Developing a Yield Table and Analyzing the Economic Feasibility for Acacia Hybrid Plantations in Achieving Carbon Neutrality in Southern Vietnam
Abstract
:1. Introduction
2. Materials and Methods
2.1. Study Sites
2.2. Measurement of Stand Growth
2.3. Site Index Classification Curves
2.4. Developing Stand Growth Models
2.5. Analyzing the Economic Feasibility
3. Results and Discussion
3.1. Analysis of Site Index
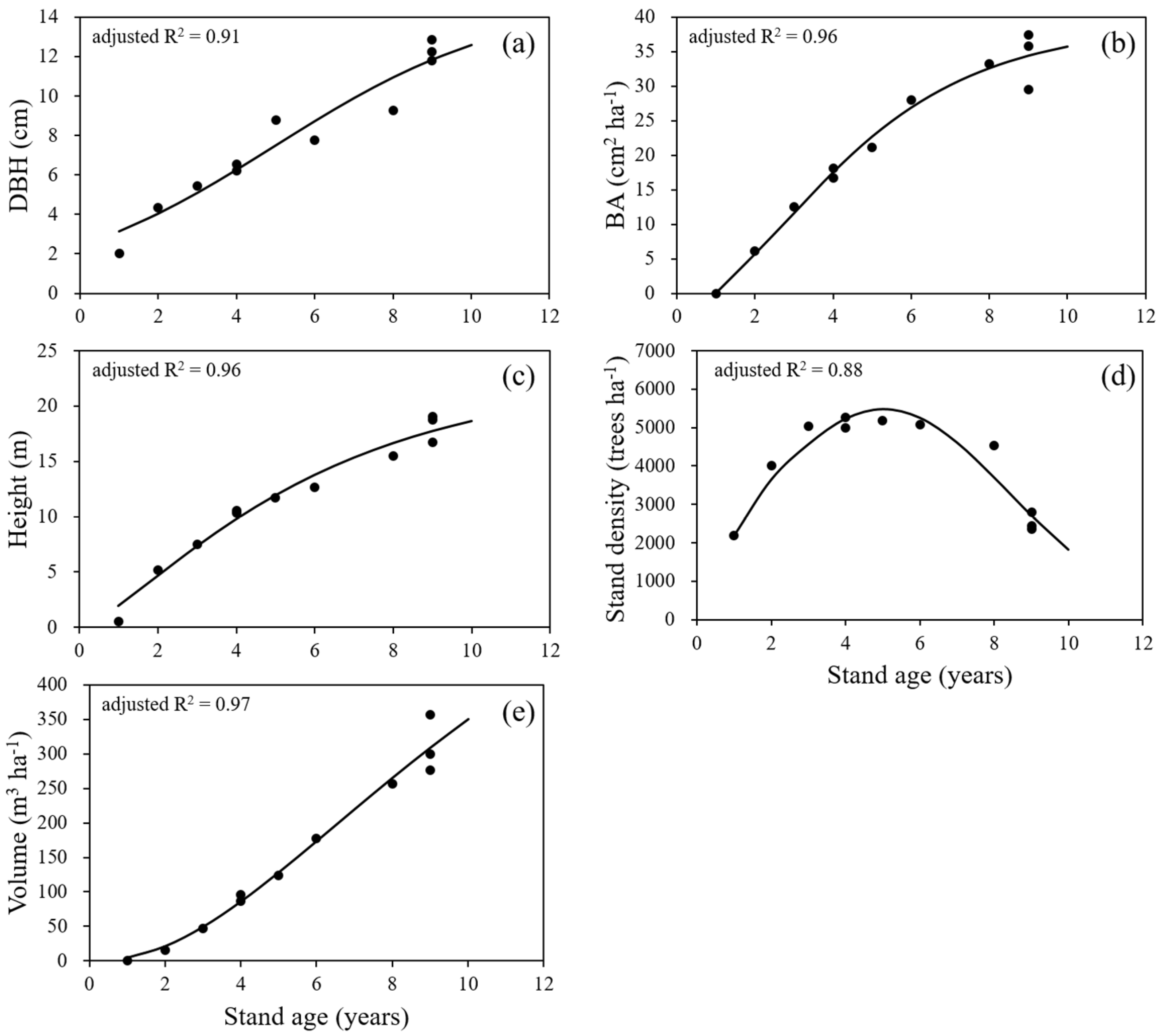
3.2. Developing Stand Growth Models
3.3. Developing a Stand Yield Table for Acacia Hybrid Plantations in Vietnam
3.4. Economic Feasibility of Acacia Hybrid Plantations in Vietnam
4. Conclusions
Author Contributions
Funding
Institutional Review Board Statement
Informed Consent Statement
Data Availability Statement
Conflicts of Interest
References
- Son, Y.M.; Kim, H.; Lee, H.Y.; Kim, C.M.; Kim, C.S.; Kim, J.W.; Joo, R.W.; Lee, K.H. Stand yield table and commercial timber volume of Eucalyptus pellita and Acacia mangium plantations in Indonesia. J. Korean For. Soc. 2010, 99, 9–15, (In Korean with English abstract). [Google Scholar]
- Son, C.H.; Seok, H.D. Feasibility study on afforestation investment in Indonesia. J. Rural Dev. 2002, 25, 65–79. (In Korean) [Google Scholar]
- Yeom, I.H.; Kweon, H.K.; Lee, J.W.; Kim, S.B.; Park, G.S.; Han, M.S. The forestry-related legal system and permission procedure of plantation business in Indonesia. Korean J. Agric. Sci. 2011, 38, 421–427, (In Korean with English abstract). [Google Scholar]
- Kang, J.T.; Son, Y.M. Application of the Stem Table for Major Tree Species in South Korea; NIFoS: Seoul, Korea, 2016. (In Korean) [Google Scholar]
- Lee, S.J.; Ko, C.U.; Yim, J.S.; Kang, J.T. A study on the application of a new stem volume table to estimate forest carbon stock in South Korea. J. Clim. Chang. Res. 2019, 10, 463–471, (In Korean with English abstract). [Google Scholar] [CrossRef]
- Lee, S.J.; Yim, J.S.; Son, Y.M.; Kim, R. Recalculation of forest growing stock for national greenhouse gas inventory. J. Clim. Chang. Res. 2016, 7, 485–492, (In Korean with English abstract). [Google Scholar] [CrossRef]
- Arvola, A.M.; Ha, H.T.; Kanninen, M.; Malkamäki, A.; Simola, N. Financial Attractiveness of Wood Production in Smallholder Plantations of Central Vietnam in the Context of Developing Carbon Markets. J. Trop For. Sci. 2021, 33, 137–148. Available online: https://www.jstor.org/stable/27007562 (accessed on 26 March 2022). [CrossRef]
- MARD. Volume and Yield Tables for Acacia mangium and Eucalyptus urophylla; Forest Science Institute: Hanoi, Vietnam, 2001. [Google Scholar]
- Kha, L.D. Development of Acacia mangium × Acacia auriculiformis clones in Vietnam; La letter de l’ATIBT; Association Technique Internationale des Bois Tropicaux: Paris, France, 2009; pp. 18–21. [Google Scholar]
- Kha, L.D. Studies on the Use of Natural Hybrids between Acacia Mangium and Acacia Auriculiformis, Vietnam; Agricultural Publishing House: Hanoi, Vietnam, 2001. [Google Scholar]
- Darus, H.A.; Ghani, A.R. A note on the Acacia hybrid in a forest plantation in peninsular Malaysia. J. Trop. For. Sci. 1989, 2, 170–171. [Google Scholar]
- Kijkar, S. Vegetative Propagation of Acacia mangium × Acacia auriculiformis; ASEAN-Canada Forest Tree Seed Centre: Muak-Lek, Saraburi, Thailand, 1992. [Google Scholar]
- Adam, N.S.; Jusoh, I.; Ishak, N.D. Growth characteristics of Acacia mangium plantation in Sarawak. In Proceedings of the 3rd International Plantation Industry Conference and Exhibition, Kota Kinabalu, Sabah, 5–7 November 2012. [Google Scholar]
- Jusoh, I.; Suteh, J.K.; Adam, N.S. Growth and yield of Acacia mangium based on permanent sampling plots in a plantation. Trans. Sci. Technol. 2017, 4, 513–518. [Google Scholar]
- Philip, M.S. Measuring Trees and Forests, 2nd ed.; CAB International: Egham, UK, 1994. [Google Scholar]
- Son, Y.M.; Lee, K.H.; Chung, Y.G. Stand growth estimation using nonlinear growth equations. J. Korean For. Soc. 1997, 86, 135–145, (In Korean with English abstract). [Google Scholar]
- Kim, H.J.; Kim, H.S.; Park, S.I.; Park, H.J.; Lee, S.H. Development of site index curves and height-DBH growth model of Larix kaempferi for Deogyu Mountain in South Korea. For. Sci. Technol. 2018, 14, 145–150. [Google Scholar] [CrossRef]
- Feldpausch, T.R.; Prates-clark, C.C.; Fernandes, E.C.M.; Riha, S.J. Secondary forest growth deviation from chronosequence predictions in Central Amazonia. Glob. Chang. Biol. 2007, 13, 967–979. [Google Scholar] [CrossRef]
- Marquez, C.; Aguilos, R.; Bacsal, R.; Adornado, H.; Aguilos, M. Early growth of 11 native and three alien tree species in North-eastern Mindanao, Philippines. Forests 2021, 12, 909. [Google Scholar] [CrossRef]
- Romas, D.E.; Dejong, T.M.; Ryugo, K.; Olson, W.H.; Reil, W.O.; Sibbett, G.S.; Krueger, W.H.; Snyder, R.G. Pruning and tree thinning. In Walnut Production Manual; Ramos, D.E., Ed.; University of California Division of Agriculture and Natural Resources: Oakland, CA, USA, 1998; pp. 147–158. [Google Scholar]
- Neilsen, W.A.; Gerrand, A.M. Growth and branching habit of Eucalyptus nitens at different spacing and the effect on final crop selection. For. Ecol. Manag. 1999, 123, 217–229. [Google Scholar] [CrossRef]
- Hai, P.H.; Jansson, G.; Harwood, C.; Hannrup, B.; Thinh, H.H. Genetic variation in growth, stem straightness and branch thickness in clonal trials of Acacia auriculiformis at three contrasting sites in Vietnam. For. Ecol. Manag. 2008, 255, 156–167. [Google Scholar] [CrossRef]
- Harwood, C.E.; Williams, E.R. A review of provenance variation in growth of Acacia mangium. In Breeding technologies for tropical Acacias; Carron, L.T., Aken, K.M., Eds.; Australian Centre for International Agricultural Research: Canberra, Australia, 1991; pp. 22–30. [Google Scholar]
- Kha, L.D.; Hai, N.D.; Thinh, H.H.; Tuan, P.V.; Thinh, L.B. Clonal Tests of Natural Hybrids at Ba Vi, Yen Thanh and Bau Bang (Report for Registration New Varieties); Forest Science Institute of Vietnam: Hanoi, Vietnam, 2005. [Google Scholar]
- Dung, P.T.; Ngoc, N.V.; Phuc, H.V.; Le, N.T.; Nhun, N.T.; Tung, P.V.; Binh, N.T. Research on Techniques of Intensive Establishment for Selected Clones of Acacia Hybrid in the Old Alluvial Soil in Binh Phuoc Province for Paper Material; Forest Science Institute of Vietnam: Hanoi, Vietnam, 2005. [Google Scholar]
- CARD. Sustainable and Profitable Development of Acacia Plantations for Sawlog Production in Vietnam; Ministry of Agriculture and Rural Development: Hanoi, Vietnam, 2005. [Google Scholar]
- Powell, J.; Box, T.W.; Baker, C.V. Growth rate of sprouts after top removal of Huizache (Acacia farnesiana (L.) Willd.) (Leguminosae) in south Texas. Southwest. Nat. 1972, 17, 191–195. [Google Scholar] [CrossRef]
- Kha, L.D.; Harwood, C.E.; Kien, N.D.; Baltunis, B.S.; Hai, N.D.; Thinh, H.H. Growth and wood basic density of acacia hybrid clones at three locations in Vietnam. New For. 2012, 43, 13–29. [Google Scholar] [CrossRef]
- Nazeri, A.; Jusoh, I.; Wasli, M.E. Growth of Acacia mangium at different stand ages and soil physicochemical properties in Sarawak, Malaysia. J. Trop. Agric. Sci. 2021, 44, 773–793. [Google Scholar] [CrossRef]
- Dao, D.N. Continuing Evaluation of Growth and Soil Improvement Ability of Acacia Hybrid in Comparison with its Parental Species from Age 5 Years. Master’s Dissertation, Vietnam National University of Forestry, Hanoi, Vietnam, 2003. [Google Scholar]
- So, S.J.; Kim, H.; Lee, C.B.; Kim, S. Economical feasibility analysis on overseas plantation investment—Focused on the Caaguazu province in eastern region of Paraguay. J. Agri. Life Sci. 2017, 51, 69–80, (In Korean with English abstract). [Google Scholar] [CrossRef]
- Park, C.; Kwon, K.; Kim, S. An Economic analysis of industrial forest plantation and A/R CDM project in Indonesia. J. Korean For. Soc. 2007, 96, 348–356, (In Korean with English abstract). [Google Scholar]
- Woo, H.; Turner, P.; Kang, B.; Jang, J.; Woo, J. Feasibility study of forestry project in Sarawak state, Malaysia. J. For. Environ. Sci. 2018, 34, 352–358. [Google Scholar] [CrossRef]




| Years after Plantation (Years) | 0 | 1 | 2 | 3 | 4 | 5 | 6 | |
|---|---|---|---|---|---|---|---|---|
| I. Production cost | ||||||||
| Tillage | 564 | |||||||
| Seedlings | 156 | 14 | ||||||
| Machine | 61 | 30 | 24 | 24 | 24 | 24 | ||
| Labor | 293 | 240 | 24 | 24 | 24 | 24 | 24 | |
| Transport | 43 | |||||||
| Subtotal | 1117 | 284 | 48 | 48 | 48 | 48 | 24 | |
| II. Management cost | ||||||||
| Supervision | 34 | |||||||
| Plan | 9 | |||||||
| Management | 112 | 28 | 5 | 5 | 5 | 5 | 2 | |
| Land lease | 148 | 148 | 148 | 148 | 148 | 148 | 148 | |
| Subtotal | 303 | 176 | 153 | 153 | 153 | 153 | 150 | |
| Total | 1420 | 460 | 201 | 201 | 201 | 201 | 174 | |
| Cumulative total | 1420 | 1880 | 2081 | 2282 | 2483 | 2683 | 2858 | |
| Plots | Stand Age (Years) | DBH (cm) | Hm (m) | Hdom (m) | Nha (Trees ha−1) | Vha (m3 ha−1) |
|---|---|---|---|---|---|---|
| 1 | 1 | - | 0.5 | 0.5 | 2200 | 1 |
| 2 | 2 | 4.3 | 5.2 | 5.9 | 4000 | 16 |
| 3 | 3 | 5.4 | 7.5 | 8.0 | 5025 | 47 |
| 4 | 4 | 6.6 | 10.6 | 11.6 | 5000 | 95 |
| 5 | 4 | 6.2 | 10.4 | 11.9 | 5275 | 86 |
| 6 | 5 | 8.8 | 11.7 | 15.7 | 3175 | 124 |
| 7 | 6 | 7.8 | 12.6 | 22.4 | 5075 | 177 |
| 8 | 8 | 9.3 | 15.5 | 20.5 | 4525 | 257 |
| 9 | 9 | 11.8 | 18.8 | 26.0 | 2350 | 276 |
| 10 | 9 | 12.8 | 16.7 | 22.4 | 2450 | 300 |
| 11 | 9 | 12.3 | 19.1 | 25.3 | 2800 | 357 |
| Model | Parameter | Adjusted R2 | p | MSE | ||
|---|---|---|---|---|---|---|
| α | β | γ | ||||
| DBH | 17.8909 | 0.1323 | 1.1519 | 0.91 | <0.0001 | 1.3 |
| BA | 39.0736 | 0.3451 | 2.7718 | 0.96 | <0.0001 | 5.3 |
| Hm | 22.7448 | 0.2067 | 1.4696 | 0.96 | <0.0001 | 1.2 |
| Hdom | 27.5182 | 0.3398 | 2.6249 | 0.95 | <0.0001 | 3.7 |
| Nha | 5479.0401 | 5.0264 | 3.3612 | 0.88 | <0.0001 | 203,231.2 |
| Vha | 705.0696 | 0.1414 | 2.5086 | 0.97 | <0.0001 | 460.5 |
| Stand Age (Years) | DBH (cm) | BA (m2 ha−1) | Hm (m) | Hdom (m) | Nha (Trees ha−1) | Vha (m3 ha−1) | CAI (m3 ha−1 yr−1) |
|---|---|---|---|---|---|---|---|
| 1 | 1.6 | 1.4 | 0.5 | 0.5 | 2877 | 4 | 4 |
| 2 | 3.3 | 5.9 | 3.9 | 4.3 | 3663 | 21 | 17 |
| 3 | 4.9 | 11.7 | 7.3 | 8.5 | 4345 | 49 | 28 |
| 4 | 6.4 | 17.5 | 9.8 | 12.6 | 4803 | 86 | 37 |
| 5 | 7.8 | 22.7 | 11.9 | 16.2 | 4946 | 128 | 42 |
| 6 | 8.9 | 26.8 | 13.8 | 19.1 | 4747 | 174 | 46 |
| 7 | 10.0 | 30.1 | 15.3 | 21.3 | 4245 | 220 | 46 |
| 8 | 11.0 | 32.6 | 16.6 | 23.0 | 3537 | 265 | 45 |
| 9 | 11.8 | 34.5 | 17.7 | 24.3 | 2746 | 309 | 44 |
| 10 | 12.5 | 35.8 | 18.6 | 25.2 | 1986 | 351 | 42 |
| Stand Age (Years) | Income (USD ha−1) | Investment (USD ha−1) | Cash Flow (USD ha−1) | NPV | B/C Ratio | IRR (%) |
|---|---|---|---|---|---|---|
| 1 | 0 | 1420 | −1420 | −1420 | 0.00 | |
| 2 | 566 | 1880 | −1314 | −1263 | 0.30 | |
| 3 | 1325 | 2081 | −756 | −699 | 0.64 | |
| 4 | 2318 | 2282 | 36 | 32 | 1.02 | |
| 5 | 3462 | 2483 | 979 | 837 | 1.39 | |
| 6 | 4686 | 2683 | 2003 | 1646 | 1.75 | |
| 7 | 5934 | 2858 | 3076 | 2431 | 2.08 | 13 |
Publisher’s Note: MDPI stays neutral with regard to jurisdictional claims in published maps and institutional affiliations. |
© 2022 by the authors. Licensee MDPI, Basel, Switzerland. This article is an open access article distributed under the terms and conditions of the Creative Commons Attribution (CC BY) license (https://creativecommons.org/licenses/by/4.0/).
Share and Cite
Lee, S.-H.; Kim, D.-H.; Jeong, J.-H.; Han, S.-H.; Kim, S.; Park, H.-J.; Kim, H.-J. Developing a Yield Table and Analyzing the Economic Feasibility for Acacia Hybrid Plantations in Achieving Carbon Neutrality in Southern Vietnam. Forests 2022, 13, 1316. https://doi.org/10.3390/f13081316
Lee S-H, Kim D-H, Jeong J-H, Han S-H, Kim S, Park H-J, Kim H-J. Developing a Yield Table and Analyzing the Economic Feasibility for Acacia Hybrid Plantations in Achieving Carbon Neutrality in Southern Vietnam. Forests. 2022; 13(8):1316. https://doi.org/10.3390/f13081316
Chicago/Turabian StyleLee, Sang-Hyun, Dong-Hyuk Kim, Jin-Heon Jeong, Seung-Hyun Han, Seongjun Kim, Hee-Jung Park, and Hyun-Jun Kim. 2022. "Developing a Yield Table and Analyzing the Economic Feasibility for Acacia Hybrid Plantations in Achieving Carbon Neutrality in Southern Vietnam" Forests 13, no. 8: 1316. https://doi.org/10.3390/f13081316
APA StyleLee, S.-H., Kim, D.-H., Jeong, J.-H., Han, S.-H., Kim, S., Park, H.-J., & Kim, H.-J. (2022). Developing a Yield Table and Analyzing the Economic Feasibility for Acacia Hybrid Plantations in Achieving Carbon Neutrality in Southern Vietnam. Forests, 13(8), 1316. https://doi.org/10.3390/f13081316

