Abstract
The interest to assess the relationship between forest gap characteristics and topography features has been growing in the last decades. However, such an approach has not been studied in undisturbed mixed sessile oak–beech old-growth forests. Therefore, the present study carried out in one of the best-preserved sessile oak–beech old-growth forests in Europe, aims to assess the influence of topographic features (slope, altitude and aspect) on (i) some characteristics of canopies and expanded gaps (surface, diameter and perimeter) and (ii) the proportion of beech and sessile oak as bordering trees, gap fillers and gap makers. Through a complete gap survey on an area of 32 ha, 321 gaps were identified and mapped. The largest gaps and also the highest gap frequency (140) was found in the slope class (15.1–20°), while the gap frequency increased with altitude, with 99 gaps being recorded at 601–650 m a.s.l. The size and perimeter of the canopy and expanded gaps, as well as the number of gap makers, were negatively related to the slope and altitude. The expanded gap to canopy gap size ratio decreased with the slope and was positively related to the altitude, while a significant negative decrease in gap filler density with altitude was encountered. The sessile oak participation ratio as bordering trees forming the gap increased not only with the altitude but also with the slope. The topography plays an important role in the formation of gaps as well as in the characteristics of the future stand. This study provides valuable insights into the relationship between canopy gap characteristics and topography, which is useful information for forest owners that pursue the design of forest management toward nature-based solutions.
1. Introduction
Old-growth forests represent ecosystems where human interventions are missing or slight [1]. Even if old-growth forests cover only 3% of total European forests, these are rich in biodiversity, thereby contributing to climate change mitigation and delivering fundamental ecosystem services [1]. However, forest characteristics change over time, and these changes are foreseeable only a few years after they occur or when old-growth forests are replaced by secondary forests [2,3].
Scarce old-growth forests composed of mixed beech (Fagus sylvatica L.) and sessile oak (Quercus petraea (MATT.) Liebl.)—two very important European species from an ecological and economic point of view—are of special interest to explore the main processes occurring naturally in such forest ecosystems. Investigating the changes in forest characteristics provides valuable information on forest behavior under different stress factors [4,5,6]. Topographic elements such as altitude, aspect and slope influence the availability of soil moisture, nutrients and daily insolation, which are determining factors for species suitability and composition [7]. Moreover, under a changing climate, those effects can be magnified [8,9] and can trigger modifications in the forest structure [10,11]. The topographic features that represent key drivers in defining forest structure and regeneration are still poorly understood [4,10,12]. Knowing the manner in which topography influences forest structure, composition and regeneration is essential to design sustainable management strategies focused on maximizing forest resilience [9].
These patterns can be identified within the development stages of old-growth forests characterized by a natural dynamic [13,14]. A key role in enhancing forest sustainability is played by silvicultural treatments [15], particularly those that imply the creation of canopy gaps [16,17,18]. With a major objective concerning preserving the naturalness in uneven-aged structures, the “close-to-nature” silvicultural practice represents a widely used approach that has lately gained increased interest due to its strong nature conservation concept [17,19,20,21,22]. The management of forests in a natural way underpins an improved understanding beyond other factors, patterns and processes, which happen naturally in forests [23], such as the effect of topography on gap characteristics. Investigating this aspect is important for a better understanding of the gap dynamics [24].
Some topographic features, such as altitude, wind exposure, slope, aspect and soil conditions, characterize the site of the gap [25,26]. Numerous soil properties (e.g., moisture conditions, nutrient amounts, soil temperature, etc.) are controlled by topographic features such as slope, aspect and altitude [27,28,29,30] and influence not only stand richness and diversity but also the gap characteristics [28,30]. In areas with steep slopes, the long axes of gaps are mostly oriented downslope, thus, influencing the size of the gaps [25,31]. Additionally, gap densities are related to slope and altitude, being more numerous at high altitudes and on steep slopes [32].
Tree species composition and productivity are controlled by the spatial and temporal distribution of climatic factors such as radiation, precipitation and temperature [26,33,34,35]. One of the major factors influencing species composition is light, with different regimes in accordance with gap size, canopy height and aspect [36,37,38]. Topographic factors exhibit a straightforward influence on forest dynamics, particularly in mountainous regions [39,40,41].
Forest canopy gaps are known as small openings created by natural and artificial disturbances, which damage tree species, thereby causing their death or injury [42,43]. Nevertheless, tree death does not always lead to gap formation, with their occurrence also being controlled by the sub-canopy structure [24]. However, canopy gaps are extremely important for the regeneration and growth process, especially for shade-intolerant species [12,19,21,37,44]. Canopy gaps also control light conditions, nutrient availability, soil moisture and biological properties, thus, influencing forest ecology, diversity and dynamics by creating suitable conditions for tree species development [30,37,45,46]. Tree species composition is influenced by the environment inside the gap and by the gap size [47,48]. While large gaps favor the installation of shade-intolerant or intermediate species, small gaps are more favorable for the establishment of shade-tolerant species [48]. Gap size distribution should be considered, particularly in natural regeneration or in mixed-species forests where stands dominated by a single tree species over large areas may hamper biodiversity [47]. Gap dynamics are controlled especially by small gaps, which close faster than large ones, and this contributes to forest management development when the stand canopy turnover rates are evaluated [49,50]. In this sense, forest managers should pay attention to species associations when designing a silvicultural system that emulates natural patterns [48].
For this reason, lately, interest in canopy gaps has increased in sustainable forest management practices [51]. Hence, it is important to have a better understanding of natural disturbance regimes and gap dynamics [16,37,48]. There is a wide range of causes that create gaps, such as wind damage, snow break, trees snapped by wind, tree mortality due to old age, large branches breaking, wildfires, landslides, tree fall and uprooting. Among these, the most common are uprooting, standing dead and snapping [19,32,45,52].
Europe’s forests were substantially exploited in the past, and only a few old-growth forests still exist [53]. Most of these forests (90%) are located in countries from Northern to South-eastern Europe [1,54,55]. These ecosystems are dominated by European beech trees (Fagus sylvatica L.) and a mixture of other tree species, such as Abies alba Miller and Picea abies (L.) Karst [45]. Unfortunately, in broadleaved forests, particularly in the central part of Europe, the European beech and the sessile oak prevail (Quercus petraea (Matt.) Liebl.) [56] but were very exploited in the past [57]. Many studies carried out in Europe have focused on the structural characteristics of the stands, such as the size of the canopy gap distribution [48,58,59,60,61,62,63], and only a few have focused on the relationship between gap characteristics and topography [9,26,64]. However, numerous studies regarding canopy gaps have focused on gaps formed near ground-level [25,26,44,60,65,66]. These kinds of gaps are important for forest regeneration and the sapling growth of light-demanding species [44,49]. It is difficult to measure the gaps formed higher up in the canopy, but these gaps are important for the higher growth of larger trees [26,44,67].
Romania is the country with the largest extent of primary and virgin forests in the European Union [54,55,68]. These ecosystems have minimal human influence and provide favorable circumstances to explore natural disturbance regimes [19]. Having the highest naturalness levels is important to understand the influence of topographic features on stand development, composition, growth rates, age structure and regeneration within these types of ecosystems. Therefore, in this study, we pursue the investigation of the influence of topographic features on gap characteristics in one of the best-preserved old-growth mixed beech–sessile oak forests of Europe. Our assessment focuses on testing the influence of topographic features (slope, altitude and aspect) on (i) some characteristics of the canopy and expanded gaps (e.g., surface, diameter and perimeter) and (ii) on the proportion of beech and sessile oak as bordering trees, gap fillers and gap makers.
2. Materials and Methods
2.1. Study Site
The study site was located in Arad County, the western part of Romania. The Runcu-Grosi Natural Reserve situated in the Zarand Mountains is framed by 46°11′ northern latitude and 22°07′ eastern longitude [19]. The total area of the reserve is 262.6 ha. The altitude of the study site ranges between 334 and 686 m above sea level, while the slopes vary from 1 to 34 degrees (Figure 1).
Figure 1.
Location of Runcu-Grosi Natural Reserve. (a) Studied area with the canopy gaps mapped terrestrially. (b) (Sources of left panels: Esri, DigitalGlobe, GeoEye, i-cubed, USDA FSA, USGS, AEX, Getmapping, Aerogrid, IGN, IGP, swisstopo and the GIS User Community).
The climate is temperate continental with a slight Mediterranean influence. Mean annual temperature varies between 7.6 °C and 9.4 °C. Mean annual precipitation is estimated at 750 and 925 mm/year, 60% of which falls during the growing season according to records from the Monorostia hydrometric station (150 m above sea level), which is the nearest to the study site location.
Soils are well drained and with good nutrient supply and predominantly belong to Cambisols and Luvisol. The forest canopy is dominated by Fagus sylvatica and Quercus petraea, but there are also some other species present, such as Carpinus betulus, Quercus frainetto, Quercus cerris, Acer pseudoplatanus, Prunus avium, Ulmus glabra, Tillia cordata and Sorbus torminalis [69].
The Runcu-Grosi Natural Reserve exhibits some important features. First of all, it represents one of the best-preserved natural beech–sessile oak forests at the European level [69]. Second, it is a remnant of ancient natural forests on the territory of our country [70]. Third, it is included entirely in the ROSCI0070 Drocea site and hosts three types of forest habitats of community interest: Asperulo–Fagetum beech forests, Galio–Carpinetum oak–hornbeam forests and Dacian oak and hornbeam forests [19,71]. Fourth, it has meaningful practical importance due to having the highest taxonomic and genetic heterogeneity as a result of its association with plants with bio-historical value [19]. Finally, it represents a unique old-growth oak mixed forest in Europe that hosts trees of impressive size and quality [19,69].
2.2. Field Measurements
All canopy and expanded gaps were assessed in the best-preserved part of the Nature Reserve on 32.3 ha of forest, using the Field Map Data Collector [72]. We considered the canopy gap an opening in the stand with an area exceeding 10 m2 characterized by the death of one or a group of trees with remnants of the gap maker still detectable [19]. The canopy gaps were defined as the area confined by the vertical projection of the crowns of the bordering trees, and the expanded gaps were defined as the area delimited by the position of their trunks [25]. The mapping of each gap was measured as the radii from the approximate gap center to the edge of the tree crowns and to the trunks of the trees bordering the gap [19], which were identified as species. A total number of 321 gaps were identified and mapped over the entire studied area of 32.3 ha, and the bordering trees, which formed the expanded gap and the gap makers, were identified as species. In 70 gaps (all expanded gaps greater than 800 m2 and a random sample of gaps with an area lower than this threshold), all the gap fillers (all trees >7 cm diameter at breast height (DBH) and <20 m height) and gap saplings (taller than 1.3 m and smaller than 7 cm in DBH) were recorded as species (for more details, see [19]).
Canopy gaps and expanded gaps were collected in Field Map [73] in the vectorial format and were exported in ArcGIS for further processing using ArcGIS tools. The Digital Terrain Model with 1 m2 pixel resolution was also integrated into the ArcGIS spatial database. Querying the database allowed us to determine the canopy gap characteristics (e.g., surface, diameter and perimeter) and their topographic features (e.g., slope, altitude, aspect, etc.). The database was explored to also calculate the frequency of the gaps, species proportion, gap fillers, gap saplings and expanded gaps at different classes of slope and altitude. The slope classes that we considered through dividing the slope in 5-degree steps were 0–5°, 5.1–10°, 10.1–15°, 15.1–20° and >21°. The altitude classes that resulted by framing the altitude in 50 m steps were 451–500 m, 501–550 m, 551–600 m, 601–650 m and 651–700 m. The aspect categories used in the analysis were N, E, NW, NE, S, SE, SW and W.
2.3. Data Analysis
All analyses were performed using the data obtained from all sampled canopy gaps (n = 321). The data regarding slope, altitude and aspect were extracted from the DTM based on the tools provided by ArcGIS. A discriminant analysis (DA) was carried out in PAST 4.11 (Natural History Museum, University of Oslo, Norway) in order to evaluate the grouping accuracy of the gaps regarding the altitude and slope. The testing of differences among the aspect categories for gap characteristics was performed by applying Mann–Whitney U-test (assumptions of ANOVA were not validated). To test the relation between topographic features (slope and altitude) and gap characteristics (size, perimeter, tree species proportion of bordering gap trees, gap fillers, gap saplings and the number of gap makers), multiple regression was performed using STATISTICA 13.5.0.17.
3. Results
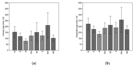
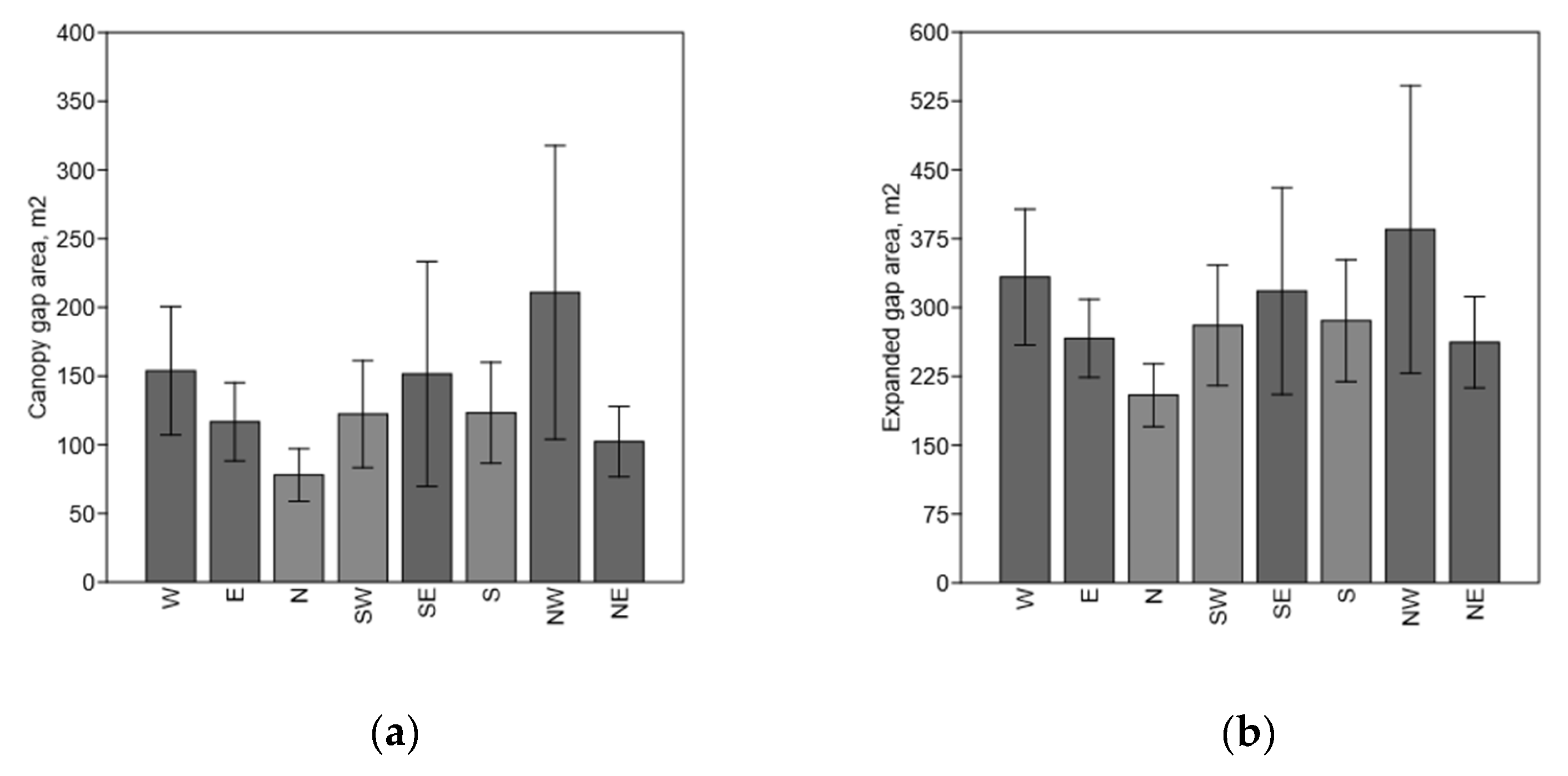
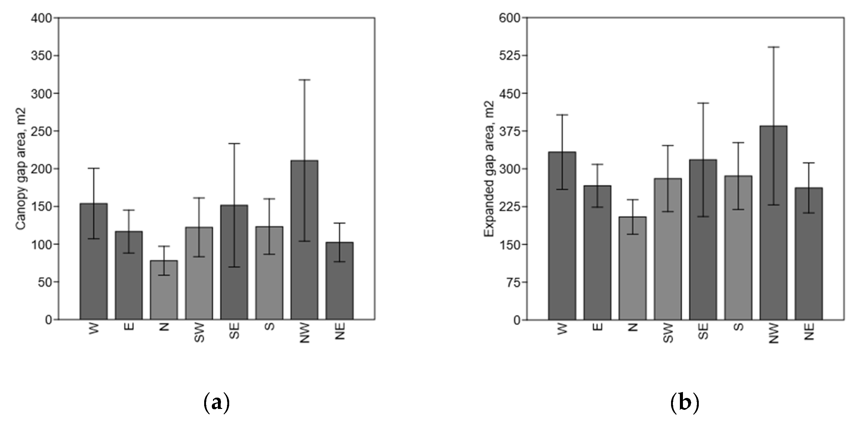
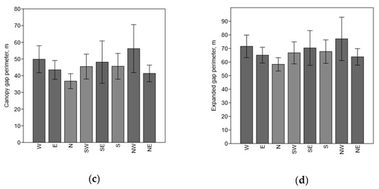
The first tested topographic feature was the aspect of the terrain. No significant differences in all investigated gap characteristics among the aspect categories were detected. In Figure 2, several examples are shown (canopy gap area, expanded gap area, canopy gap perimeter and expanded gap perimeter). We focused, in particular, on the difference in testing between southern and northern exposures, and on southern exposures, better regeneration and the growing of sessile oak trees were expected compared to the northern slopes, where beech gap saplings and gap fillers could be at an advantage.

Figure 2.
Canopy gap area (a), expanded gap area (b), canopy gap perimeter (c) and expanded gap perimeter (d) on aspect categories.
The highest frequency of gaps (140) was detected at slopes between 15.1 and 20°, where gaps with the largest surface were found. More than 50% of gaps were identified on slopes greater than 15.1° and only 7% on slopes between 0 and 5° (Figure 3b). More than 90% of canopy gaps were encountered on slopes that exceeded 10.1°.

Figure 3.
Canopy gap distribution on slope and altitude is shown as (a) the spatial distribution of gaps in slope classes, (b) the distribution of canopy gap numbers in slope classes, (c) the spatial distribution of gaps in altitude classes and (d) the distribution of canopy gap numbers in altitude classes.
We noticed that gap frequency increased with altitude (Figure 3d). Therefore, the highest gap frequencies of 25% and 30% were identified on slopes between 10.1 and 20°, respectively. At altitudes between 601 and 650 m, 99 gaps were encountered, while at altitudes between 450 and 500 m, only 18 gaps were found. The largest gap detected was 1387 m2 in size (at 578 m), while the smallest had a minimum size of 11 m2 (at 471 m). The high gap fraction value of 25% was recorded at 551–600 m altitude, followed by 601–650 m with a value of 20%.
The first discriminant axis explained 94.96% of the total variance in the centroids, while the second axis explained 4.13% (Figure 4). On the first axis, the highest contributor is the altitude factor, but the expanded gap size to canopy gap size ratio contributes at a similar level to the DA1 axis. However, the expanded gap size and perimeter and the canopy gap size and perimeter are stronger contributors to the DA2, on which the slope variable is the most associated important topographic factor. As expected, the number of saplings is positively correlated with the DA2 (the axis of gap dimensions), and the number of gap fillers is negatively correlated with the altitude and slope interaction.
Figure 4.
Discriminant analysis (DA) contributions biplot of gaps.
A total of 94% gaps were correctly classified initially using the five altitude classes (Table 1).
Table 1.
Confusion matrix associated with the performed discriminant analysis.
The gap characteristics, such as size, perimeter, the proportion of species and the number of gap makers were appraised in previous research [19]. Herein, we tested the influence of topographic features (slope and altitude) on some characteristics of sampled gaps (surface and perimeter) and on the proportion of sessile oaks as bordering trees, gap fillers, gap saplings and gap makers. As shown in Table 2, we found a significant influence of altitude on almost all analyzed gap characteristics (surface, parameter, the expanded gap to canopy gap ratio and the proportion of sessile oaks as bordering trees (Pb < 0.05)). Additionally, we found that gap characteristics (e.g., expanded gap perimeter, canopy gap perimeter, the proportion of sessile oaks as bordering gap trees and the number of gap fillers) were linked significantly to the slope (Pc < 0.05). However, a nonsignificant influence of slope on expanded gap size and canopy gap surface was detected (Pc > 0.05). Additionally, the expanded gap maker variables were not significantly linked to topographic features. In addition, from the data acquired, we can also see that there was a significant influence, regarding the interaction between slope and altitude, on the number of saplings regenerated within the gaps.
Table 2.
Influence of altitude and slope on gap characteristics. a, b and c represent the model coefficients (gap characteristic ), and pa, pb and pc represent the probability (p-value) for the two-tailed t-test (prob > |t|) used to test the significance of the model coefficients.
Within the research area, the number of gap fillers ranged from 0 to 584 gap fillers/ha, while the average density varied between 233 ha−1 and 1070 ha−1. The main tree species that fill the formed gaps was beech (91% of all gap fillers). The remaining 9% comprised Carpinus betulus, while other species, such as Quercus petraea, Tillia cordata, Prunus avium and Sorbus aucuparia, occupied less than 1% [19]. The expanded gaps were formed by 2475 trees that were subsequently used for estimating the canopy composition. The relationships between the ratio of expanded gap to the canopy gap size and topographic features (slope and altitude) are shown in Figure 5. The expanded gap to canopy gap size ratio decreased with an increase in slope (r = −0.1989, p < 0.05 (Figure 5a) but was positively related to altitude (r = 0.2202, p < 0.05 (Figure 5b).
Figure 5.
Variation in the expanded gap/canopy gap size ratio with slope (a) and altitude (b).
Higher values in the expanded gap to canopy gap size ratio were found on slopes of 10.1–20° and started to decrease on slopes greater than 21°. On one hand, this may be due to the proportion of a certain tree species surrounding the expanded gap [19]. On the other hand, the expanded gap to canopy gap size ratio increased with altitude, starting with altitudes higher than 500 m. A higher value in the expanded gap to canopy gap size ratio means that the trees forming the gap have larger crowns.
4. Discussion
Our study showed the existence of a relationship between terrain morphology and gap frequency. This was demonstrated through a significant field effort of financial and human resources and not by using recent technologies, such as remote sensing, which enable quick, automatic mapping of canopy gaps [74]. Our work suggests that more than 50% of the gaps are encountered on slopes of 15.1–20°, and only 7% of gaps are encountered at slopes between 0 and 5° (Figure 3a,b). This result confirms the findings of other studies [32,75] regarding the higher frequency of gaps on high-slope terrains. On these sloping terrains, the gaps provide the optimum light requirements for species development and, thus, exhibit an important role in the regeneration process of tree species [75]. The frequency distribution of gap sizes, from small gaps to large gaps, is also related to the slope [75]. Hence, we noticed that as the slope increases, the size of the gaps increases (Table 2), unlike the results of [31], which state that gentle slopes host the largest gaps. More than 90% of the canopy gaps were identified on slopes that exceeded 10.1°. These results are in line with the findings of [75,76], thus, confirming that gap size increases with slope. This is due to the fact that with the occurrence of increasing slope and altitude, the soils become shallower, and this aspect increases the instability of trees and their exposure to disturbance factors, such as wind. Wind is recognized as the main factor that triggers disturbance within central European forests [48,77]. Wind exposure favors the death of trees through uprooting and snapping, and therefore, the process of gap formation is triggered [19]. In altitudinal classes (Figure 3c,d), we found that the most frequent gaps are aggregated at 601–650 m altitude, which is consistent with other research [31,78] that considered wind exposure as a trigger factor. This disturbance factor generates an increasing number of canopy gaps and influences their openings, thus, creating larger gaps. The changes in gap disturbance patterns are related to features that act both at coarser (e.g., forest age) and finer scales (e.g., slope) [76]. However, some studies suggest that dissimilarities between the gap disturbance and gap size frequency distribution within a forest may be encountered [79,80,81,82,83]. Concerning the distribution of gap fillers with altitude, we obtained a weak correlation, like the findings of [84], which state that altitude did not influence gap fillers. However, gap closure depends on different drivers, such as the density of seedlings, sapling diameter and the height of gap-filling trees in each layer [45]. Similar to our findings, species of the genus Fagus have been reported as the main species for gap closure in other research [45,46,48,85,86]. This situation is mainly due to the fact that beech is a shade-tolerant tree species, with highly developed and interconnected root systems and advanced growth, which overwhelm other species [51]. Regarding the ratio of the expanded gap to canopy gap size and topography (Figure 5a), we obtained a negative correlation with the slope, mainly because the studied species have a very good root system, are well anchored in the soil and, thus, are highly resilient to wind damage. Our result is in disagreement with the findings of [32], which reported a positive correlation of expanded gap ratio with slope. However, unlike our study, the authors focused on other tree species with shallow root systems that are more exposed to uprooting, which can trigger canopy damage.
Additionally, another important factor is hydrology, which is influenced by terrain aspects [87]. Plateaus and ridges have drier soils, while steeper slopes retain more moisture during dry seasons [88]. Hydrological conditions also influence the gap size distribution [30], with the larger gaps being aggregated in areas exposed to flooding [31]. Additionally, hydrology has been linked to mortality rates, which are lower on moister soils during droughts [89]. Additionally, most of the analyzed characteristics of sampled gaps are directly influenced by the topographic features (e.g., altitude, slope and so on). Topographic differences, which influence and affect the gap size distribution, are expected to trigger changes in the forest structure or composition [26,76]. The configuration of forest structure and dynamics is driven by canopy gaps, which favor abundant natural regeneration and environmental heterogeneity [37,89]. Canopy gaps are important when an orientation toward sustainable and ecological management is desired, as well as for preserving forest biodiversity, enhancing functional diversity [37,46,90] and improving forest adaptability [91]. These initiatives need appropriate management and exploitation practices to ensure maximized species richness [92]. Investigating the relation between canopy gaps and topography will enhance knowledge about forest spatial and structural variations and successional processes at the ecosystem level [93]. Moreover, it provides a basis for forest managers that pursue reproducing models of natural disturbances [93].
The creation of natural gap openings at high altitudes directly exposes seedlings or seeds to disturbance factors. However, natural competition between seedlings and the formation of strong roots are favored [94,95,96]. The relevance of gaps formed near ground level has been shown as important not only for species regeneration but also for the growth of light-demanding species saplings [44,49]. In larger gaps, species competition ability increases because they develop strong root systems that favor better uptake of nutrients from soil and a higher resistance to biotic and abiotic factors [16,97]. In the case of sessile oak, the regeneration process has meaningful importance for forest managers, mainly due to the fact that, very often, this tree species is overwhelmed by beech [19,98]. Species dispersal is not only a key factor for forest succession [46] but also species shade tolerance. Although sessile oak regeneration is installed in small gaps, to grow and compete with more shade-tolerant species such as beech, they need brighter conditions, with gaps greater than at least 300 m2 [99].
The altitude also plays an important role in gap formation. Our study reveals that the frequency of gaps increases with altitude. The highest frequency of gaps (30% and 25%) was identified at altitudes of 601–650 m followed by altitudes between 551 and 600 m, respectively. Those findings are in agreement with the results reported by [32], which obtained higher gap distribution at higher altitudes. We found that on slopes that exceed 21° and 450–500 m altitudes, the gap frequency decreases, while on slopes between 10.1 and 15° and 551–650 m altitudes, the gap frequency increases. This result is in disagreement with the findings of [32], which reported higher gap distribution at steep slopes. However, a converse relationship between the proportions of high canopy gaps (5–10 m height) and topographic features was also found in a previous study [26], which confirms that the proportion of low canopy gaps (≤5 m height) increases as altitude decreases in valleys and on plateaus but decreases on ridges and upper slopes. Additionally, this study also confirms that medium slopes and ridges have a small ratio of low canopy gaps.
Moreover, the topography is an important factor that also controls carbon densities within forests [100], with old-growth forests being the ecosystems that store the greatest amounts of carbon [101,102]. Therefore, further research is necessary to better understand how topographic aspects influence species regeneration within the gaps, mainly because these openings are crucial not only for forest succession but also for carbon storage.
Concerning the limitations of this study, in almost all of the gap characteristics (canopy gap surface, expanded gap area, canopy gap perimeter, expanded gap perimeter, expanded gap size to canopy gap size ratio, gap makers and gap saplings), the multiple regression model with slope and altitude as predictor variables explained around 5% of the dependent variable variation (R2 < 0.05). Only for the proportion of sessile oaks as gap bordering trees and gap fillers, the tested multiple regression model explained more than 10% (R2 = 0.11 for the proportion of sessile oak and 0.21 for gap fillers). Although the reduced proportion of variance explained by the multiple regression model implies the involvement of other variables in the analysis, in the current study, we focused only on the topographic traits used as independent variables (altitude and slope), which can be very easily obtained from the digital terrain model. To prove that topographic features are important in the natural disturbance regime, they have to be analyzed in the broader picture of natural mortality. Considering more factors in the model, we would analyze and prove the importance of topography on a broader scale. Why did the gap trees die? Was it related to storms, beetles, diseases or climate change? We do not have another more accurate variable available at this stage to be included in the analysis. For example, the lack of information related to the dominant wind direction and intensity in this region or how frequently insects attacked in the past and at what intensity makes it very difficult to take them into consideration. From the observations of another study (Petritan et al., 2013) [19], sessile oak—the main gap maker species—died mostly by uprooting, but sometimes while standing (it is difficult to know accurately why these gap trees died—whether by storms, beetles or diseases—and recognize precisely if the uprooting occurred directly, mainly due to a storm event, or if the tree died a long time before uprooting, mainly due to biotic factors, and remained standing dead for several decades).
5. Conclusions
Canopy gaps emulate patterns of natural variability in species and are the driving force of forest continuity, being widely applied within sustainable forest management practices. They contribute to the regeneration process and are fundamental, particularly for light-demanding species or those with a low dispersion of seedlings, such as sessile oak. Due to the meaningful importance of canopy gaps in forest ecology, herein we proposed the assessment of the influence of topographic features on gap characteristics within one of the best-preserved natural sessile oak–beech mixed forests in Europe. Hence, our study reveals that the distribution of gaps is influenced by slope steepness and altitude levels. Additionally, we found that gap characteristics are correlated with topographic features. Regarding gap closure, we noticed that gap filler distribution is independent of the altitude but controlled by species characteristics. Hence, we can conclude that topographic features exhibit meaningful importance for the aspect and proportion of the gaps. Additionally, these openings ensure forest succession and continuity. Concerning gaps’ ability to simulate forest dynamics, this study provides valuable insights about the relationship between canopy gap characteristics and topography to be considered when designing sustainable management practices.
Author Contributions
Conceptualization, N.C.T. and I.C.P.; methodology, N.C.T. and I.C.P.; software, N.C.T.; validation, I.C.P. and A.-M.P.; formal analysis, N.C.T.; investigation, N.C.T., F.L.T. and I.C.P.; resources, N.C.T. and I.C.P.; data curation, N.C.T. and I.C.P.; writing—original draft preparation, M.M. and N.C.T.; writing—review and editing, I.C.P. and A.-M.P.; visualization, N.C.T., I.C.P. and A.-M.P.; supervision, I.C.P. and A.-M.P.; project administration, I.C.P.; funding acquisition, A.-M.P. All authors have read and agreed to the published version of the manuscript.
Funding
This project was financed by the Romanian National Authority for Scientific, project number PN-II-RU-TE-2011-3-0075; by FORCLIMSOC – Management forestier sustenabil adaptat schimbărilor climatice şi provocărilor societale (PN 23090203 and PN23090301) and by CresPerfInst – Increasing the institutional capacity and performance of INCDS ‘Marin Drăcea’ in the activity of RDI, contract no. 34PFE./30.12.2021, financed by the Ministry of Research, Innovation and Digitization through Program 1—Development of the national research development system and Subprogramme 1.2—Institutional performance projects to finance excellence in RDI.
Data Availability Statement
Datasets generated and/or analyzed during the current study are available from the corresponding authors on request.
Acknowledgments
The authors would like to express their gratitude to the editor and anonymous reviewers for their useful advice that helped to substantially improve the manuscript.
Conflicts of Interest
The authors declare no conflict of interest.
References
- Barredo, J.I.; Brailescu, C.; Teller, A.; Sabatini, F.M.; Mauri, A. Mapping and Assessment of Primary and Old-Growth Forests in Europe; Publications Office of the European Union: Luxembourg, 2021; ISBN 9789276342304. [Google Scholar]
- Lin, S.Y.; Shaner, P.J.L.; Lin, T.C. Characteristics of Old-Growth and Secondary Forests in Relation to Age and Typhoon Disturbance. Ecosystems 2018, 21, 1521–1532. [Google Scholar] [CrossRef]
- Albrich, K.; Rammer, W.; Seidl, R. Climate change causes critical transitions and irreversible alterations of mountain forests. Glob. Chang. Biol. 2020, 26, 4013–4027. [Google Scholar] [CrossRef] [PubMed]
- Muñoz Mazón, M.; Klanderud, K.; Finegan, B.; Veintimilla, D.; Bermeo, D.; Murrieta, E.; Delgado, D.; Sheil, D. How forest structure varies with elevation in old growth and secondary forest in Costa Rica. For. Ecol. Manag. 2020, 469, 118191. [Google Scholar] [CrossRef]
- McDowell, N.G.; Allen, C.D.; Anderson-Teixeira, K.; Aukema, B.H.; Bond-Lamberty, B.; Chini, L.; Clark, J.S.; Dietze, M.; Grossiord, C.; Hanbury-Brown, A.; et al. Pervasive shifts in forest dynamics in a changing world. Science (80-) 2020, 368, eaaz9463. [Google Scholar] [CrossRef] [PubMed]
- Chivulescu, S.; García-Duro, J.; Pitar, D.; Ștefan, L.; Badea, O. Past and Future of Temperate Forests State under Climate Change Effects in the Romanian Southern Carpathians. Forests 2021, 12, 885. [Google Scholar] [CrossRef]
- Wang, Z.; Lyu, L.; Liu, W.; Liang, H.; Huang, J.; Zhang, Q. Bin Topographic patterns of forest decline as detected from tree rings and NDVI. Catena 2021, 198, 105011. [Google Scholar] [CrossRef]
- Clark, D.B.; Hurtado, J.; Saatchi, S.S. Tropical Rain Forest Structure, Tree Growth and Dynamics along a 2700-m Elevational Transect in Costa Rica. PLoS ONE 2015, 10, e0122905. [Google Scholar] [CrossRef]
- Jucker, T.; Bongalov, B.; Burslem, D.F.R.P.; Nilus, R.; Dalponte, M.; Lewis, S.L.; Phillips, O.L.; Qie, L.; Coomes, D.A. Topography shapes the structure, composition and function of tropical forest landscapes. Ecol. Lett. 2018, 21, 989–1000. [Google Scholar] [CrossRef]
- Seidl, R.; Thom, D.; Kautz, M.; Martin-Benito, D.; Peltoniemi, M.; Vacchiano, G.; Wild, J.; Ascoli, D.; Petr, M.; Honkaniemi, J.; et al. Forest disturbances under climate change. Nat. Clim. Chang. 2017, 7, 395–402. [Google Scholar] [CrossRef]
- Tudose, N.; Ungurean, C.; Davidescu, Ș.; Cheval, S.; Marin, M. Information Tailored to the Needs of Stakeholders in the Romanian Case Study. Deliverable 4.3. CLISWELN Project. Available online: https://www.hzg.de/ms/clisweln/075105/index.php.en (accessed on 7 December 2021).
- González, M.E.; Donoso, P.J.; Szejner, P. Tree-fall gaps and patterns of tree recruitment and growth in Andean old-growth forests in south-central Chile. Bosque 2015, 36, 383–394. [Google Scholar] [CrossRef]
- Král, K.; Daněk, P.; Janík, D.; Krůček, M.; Vrška, T. How cyclical and predictable are Central European temperate forest dynamics in terms of development phases? J. Veg. Sci. 2018, 29, 84–97. [Google Scholar] [CrossRef]
- Chivulescu, S.; Ciceu, A.; Leca, S.; Apostol, B.; Popescu, O.; Badea, O. Development phases and structural characteristics of the Penteleu-Viforâta virgin forest in the Curvature Carpathians. IForest 2020, 13, 389–395. [Google Scholar] [CrossRef]
- Brzeziecki, B.; Bielak, K.; Bolibok, L.; Drozdowski, S.; Zajączkowski, J.; Żybura, H. Structural and compositional dynamics of strictly protected woodland communities with silvicultural implications, using Białowieża Forest as an example. Ann. For. Sci. 2018, 75, 1–15. [Google Scholar] [CrossRef]
- Kern, C.C.; Burton, J.I.; Raymond, P.; D’Amato, A.W.; Keeton, W.S.; Royo, A.A.; Walters, M.B.; Webster, C.R.; Willis, J.L. Challenges facing gap-based silviculture and possible solutions for mesic northern forests in North America. For. Int. J. For. Res. 2017, 90, 4–17. [Google Scholar] [CrossRef]
- Lu, D.; Wang, G.G.; Yu, L.; Zhang, T.; Zhu, J. Seedling survival within forest gaps: The effects of gap size, within-gap position and forest type on species of contrasting shade-tolerance in Northeast China. For. Int. J. For. Res. 2018, 91, 470–479. [Google Scholar] [CrossRef]
- Mazdi, R.A.; Mataji, A.; Fallah, A. Canopy Gap Dynamics, Disturbances, and Natural Regeneration Patterns in a Beech-Dominated Hyrcanian Old-Growth Forest. Balt. For. 2021, 27, 535. [Google Scholar] [CrossRef]
- Petritan, A.M.; Nuske, R.S.; Petritan, I.C.; Tudose, N.C. Gap disturbance patterns in an old-growth sessile oak (Quercus petraea L.)–European beech (Fagus sylvatica L.) forest remnant in the Carpathian Mountains, Romania. For. Ecol. Manag. 2013, 308, 67–75. [Google Scholar] [CrossRef]
- Schütz, J.-P.; Saniga, M.; Diaci, J.; Vrška, T. Comparing close-to-naturesilviculture with processes in pristine forests: Lessons from Central Europe. Ann. For. Sci. 2016, 73, 911–921. [Google Scholar] [CrossRef]
- Mölder, A.; Meyer, P.; Nagel, R.V. Integrative management to sustain biodiversity and ecological continuity in Central European temperate oak (Quercus robur, Q. petraea) forests: An overview. For. Ecol. Manag. 2019, 437, 324–339. [Google Scholar] [CrossRef]
- Kuuluvainen, T.; Angelstam, P.; Frelich, L.; Jõgiste, K.; Koivula, M.; Kubota, Y.; Lafleur, B.; Macdonald, E. Natural Disturbance-Based Forest Management: Moving Beyond Retention and Continuous-Cover Forestry. Front. For. Glob. Chang. 2021, 4, 629020. [Google Scholar] [CrossRef]
- Manning, D.B. Stand Structure, Gap Dynamics and Regeneration of a Semi-Natural Mixed Beech Forest on Limestone in Central Europe—A Case Study; Sustainable Land Management View Project; Waldbau-Institut: Freiburg im Breisgau, Germany, 2007. [Google Scholar]
- Rabins, G. Canopy Gap Characteristics, Their Size-Distribution and Spatial Pattern in a Mountainous Cool Temperate Forest of Japan. Master’s Thesis, University of Helsinki, Helsinki, Finland, 2019; p. 60. [Google Scholar]
- Runkle, J.R. Guidelines and Salmpe Protocol for Sampling Forest Gaps; Gen. Tech. Rep. PNW-GTR-283; U.S. Department of Agriculture, Forest Service, Pacific Northwest Research Station: Portland, OR, USA, 1992; p. 44. [Google Scholar]
- Gale, N. The Relationship between Canopy Gaps and Topography in a Western Ecuadorian Rain Forest on JSTOR. Biotropica 2000, 32, 653–661. [Google Scholar] [CrossRef]
- Pickett, S.T.A. The Ecology of Natural Disturbance and Patch Dynamics; White, P.S., Ed.; Academic Press: London, UK, 1985; ISBN 0125545215. [Google Scholar]
- de Lima, R.A.F.; de Moura, L.C. Gap disturbance regime and composition in the Atlantic Montane Rain Forest: The influence of topography. Plant Ecol. 2008, 197, 239–253. [Google Scholar] [CrossRef]
- Florinsky, I.V. Influence of Topography on Soil Properties. In Digital Terrain Analysis in Soil Science and Geology; Elsevier: Amsterdam, The Netherlands, 2012; pp. 145–149. [Google Scholar]
- Tang, F.; Quan, W.; Li, C.; Huang, X.; Wu, X.; Yang, Q.; Pan, Y.; Xu, T.; Qian, C.; Gu, Y. Effects of Small Gaps on the Relationship Among Soil Properties, Topography, and Plant Species in Subtropical Rhododendron Secondary Forest, Southwest China. Int. J. Environ. Res. Public Health 2019, 16, 1919. [Google Scholar] [CrossRef] [PubMed]
- Goulamoussène, Y.; Bedeau, C.; Descroix, L.; Linguet, L.; Hérault, B. Environmental control of natural gap size distribution in tropical forests. Biogeosciences 2017, 14, 353–364. [Google Scholar] [CrossRef]
- Zhu, C.; Zhu, J.; Zheng, X.; Lu, D.; Li, X. Comparison of gap formation and distribution pattern induced by wind/snowstorm and flood in a temperate secondary forest ecosystem, Northeast China. Silva Fenn. 2017, 51, 15. [Google Scholar] [CrossRef]
- Stage, A.R.; Salas, C. Interactions of Elevation, Aspect, and Slope in Models of Forest Species Composition and Productivity. For. Sci. 2007, 53, 486–492. [Google Scholar]
- Chen, S.; Wen, Z.; Ma, M.; Wu, S. Disentangling Climatic Factors and Human Activities in Governing the Old and New Forest Productivity. Remote Sens. 2021, 13, 3746. [Google Scholar] [CrossRef]
- Ehbrecht, M.; Seidel, D.; Annighöfer, P.; Kreft, H.; Köhler, M.; Zemp, D.C.; Puettmann, K.; Nilus, R.; Babweteera, F.; Willim, K.; et al. Global patterns and climatic controls of forest structural complexity. Nat. Commun. 2021, 12, 1–12. [Google Scholar] [CrossRef]
- Gendreau-Berthiaume, B.; Kneeshaw, D. Influence of Gap Size and Position within Gaps on Light Levels. Int. J. For. Res. 2009, 2009, 1–8. [Google Scholar] [CrossRef]
- Muscolo, A.; Bagnato, S.; Sidari, M.; Mercurio, R. A review of the roles of forest canopy gaps. J. For. Res. 2014, 25, 725–736. [Google Scholar] [CrossRef]
- Farhadur Rahman, M.; Onoda, Y.; Kitajima, K. Forest canopy height variation in relation to topography and forest types in central Japan with LiDAR. For. Ecol. Manag. 2022, 503, 119792. [Google Scholar] [CrossRef]
- Ohkubo, T.; Tani, M.; Noguchi, H.; Yamakura, T.; Itoh, A.; Kanzaki, M.; Seng, H.L.; Tan, S.; Ashton, P.S.; Ogino, K.; et al. Spatial and topographic patterns of canopy gap formation in a mixed dipterocarp forest in Sarawak, Malaysia. Tropics 2007, 16, 151–163. [Google Scholar] [CrossRef]
- Måren, I.E.; Karki, S.; Prajapati, C.; Yadav, R.K.; Shrestha, B.B. Facing north or south: Does slope aspect impact forest stand characteristics and soil properties in a semiarid trans-Himalayan valley? J. Arid Environ. 2015, 121, 112–123. [Google Scholar] [CrossRef]
- Bałazy, R.; Kamińska, A.; Ciesielski, M.; Socha, J.; Pierzchalski, M. Modeling the Effect of Environmental and Topographic Variables Affecting the Height Increment of Norway Spruce Stands in Mountainous Conditions with the Use of LiDAR Data. Remote Sens. 2019, 11, 2407. [Google Scholar] [CrossRef]
- Schliemann, S.A.; Bockheim, J.G. Methods for studying treefall gaps: A review. For. Ecol. Manag. 2011, 261, 1143–1151. [Google Scholar] [CrossRef]
- Zhu, J.; Lu, D.; Zhang, W. Effects of gaps on regeneration of woody plants: A meta-analysis. J. For. Res. 2014, 25, 501–510. [Google Scholar] [CrossRef]
- Demeter, L.; Bede-Fazekas, Á.; Molnár, Z.; Csicsek, G.; Ortmann-Ajkai, A.; Varga, A.; Molnár, Á.; Horváth, F. The legacy of management approaches and abandonment on old-growth attributes in hardwood floodplain forests in the Pannonian Ecoregion. Eur. J. For. Res. 2020, 139, 595–610. [Google Scholar] [CrossRef]
- Bottero, A.; Garbarino, M.; Dukić, V.; Govedar, Z.; Lingua, E.; Nagel, T.A.; Motta, R. Gap-phase dynamics in the old-growth forest of Lom, Bosnia and Herzegovina. Silva Fenn. 2011, 45, 875–887. [Google Scholar] [CrossRef]
- Valerio, M.; Ib, R. The Role of Canopy Cover Dynamics over a Decade of Changes in the Understory of an Atlantic Beech-Oak Forest. Forests 2021, 12, 938. [Google Scholar] [CrossRef]
- Schall, P.; Gossner, M.M.; Heinrichs, S.; Fischer, M.; Boch, S.; Prati, D.; Jung, K.; Baumgartner, V.; Blaser, S.; Böhm, S.; et al. The impact of even-aged and uneven-aged forest management on regional biodiversity of multiple taxa in European beech forests. J. Appl. Ecol. 2018, 55, 267–278. [Google Scholar] [CrossRef]
- Jaloviar, P.; Sedmáková, D.; Pittner, J.; Danková, L.J.; Kucbel, S.; Sedmák, R.; Saniga, M. Gap Structure and Regeneration in the Mixed Old-Growth Forests of National Nature Reserve. Forests 2020, 11, 81. [Google Scholar] [CrossRef]
- Zhu, C.; Zhu, J.; Wang, G.G.; Zheng, X.; Lu, D.; Gao, T. Dynamics of gaps and large openings in a secondary forest of Northeast China over 50 years. Ann. For. Sci. 2019, 76, 1–10. [Google Scholar] [CrossRef]
- Hunter, M.O.; Keller, M.; Morton, D.; Cook, B.; Lefsky, M.; Ducey, M.; Saleska, S.; De Oliveira, R.C.; Schietti, J.; Zang, R. Structural dynamics of tropical moist forest gaps. PLoS ONE 2015, 10, e0132144. [Google Scholar] [CrossRef] [PubMed]
- Feldmann, E.; Glatthorn, J.; Ammer, C. Regeneration Dynamics Following the Formation of Understory Gaps in a Slovakian Beech Virgin Forest. Forests 2020, 11, 585. [Google Scholar] [CrossRef]
- Zeibig, A.; Diaci, J.; Wagner, S. Gap disturbance patterns of a Fagus sylvatica virgin forest remnant in the mountain vegetation belt of Slovenia Gap disturbance patterns of a Fagus sylvatica virgin forest remnant in the mountain vegetation belt of Slovenia. For. Snow Landsc. Res. 2005, 79, 69–80. [Google Scholar]
- Freer-Smith, P.; Muys, B.; Bozzano, M.; Drössler, L.; Farrelly, N.; Jactel, H.; Korhonen, J.; Minotta, G.; Nijnik, M.; Orazio, C. Plantation Forests in Europe: Challenges and Opportunities. From Science to Policy 9; European Forest Institute: Joensuu, Finland, 2019. [Google Scholar] [CrossRef]
- Veen, P.; Fanta, J.; Raev, I.; Biris, I.-A.; Biris, B.; De Smidt, J.; Maes, B. Virgin forests in Romania and Bulgaria: Results of two national inventory projects and their implications for protection. Biodivers. Conserv. 2010, 19, 1805–1819. [Google Scholar] [CrossRef]
- Spînu, A.P.; Petrițan, I.C.; Mikoláš, M.; Janda, P.; Vostarek, O.; Čada, V.; Svoboda, M. Moderate-to High-Severity Disturbances Shaped the Structure of Primary Picea Abies (L.) Karst. Forest in the Southern Carpathians. Forests 2020, 11, 1315. [Google Scholar] [CrossRef]
- Bolte, A.; Czajkowski, T.; Kompa, T. The north-eastern distribution range of European beech—A review. For. Int. J. For. Res. 2007, 80, 413–429. [Google Scholar] [CrossRef]
- Parviainen, J.; Little, D.; Doyle, M.; O’sullivan, A.; Kettunen, M.; Korhonen, M. Research in Forest Reserves and Natural Forests in European Countries—Country Reports for the COST Action E4: Forest Reserves Research Network; European Forest Institute: Joensuu, Finland, 1999. [Google Scholar]
- Gálhidy, L.; Mihók, B.; Hagyó, A.; Rajkai, K.; Standovár, T. Effects of gap size and associated changes in light and soil moisture on the understorey vegetation of a Hungarian beech forest. Plant Ecol. 2006, 183, 133–145. [Google Scholar] [CrossRef]
- Nagel, T.A.; Svoboda, M. Gap disturbance regime in an old-growth Fagus-Abies forest in the Dinaric Mountains, Bosnia-Herzegovina. Can. J. For. Res. 2008, 38, 2728–2737. [Google Scholar] [CrossRef]
- Garbarino, M.; Mondino, B.; Nagel, T.; Borgogno Mondino, E.; Lingua, E.; Nagel, T.A.; Dukić, V.; Govedar, Z.; Motta, R.; Garbarino, M.; et al. Gap disturbances and regeneration patterns in a Bosnian old-growth forest: A multispectral remote sensing and ground-based approach Gap disturbances and regeneration patterns in a Bosnian old-growth forest: A multispectral remote sensing and ground-based. Herzegovina Ann. For. Sci. 2011, 69, 617–625. [Google Scholar] [CrossRef]
- Zellweger, F.; Braunisch, V.; Morsdorf, F.; Baltensweiler, A.; Abegg, M.; Roth, T.; Bugmann, H.; Bollmann, K. Disentangling the effects of climate, topography, soil and vegetation on stand-scale species richness in temperate forests. For. Ecol. Manag. 2015, 349, 36–44. [Google Scholar] [CrossRef]
- Drössler, L.; Feldmann, E.; Glatthorn, J.; Annighöfer, P.; Kucbel, S.; Tabaku, V.; Drössler, L.; Feldmann, E.; Glatthorn, J.; Annighöfer, P.; et al. What Happens after the Gap?— Size Distributions of Patches with Homogeneously Sized Trees in Natural and Managed Beech Forests in Europe. Open J. For. 2016, 6, 177–190. [Google Scholar] [CrossRef]
- Orman, O.; Dobrowolska, D. Gap dynamics in the Western Carpathian mixed beech old-growth forests affected by spruce bark beetle outbreak. Eur. J. For. Res. 2017, 136, 571–581. [Google Scholar] [CrossRef]
- Kenderes, K.; Aszalós, R.; Ruff, J.; Barton, Z.; Standovár, T. Effects of topography and tree stand characteristics on susceptibility of forests to natural disturbances (ice and wind) in the Börzsöny Mountains (Hungary). Community Ecol. 2007, 8, 209–220. [Google Scholar] [CrossRef]
- Van der Meer, P.; Bongers, F.; Chatrou, L.; Riera, B. Defining canopy gaps in a tropical rain forest: Effects on gap size and turnover time. Acta Oecologica-Int. J. Ecol. 1994, 15, 701–714. [Google Scholar]
- Gutiérrez, Á.G.; Chávez, R.O.; Díaz-Hormazábal, I. Canopy gap structure as an indicator of intact, old-growth temperate rainforests in the valdivian ecoregion. Forests 2021, 12, 1183. [Google Scholar] [CrossRef]
- Fransson, P.; Brännström, Å.; Franklin, O. A tree’s quest for light—Optimal height and diameter growth under a shading canopy. Tree Physiol. 2021, 41, 1–11. [Google Scholar] [CrossRef]
- Sabatini, F.M.; Burrascano, S.; Keeton, W.S.; Levers, C.; Lindner, M.; Pötzschner, F.; Verkerk, P.J.; Bauhus, J.; Buchwald, E.; Chaskovsky, O.; et al. Where are Europe’s last primary forests? Divers. Distrib. 2018, 24, 1426–1439. [Google Scholar] [CrossRef]
- Petritan, A.M.; Biris, I.A.; Merce, O.; Turcu, D.O.; Petritan, I.C. Structure and diversity of a natural temperate sessile oak (Quercus petraea L.)—European Beech (Fagus sylvatica L.) forest. For. Ecol. Manag. 2012, 280, 140–149. [Google Scholar] [CrossRef]
- Merce, O.; Turcu, D.; Cantar, I. The structure of a natural mixed beech—Sessile oak forest in Runcu Grosi Natural Reserve. J. Hortic. For. Biotechnol. 2012, 16, 131–138. [Google Scholar]
- Merce, O.; Turcu, D.O. Natura 2000 forest habitats of the “Runcu-Groși” Nature Reserve. For. Biotechnol. 2016, 20, 140–144. [Google Scholar]
- IFER. Field-Map—Tool Designed for Computer Aided Field Data Collection. Available online: https://www.fieldmap.cz/ (accessed on 11 August 2022).
- IFER. Available online: https://fieldmap.cz/?page=fmsoftware (accessed on 29 November 2022).
- Jucker, T. Deciphering the fingerprint of disturbance on the three-dimensional structure of the world’s forests. New Phytol. 2022, 233, 612–617. [Google Scholar] [CrossRef] [PubMed]
- Bianchini, E.; Garcia, C.C.; Pimenta, J.A.; Torezan, J.M.D. Slope variation and population structure of tree species from different ecological groups in South Brazil. An. Acad. Bras. Cienc. 2010, 82, 643–652. [Google Scholar] [CrossRef] [PubMed]
- Lobo, E.; Dalling, J.W. Effects of topography, soil type and forest age on the frequency and size distribution of canopy gap disturbances in a tropical forest. Biogeosciences 2013, 10, 6769–6781. [Google Scholar] [CrossRef]
- Splechtna, B.E.; Gratzer, G.; Black, B.A. Disturbance History of a European Old-Growth Mixed-Species Forest: A Spatial Dendro. Source J. Veg. Sci. 2005, 16, 511–522. [Google Scholar]
- Negrón-Juárez, R.I.; Chambers, J.Q.; Hurtt, G.C.; Annane, B.; Cocke, S.; Powell, M.; Stott, M.; Goosem, S.; Metcalfe, D.J.; Saatchi, S.S. Remote Sensing Assessment of Forest Disturbance across Complex Mountainous Terrain: The Pattern and Severity of Impacts of Tropical Cyclone Yasi on Australian Rainforests. Remote Sens. 2014, 6, 5633–5649. [Google Scholar] [CrossRef]
- Lertzman, K.P.; Sutherland, G.D.; Inselberg, A.; Saunders, S.C. Canopy gaps and the landscape mosaic in a coastal temperate rain forest. Ecology 1996, 77, 1254–1270. [Google Scholar] [CrossRef]
- Baker, P.J.; Bunyavejchewin, S.; Oliver, C.D.; Ashton, P.S. Disturbance history and historical stand dynamics of a seasonal tropical forest in western Thailand. Ecol. Monogr. 2005, 75, 317–343. [Google Scholar] [CrossRef]
- Fisher, J.I.; Hurtt, G.C.; Thomas, R.Q.; Chambers, J.Q. Clustered disturbances lead to bias in large-scale estimates based on forest sample plots. Ecol. Lett. 2008, 11, 554–563. [Google Scholar] [CrossRef]
- Foster, J.R.; Townsend, P.A.; Zganjar, C.E. Spatial and temporal patterns of gap dominance by low-canopy lianas detected using EO-1 Hyperion and Landsat Thematic Mapper. Remote Sens. Environ. 2008, 112, 2104–2117. [Google Scholar] [CrossRef]
- Chambers, J.Q.; Robertson, A.L.; Carneiro, V.M.C.; Lima, A.J.N.; Smith, M.L.; Plourde, L.C.; Higuchi, N. Hyperspectral remote detection of niche partitioning among canopy trees driven by blowdown gap disturbances in the Central Amazon. Oecologia 2009, 160, 107–117. [Google Scholar] [CrossRef]
- King, S.L.; Antrobus, T.J. Relationships between Gap Makers and Gap Fillers in an Arkansas. J. Veg. Sci. 2005, 16, 471–478. [Google Scholar] [CrossRef]
- Rentch, J.S.; Schuler, T.M.; Nowacki, G.J.; Beane, N.R.; Ford, W.M. Canopy gap dynamics of second-growth red spruce-northern hardwood stands in West Virginia. For. Ecol. Manag. 2010, 260, 1921–1929. [Google Scholar] [CrossRef]
- Amolikondori, A.; Abrari Vajari, K.; Feizian, M. Assessing the effects of forest gaps on beech (Fagus orientalis L.) trees traits in the logged temperate broad-leaf forest. Ecol. Indic. 2021, 127, 107689. [Google Scholar] [CrossRef]
- Cielo-Filho, R.; Gneri, M.A.; Martins, F.R. Position on slope, disturbance, and tree species coexistence in a Seasonal Semideciduous Forest in SE Brazil. Plant Ecol. 2007, 190, 189–203. [Google Scholar] [CrossRef]
- Becker, P.; Rabenold, P.E.; Idol, J.R.; Smith, A.P. Water potential gradients for gaps and slopes in a Panamanian tropical moist forest’s dry season. J. Trop. Ecol. 1988, 4, 173–184. [Google Scholar] [CrossRef]
- Condit, R.; Hubbell, S.P.; Foster, R.B. Mortality rates of 205 neotropical tree and shrub species and the impact of a severe drought. Ecol. Monogr. 1995, 65, 419–439. [Google Scholar] [CrossRef]
- Reis, C.R.; Jackson, T.D.; Gorgens, E.B.; Dalagnol, R.; Jucker, T.; Nunes, M.H.; Ometto, J.P.; Aragão, L.E.O.C.; Rodriguez, L.C.E.; Coomes, D.A. Forest disturbance and growth processes are reflected in the geographical distribution of large canopy gaps across the Brazilian Amazon. J. Ecol. 2022, 110, 1–13. [Google Scholar] [CrossRef]
- Larsen, J.B.; Angelstam, P.; Bauhus, J.; Carvalho, J.F.; Diaci, J.; Dobrowolska, D.; Gazda, A.; Gustafsson, L.; Krumm, F.; Knoke, T.; et al. Closer-to-Nature Forest Management. In From Science to Policy 12; European Forest Institute: Joensuu, Finland, 2022. [Google Scholar] [CrossRef]
- Poudyal, B.H.; Maraseni, T.; Cockfield, G. Impacts of forest management on tree species richness and composition: Assessment of forest management regimes in Tarai landscape Nepal. Appl. Geogr. 2019, 111, 102078. [Google Scholar] [CrossRef]
- Goodbody, T.R.H.; Tompalski, P.; Coops, N.C.; White, J.C.; Wulder, M.A.; Sanelli, M. Uncovering spatial and ecological variability in gap size frequency distributions in the Canadian boreal forest. Sci. Rep. 2020, 10, 1–12. [Google Scholar] [CrossRef]
- Dusan, R.; Stjepan, M.; Igor, A.; Jurij, D. Gap regeneration patterns in relationship to light heterogeneity in two old-growth beech–fir forest reserves in South East Europe. For. Int. J. For. Res. 2007, 80, 431–443. [Google Scholar] [CrossRef]
- Zhu, J.; Jiang, L.; Zhu, D.-H.; Xing, C.; Jin, M.-R.; Liu, J.-F.; He, Z.-S. Forest gaps regulate seed germination rate and radicle growth of an endangered plant species in a subtropical natural forest. Plant Divers. 2021, 44, 445–454. [Google Scholar] [CrossRef]
- Margreiter, V.; Walde, J.; Erschbamer, B. Competition-free gaps are essential for the germination and recruitment of alpine species along an elevation gradient in the European Alps. Alp. Bot. 2021, 131, 135–150. [Google Scholar] [CrossRef]
- Harmer, R.; Robertson, M. Seedling root growth of six broadleaved tree species grown in competition with grass under irrigated nursery conditions. Ann. For. Sci. 2003, 60, 601–608. [Google Scholar] [CrossRef]
- Tinya, F.; Kovács, B.; Aszalós, R.; Tóth, B.; Csépányi, P.; Németh, C.; Ódor, P. Initial regeneration success of tree species after different forestry treatments in a sessile oak-hornbeam forest. For. Ecol. Manag. 2020, 459, 117810. [Google Scholar] [CrossRef]
- Lüpke, V.B. Überschirmungstoleranz von Stiel- und Traubeneichen als Voraussetzung für Verjüngungsverfahren unter Schirm. Mitt. ad Forstl. Vers. Anst. Rheinland-Pfalz. Hrsg. von Forstliche Versuchsanstalt Rheinland-Pfalz 1995, 34/95, 141–160. [Google Scholar]
- Zhang, C.; Deng, Q.; Liu, A.; Liu, C.; Xie, G. Effects of Stand Structure and Topography on Forest Vegetation Carbon Density in Jiangxi Province. Forests 2021, 12, 1483. [Google Scholar] [CrossRef]
- Pugh, T.A.M.; Lindeskog, M.; Smith, B.; Poulter, B.; Arneth, A.; Haverd, V.; Calle, L. Role of forest regrowth in global carbon sink dynamics. Proc. Natl. Acad. Sci. USA 2019, 116, 4382–4387. [Google Scholar] [CrossRef]
- Martin-Benito, D.; Pederson, N.; Férriz, M.; Gea-Izquierdo, G. Old forests and old carbon: A case study on the stand dynamics and longevity of aboveground carbon. Sci. Total Environ. 2021, 765, 142737. [Google Scholar] [CrossRef] [PubMed]
Disclaimer/Publisher’s Note: The statements, opinions and data contained in all publications are solely those of the individual author(s) and contributor(s) and not of MDPI and/or the editor(s). MDPI and/or the editor(s) disclaim responsibility for any injury to people or property resulting from any ideas, methods, instructions or products referred to in the content. |
© 2023 by the authors. Licensee MDPI, Basel, Switzerland. This article is an open access article distributed under the terms and conditions of the Creative Commons Attribution (CC BY) license (https://creativecommons.org/licenses/by/4.0/).






