The Influence of Wild Ungulates on Forest Regeneration in an Alpine National Park
Abstract
1. Introduction
2. Methods
2.1. Study Area
2.2. Sampling Design
2.3. Development of the Numbers of Trees over Time
- Development of the numbers of saplings and young trees of the five most common tree species between 1991 and 2021;
- Development of the numbers of saplings and young trees of the five most common tree species between 1991 and 2021 on the two slopes of Val Trupchun;
- Development of the numbers of individuals within each developmental stage per tree species between 1991 and 2021.
2.4. Factors Possibly Affecting the Probability of Browsing
- : total number of tree species within saplings of the plot;
- : tree species of the saplings;
- : total number of saplings of the five tree species within the plot;
- : number of saplings belonging to tree species within the plot.
| Predictor | Correlation Expected a priori | Reason |
|---|---|---|
| Cembra pine | Least browsed | From the literature, we know that wild ungulates have different preferences for spruce and larch [31]. |
| Spruce | Medium browsed | |
| Larch | Most browsed | |
| Developmental stage | Unclear | Wild ungulates might prefer some developmental stages over others [32]. |
| Topography | ||
| Elevation | Positive [14] | Meadows, which are the preferred foraging grounds of wild ungulates, are mostly at high elevations above the tree line. |
| Eastness | Unclear | Sampling plots are differently exposed to wind due to their east-west exposition. |
| Northness | Positive | South-exposed sampling plots are exposed to high solar radiation, meaning challenging conditions for ungulates in summer [33]. |
| Slope | Negative | Red deer, the ungulate species with the highest density in Val Trupchun, are better adapted to flatter terrain [34]. |
| Location factors for 4 m sampling plot | ||
| Total number of saplings | Positive | A high number of saplings represent extensive foraging grounds for wild ungulates. |
| Average developmental stage | Unclear | The developmental stage of the surrounding saplings may have an influence on the browsing probability [35]. |
| Shannon index | Positive | A high diversity of saplings may represent a resource of different nutrients and minerals. |
| Distance to next hiking trail | Positive | Wild ungulates avoid human presence. |
| Distance to next meadow | Unclear | Meadows are the main and preferred foraging grounds of wild ungulates [18]. |
3. Results
3.1. Development of the Numbers of Trees over Time
3.1.1. Overall Development of the Number of Trees
3.1.2. Differences between Opposite Slopes of the Valley
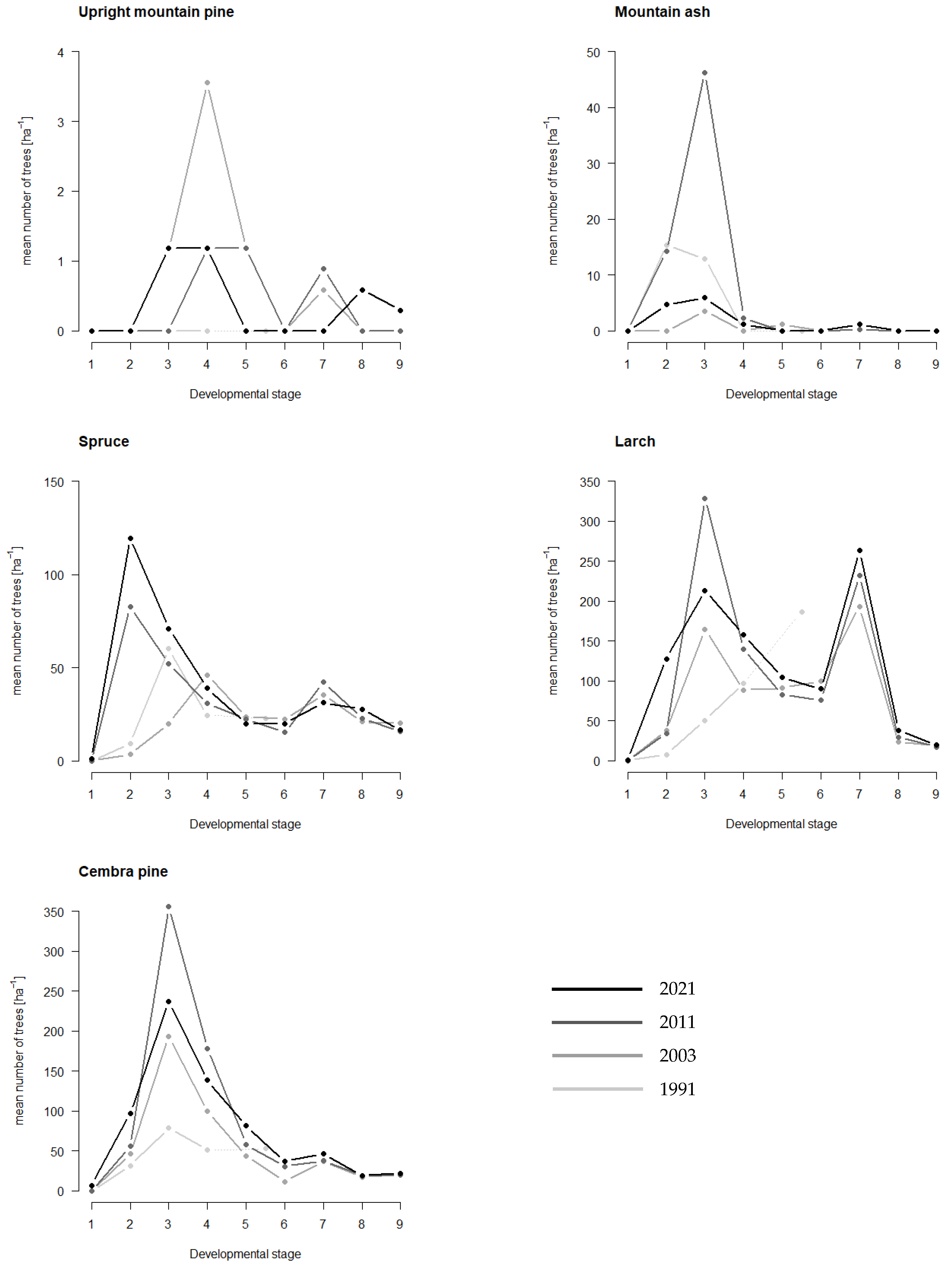
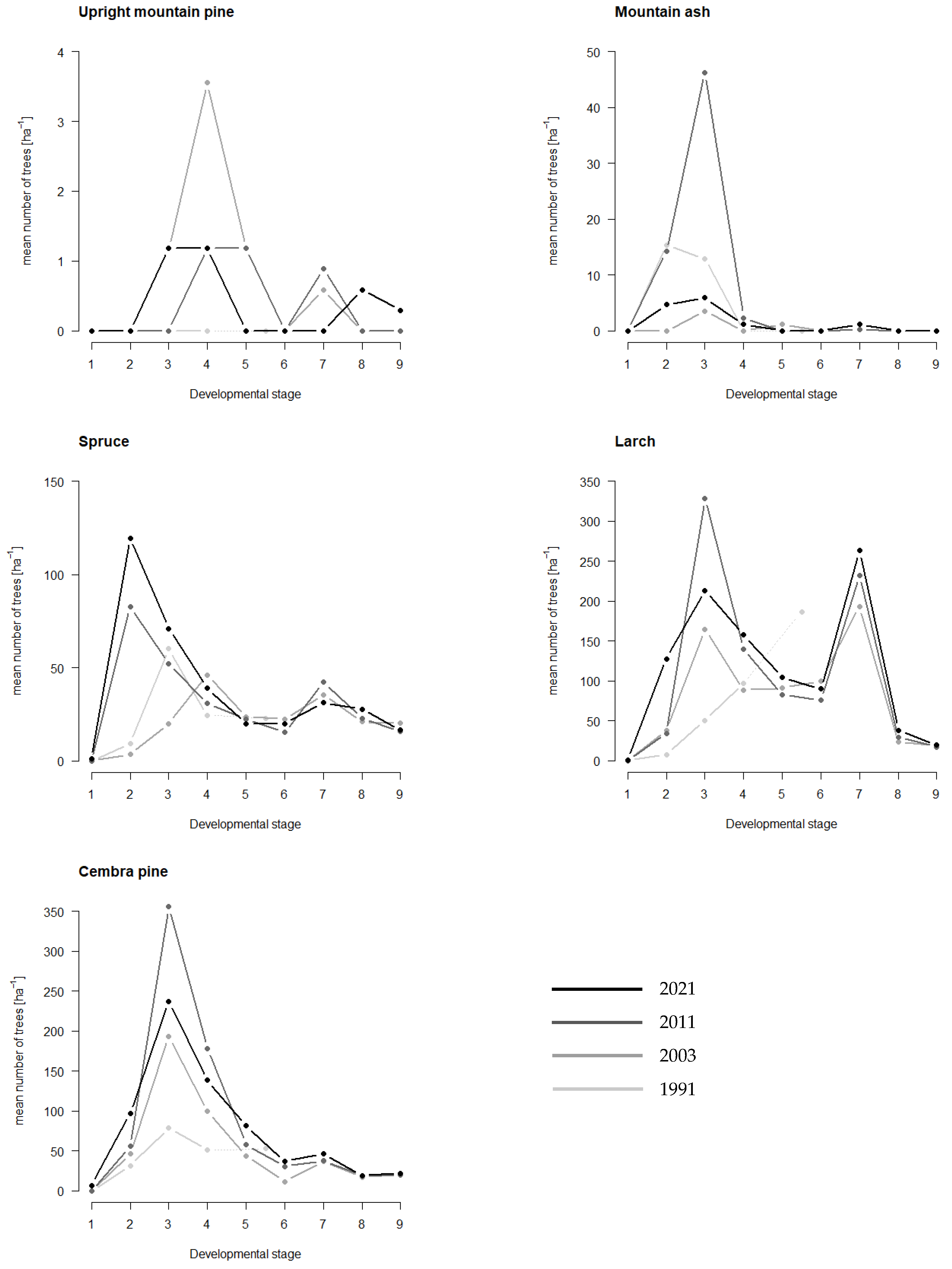
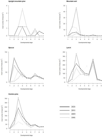
3.1.3. Differences between Developmental Stages
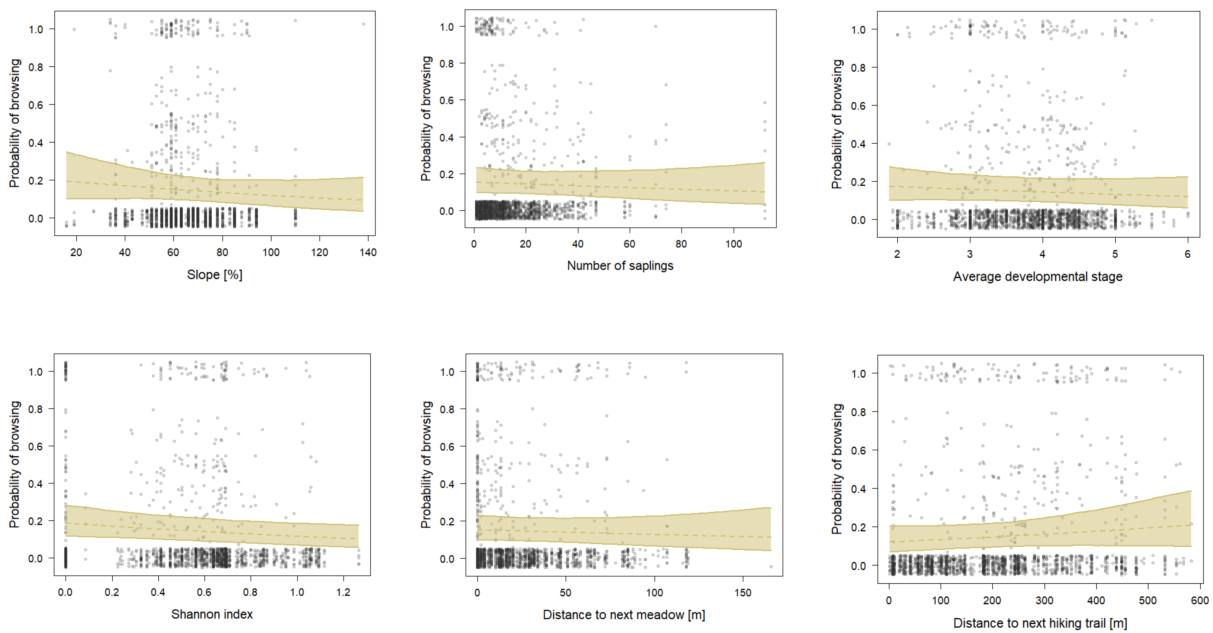
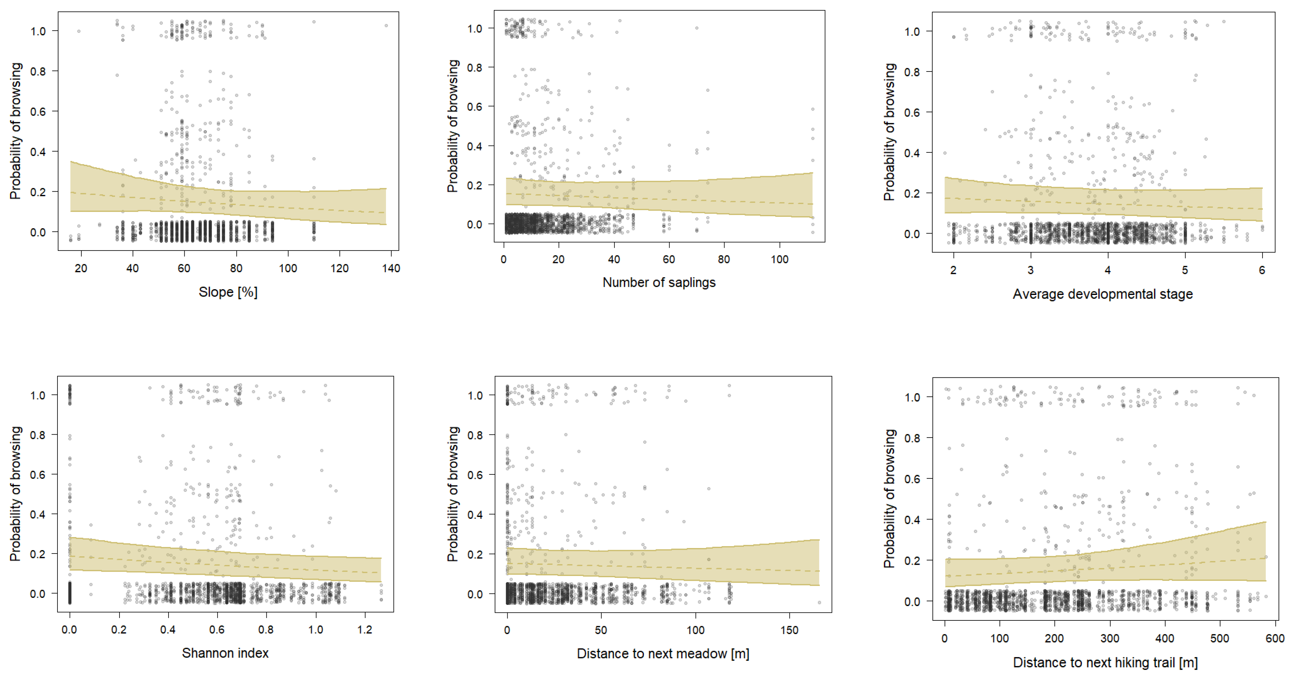
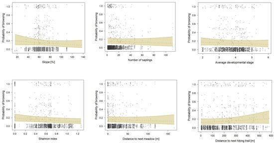
3.2. Factors Affecting the Probability of Browsing
4. Discussion
4.1. Development of the Numbers of Trees over Time
4.1.1. Overall Development of the Numbers of Trees
4.1.2. Differences between Opposite Slopes of the Valley
4.1.3. Differences between Developmental Stages
4.2. Factors Affecting the Probability of Browsing
5. Conclusions
Supplementary Materials
Author Contributions
Funding
Data Availability Statement
Acknowledgments
Conflicts of Interest
References
- Hester, A.J.; Bergman, M.; Iason, G.R.; Moen, J. Impacts of Large Herbivores on Plant Community Structure and Dynamics. In Large Herbivore Ecology, Ecosystem Dynamics and Conservation; Danell, K., Bergström, R., Duncan, P., Pastor, J., Eds.; Cambridge University Press: Cambridge, UK, 2006; pp. 97–141. ISBN 978-0-521-83005-8. [Google Scholar]
- Clutton-Brock, T.H.; Coulson, T.; Milner, J.M. Red Deer Stocks in the Highlands of Scotland. Nature 2004, 429, 261–262. [Google Scholar] [CrossRef] [PubMed]
- Côté, S.D.; Rooney, T.P.; Tremblay, J.-P.; Dussault, C.; Waller, D.M. Ecological Impacts of Deer Overabundance. Annu. Rev. Ecol. Evol. Syst. 2004, 35, 113–147. [Google Scholar] [CrossRef]
- Ripple, W.J.; Beschta, R.L. Large Predators Limit Herbivore Densities in Northern Forest Ecosystems. Eur. J. Wildl. Res. 2012, 58, 733–742. [Google Scholar] [CrossRef]
- Senn, J.; Suter, W. Ungulate Browsing on Silver Fir (Abies Alba) in the Swiss Alps: Beliefs in Search of Supporting Data. For. Ecol. Manag. 2003, 181, 151–164. [Google Scholar] [CrossRef]
- Ramirez, J.I.; Jansen, P.A.; Poorter, L. Effects of Wild Ungulates on the Regeneration, Structure and Functioning of Temperate Forests: A Semi-Quantitative Review. For. Ecol. Manag. 2018, 424, 406–419. [Google Scholar] [CrossRef]
- Charco, J.; Perea, R.; Gil, L.; Nanos, N. Impact of Deer Rubbing on Pine Forests: Implications for Conservation and Management of Pinus Pinaster Populations. Eur. J. For. Res. 2016, 135, 719–729. [Google Scholar] [CrossRef]
- Frerker, K.; Sonnier, G.; Waller, D.M. Browsing Rates and Ratios Provide Reliable Indices of Ungulate Impacts on Forest Plant Communities. For. Ecol. Manag. 2013, 291, 55–64. [Google Scholar] [CrossRef]
- Nieszała, A.; Klich, D.; Perzanowski, K.; Januszczak, M.; Wołoszyn-Gałęza, A.; Olech, W. Debarking Intensity of European Bison in the Bieszczady Mountains in Relation to Forest Habitat Features. For. Ecol. Manag. 2022, 508, 120057. [Google Scholar] [CrossRef]
- Rooney, T.P.; Waller, D.M. Direct and Indirect Effects of White-Tailed Deer in Forest Ecosystems. For. Ecol. Manag. 2003, 181, 165–176. [Google Scholar] [CrossRef]
- Putman, R.; Apollonio, M.; Reidar, A. Ungulate Management in Europe: Problems and Practices; Cambridge University Press: Cambridge, UK, 2011; ISBN 978-0-521-76059-1. [Google Scholar]
- Bundesamt für Umwelt BAFU Schweizerische Eidgenossenschaft. Available online: https://www.bafu.admin.ch/bafu/de/home/themen/wald/fachinformationen/waldzustand-und-waldfunktionen.html (accessed on 12 December 2022).
- Haller, H. Der Rothirsch im Schweizerischen Nationalpark und dessen Umgebung. Natl.-Forsch. Der Schweiz 2002, 91, 144. [Google Scholar]
- Campbell, T.A.; Laseter, B.R.; Ford, W.M.; Odom, R.H.; Miller, K.V. Abiotic Factors Influencing Deer Browsing in West Virginia. North J. Appl. For. 2006, 23, 20–26. [Google Scholar] [CrossRef]
- Heuze, P.; Schnitzler, A.; Klein, F. Is Browsing the Major Factor of Silver Fir Decline in the Vosges Mountains of France? For. Ecol. Manag. 2005, 217, 219–228. [Google Scholar] [CrossRef]
- Mysterud, A. Seasonal Migration Pattern and Home Range of Roe Deer ( Capreolus capreolus) in an Altitudinal Gradient in Southern Norway. J. Zool. 1999, 247, 479–486. [Google Scholar] [CrossRef]
- Augustine, D.J.; McNaughton, S.J. Ungulate Effects on the Functional Species Composition of Plant Communities: Herbivore Selectivity and Plant Tolerance. J. Wildl. Manag. 1998, 62, 1165. [Google Scholar] [CrossRef]
- Gebert, C.; Verheyden-Tixier, H. Variations of Diet Composition of Red Deer (Cervus elaphus L.) in Europe. Mammal Rev. 2001, 31, 189–201. [Google Scholar] [CrossRef]
- Haller, H.; Cherix, D.; Gonseth, Y.; Imfeld, S. Biodiversität im SNP Tagfalter als Gradmesser für die Artenvielfalt. In Atlas des Schweizerischen Nationalparks: Die ersten 100 Jahre; Nationalpark-Forschung in der Schweiz; Haupt: Bern, Switzerland, 2014; ISBN 978-3-258-07801-4. [Google Scholar]
- Bundesamt für Meteorologie und Klimatologie MeteoSchweiz Schweizerische Eidgenossenschaft. Available online: https://www.meteoschweiz.admin.ch/service-und-publikationen/service/wetter-und-klimaprodukte/datenportal-fuer-lehre-und-forschung.html (accessed on 12 December 2022).
- Parolini, J.D. Zur Geschichte der Waldnutzung im Gebiet des Heutigen Schweizerischen Nationalparks; ETH Zürich: Zurich, Switzerland, 1995. [Google Scholar] [CrossRef]
- Zoller, H. Vegetationskarte des Schweizerischen Nationalparks Erläuterungen. Natl.-Forsch. Der Schweiz 1995, 85, 108. [Google Scholar]
- Anderwald, P.; Herfindal, I.; Haller, R.M.; Risch, A.C.; Schütz, M.; Schweiger, A.K.; Filli, F. Influence of Migratory Ungulate Management on Competitive Interactions with Resident Species in a Protected Area. Ecosphere 2015, 6, art228. [Google Scholar] [CrossRef]
- Eiberle, K.; Nigg, H. Grundlagen zur Beurteilung des Wildverbisses im Gebirgswald. Schweiz. Z. Forstwes. 1987, 138, 747–785. [Google Scholar] [CrossRef]
- Kramer, H.; Akça, A. Leitfaden zur Waldmesslehre, 5th ed.; Sauerländer: Frankfurt, Germany, 2008; ISBN 978-3-7939-0880-7. [Google Scholar]
- Carpenter, B.; Gelman, A.; Hoffman, M.D.; Lee, D.; Goodrich, B.; Betancourt, M.; Brubaker, M.; Guo, J.; Li, P.; Riddell, A. Stan: A Probabilistic Programming Language. J. Stat. Soft. 2017, 76, 1–32. [Google Scholar] [CrossRef] [PubMed]
- Muth, C.; Oravecz, Z.; Gabry, J. User-Friendly Bayesian Regression Modeling: A Tutorial with Rstanarm and Shinystan. TQMP 2018, 14, 99–119. [Google Scholar] [CrossRef]
- R Foundation for Statistical Computing. R: A Language and Environment for Statistical Computing 2021. Available online: https://www.R-project.org/ (accessed on 1 November 2021).
- Lotz, A. Alpine Habitat Diversity—HABITALP—Project Report 2002–2006; EU Community Initiative Interreg III B Alpine Space Programme; Nationalparkverwaltung Berchtesgaden: Berchtesgaden, Germany, 2006. [Google Scholar]
- Oksanen, J.; Simpson, G.L.; Blanchet, F.G.; Kindt, R.; Legendre, P.; Minchin, P.R.; O’Hara, R.B.; Solymos, P.; Stevens, M.H.H.; Szoecs, E.; et al. Vegan: Community Ecology Package. Available online: https://CRAN.R-project.org/package=vegan (accessed on 11 January 2022).
- Gill, R.M.A. A Review of Damage by Mammals in North Temperate Forests: 1. Deer. Forestry 1992, 65, 145–169. [Google Scholar] [CrossRef]
- Putman, R.J. Grazing in Temperate Ecosystems Large Herbivores and the Ecology of the New Forest; Springer: Dordrecht, The Netherlands, 1986; ISBN 978-94-011-6083-4. [Google Scholar]
- Anderwald, P.; Campell Andri, S.; Palme, R. Reflections of Ecological Differences? Stress Responses of Sympatric Alpine Chamois and Red Deer to Weather, Forage Quality, and Human Disturbance. Ecol. Evol. 2021, 11, 15740–15753. [Google Scholar] [CrossRef] [PubMed]
- Pérez-Espona, S.; Pérez-Barbería, F.J.; Mcleod, J.E.; Jiggins, C.D.; Gordon, I.J.; Pemberton, J.M. Landscape Features Affect Gene Flow of Scottish Highland Red Deer (Cervus Elaphus). Mol. Ecol. 2008, 17, 981–996. [Google Scholar] [CrossRef] [PubMed]
- Miller, A.M.; McArthur, C.; Smethurst, P.J. Characteristics of Tree Seedlings and Neighbouring Vegetation Have an Additive Influence on Browsing by Generalist Herbivores. For. Ecol. Manag. 2006, 228, 197–205. [Google Scholar] [CrossRef]
- Korner-Nievergelt, F.; Roth, T.; von Felten, S.; Guelat, J.; Almasi, B.; Korner-Nievergelt, P. Bayesian Data Analysis in Ecology Using Linear Models with R, BUGS and Stan, 1st ed.; Elsevier: Amsterdam, The Netherlands, 2015; ISBN 978-0-12-801370-0. [Google Scholar]
- Gelman, A.; Su, Y.-S. Arm: Data Analysis Using Regression and Multilevel/Hierarchical Models. R Package. 2021. Available online: https://CRAN.R-project.org/package=arm (accessed on 11 January 2022).
- Amrhein, V.; Greenland, S. Discuss Practical Importance of Results Based on Interval Estimates and p-Value Functions, Not Only on Point Estimates and Null p-Values. J. Inf. Technol. 2022, 37, 316–320. [Google Scholar] [CrossRef]
- Weppler, T.; Suter, W. Forest regeneration at high densities of wild ungulates in Val Trupchun (Swiss National Park) between 1991/1992 and 2003. Natl.-Park-Forsch. Schweiz 2006, 93, 213–235. [Google Scholar]
- Brüllhardt, M.; Risch, A.C.; Filli, F.; Haller, R.M.; Schütz, M. Spatiotemporal Dynamics of Natural Tree Regeneration in Unmanaged Subalpine Conifer Forests with High Wild Ungulate Densities. Can. J. For. Res. 2015, 45, 607–614. [Google Scholar] [CrossRef]
- Camenisch, M.; Schütz, M. Temporal and Spatial Variability of the Vegetation in a Four-Year Exclosure Experiment in Val Trupchun (Swiss National Park). In Succession Research in the Swiss National Park; Schütz, M., Krüsi, B.O., Edwards, P.J., Eds.; Swiss National Park: Zernez, Switzerland, 2000; Volume 89, pp. 165–188. [Google Scholar]
- Kienast, F.; Fritschi, J.; Bissegger, M.; Abderhalden, W. Modeling Successional Patterns of High-Elevation Forests under Changing Herbivore Pressure—Responses at the Landscape Level. For. Ecol. Manag. 1999, 120, 35–46. [Google Scholar] [CrossRef]
- Holtmeier, F.-K. European Larch in Middle Europe with Special Reference to the Central Alps. In Ecology and Management of Larix Forests: A Look Ahead; USDA Forest Service: Ogden, UT, USA, 1995; pp. 41–49. [Google Scholar]
- Meyer, D.L.; Filli, F. Sommer- und Wintereinstandsgebiete von weiblichen Rothirschen Cervus elaphus im Schweizerischen Nationalpark. Natl. Park-Forsch. Schweiz 2006, 93, 79–103. [Google Scholar]
- Rempfler, T. Where Do Red Deer Come from and Where Do They Go? In Proceedings of the 6th Symposium for Research in Protected Areas, Salzburg, Austria, 2–3 November 2017; Salzburger Nationalparkfonds: Mittersill, Austria, 2018; pp. 529–530. [Google Scholar]
- Häsler, H.; Senn, J. Ungulate Browsing on European Silver Fir Abies Alba: The Role of Occasions, Food Shortage and Diet Preferences. Wildl. Biol. 2012, 18, 67–74. [Google Scholar] [CrossRef]
- Amt Für Jagd Und Fischerei Graubünden. Available online: https://www.gr.ch/DE/institutionen/verwaltung/diem/ajf/grossraubtiere/Documents/Jahresbericht%20Wolf%20GR%202020.pdf (accessed on 6 March 2023).








| Year | Total Number of Plots Sampled | Consecutive Plots 1 from All Previous Years | ||||
|---|---|---|---|---|---|---|
| Plots on Northeast-Exposed Slope | Plots on Southwest-Exposed Slope | Total | Plots on Northeast-Exposed Slope | Plots on Southwest-Exposed Slope | Total | |
| 1991 | 153 | 74 | 227 | 153 | 74 | 227 |
| 2003 | 122 | 83 | 205 | 120 | 67 | 187 |
| 2011 | 120 | 87 | 207 | 111 | 66 | 177 |
| 2021 | 123 | 79 | 202 | 108 | 60 | 168 |
| Developmental Stages | |
|---|---|
| Saplings | Height |
| 1 | Germ bud |
| 2 | −9.99 cm |
| 3 | 10–39.99 cm |
| 4 | 40–69.99 cm |
| 5 | 70–99.99 cm |
| 6 | 100–129.99 cm |
| Young trees (>130 cm height) | Breast-height diameter |
| 7 | −7.99 cm |
| 8 | 8–15.99 cm |
| 9 | 16–24 cm |
| Developmental Stages | ||
| Standardized Method | 1991 | Dealing with difference |
| See Table 2 | Developmental stages 5 and 6 were combined into one developmental stage | Visualization of a developmental stage 5.5 that includes the number of trees from developmental stages 5 and 6 |
| Count data of young trees | ||
| Standardized Method | 1991 | Dealing with difference |
| Young trees and their trunk damage were assessed within an 8 m radius | Young trees and their trunk damage were assessed within a 4 m radius | Exclusion of the data on young trees and trunk damage collected in 1991 |
| Slope correction | ||
| Standardized Method | 1991 | Dealing with difference |
| Adaption of the radius to the slope to obtain a consistent horizontal radius of 4 m or 8 m | No slope correction | Extrapolation of the counted number of trees to the radius that is slope-corrected |
| Predictor | Data Type | Unit | Transformation |
|---|---|---|---|
| Tree species | Factor | - | |
| Developmental stage | Ordered factor | - | |
| Topography | |||
| Elevation | Numeric | m a.s.l. | Centered and scaled |
| Eastness | Numeric | Centered and scaled | |
| Northness | Numeric | Centered and scaled | |
| Slope | Numeric | % | Centered and scaled |
| Location factors for 4 m sampling plot | |||
| Total number of saplings | Numeric | log-transformed, centered and scaled | |
| Average developmental stage | Numeric | Centered and scaled | |
| Shannon index | Numeric | Centered and scaled | |
| Distance to next hiking trail | Numeric | m | log-transformed, centered and scaled |
| Distance to next meadow | Numeric | m | log(+1)-transformed, centered and scaled |
| Fixed Effects | |||
| 95% Compatibility Interval | |||
| Explanatory Variable | Mean | 2.5% Quantile | 97.5% Quantile |
| Intercept (developmental stage 2 of cembra pine) | −5.13 | −5.86 | −4.44 |
| Spruce | 1.53 | 0.93 | 2.15 |
| Larch | 2.15 | 1.82 | 2.50 |
| Developmental stage 3 | 1.19 | 0.69 | 1.66 |
| Developmental stage 4 | 0.87 | 0.35 | 1.42 |
| Developmental stage 5 | 1.02 | 0.46 | 1.59 |
| Developmental stage 6 | 0.41 | −0.22 | 1.049 |
| log(Number of saplings).z [0.98] | −0.074 | −0.23 | 0.077 |
| Shannon index.z [0.31] | −0.17 | −0.34 | 0.0045 |
| Average developmental stage.z [0.86] | −0.074 | −0.25 | 0.091 |
| Elevation.z [91 m] | 0.51 | 0.21 | 0.80 |
| Slope.z [14.6%] | −0.10 | −0.28 | 0.085 |
| log(Dist. to next hiking trail).z [1.1 ln(meter)] | 0.16 | −0.11 | 0.44 |
| log(Dist. to next meadow + 1).z [1.6 ln(meter)] | −0.064 | −0.25 | 0.12 |
| Eastness.z [0.48] | 0.24 | 0.075 | 0.40 |
| Northness.z [0.57] | −0.34 | −0.54 | −0.14 |
| Random Effects | |||
| Variables | Groups | Variance | Standard Deviation |
| Plot ID | 197 | 0.44 | 0.67 |
| Year | 4 | 0.18 | 0.42 |
Disclaimer/Publisher’s Note: The statements, opinions and data contained in all publications are solely those of the individual author(s) and contributor(s) and not of MDPI and/or the editor(s). MDPI and/or the editor(s) disclaim responsibility for any injury to people or property resulting from any ideas, methods, instructions or products referred to in the content. |
© 2023 by the authors. Licensee MDPI, Basel, Switzerland. This article is an open access article distributed under the terms and conditions of the Creative Commons Attribution (CC BY) license (https://creativecommons.org/licenses/by/4.0/).
Share and Cite
Fluri, J.; Anderwald, P.; Korner-Nievergelt, F.; Wipf, S.; Amrhein, V. The Influence of Wild Ungulates on Forest Regeneration in an Alpine National Park. Forests 2023, 14, 1272. https://doi.org/10.3390/f14061272
Fluri J, Anderwald P, Korner-Nievergelt F, Wipf S, Amrhein V. The Influence of Wild Ungulates on Forest Regeneration in an Alpine National Park. Forests. 2023; 14(6):1272. https://doi.org/10.3390/f14061272
Chicago/Turabian StyleFluri, Jeannine, Pia Anderwald, Fränzi Korner-Nievergelt, Sonja Wipf, and Valentin Amrhein. 2023. "The Influence of Wild Ungulates on Forest Regeneration in an Alpine National Park" Forests 14, no. 6: 1272. https://doi.org/10.3390/f14061272
APA StyleFluri, J., Anderwald, P., Korner-Nievergelt, F., Wipf, S., & Amrhein, V. (2023). The Influence of Wild Ungulates on Forest Regeneration in an Alpine National Park. Forests, 14(6), 1272. https://doi.org/10.3390/f14061272

