Abstract
The carbon balance of terrestrial ecosystems is intertwined with climate and changes in land use. Over the past 30 years, the Loess Plateau (LP) has experienced temperature increases and an expansion of forest and grassland. The net ecosystem productivity (NEP) underlying these changes is worth investigating. Using three periods (i.e., 1990–2000, 2000–2010, and 2010–2019) of annual average NEP and climatic, topographic, and land use data, we analyzed changes in the spatial distribution of carbon sources and sinks of the LP. Using an optimal parameter-based geographical detector model to discuss the driving factors of carbon sources and sinks, we found that: (1) The area of carbon sinks has been increasing continuously, and that the distributions of both of these elements are zonal. The carbon sinks show a downward trend from south to north, which is mainly driven by climate and land use type. (2) Carbon sources are mainly concentrated in the middle temperate zone, and they are mainly linked to impervious land, unused land, and grassland. The carbon sinks are mainly concentrated in the south temperate zone and plateau climatic zone, and they are mainly linked to forest, grassland, and cultivated land. Additionally, the southern temperate zone has been the most green, due to its superior hydrothermal conditions that sustain carbon sinks. (3) It is not uncommon for some forests, grasslands, and cultivated land to transition between being carbon sources and carbon sinks, especially when affected by human intervention and inadequate management measures. (4) NEP was primarily influenced by CO2 concentration, temperature, and precipitation, and the interaction of these factors greatly influenced the dynamics of carbon sources and sinks, while terrain exerted insignificant impacts on the NEP. This study highlights the importance of the carbon balance in terrestrial ecosystems and can be used to guide the creation of vegetation-based carbon sequestration policies.
1. Introduction
China is the world’s largest carbon emitter []. Its rapid economic development and intensive land development further intensify global warming. These factors have triggered a cascade of ecological issues that threaten human survival and development. Within the context of carbon emissions, terrestrial ecosystems are a large carbon sink which offsets one-third of anthropogenic CO2 emissions []. These ecosystems play an important role in maintaining the carbon balance and regulating climate change []. Net ecosystem productivity (NEP) represents the net primary productivity after deducting the photosynthetic carbon products consumed by heterotrophic respiration in the soil. NEP is an important part of the net carbon exchange between terrestrial ecosystems and the atmosphere and can accurately represent the net carbon budget of the regional ecosystem []. Since the industrial revolution, the carbon balance of terrestrial ecosystems has been primarily shaped by land use, natural resource management policies, and the influence of the resultant climate change on biogeochemical cycles []. In addition, O3 concentration and atmospheric nitrogen deposition can also affect the carbon balance; a continuous increase in ozone concentration will reduce the photosynthetic rate of plants and seriously threaten the carbon sequestration capacity of terrestrial ecosystems in China []. The improvement of nitrogen utilization efficiency will improve plant productivity and carbon sequestration capacity [].
The Loess Plateau (LP) is one of the most important and fragile ecosystems in the world, as it is impacted by severe soil erosion. Since the late 1970s, a series of ecological projects has been implemented in the LP to restore its fragile ecosystem. These projects include the Three-North Shelter Forest Program, the Grain for Green Program, the Natural Forest Protection Project, the grassland enclosure policy, and the Grazing Prohibition Project []. Many studies have shown that these restoration efforts have contributed towards the LP moving toward playing an important role in maintaining the carbon balance through carbon sequestration [,,]. In the past three decades, the types of land use have changed significantly, and most areas have been transformed into shrubs, grasslands, and forests [,]. These vegetation-linked structural changes (i.e., type and distribution of vegetation) have significantly enhanced terrestrial carbon sinks [], and these changes can be largely attributed to climate change. Due to differences in the latitude and terrain, climatic conditions exhibit an apparent zonal distribution; furthermore, different climate zones have different hydrothermal patterns, which affect regional variation in drought severity, vegetation structure, and carbon balance capacity []. The balance between the photosynthetic output and respiration of an ecosystem determines the functioning of carbon sources and sinks in terrestrial ecosystems. The factors impacting the functioning of these two elements change across different regional scales []. Therefore, due to the importance of terrestrial ecosystems within the context of the earth’s carbon balance, it is important to study the dynamics underlying the functioning from both practical and theoretical perspectives.
In recent years, where the LP is concerned, researchers have successively studied the following: its vegetation and carbon balance, changes in its vegetation cover and the factors underlying them [], the probability of vegetation loss during droughts, and the role of anthropogenic activities in shaping vegetation fragility []. Some of these studies have also touched on the differences in the natural factors affecting changes in the net primary productivity (NPP) in the LP and factors primarily affecting changes in the NPP across various geomorphic types in this ecosystem [], and have found that afforestation and reforestation significantly impacted carbon sequestration []. Zhang found that the overall NEP in the LP shows a trend of high in the southwest and low in the northeast, and the most dominant factors in vegetation carbon sequestration are soil and vegetation []. Furthermore, the dynamics of land use/cover change and vegetation and soil carbon storage have also been analyzed []. Despite all these studies, some questions remain unanswered where the LP is concerned. For example, how does the NEP in the LP respond to the current climate and land cover types in a long time series? Additionally, how do these factors influence NEP? Addressing these issues is not only important with regards to improving predictions of the terrestrial carbon balance in the Loess Plateau region (i.e., under future climate change scenarios), but also providing more accurate information to facilitate the creation of robust policies that are rooted in science.
The analysis of the natural and anthropogenic mechanism underlying the carbon cycle of the LP and the accurate estimation of the spatio-temporal changes of the carbon sinks in this terrestrial ecosystem are the basis for predicting the dynamics of its of carbon cycle in the future. We conducted research on the following three aspects: (1) We used simulated NEP, topographic, and land use data to study the spatio-temporal changes of carbon sources and sinks in the LP in the past 30 years. (2) We divided the LP into three climatic zones (i.e., south temperate zone, middle temperate zone, and plateau climatic zone) and five arid regions (i.e., extremely humid, humid, normal, arid, and extremely arid) to study the response of carbon sources and sinks to different climatic conditions and anthropogenic activities. (3) We analyzed the factors underlying the dynamics of the carbon sources and sinks of the LP by using an optimal parameter-based geographical detector model (OPGD).
2. Materials and Methods
2.1. Study Area
The Loess Plateau (LP) (33°41′–41°16′ N, 100°54′–114°33′ E), whose terrain is inclined from northwest to southeast, has an altitude of 100–3000 m. The LP spans many administrative regions in China, including Qinghai Province, Gansu Province, Ningxia Hui Autonomous Region, Inner Mongolia Autonomous Region, Shaanxi, Shanxi, and Henan Province; overall, these regions have a combined total area of approximately 648,700 km2 (Figure 1). The terrain of the LP fluctuates greatly, gradually decreasing from northwest to southeast and exhibiting a trend of tilting from northwest to southeast. Additionally, it consists of an array of complex landforms, which include plains, plateaus, basins, mountains, and hilly areas. The region also spans three heat zones: the south temperate zone, middle temperate zone, and plateau climatic zone, and they have an average annual temperature of 4–14 °C. Located in three climate zones: semi-arid, arid, and sub-humid, the annual average rainfall and evaporation are 150–750 mm and 1400–2000 mm, respectively, with significant spatial differences. For example, the rainfall decreases from southeast to northwest, with rainfall of ~600–700 mm in the southeast, 300–400 mm in the middle, and 100–200 mm in the northwest. High temperatures in Siberia result in a dry and cold winter and spring, and a hot and rainy summer and autumn. This is largely due to the influence of the western Pacific subtropical high and the Indian Ocean low pressure areas []. The land cover of the LP is mainly grassland and cultivated land; the cultivated land is an important dryland agricultural area in northwest China [].

Figure 1.
(a) The Loess Plateau in China. (b) The spatial distribution of the mean annual precipitation from 1990 to 2019. (c) The spatial distribution of the mean annual temperature from 1990 to 2019. (d) Topographical properties. (e) Terrestrial ecosystems distributed in the study area.
2.2. Data
2.2.1. Land Use Data
Using the annual land cover dataset of China based on 335,709 Landsat images produced by Yang [] on Google Earth Engine, with a spatial resolution of 30 m, the resultant land use types were integrated into six first-level land use types, namely, cultivated, forest, grassland, shrub, impervious, and unused land.
2.2.2. Net Ecosystem Production (NEP)
Net ecosystem production (NEP) is often used to characterize the dynamics of regional carbon balance, and it is defined as the difference between net initial productivity and heterotrophic (soil) respiration. NEP can represent the rate of change of carbon storage or net carbon flux between terrestrial and atmospheric ecosystems, regardless of natural and anthropogenic factors. NEP is calculated as follows:
where NPP is net primary productivity and is soil heterotrophic respiration.
NEP data are derived from the daily NEP data products from an earlier study. The products are representative of the period from 1981–2019 (http://10.12199/nesdc.ecodb.2016YFA0600200.02.003, accessed on 1 October 2022); their spatial resolution is 0.072727° × 0.072727°, and it was resampled to 0.0083333° × 0.0083333° using bilinear interpolation. To clearly elucidate the spatio-temporal variation of NEP in the study area over the past 30 years, we selected and calculated the annual mean value of NEP across three time periods (1990–2000, 2000–2010, and 2010–2019).
2.2.3. Climatic Data
The precipitation and temperature data were obtained from the National Tibetan Plateau Data Center (http://data.tpdc.ac.cn, accessed on 1 October 2022), and it was published by Shouzhang Peng [] through the Delta spatial downscaling scheme based on the global 0.5° climate data released by CRU and the global high-resolution climate data released by WorldClim, with a spatial resolution of 0.0083333° × 0.0083333°, approximately 1 km, and with a high accuracy.
2.2.4. Temperature Vegetation Dryness Index (TVDI)
We selected the vegetation index product synthesized by MOD13A2 and the surface temperature product data synthesized by MOD11A2 from June to July of 2000–2019 to calculate the TVDI index on the GEE platform, with a spatial resolution of 1 km. The formula was as follows []:
where a, b, c, and d are the fitting coefficients of the dry and wet edges, respectively. The higher TVDI value, the more severe the drought, and, conversely, the higher soil moisture content [].
2.2.5. Other Data
The climate zoning data were obtained from the Resources and Environment Science and Data Center (https://www.resdc.cn/, accessed on 10 October 2022). The LP encompasses three climatic zones: the middle temperate zone (II), south temperate zone (III), and plateau climatic zone (H).
Solar-induced chlorophyll fluorescence (SIF) is closely related to various photosynthesis-linked reactions. Therefore, the impact of any environmental factor on photosynthesis can be reflected through the SIF [], which is a by-product of photosynthesis []. We download the v2 monthly data products from the GOSAT website (http://data.globalecology.unh.edu/data/GOSIF_v2/Monthly/, accessed on 16 October 2022). Since the earliest data points were collected in 2000, for our analysis, we selected SIF data from 2000–2019.
Using Landsat data, we also calculated the vegetation coverage across four phases in 1990, 2000, 2010, and 2019 on the GEE platform, and resampled to a resolution of 1 km.
The CO2 data were extracted from the L4B global CO2 distribution data from 2009–2019. These data were acquired from the official website of GOSAT, with a spatial resolution of 10.5 km × 10.5 km, with a revisit period of three days. Additionally, we screened the CO2 concentration within the study area and resampled to a resolution of 1 km.
Digital Elevation Model (DEM) data were obtained from NASA (https://www.earthdata.nasa.gov, accessed on 21 October 2022), with a spatial resolution of 30 m. We used these data to calculate the slope and classify the DEM according to already-established criteria in physical geography. The DEM was divided into three categories (i.e., 0–1500 m, 1500–3000 m, and 3000–5014 m). According to the classification standard of the International Geographic Union, the slopes can be divided into the following five grades: plain area (0–0.5°), slight slope area (0.5–2°), gentle slope area (2–5°), slope area (5–15°), and steep slope area (15–26°).
2.3. Optimal Parameter-Based Geographical Detector (OPGD) Model
There are currently many analysis methods for influencing factors, but the main focus is on analyzing the degree of impact of a single factor, lacking analysis of multifactor interactions. Geographic detectors can not only analyze the degree of influence of a single factor, but also detect the degrees of interaction among multiple factors. However, traditional geographic detectors need to be set manually when discretizing continuous variables, which has problems such as subjectivity and poor discretization. Therefore, the optimal parameter-based geographic detector model (OPGD) was selected in this study. It improves the geographic detector model through integrated parameter optimization []. This approach reveals more geographic insights through the process of spatial discretization and spatial scale parameter optimization. Analyses based on deep geographic features and information can yield more fine-scale details about a region of interest []. The OPGD model consists of five parts, namely, parameter optimization, a factor detector, a risk detector, an interactive detector, and an ecological detector.
3. Results
3.1. Spatio-Temporal Dynamics of NEP
3.1.1. Spatio-Temporal Distribution of Average NEP
Based on the spatial distribution map of the average carbon source and sink in the LP during the third period of 1990–2000, 2000–2010, and 2010–2019 (Figure 2), the carbon sink encompasses most of the region, and it has increased by 10.38% in the past 30 years. This increase has been mainly in the southeastern region of the LP, where the vegetation has gradually become greener and denser (Figure S1). In contrast, carbon sources are mainly concentrated in western Inner Mongolia Autonomous Region, Ningxia Autonomous Region, northern Gansu, the central and southern Shanxi and Shaanxi provinces, and eastern Henan Province, where there is sparse vegetation or even bare land. Carbon sinks have exhibited an annual increase. From 2010 to 2019, most regions became carbon sinks, and the growth of high carbon sinks in central and southern Shanxi and Shaanxi provinces, eastern Gansu, and western Henan provinces was higher than that of the other two periods.

Figure 2.
Annual average NEP in the Loess Plateau from (a) 1990–2000, (b) 2000–2010, (c) 2010–2019, (d) 1990–2019; (e) Percentage of carbon source/sink out of the total pixels.
3.1.2. Spatial Distribution and Variations of Carbon Sources/Sinks in Different Land Use Types
According to the land use/cover data from 1990 to 2019, the land use types of the LP have undergone major changes. Among these changes, the most significant ones have been the reduction of cultivated and unused land, and the expansion of forest, grassland, and impervious land. Throughout the study period, grassland was found to have the largest total area, followed by cultivated land and woodland, which together accounted for more than 90% of the total area of the LP. Additionally, the areas of cultivated and unused land decreased by 4.1% and 2.3%, respectively, while the areas of woodland and grassland increased by 2.7% and 2.1%, respectively. During the same period, the ecological carbon sink capacity of the LP increased by 1.9% and 5.9%, respectively, for forest and grassland.
In terms of the dynamics of the carbon sources and sinks in different land types (Figure 3), the aggregate capacity of carbon sinks in the LP is larger than that of carbon sources. The main types of land in the carbon sink area are cultivated, grassland, and woodland, while impervious land and grassland are the main carbon sources, among which grassland is the main carbon source and sink area, indicating that the quality and management of grassland is uneven throughout the region.

Figure 3.
Variation of carbon sources/sinks in different vegetation types in (a) 1990, (b) 2019.
We analyzed the contribution of the newly established forest and grassland and found that the carbon sink contribution of newly increased forest and grassland accounted for half of the total forest and grassland (Figure 4). Therefore, a series of ecological restoration projects adopted by the government, such as the Three-North Shelter Forest Program, Grain for Green Program, and ecological protection and restoration projects of mountain, water, forest, cultivated, lake, grass, sand, etc., areas seem to show signs of having been effective at significantly enhancing the carbon sink capacity.

Figure 4.
Contribution rate of different land use types to the total carbon sink over the past 30 years.
3.2. Effects of Different Climatic Conditions on Carbon Sources and Sinks
According to Figure 5, precipitation in the LP gradually decreases from east to west and from south to north, and climatic conditions among the three climatic zones exhibit a significant regional differentiation. The average annual precipitation intensity is ranked from largest to smallest in the following order: climatic zone III, climatic zone H, and climatic zone II, while the average annual temperature is ranked from largest to smallest in the following order: climatic zone III, climatic zone II, and climatic zone H. According to the spatial variation of drought in the LP (Figure 6), drought in the past 20 years was most intense in the north and southeast; in contrast, it was less intense in the west and southwest. Specifically, the most intense droughts were concentrated in climatic zone II, while the least intense ones were concentrated in Qinghai province in climatic zone H. Due to drought not having shown any broad-scale changes, we believe that its trends during 1990–2000 are consistent with those observed in 2000–2019.

Figure 5.
Spatial distribution of average annual precipitation in the Loess Plateau from (a) 1990–2000, (b) 2000–2010, (c) 2010–2019; Spatial distribution of annual average temperature in the Loess Plateau from (d) 1990–2000, (e) 2000–2010, (f) 2010–2019. Note: II represents middle temperate zone, III represents south temperate zone, and H represents the plateau climatic zone.

Figure 6.
Trends of TVDI in (a) 2000–2010, (b) 2010–2019 in the Loess Plateau.
The altitudes of climate zones II and III are approximately 3000 m, and that of climate zone H is approximately 1500–5014 m (Figure S3a–c). The climatic zones also vary in terms of the slopes that characterize the landscapes on which they occur. Climatic zone II is mainly dominated by plains, slight slopes, and gentle slopes, which account for 93% of its total area. Climatic zone III is mainly dominated by slight slopes, gentle slopes, and slopes, which account for 91% of its total area. Climatic zone H is mainly dominated by gentle slopes and slopes (Figure S3i), which account for 87% of its total area. Although the topographic conditions of climatic zone II have advantages, its annual average precipitation is low, its temperature is high, and its evapotranspiration is large; additionally, it is in a relatively dry area, which does not support the growth of tall vegetation. The land use types in this zone are mainly grassland, cultivated land, and unused land. Climatic zone III has terrain and climatic conditions that are conducive to vegetation growth, and its land use types are mainly cultivated land, forest, and grassland. Climatic zone H has the highest altitude, highest annual average precipitation, and the lowest temperature and evapotranspiration Additionally, it is in a relatively humid region. However, the topographic conditions of this climate zone are not conducive to the growth of tall vegetation, and the land use type is mainly grassland and cultivated.
We overlaid the climate zones in the LP with the spatial distribution of carbon sources and sinks for the three periods. Figure S2d–f show the number of carbon source and sink grids obtained in different climate zones. The number of carbon sinks in each climate zone increases annually, while and the number of carbon sources decreases. Over the past 30 years, the average annual NEP of the three climate zones has increased annually (Figure S2). Among them, carbon sources are mainly concentrated in climate zone II, accounting for 26% of the area of this climate zone during 2010–2019, a decrease of 6% compared with 1990–2000. Carbon sinks are concentrated in climate zone III, covering 98% of the area in 2010–2019, an increase of 16% compared to 1990–2000. In climate zone III, greening has occurred at the fastest pace, representative of the many carbon sinks in the area. In addition, we found that from 2000–2019, although some forestland, grassland, and cultivated land were affected by drought and extreme drought, the annual average NEP increased annually. This increase may be attributable to factors such as artificial management (e.g., fertilization and irrigation). In humid to extremely humid areas, the annual average precipitation was higher, the temperature was lower, and the evapotranspiration was smaller. Combined, these environmental conditions are not conducive to the photosynthesis and respiration of plants, so they have an NEP that is relatively low. In the extremely arid regions, the area of forest, shrubs, and grassland was significantly higher than that in the humid region, but the NEP was slightly higher than that of the humid region, and this was indicative of a poorer quality of vegetation in the extremely arid region.
3.3. Factors Shaping NEP Variation
We selected random points in different climatic zones and arid areas to calculate the values of NEP, CO2, slope, DEM, temperature, and precipitation during 1990–2019. We then used the OPGD model to study the spatial explanatory variables of NEP changes in the LP. The OPGD model can handle both discontinuous and continuous variables, wherein the discontinuous variables can be directly used in the geographic detector model, and the continuous variables should be discretized with optimal parameters before modeling. The first part of the model is parameter optimization. We found that the optimal parameter combination of the discrete method is different for different explanatory variables. The optimal parameter combination of temperature and SIF represents quantile discontinuities at seven intervals, and the precipitation, CO2, and TVDI are equal discontinuities at four intervals, standard deviation discontinuities at seven intervals, and equal discontinuities at five breakpoints, respectively (Figure S4).
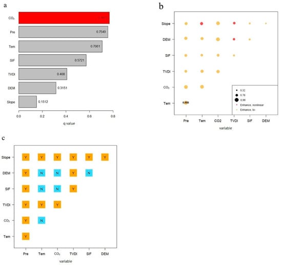
The second part is a factor detector, which can be used reveal the contribution of each individual factor on NEP and quantify it with a q value. The larger the q value, the greater the influence of the factor on the change in NEP. According to the analysis in Figure 7a, CO2 has the strongest explanatory power for NEP, followed by precipitation, temperature, SIF value, TVDI, and topography. CO2 and climate factors (i.e., temperature and precipitation) are the main factors affecting the spatial distribution of carbon sources and sinks in the LP.

Figure 7.
OPGD-based explanatory variables within the context of NEP: (a) factor detector, (b) interactive detector, and (c) ecological detector results.
The third part is a risk detector, which provides the mean risk of spatial regions determined by variables and tests whether the mean risk of each spatial region is significantly different (Figure S5) []. The results show that the independent variables in different intervals have different effects on the change of NEP. For example, the NEP variation in precipitation in the 493–609 mm area is 87, while that in the 260–376 mm area is 3.
The last two parts are interactive and ecological detectors. The interactive detector identifies the contribution of the interaction of two independent variables to the dynamics of NEP. The change in NEP cannot be attributed to a single factor, but is the result of the interaction of multiple influencing factors. The interactive detector is used to detect the degree of interaction among multiple independent variables and its influence on NEP []. According to Figure 6b, the q value of interaction of each pair of impact factors is greater than the contribution of a single factor to NEP, among which the q value of three interaction pairs is greater than the sum of the q values of two impact factors, indicating that their interaction on the distribution of carbon sources and sinks is nonlinear, and the remaining 19 interaction pairs are less than the q value of the two impact factors. This shows that their interaction on the distribution of carbon sources and sinks is a bivariate enhancement. The interaction with the highest q value is that of temperature and precipitation, followed by that of CO2 and precipitation, and then that of CO2 and temperature. The difference in q values among the three is very low, indicating that the interaction between climate factors (i.e., temperature and precipitation) and CO2 concentration plays a leading role in the spatial distribution of carbon sources and sinks. According to Figure 7c, the explanatory power of the DEM to NEP change is not significantly different from that of temperature, CO2 concentration, and SIF, and the explanatory power of SIF to NEP change is not significantly different from that of CO2 concentration, and the differences among other factors are relatively significant.
4. Discussion
4.1. Impact of Climate Factors on NEP
Based on an analysis of the geographic detector, CO2 concentrations, temperature, and precipitation are the main factors that shape the dynamics of NEP. This is because, under specific climate–vegetation, climate–terrain and climate–soil relationships, the level of precipitation and temperature can often be indirectly reflected in terrain, soil, and vegetation.
Changes in temperature, precipitation, and CO2 concentration may affect the structure and distribution of vegetation, including vegetation growth, death, physiological processes (i.e., photosynthesis and respiration), and ecological processes (i.e., decomposition of organic matter in soil) []. On the one hand, temperature and precipitation directly affect the NEP and respiration rate of roots and microorganisms in soil; on the other hand, they also indirectly affect NEP and respiration rate through affecting the growth of plants and microorganisms and soil conditions. Both of these changes have an important impact on the carbon balance of ecosystem. When atmospheric CO2 concentration increases, the photosynthetic rate of plants will be improved, leaf senescence will be delayed, and the leaves will have a longer period of active photosynthesis, thereby resulting in an increased productivity. The increase of CO2 concentration can also promote the rapid underground growth of plants, increasing their root/shoot ratio. Under increasing CO2 concentration, stomatal density and stomatal conductance of plants decreases, which reduces the water transpiration rate and directly or indirectly improves water use efficiency. Under different climatic conditions, the level of vegetation productivity and soil respiration are different in different degrees, so the carbon sink capabilities also vary.
The climatic and topographic conditions of the LP are obviously zonal. The overall precipitation in climatic zone II is low and the temperature is moderate. TVDI is mainly normal and arid, at an altitude of 0–3000 m and with a slope of 0–2°. This zone is most suitable for the growth of small vegetation. Its land use types are mainly grassland, cultivated land, and unused land. This area has the highest concentration of carbon sources. This may be because its high temperatures and water shortages are not conducive to plant growth []. Specifically, a reduced water availability will inhibit soil biological activity and negatively affect the net output productivity of vegetation and soil respiration, and thus affect the NEP.
Climatic zone III has the most precipitation and the highest temperature. TVDI is mainly normal and arid, and it is approximately at an elevation of 0–3000 m and the slope is 0.5–15°, which is conducive to the growth of tall vegetation. The main land use types in this zone are woodland, grassland, and cultivated land. During 2010–2019, carbon sinks accounted for 98.4% of the total area of climatic zone III, an increase of 16.2% compared with 1990–2000. This may be due to the abundant water and heat, which are conducive to the transpiration rate of vegetation leaf surfaces, promoting the chemical reactions of enzyme series and accelerating the respiration rate of plant roots and their associated soil microorganisms, which improves the photosynthesis of vegetation and soil respiration; photosynthesis is dominant in this area, which manifests as a carbon sink.
Climatic zone H has a high altitude, mainly 1500–5014 m. Additionally, this environment is characterized by a steep terrain and a slope of 5–26°. Overall, the precipitation of this climate zone is high, and its temperature is low. TVDI is mainly humid, and its hydrothermal conditions are not conducive to the growth of tall vegetation. This is reflected in the main areas of this zone, which are mainly grassland, cultivated land, and forest. During 2010–2019, carbon sink accounted for 94.3% of the total area of the climatic zone H, an increase of 3% compared with 1990–2000. This may be due to sufficient precipitation, which created conditions conducive to vegetation growth. Rainfall is a key factor for photosynthesis of vegetation in the growing season, and by affecting soil moisture, rainfall affects physiological activities such as the stomatal conductance and material migration of plants, controlling the concentration of CO2 through stomatal conductance, and further affecting the photosynthetic rate of plants, thus affecting the synthesis of organic compounds. Low temperatures will delay root growth and inhibit water absorption, resulting in a water deficit and stomatal closure of leaf. It will also affect the chloroplast structure, passivate chlorophyll activity, and block energy transfer, resulting in a lower photosynthesis rate []. In addition, at low temperatures, plants require more energy to withstand the cold, thus intensifying respiration. The effect of precipitation on vegetation photosynthesis and respiration was greater than that of low temperature in this region, which showed that the carbon sink was greater than the carbon source.
4.2. Impact of Land Use Types on NEP
We found that grasslands, cultivated land, and forest are both carbon sources and sinks. In terrestrial ecosystems, carbon is mainly stored in forests, and it is mainly stored in two forms. One is in the form of biomass such as branches, trunks, and leaves, and the other is in the form of soil organic carbon []. However, the death and decomposition of forests, forest fires, man-made deforestation, irrational logging, and even the use and consumption of forest biomass products, may release the carbon stored in forests back into the atmosphere. In cultivated land, carbon storage is mainly in the form of subsurface organic matter and soil accumulation, most of which have high annual carbon absorption rates. Most of the carbon absorbed by cultivated ecosystems is usually transported or quickly released into the atmosphere in the form of agricultural products and their by-products or wastes. Of course, carbon is stored again in the next growing season, and so on. Through good management practices, such as nitrogen fertilizer application, straw returning and tillage practices, as well as efficient irrigation practices for dryland fields, not only can crop yields be increased, but soil carbon fixation can also be improved []. Most of the carbon in grassland ecosystems is stored in the soil. These carbon stores are in a stable state for a long time, but once they are altered by human activities and external disturbances, their storage moves toward exceeding their carrying capacity, and a large amount of carbon will be lost []. Whether a grassland ecosystem is a carbon source or sink depends on the management mode and environmental conditions (i.e., radiation, precipitation, soil moisture, leaf area index, land use, grazing intensity, etc.) []. Therefore, it is not uncommon for forest, shrub, grassland, and cultivated land to transition between carbon sources and carbon sinks, especially when affected by extreme drought and human activities, and without timely and effective management measures, which is consistent with Li’s conclusion [].
4.3. Study Limitations
The NEP data were derived from data on a global scale and generated through BEPS model simulation. This may have resulted in errors in evaluating the spatiotemporal distribution trends of carbon sources and sinks in the LP by clipping and resampling methods. In addition, besides climate factors, SIF, CO2 concentration, topographic factors, and land use data, other factors may also affect carbon sinks, such as O3 concentration, atmospheric nitrogen deposition, and soil type. A high concentration of O3 will reduce the photosynthetic rate of plants, weakening carbon sequestration. Atmospheric nitrogen deposition promotes plant photosynthesis by increasing plant leaf nitrogen content and canopy leaf area, thereby increasing carbon sinks []. Some studies have shown that there is an interaction between CO2 and nitrogen in stimulating plant growth; adequate nitrogen supply can alleviate or even inhibit vegetation’s adaptation to elevated CO2 concentration. Nitrogen deposition not only increases ecosystem carbon flux, but also weakens the negative effects of elevated CO2 concentration on NEE []. Therefore, some interactions have to be incorporated into the mechanistic models predicting changes in terrestrial carbon sequestration and forest growth in the future []. The attribution of carbon sinks to various driving factors also varies greatly among different models, which often have significant uncertainties in simulating the effects of vegetation change and carbon cycling [].
The LP is one of the most severely eroded areas in the world. Soil erosion will have a great impact on the physiochemical properties of the soil (i.e., including soil organic carbon storage), and then affect the carbon cycle process of terrestrial ecosystem. The influence of soil erosion on the carbon cycle in the LP should be studied in more detail. In addition, the age of vegetation tree species is another dominant factor in the spatio-temporal variation of NEP []. When tree species reach a certain age, annual carbon storage will gradually decline with the growth of the trees.
5. Conclusions
A scientific assessment of the carbon balance and its influencing factors in the LP terrestrial ecosystem plays an important role in guiding regional sustainable development and carbon sink capacity in the region. In this paper, the influence of climate change and anthropogenic activities on land use type changes on the dynamics land NEP in the LP in the past 30 years is studied in detail. The results show that the area of the LP as a carbon sink has gradually increased in the past 30 years, and that the distributions of the carbon sources and sinks are characterized by apparent zonation; specifically, the carbon sink has a downward trend from south to north, and it is mainly related to climatic conditions and land use type with a climatic zone. Additionally, most of the carbon sources are mainly concentrated in climatic zone II, and the carbon sinks are mainly distributed in climatic zones III and H. The vegetation in climatic zone III is the greenest. Although the vegetation in some areas is subjected to drought, artificial management measures can play a positive role in the increasing the abundance of carbon sinks. Due to its unfavorable hydrothermal conditions and improper management measures, the wasteland and some grassland in climatic zone III have become the main carbon sources of the LP. In addition, we also found that CO2 and climatic factors (i.e., temperature and precipitation) are the primary drivers of the spatial distribution of carbon sources and sinks, and that their interaction also greatly shapes the distribution of carbon sources and sinks. This study will provide a basis for understanding the carbon balance of a regional terrestrial ecosystem and a theoretical reference for the creation of vegetation-based carbon sink policies in the region.
Supplementary Materials
The following supporting information can be downloaded at: https://www.mdpi.com/article/10.3390/f14081640/s1, Figure S1: The spatial distribution of fractional vegetation coverage on the Loess Plateau is shown in: (a) 1990, (b) 2000, (c) 2010, (d) 2019. Figure S2: Spatial distribution of NEP in three climatic regions from (a) 1990–2000, (b) 2000–2010, (c) 2010–2019, (d) 1990–2019. Figure S3: Spatial distribution of carbon sources/sinks as a function of elevation in (a) 1990–2000, (b) 2000–2010, (c) 2010–2019; Spatial distribution of carbon sources/sinks as a function of climatic zone in (d) 1990–2000, (e) 2000–2010, (f) 2010–2019; Spatial distribution of carbon sources/sinks as a function of slope in (g) 1990–2000, (h) 2000–2010, (i) 2010–2019. Notes: 1500 refers to the range from 0–1500, 3000 refers to the range from 1500–3000, 5014 refers to the range from 3000–5014; II represents the middle temperate zone, III represents the southern temperate zone, and H represents the plateau climate zone. Figure S4: OPGD-based explanatory variables exploration of NEP: Processes (a) and results (b) of parameter optimization for spatial data discretization. Figure S5: OPGD-based explanatory variables exploration of NEP: NEP changes in variable determined spatial zones computed by the risk detector.
Author Contributions
M.W.: Methodology, Visualization, Conceptualization, Formal analysis, Writing—original draft. Z.H.: Supervision, Writing—review & editing. X.W., Y.W., H.L., C.H. and J.C.: Supervision, Writing—review & editing. X.L. and W.Z.: Supervision. All authors have read and agreed to the published version of the manuscript.
Funding
This work was supported by the National Key R&D Program of China (Grant No. 2018YFC1508902), and the National Natural Science Foundation of China (Grant 41971381).
Data Availability Statement
The datasets generated and/or analyzed during the current study are available from the corresponding author on reasonable request.
Acknowledgments
We gratefully acknowledge the National Tibetan Plateau Data Center and National Ecosystem Science Data Center for partial support of this project.
Conflicts of Interest
The authors declare no conflict of interest.
References
- Xiu, J.; Zang, X.; Piao, Z.; Li, L.; Kim, K. China’s low-carbon economic growth: An empirical analysis based on the combination of parametric and nonparametric methods. Environ. Sci. Pollut. Res. 2023, 30, 37219–37232. [Google Scholar] [CrossRef] [PubMed]
- Friedlingstein, P.; O’Sullivan, M.; Jones, M.W.; Andrew, R.M.; Zaehle, S. Global Carbon Budget 2020. Earth Syst. Sci. Data 2020, 12, 3269–3340. [Google Scholar] [CrossRef]
- Bao, Y. Study on carbon storage benefits of the grain for green program in loess plateau of noythern Shannxi province. J. Anhui Agric. Sci. 2021, 49, 55–60. [Google Scholar]
- Raich, J.W.; Schlesinger, W.H. The global carbon dioxide flux in soil respiration and its relationship to vegetation and climate. Tellus B Chem. Phys. Meteorol. 1992, 44, 81–99. [Google Scholar] [CrossRef]
- Yu, G.; Wang, Q.; Yu, Z. Study on the coupling cycle of water-carbon and process mangement in terrestrial ecosystem. Adv. Earth Sci. 2004, 19, 831–839. [Google Scholar]
- Feng, Z.; Sang, B.; Xu, Y. Effects of ground-level ozone on tree productivity and crop yield in China: Progress and prospect. Trans. Atmos. Sci. 2022, 45, 376–386. [Google Scholar] [CrossRef]
- Tian, H.; Melillo, J.; Lu, C.; Kicklighter, D.; Liu, M.; Ren, W.; Xu, X.; Chen, G.; Zhang, C.; Pan, S.; et al. China’s terrestrial carbon balance: Contributions from multiple global change factors. Glob. Biogeochem. Cycles 2011, 25. [Google Scholar] [CrossRef]
- Hu, Y.; Gao, M. Batunacun Evaluations of water yield and soil erosion in the Shaanxi-Gansu Loess Plateau under different land use and climate change scenarios. Environ. Dev. 2020, 34, 100488. [Google Scholar] [CrossRef]
- Deng, L.; Shangguan, Z.-P.; Sweeney, S. “Grain for Green” driven land use change and carbon sequestration on the Loess Plateau, China. Sci. Rep. 2014, 4, 7039. [Google Scholar] [CrossRef]
- Li, J.; Li, M.; Dong, L.; Wang, K.; Liu, Y.; Hai, X.; Pan, Y.; Lv, W.; Wang, X.; Shangguan, Z.; et al. Plant productivity and microbial composition drive soil carbon and nitrogen sequestrations following cropland abandonment. Sci. Total Environ. 2020, 744, 140802. [Google Scholar] [CrossRef]
- Wang, K.; Deng, L.; Ren, Z.; Shi, W.; Chen, Y.; Shang-Guan, Z. Dynamics of ecosystem carbon stocks during vegetation restora-tion on the Loess Plateau of China. J. Arid Land 2016, 8, 207–220. [Google Scholar] [CrossRef]
- Deng, L.; Liu, S.; Kim, D.G.; Peng, C.; Sweeney, S.; Shangguan, Z. Past and future carbon sequestration benefits of China’s grain for green program. Glob. Environ. Change 2017, 47, 13–20. [Google Scholar] [CrossRef]
- Li, Z.; Liu, C.; Dong, Y.; Chang, X.; Nie, X.; Liu, L.; Xiao, H.; Lu, Y.; Zeng, G. Response of soil organic carbon and nitrogen stocks to soil erosion and land use types in the Loess hilly–gully region of China. Soil Tillage Res. 2017, 166, 1–9. [Google Scholar] [CrossRef]
- McGuire, A.D.; Sitch, S.; Clein, J.S.; Dargaville, R.; Esser, G.; Foley, J.; Heimann, M.; Joos, F.; Kaplan, J.; Kicklighter, D.W.; et al. Carbon balance of the terrestrial biosphere in the twentieth century: Analyses of CO2, climate and land use effects with four process-based ecosystem models. Glob. Biogeochem. Cycles 2001, 15, 183–206. [Google Scholar] [CrossRef]
- Xu, X.; Luo, Y.; Yang, S.; Lu, X.; Zhou, Q.; Liu, M.; Shi, C.; Liao, M. Change trend and sustainability of vegetation net primary productivity of terrestrial ecosystems in different global climatic zones. Acta Ecol. Sin. 2023, 14, 1–15. [Google Scholar]
- Luyssaert, S.; Inglima, I.; Jung, M.; Richardson, A.D.; Reichstein, M.; Papale, D.; Piao, S.L.; Schulze, E.-D.; Wingate, L.; Matteucci, G.; et al. CO2 balance of boreal, temperate, and tropical forests derived from a global database. Glob. Change Biol. 2007, 13, 2509–2537. [Google Scholar] [CrossRef]
- Zhang, F.; Yang, L.; Yang, Y. Change of vegetation NDVI and its response to climatic and human activities in the Loess Plateau during 1981–2016. Res. Soil Water Conserv. 2023, 30, 230–237. [Google Scholar]
- Fang, W.; Huang, S.; Huang, Q.; Huang, G.; Wang, H.; Leng, G.; Wang, L.; Guo, Y. Probabilistic assessment of remote sensing-based terrestrial vegetation vulnerability to drought stress of the Loess Plateau in China. Remote Sens. Environ. 2019, 232, 111290. [Google Scholar] [CrossRef]
- Xu, Q.; Yang, R.; Ren, Z. Analysis on the natural factors affecting NPP in Loess Plateau. Agric. Res. Arid. Areas 2016, 34, 244–250. [Google Scholar]
- Sun, Y.; Zhu, J.; Yan, Q.; Hu, Z.; Zheng, X. Changes in vegetation carbon stocks between 1978 and 2007 in central Loess Plateau, China. Environ. Earth Sci. 2016, 75, 312. [Google Scholar] [CrossRef]
- Zhang, J.; Liu, M.; Zhang, M.; Yang, J.; Cao, R.; Malhi, S.S. Changes of vegetation carbon sequestration in the tableland of Loess Plateau and its influencing factors. Environ. Sci. Pollut. Res. 2019, 26, 22160–22172. [Google Scholar] [CrossRef] [PubMed]
- Bao, Y. Impact of landuse change on carbon storage in southeast of north Shannxi Loess Plateau. Anhui Agric. Sci. 2021, 49, 55–60. [Google Scholar]
- Fu, B.; Liu, Y.; Lü, Y.; He, C.; Zeng, Y.; Wu, B. Assessing the soil erosion control service of ecosystems change in the Loess Plateau of China. Ecol. Complex. 2011, 8, 284–293. [Google Scholar] [CrossRef]
- Gao, H.; Pang, G.; Li, Z.; Cheng, S. Study on the potential of vegetation restoration in the loess plateau. Acta Geogr. Sin. 2017, 72, 863–874. [Google Scholar]
- Jie, Y.; Huang, X. The 30 m annual land cover dataset and its dynamics in China from 1990 to 2019. Earth Syst. Sci. Data 2021, 13, 3907–3925. [Google Scholar]
- Peng, S. 1-km Monthly Precipitation Dataset for China (1901–2021); National Tibetan Plateau Data Center, Ed.; National Tibetan Plateau Data Center: Beijing, China, 2020. [Google Scholar]
- Sandholt, I.; Rasmussen, K.; Andersen, J. A simple interpretation of the surface temperature/vegetation index space for assessment of surface moisture status. Remote Sens. Environ. 2002, 79, 213–224. [Google Scholar] [CrossRef]
- Jiang, L.; Wang, P.; Jiang, L.; Gong, L.; Li, X.; Zhang, H.; Wang, X. Temperature vegetation dryness index and its application in agricultural drought monitoring. Chin. Agric. Sci. Bull. 2021, 37, 132–139. [Google Scholar]
- Wang, H.; Han, L.; Xu, L.; Niu, J. Photosynthetic responses of the heteromorphic leaves in Populus euphratica to light intensity and CO2 concentration. Chin. J. Plant Ecol. 2014, 38, 1099–1109. [Google Scholar]
- Green, J.K.; Konings, A.G.; Alemohammad, S.H.; Berry, J.; Entekhabi, D.; Kolassa, J.; Lee, J.-E.; Gentine, P. Regionally strong feedbacks between the atmosphere and terrestrial biosphere. Nat. Geosci. 2017, 10, 410–414. [Google Scholar] [CrossRef]
- Wang, J.; Xu, C. Geodector: Principle and prospective. Acta Geogr. Sin. 2017, 72, 116–134. [Google Scholar]
- Song, Y.; Wang, J.; Ge, Y.; Xu, C. An optimal parameters-based geographical detector model enhances geographic characteristics of explanatory variables for spatial heterogeneity analysis: Cases with different types of spatial data. GISci. Remote Sens. 2020, 57, 593–610. [Google Scholar] [CrossRef]
- Gong, C.; Wang, S.-X.; Lu, H.-C.; Chen, Y.; Liu, J.-F. Research Progress on Spatial Differentiation and Influencing Factors of Soil Heavy Metals Based on Geographical Detector. Environ. Sci. 2023, 44, 2799–2816. [Google Scholar] [CrossRef]
- Zhao, J.; Yan, X.; Guo, J.; Jia, G. Evaluating Spatial-Temporal Dynamics of Net Primary Productivity of Different Forest Types in Northeastern China Based on Improved FORCCHN. PLoS ONE 2012, 7, e48131. [Google Scholar] [CrossRef] [PubMed]
- Chen, Y.; Askarl, A.; Wang, Y.; Abzhanov, T.; Sarsekovadani, D.; Zhumabekova, Z. Characteristics and drivers of the spatial-temporal change of net primary productivity in the capital area of Kazakhstan from 1994 to 2018. Arid. Zone Res. 2022, 36, 1–15. [Google Scholar]
- He, J.; Liu, H.; Wang, Y.; Guo, J. Low temperature and photosynthesis of plants. Plant Physiol. J. 1986, 1–6. [Google Scholar]
- Wei, H.; Ma, X.; Liu, A.; Feng, L.; Huang, Y. Review on carbon cycle of forest ecosystem. Chin. J. Eco-Agric. 2007, 15, 188–192. [Google Scholar]
- Hu, C.; Wang, Y.; Dong, W.; Zhang, Y.; Li, X.; Chen, S. Carbon processes and environmental effects on agro-ecosystem in the North China Plain. Chin. J. Eco-Agric. 2018, 26, 1515–1520. [Google Scholar]
- Mu, S.; Zhou, K.; Chen, Y.; Sun, C.; Li, J. Research progress on the carbon cycle and impact factors of grassland ecosystem. Acta Agrestia Sin. 2014, 22, 439–447. [Google Scholar]
- Li, Z.; Chen, Y.; Zhang, Q.; Li, Y. Spatial patterns of vegetation carbon sinks and sources under water constraint in Central Asia. J. Hydrol. 2020, 590, 125355. [Google Scholar] [CrossRef]
- Besnard, S.; Carvalhais, N.; Arain, M.A.; Black, A.; Brede, B.; Buchmann, N.; Chen, J.; Clevers, J.G.P.W.; Dutrieux, L.P.; Gans, F.; et al. Memory effects of climate and vegetation affecting net ecosystem CO2 fluxes in global forests. PLoS ONE 2019, 14, e0211510. [Google Scholar] [CrossRef]
- Wang, J. Responses of Carbon Characteristics of Calamagrostis Angustifolia Wetland to Elevated CO2 and Nitrogen Deposition on the Sanjiang Plain; Northeast Normal University: Changchun, China, 2013. [Google Scholar]
- Ofori-Amanfo, K.K.; Klem, K.; Veselá, B.; Holub, P.; Agyei, T.; Juráň, S.; Grace, J.; Marek, M.V.; Urban, O. The effect of elevated CO2 on photosynthesis is modulated by nitrogen supply and reduced water availability in Picea abies. Tree Physiol. 2023, 43, 925–937. [Google Scholar] [CrossRef] [PubMed]
- Chen, J.M.; Ju, W.; Ciais, P.; Viovy, N.; Liu, R.; Liu, Y.; Lu, X. Vegetation structural change since 1981 significantly enhanced the terrestrial carbon sink. Nat. Commun. 2019, 10, 4259. [Google Scholar] [CrossRef] [PubMed]
- Besnard, S.; Carvalhais, N.; Arain, M.A.; Black, A.; de Bruin, S.; Buchmann, N.; Cescatti, A.; Chen, J.; Clevers, J.G.P.W.; Desai, A.R.; et al. Quantifying the effect of forest age in annual net forest carbon balance. Environ. Res. Lett. 2018, 13, 124018. [Google Scholar] [CrossRef]
Disclaimer/Publisher’s Note: The statements, opinions and data contained in all publications are solely those of the individual author(s) and contributor(s) and not of MDPI and/or the editor(s). MDPI and/or the editor(s) disclaim responsibility for any injury to people or property resulting from any ideas, methods, instructions or products referred to in the content. |
© 2023 by the authors. Licensee MDPI, Basel, Switzerland. This article is an open access article distributed under the terms and conditions of the Creative Commons Attribution (CC BY) license (https://creativecommons.org/licenses/by/4.0/).