Battery- and Petrol-Powered Chainsaws: An Investigation of Productivity in Conifer Thinning
Abstract
1. Introduction
2. Materials and Methods
2.1. Study Area
2.2. Description of the Tested Chainsaws
2.3. Time Study
- -
- General preparation: this covered the time spent relocating from the roadside to the stand at the beginning of the workday, tool preparation, and safety checks before the felling and processing operations began;
- -
- Approach and tree study, chainsaw “in use”: this included all site preparation activities with the chainsaws before starting the direction cut (e.g., shrub clearance);
- -
- Approach and tree study, chainsaw “not in use”: this included the forest operators’ walk to the next tree to be cut, the tree evaluation, the felling technique choice, and all site preparation activities with the chainsaw off (e.g., the removal of stones);
- -
- Felling cut, chainsaw “in use”: this was the felling cut execution carried out with the chainsaw on, from the beginning of the direction cut to the point at which the tree started to fall;
- -
- Felling cut, chainsaw “not in use”: this covered all the operations for which the chainsaw was not needed, from the beginning of the direction cut to the point at which the tree started to fall (e.g., the check on falling direction, the insertion of wedges in the cut, etc.);
- -
- Tree falling, chainsaw “in use”: this covered the time needed to use the chainsaw to allow the tree to fall after the completion of the felling cut. Normally this was needed to solve a problem (e.g., the tree being felled got caught in another tree);
- -
- Tree falling, chainsaw “not in use”: this covered the time taken for the tree to fall to the ground after the end of the felling cut;
- -
- Stump cleaning, chainsaw “in use”: this included cuts to make regular the cut surface on both the stump and the bottom of the first log. It ended when the operator started the log measurement;
- -
- Delimbing, chainsaw “in use”: this was the delimbing time with the chainsaw on;
- -
- Delimbing, chainsaw “not in use”: this included all the operations carried out manually with the chainsaw off to remove obstacles along the trunk (e.g., to move branches) or to turn the trunk to complete the delimbing below;
- -
- Cross-cutting, chainsaw “in use”: this related to cross-cutting time with the engine-running;
- -
- Cross-cutting, chainsaw “not in use”: this recorded the time needed to check the measurement of the logs and other time spent without using the chainsaw;
- -
- Refuelling: this covered the period from when the battery or petrol ran out until the chainsaw was ready to continue being used;
- -
- Chain sharpening: this was the time dedicated to sharpening during the work in the forest. If the operator sharpened the chainsaw at the beginning or end of the workday, the relevant time was included in general preparation;
- -
- Rest time: this recorded all pauses, including lunch;
- -
- Problems and drawbacks [26].
2.4. Productivity Calculation
2.5. Statistical Analysis
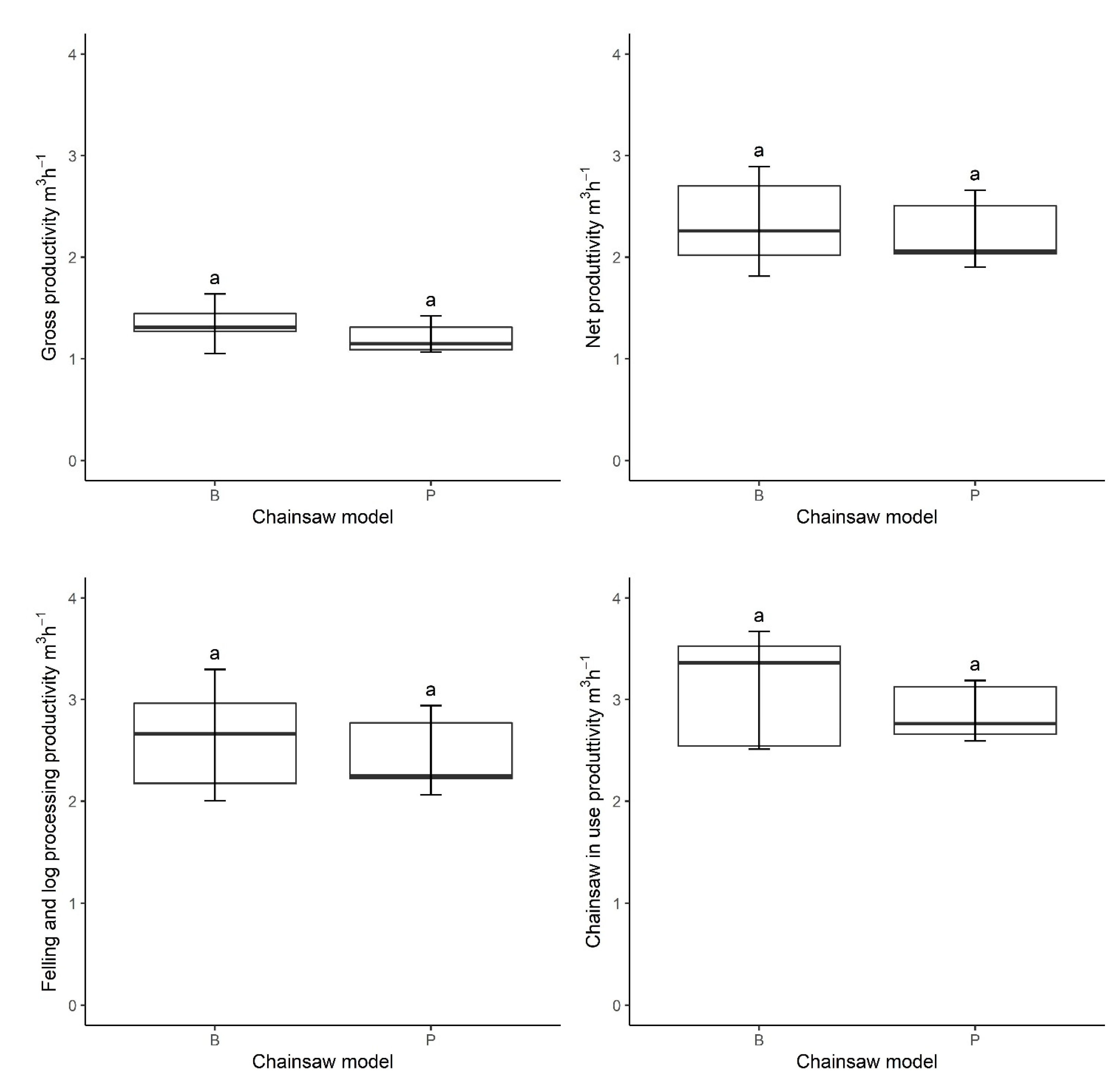
3. Results
4. Discussion
5. Conclusions
Author Contributions
Funding
Data Availability Statement
Acknowledgments
Conflicts of Interest
References
- Albizu-Urionabarrenetxea, P.; Tolosana-Esteban, E.; Roman-Jordan, E. Safety and Health in Forest Harvesting Operations. Diagnosis and Preventive Actions. A Review. For. Syst. 2013, 22, 392–400. [Google Scholar] [CrossRef]
- Picchio, R.; Blasi, S.; Sirna, A. Survey on Mechanization and Safety Evolution in Forest Works in Italy. In Proceedings of the International Conference Ragusa SHWA2010, Ragusa, Italy, 16–18 September 2010; pp. 16–18. [Google Scholar]
- Hoffmann, S.; Jaeger, D. Insights on Motor-Manual Tree Felling in Germany, Recent Developments to Ensure Efficient Operations in Singletree Selection Harvest. Eur. J. For. Eng. 2021, 7, 39–44. [Google Scholar] [CrossRef]
- Liepiņš, K.; Lazdiņš, A.; Liepiņš, J.; Prindulis, U. Productivity and Cost-Effectiveness of Mechanized and Motor-Manual Harvesting of Grey Alder (Alnus incana (L.) Moench): A Case Study in Latvia. Small-Scale For. 2015, 14, 493–506. [Google Scholar] [CrossRef]
- Russell, F.; Mortimer, D. A Review of Small-Scale Harvesting Systems in Use Worldwide and Their Potential Application in Irish Forestry; COFORD: Dublin, Ireland, 2005; pp. 1–56. [Google Scholar]
- Poje, A.; Potočnik, I.; Mihelič, M. Comparison of Electric and Petrol Chainsaws in Terms of Efficiency and Safety When Used in Young Spruce Stands in Small-Scale Private Forests. Small-Scale For. 2018, 17, 411–422. [Google Scholar] [CrossRef]
- Miyata, E.S. Determining Fixed and Operating Costs of Logging Equipment; Department of Agriculture, Forest Service, North Central Forest Experiment Station: St. Paul, MN, USA, 1980.
- Calvo, A.; Manzone, M.; Spinelli, R. Long Term Repair and Maintenance Cost of Some Professional Chainsaws. Croat. J. For. Eng. 2013, 34, 265–272. [Google Scholar]
- Neri, F.; Laschi, A.; Foderi, C.; Fabiano, F.; Bertuzzi, L.; Marchi, E. Determining Noise and Vibration Exposure in Conifer Cross-Cutting Operations by Using Li-Ion Batteries and Electric Chainsaws. Forests 2018, 9, 501. [Google Scholar] [CrossRef]
- Laschi, A.; Marchi, E.; Foderi, C.; Neri, F. Identifying Causes, Dynamics and Consequences of Work Accidents in Forest Operations in an Alpine Context. Saf. Sci. 2016, 89, 28–35. [Google Scholar] [CrossRef]
- Klun, J.; Medved, M. Fatal Accidents in Forestry in Some European Countries. Croat. J. For. Eng. 2007, 28, 55–62. [Google Scholar]
- Cheţa, M.; Marcu, M.V.; Borz, S.A. Workload, Exposure to Noise, and Risk of Musculoskeletal Disorders: A Case Study of Motor-Manual Tree Feeling and Processing in Poplar Clear Cuts. Forests 2018, 9, 300. [Google Scholar] [CrossRef]
- Calvo, A. Musculoskeletal Disorders (MSD) Risks in Forestry: A Case Study to Suggest an Ergonomic Analysis. Agric. Eng. Int. CIGR Ejournal 2009, XI, 1–9. [Google Scholar]
- Neitzel, R.; Yost, M. Task-Based Assessment of Occupational Vibration and Noise Exposures in Forestry Workers. Am. Ind. Hyg. Assoc. J. 2002, 63, 617–627. [Google Scholar] [CrossRef]
- Marchi, E.; Neri, F.; Cambi, M.; Laschi, A.; Foderi, C.; Sciarra, G.; Fabiano, F. Analysis of Dust Exposure during Chainsaw Forest Operations. IForest 2017, 10, 341–347. [Google Scholar] [CrossRef]
- Neri, F.; Foderi, C.; Laschi, A.; Fabiano, F.; Cambi, M.; Sciarra, G.; Aprea, M.C.; Cenni, A.; Marchi, E. Determining Exhaust Fumes Exposure in Chainsaw Operations. Environ. Pollut. 2016, 218, 1162–1169. [Google Scholar] [CrossRef]
- Hawker, A. Comparison of Hand-Arm Vibration Emissions of Battery Powered Tools and Tools of Other Power Sources. In Proceedings of the Conference on Human Responses to Vibration, Edinburgh, UK, 24–26 September 2019; Volume 24, p. 77. [Google Scholar]
- Pandur, Z.; Šušnjar, M.; Bačić, M. Battery Technology—Use in Forestry. Croat. J. For. Eng. 2021, 42, 135–148. [Google Scholar] [CrossRef]
- Spinelli, R.; Nati, C.; Magagnotti, N. Biomass Harvesting from Buffer Strips in Italy: Three Options Compared. Agrofor. Syst. 2006, 68, 113–121. [Google Scholar] [CrossRef]
- Engelbrecht, R.; McEwan, A.; Spinelli, R. A Robust Productivity Model for Grapple Yarding in Fast-Growing Tree Plantations. Forests 2017, 8, 396. [Google Scholar] [CrossRef]
- Hanisch, C.; Loellhoeffel, T.; Diekmann, J.; Markley, K.J.; Haselrieder, W.; Kwade, A. Recycling of Lithium-Ion Batteries: A Novel Method to Separate Coating and Foil of Electrodes. J. Clean. Prod. 2015, 108, 301–311. [Google Scholar] [CrossRef]
- Boubaker, K.; Colantoni, A.; Allegrini, E.; Longo, L.; Di Giacinto, S.; Monarca, D.; Cecchini, M. A Model for Musculoskeletal Disorder-Related Fatigue in Upper Limb Manipulation during Industrial Vegetables Sorting. Int. J. Ind. Ergon. 2014, 44, 601–605. [Google Scholar] [CrossRef]
- Kiehne, H.A. Battery Technology Handbook, 2nd ed.; CRC Press: New York, NY, USA, 2003; Volume 118, ISBN 0203911857. [Google Scholar]
- Tabacchi, G.; Di Cosmo, L.; Gasparini, P.; Morelli, S. Stima del Volume e della Fitomassa delle Principali Specie Forestali Italiane. Equazioni di Previsione, Tavole del Volume e Tavole della Fitomassa Arborea Epigea; Consiglio per la Ricerca e la Sperimentazione in Agricoltura, Unità di Ricerca per Il Monitoraggio e la Pianificazione Forestale: Trento, Italy, 2011; p. 412. (In Italian) [Google Scholar]
- Bergstrand, K.-G. Planning and Analysis of Forestry Operations Studies; Forest Operations Institute: Kista, Sweden, 1991; p. 63. [Google Scholar]
- Bjorheden, R.; Thompson, M.A. An International Nomenclature for Forest Work Study. In Proceedings of the IUFRO 1995 S3: 04 subject area 20th World Congress, Caring for the Forest: Research in a Changing World, Tampere, Finland, 6–12 August 1995; Miscellaneous Report 422. University of Maine: Orono, ME, USA; pp. 190–215. [Google Scholar]
- Olsen, D.E.; Hossain, M.M.; Miller, M.E. Statistical Comparison of Methods Used in Harvesting Work Studies; Oregon State University: Corvallis, OR, USA, 1998; Volume 23, ISBN 9781624170904. [Google Scholar]
- Neri, F.; Laschi, A.; Marchi, E.; Marra, E.; Fabiano, F.; Frassinelli, N.; Foderi, C. Use of Battery-vs. Petrol-Powered Chainsaws in Forestry: Comparing Performances on Cutting Time. Forests 2022, 13, 683. [Google Scholar] [CrossRef]
- Colantoni, A.; Mazzocchi, F.; Cossio, F.; Cecchini, M.; Bedini, R.; Monarca, D. Comparisons between Battery Chainsaws and Internal Combustion Engine Chainsaws: Performance and Safety. Contemp. Eng. Sci. 2016, 9, 1315–1337. [Google Scholar] [CrossRef]
- Kuvik, T.; Krilek, J.; Kováč, J.; Štefánek, M.; Dvořák, J. Impact of the Selected Factors on the Cutting Force When Using a Chainsaw. Wood Res. 2017, 62, 807–814. [Google Scholar]
- Marenče, J.; Mihelič, M.; Poje, A. Influence of Chain Filing, Tree Species and Chain Type on Cross Cutting Efficiency and Health Risk. Forests 2017, 8, 464. [Google Scholar] [CrossRef]
- Grosjean, C.; Miranda, P.H.; Perrin, M.; Poggi, P. Assessment of World Lithium Resources and Consequences of Their Geographic Distribution on the Expected Development of the Electric Vehicle Industry. Renew. Sustain. Energy Rev. 2012, 16, 1735–1744. [Google Scholar] [CrossRef]
- Wu, D.; Ren, J.; Davies, H.; Shang, J.; Haas, O. Intelligent Hydrogen Fuel Cell Range Extender for Battery Electric Vehicles. World Electr. Veh. J. 2019, 10, 29. [Google Scholar] [CrossRef]
- Blomgren, G.E. The Development and Future of Lithium Ion Batteries. J. Electrochem. Soc. 2017, 164, A5019–A5025. [Google Scholar] [CrossRef]
- Blanco, I.; Pascuzzi, S.; Anifantis, A.S.; Scarascia-Mugnozza, G. Study of a Pilot Photovoltaic-Electrolyser-Fuel Cell Power System for a Geothermal Heat Pump Heated Greenhouse and Evaluation of the Electrolyser Efficiency and Operational Mode. J. Agric. Eng. 2014, 45, 111–118. [Google Scholar] [CrossRef]
- Blanco, I.; Anifantis, A.S.; Pascuzzi, S.; Scarascia Mugnozza, G. Hydrogen and Renewable Energy Sources Integrated System for Greenhouse Heating. J. Agric. Eng. 2013, 44, 226–230. [Google Scholar] [CrossRef]


| Stihl MSA 220 C-B “B” | Stihl MS 201 C-M “P” | |
|---|---|---|
| Power | 2.1 kW | 1.8 kW |
| Saw bar length | 35 cm | 35 cm |
| Chain type | Half-chisel | Half-chisel |
| Chain pitch | 3/8′P | 3/8′P |
| Drive link thickness | 1.3 mm | 1.3 mm |
| Number of drive links | 50 | 50 |
| Fuel supply | Electricity (battery) | Mixed (gasoline + oil) |
| Battery/Fuel type | AP300S | Stihl MotoMix |
| Chain speed (m s−1) | 23.3 | 26.0 |
| Total weight * | 5.6 kg | 5.4 kg |
| Working Phase (Chainsaw “in use” or “not in use”) | Productivity | |||
|---|---|---|---|---|
| Gross | Net | Felling/Processing | Chainsaw “in use” | |
| General preparation | ✓ | |||
| Approach and tree study—in use | ✓ | |||
| Approach and tree study—not in use | ✓ | |||
| Felling cut—in use | ✓ | ✓ | ✓ | ✓ |
| Felling cut—not in use | ✓ | ✓ | ✓ | |
| Tree falling—in use | ✓ | ✓ | ✓ | ✓ |
| Tree falling—not in use | ✓ | ✓ | ✓ | |
| Stump cleaning—in use | ✓ | ✓ | ✓ | ✓ |
| Delimbing—in use | ✓ | ✓ | ✓ | ✓ |
| Delimbing—not in use | ✓ | ✓ | ✓ | |
| Cross cutting—in use | ✓ | ✓ | ✓ | ✓ |
| Cross cutting—not in use | ✓ | ✓ | ✓ | |
| Refuelling | ✓ | ✓ | ||
| Chain sharpening | ✓ | |||
| Rest time | ✓ | |||
| Problems and drawbacks | ✓ | |||
| Chainsaw Model | Operator | N. | Minimum | Mean | Significant Difference | Maximum | SD | ||
|---|---|---|---|---|---|---|---|---|---|
| B | 1 | 24 | 21.00 | 26.38 | a | 33.00 | 2.93 | ||
| 2 | 40 | 16.00 | 23.60 | b | 34.00 | 4.06 | |||
| Tot | 64 | 16.00 | 24.64 | a | 34.00 | 3.89 | |||
| P | 1 | 43 | 16.00 | 22.91 | a | 30.00 | 3.66 | ||
| 2 | 24 | 18.00 | 24.25 | a | 32.00 | 4.08 | |||
| Tot | 67 | 16.00 | 23.39 | a | 32.00 | 3.84 | |||
| Working Phase (Chainsaw “in use” or “not in use”) | Work Time % | |||
|---|---|---|---|---|
| Operator 1 | Operator 2 | |||
| B | P | B | P | |
| General preparation | 4.5 | 4.2 | 3.1 | 6.2 |
| Approach and tree study—in use | 0.4 | 0.1 | 0.0 | 0.2 |
| Approach and tree study—not in use | 9.5 | 11.9 | 13.5 | 13.1 |
| Felling cut—in use | 9.3 | 8.9 | 7.5 | 9.0 |
| Felling cut—not in use | 1.3 | 1.3 | 2.6 | 1.9 |
| Tree falling—in use | 0.6 | 0.5 | 0.6 | 2.1 |
| Tree falling—not in use | 6.7 | 3.8 | 5.4 | 8.9 |
| Stump cleaning—in use | 1.6 | 2.2 | 3.0 | 3.6 |
| Delimbing—in use | 22.8 | 24.2 | 23.6 | 17.7 |
| Delimbing—not in use | 0.0 | 0.0 | 0.2 | 0.3 |
| Cross-cutting—in use | 6.9 | 6.8 | 10.2 | 9.0 |
| Cross-cutting—not in use | 0.4 | 0.0 | 0.1 | 0.3 |
| Refuelling | 7.8 | 5.0 | 4.9 | 4.3 |
| Chain sharpening | 0.0 | 1.8 | 0.5 | 1.0 |
| Rest time | 25.0 | 27.2 | 24.3 | 21.7 |
| Problems and drawbacks | 3.3 | 1.9 | 0.5 | 0.8 |
| Chainsaw Model | Operator | Minimum | Mean | Comparison | Maximum | SD | ||
|---|---|---|---|---|---|---|---|---|
| B | 1 | 1.31 | 1.48 | a | 1.64 | 0.23 | ||
| 2 | 1.05 | 1.26 | a | 1.45 | 0.20 | |||
| Tot | 1.05 | 1.34 | a | 1.64 | 1.27 | |||
| P | 1 | 1.07 | 1.27 | a | 1.42 | 0.18 | ||
| 2 | 1.09 | 1.12 | a | 1.15 | 0.04 | |||
| Tot | 1.07 | 1.21 | a | 1.42 | 1.09 | |||
| Productivity (m3h−1) | ||||||||
|---|---|---|---|---|---|---|---|---|
| Gross | Net | Felling/Log Processing | Chainsaw “in use” | |||||
| Chainsaw Model | B | P | B | P | B | P | B | P |
| Mean | 1.34 | 1.21 | 2.34 | 2.23 | 2.62 | 2.44 | 3.12 | 2.86 |
| Min | 1.05 | 1.07 | 1.81 | 1.90 | 2.00 | 2.06 | 2.51 | 2.59 |
| Max | 1.64 | 1.42 | 2.89 | 2.66 | 3.30 | 2.94 | 3.68 | 3.19 |
| SD | 1.27 | 1.09 | 0.45 | 0.33 | 0.54 | 0.38 | 0.55 | 0.27 |
| Productivity Chainsaw “in Use” (m3h−1)—Sub-Sample 54 Trees | ||||||||||||
|---|---|---|---|---|---|---|---|---|---|---|---|---|
| Felling | Delimbing | Cross-Cutting | ||||||||||
| Chainsaw Model | Median | Mean | SD | Median | Mean | SD | Median | Mean | SD | |||
| B | 15.39 | 17.11 | a | 7.03 | 5.16 | 5.21 | a | 1.29 | 13.49 | 14.42 | a | 5.15 |
| P | 15.08 | 15.04 | a | 4.44 | 5.30 | 5.75 | a | 1.90 | 16.92 | 16.76 | a | 7.96 |
Disclaimer/Publisher’s Note: The statements, opinions and data contained in all publications are solely those of the individual author(s) and contributor(s) and not of MDPI and/or the editor(s). MDPI and/or the editor(s) disclaim responsibility for any injury to people or property resulting from any ideas, methods, instructions or products referred to in the content. |
© 2023 by the authors. Licensee MDPI, Basel, Switzerland. This article is an open access article distributed under the terms and conditions of the Creative Commons Attribution (CC BY) license (https://creativecommons.org/licenses/by/4.0/).
Share and Cite
Neri, F.; Laschi, A.; Frassinelli, N.; Fabiano, F.; Foderi, C.; Marchi, E.; Marra, E. Battery- and Petrol-Powered Chainsaws: An Investigation of Productivity in Conifer Thinning. Forests 2023, 14, 183. https://doi.org/10.3390/f14020183
Neri F, Laschi A, Frassinelli N, Fabiano F, Foderi C, Marchi E, Marra E. Battery- and Petrol-Powered Chainsaws: An Investigation of Productivity in Conifer Thinning. Forests. 2023; 14(2):183. https://doi.org/10.3390/f14020183
Chicago/Turabian StyleNeri, Francesco, Andrea Laschi, Niccolò Frassinelli, Fabio Fabiano, Cristiano Foderi, Enrico Marchi, and Elena Marra. 2023. "Battery- and Petrol-Powered Chainsaws: An Investigation of Productivity in Conifer Thinning" Forests 14, no. 2: 183. https://doi.org/10.3390/f14020183
APA StyleNeri, F., Laschi, A., Frassinelli, N., Fabiano, F., Foderi, C., Marchi, E., & Marra, E. (2023). Battery- and Petrol-Powered Chainsaws: An Investigation of Productivity in Conifer Thinning. Forests, 14(2), 183. https://doi.org/10.3390/f14020183

