Wheeler, C. Agriculture and Forestry Carbon Benefit Assessment Methodology—PM001. Version 0.1. The Landscapes and Livelihoods Group and Plan Vivo Foundation Technical Advisory Committee. 2022, p30. Available online: https://www.planvivo.org/Handlers/Download.ashx?IDMF=9362bb39-5dc5-45c1-a240-600148494ae9 (accessed on 2 June 2023).
- Malizia, A.; Blundo, C.; Carilla, J.; Acosta, O.O.; Cuesta, F.; Duque, A.; Aguirre, N.; Aguirre, Z.; Ataroff, M.; Baez, S.; et al. Elevation and Latitude Drives Structure and Tree Species Composition in Andean Forests: Results from a Large-Scale Plot Network. PLoS ONE 2020, 15, e0231553. [Google Scholar] [CrossRef] [PubMed]
- Santoro, M.; Cartus, O.; Carvalhais, N.; Rozendaal, D.; Avitabile, V.; Araza, A.; De Bruin, S.; Herold, M.; Quegan, S.; Rodríguez-Veiga, P. The Global Forest Above-Ground Biomass Pool for 2010 Estimated from High-Resolution Satellite Observations. Earth Syst. Sci. Data 2021, 13, 3927–3950. [Google Scholar] [CrossRef]
- Asner, G.P.; Powell, G.V.N.; Mascaro, J.; Knapp, D.E.; Clark, J.K.; Jacobson, J.; Kennedy-Bowdoin, T.; Balaji, A.; Paez-Acosta, G.; Victoria, E. High-Resolution Forest Carbon Stocks and Emissions in the Amazon. Proc. Natl. Acad. Sci. USA 2010, 107, 16738–16742. [Google Scholar] [CrossRef]
- Mascaro, J.; Asner, G.P.; Muller-Landau, H.C.; van Breugel, M.; Hall, J.; Dahlin, K. Controls over Aboveground Forest Carbon Density on Barro Colorado Island, Panama. Biogeosciences 2011, 8, 1615–1629. [Google Scholar] [CrossRef]
- Asner, G.P.; Knapp, D.E.; Martin, R.E.; Tupayachi, R.; Anderson, C.B.; Mascaro, J.; Sinca, F.; Chadwick, K.D.; Higgins, M.; Farfan, W. Targeted Carbon Conservation at National Scales with High-Resolution Monitoring. Proc. Natl. Acad. Sci. USA 2014, 111, E5016–E5022. [Google Scholar] [CrossRef]
- ISO 14064-1:2018; Greenhouse Gases—Part 1: Specification with Guidance at the Organization Level for Guantification and Reporting of Greenhouse Gas Emissions and Removals. ISO: Genève, Switzerland, 2018. Available online: https://www.iso.org/standard/66453.html (accessed on 5 August 2022).
- ISO 14067:2018; Greenhouse Gases—Carbon Footprint of Products—Requirements and Guidelines for Quantification. ISO: Genève, Switzerland, 2018. Available online: https://www.iso.org/standard/71206.html (accessed on 5 August 2022).
- de Lima, R.A.F.; Phillips, O.L.; Duque, A.; Tello, J.S.; Davies, S.J.; de Oliveira, A.A.; Muller, S.; Honorio Coronado, E.N.; Vilanova, E.; Cuni-Sanchez, A. Making Forest Data Fair and Open. Nat. Ecol. Evol. 2022, 6, 656–658. [Google Scholar] [CrossRef]
- Liang, M.; González-Roglich, M.; Roehrdanz, P.; Tabor, K.; Zvoleff, A.; Leitold, V.; Silva, J.; Fatoyinbo, T.; Hansen, M.; Duncanson, L. Assessing Protected Area’s Carbon Stocks and Ecological Structure at Regional-Scale Using GEDI Lidar. Glob. Environ. Chang. 2023, 78, 102621. [Google Scholar] [CrossRef]
- Rishmawi, K.; Huang, C.; Zhan, X. Monitoring Key Forest Structure Attributes across the Conterminous United States by Integrating Gedi Lidar Measurements and Viirs Data. Remote Sens. 2021, 13, 442. [Google Scholar] [CrossRef]
- Zhang, X.; Jia, W.; Sun, Y.; Wang, F.; Miu, Y. Simulation of Spatial and Temporal Distribution of Forest Carbon Stocks in Long Time Series—Based on Remote Sensing and Deep Learning. Forests 2023, 14, 483. [Google Scholar] [CrossRef]
- Powell, S.L.; Cohen, W.B.; Healey, S.P.; Kennedy, R.E.; Moisen, G.G.; Pierce, K.B.; Ohmann, J.L. Quantification of Live Aboveground Forest Biomass Dynamics with Landsat Time-Series and Field Inventory Data: A Comparison of Empirical Modeling Approaches. Remote Sens. Environ. 2010, 114, 1053–1068. [Google Scholar] [CrossRef]





| Dataset | Training | Validation |
|---|---|---|
| Pichincha Forest plot network—RBCA | 15 | 8 |
| Regional | 379 | 92 |
| Total | 394 | 100 |
| AOI | AOI Area (km2) | Coordinates Extent (°) | Median Elevation (Interquartile Range) (m a.s.l.) | Local Plots Size (n) | |
|---|---|---|---|---|---|
| Latitude | Longitude | ||||
| RBCA | 2868 | 79.381, 78.36 | −0.643, −0.395 | 1267 (1380) | 23 |
| Bolivia | 1,165,573 | −69.5, −68 | −15.5, −14 | 1494 (1462) | 23 |
| Peru | 1,804,273 | 72.146, −70.986 | −13.368, −11.781 | 1519 (2188) | 28 |
| Bolivia and Peru | 7,761,764 | −72.206, −68 | −15.5, −11.67 | 1200 (1973) | 67 |
| Year | AGC Pixel-Level Mean (±Sd) | AGC Pixel-Level Range (Min–Max) | Landscape Total (Tg) |
|---|---|---|---|
| 2018 | 70.26 (±8.1) | 55.6–102.8 | 13.45 |
| 2019 | 70.65 (±8.2) | 55.6–102.8 | 13.71 |
| 2020 | 70.64 (±8.2) | 55.7–102.8 | 13.76 |
| 2021 | 70.64 (±8.1) | 55.6–101.9 | 13.66 |
| Variable | 2018 | 2021 | Productivity |
|---|---|---|---|
| AGC (Mg) | 13,446,451 | 13,662,109 | |
| Forest cover (ha) | 198,727 | 194,795 | |
| Landscape (Mg C yr−1) | 71,886 | ||
| Pixel (Mg C ha−1 yr−1) | 0.37 | ||
| Total Plots (n) | Type | Observed AGC | Adj. R2 | RMSE | MAE | MAPE (%) |
|---|---|---|---|---|---|---|
| (Mg ha−1) | (Mg C ha−1) | (Mg C ha−1) | ||||
| 494 | Entire dataset | 85.7 | 0.87 | 12.1 | 8.29 | 0.12 |
| 393 | Training dataset | 85.8 | 0.95 | 8.3 | 6.07 | 0.09 |
| 100 | Validation dataset | 85.1 | 0.6 | 20.6 | 15.71 | 0.24 |
| 23 | RBCA entire dataset | 84.5 | 0.7 | 23.8 | 17.39 | 0.23 |
| 8 | RBCA validation dataset | 81 | 0.4 | 34.6 | 28.62 | 0.39 |
| AOI | Total Plots (n) | Minimum Plots (n) | Observed AGC (Mg ha−1) | RMSE (Mg C ha−1) | NRMSE | MAPE (%) |
|---|---|---|---|---|---|---|
| RBCA | 23 | 23 | 84.5 (40.7) | 18.4 (3.7) | 0.22 (0.044) | 16.4 (0.01) |
| Bolivia | 23 | 19 | 82.9(44) | 19.9 (4.7) | 0.24 (0.06) | 14.8 (0.02) |
| Peru | 28 | 14 | 87.6(34.3) | 16.3 (2.7) | 0.19 (0.03) | 15.4 (0.03) |
| Bolivia and Peru | 67 | 35 | 90 (36.3) | 21.5 (2.6) | 0.24 (0.03) | 15.2 (0.01) |
| Elevation (m a.s.l.) | [22] | [19] | [65] | This Study | ||||
|---|---|---|---|---|---|---|---|---|
| AGC (±Sd) Mg ha−1 | Landcape (Mg C) | AGC (±Sd) Mg ha−1 | Landcape (Mg C) | Mean (±Sd) | Sum | AGC (±Sd) Mg ha−1 | Landcape (Mg C) | |
| 340–1200 | 79.05 (±12.9) | 2,692,023 | 88.57 (±23.2) | 4,008,942 | 91.7 (±36.9) | 3,895,623 | 80.01 (±6.19) | 3,359,412 |
| 1200–1800 | 94.02 (±25.3) | 5,909,566 | 97.53 (±32.4) | 6,996,586 | 100.2 (±42.4) | 6,391,243 | 72.98 (±6.27) | 4,514,733 |
| 1800–2500 | 122.23 (±30.7) | 6,507,414 | 125.74 (±41.9) | 7,270,708 | 113 (±42.2) | 6,040,246 | 65.87 (±4.18) | 3,273,434 |
| 2500–3000 | 106.3 (±35.9) | 2,920,852 | 106.93 (±52.9) | 3,549,323 | 99.1 (±49.3) | 2,815,016 | 63.82 (±4.31) | 1,641,145 |
| 3000–3500 | 94.6 (±34.1) | 1,352,744 | 81.42 (±45.3) | 1,463,638 | 82.5 (±50.2) | 1,245,401 | 62.45 (±4.16) | 856,181 |
| 3500–4777 | 71.5 (±27) | 91,700 | 45.87 (±29.1) | 89,000 | 43.51 (±39.2) | 43,373 | 59.78 (±3.75) | 59,682 |
| All | 100.7 (±31.7) | 19,474,300 | 89.13 (±47.2) | 23,378,197 | 99.87 (±44.1) | 20,430,903 | 70.65 (±8.2) | 13,706,235 |
Disclaimer/Publisher’s Note: The statements, opinions and data contained in all publications are solely those of the individual author(s) and contributor(s) and not of MDPI and/or the editor(s). MDPI and/or the editor(s) disclaim responsibility for any injury to people or property resulting from any ideas, methods, instructions or products referred to in the content. |
© 2023 by the authors. Licensee MDPI, Basel, Switzerland. This article is an open access article distributed under the terms and conditions of the Creative Commons Attribution (CC BY) license (https://creativecommons.org/licenses/by/4.0/).
Share and Cite
Cuesta, F.; Calderón-Loor, M.; Rosero, P.; Miron, N.; Sharf, A.; Proaño-Castro, C.; Andrade, F. Mapping Above-Ground Carbon Stocks at the Landscape Scale to Support a Carbon Compensation Mechanism: The Chocó Andino Case Study. Forests 2023, 14, 1903. https://doi.org/10.3390/f14091903
Cuesta F, Calderón-Loor M, Rosero P, Miron N, Sharf A, Proaño-Castro C, Andrade F. Mapping Above-Ground Carbon Stocks at the Landscape Scale to Support a Carbon Compensation Mechanism: The Chocó Andino Case Study. Forests. 2023; 14(9):1903. https://doi.org/10.3390/f14091903
Chicago/Turabian StyleCuesta, Francisco, Marco Calderón-Loor, Paulina Rosero, Noam Miron, Andrei Sharf, Carolina Proaño-Castro, and Felipe Andrade. 2023. "Mapping Above-Ground Carbon Stocks at the Landscape Scale to Support a Carbon Compensation Mechanism: The Chocó Andino Case Study" Forests 14, no. 9: 1903. https://doi.org/10.3390/f14091903
APA StyleCuesta, F., Calderón-Loor, M., Rosero, P., Miron, N., Sharf, A., Proaño-Castro, C., & Andrade, F. (2023). Mapping Above-Ground Carbon Stocks at the Landscape Scale to Support a Carbon Compensation Mechanism: The Chocó Andino Case Study. Forests, 14(9), 1903. https://doi.org/10.3390/f14091903

