Estimation and Spatial Mapping of Residue Biomass following CTL Harvesting in Pinus radiata Plantations: An Application of Harvester Data Analytics
Abstract
:1. Introduction
2. Study Area
3. Harvester Data
4. Harvester Data Analytics
4.1. Reconstructing the Size of Individual Trees
4.2. Delineation and Tessellation of Harvester Data for Calculating Stand Level Attributes
4.3. Residue Biomass Estimation
4.4. Spatial Mapping of Residue Biomass Estimates
5. Evaluation of the Accuracy of Residue Biomass Estimation
6. Results
6.1. Tree and Stand Attributes Obtained through Harvester Data Analytics
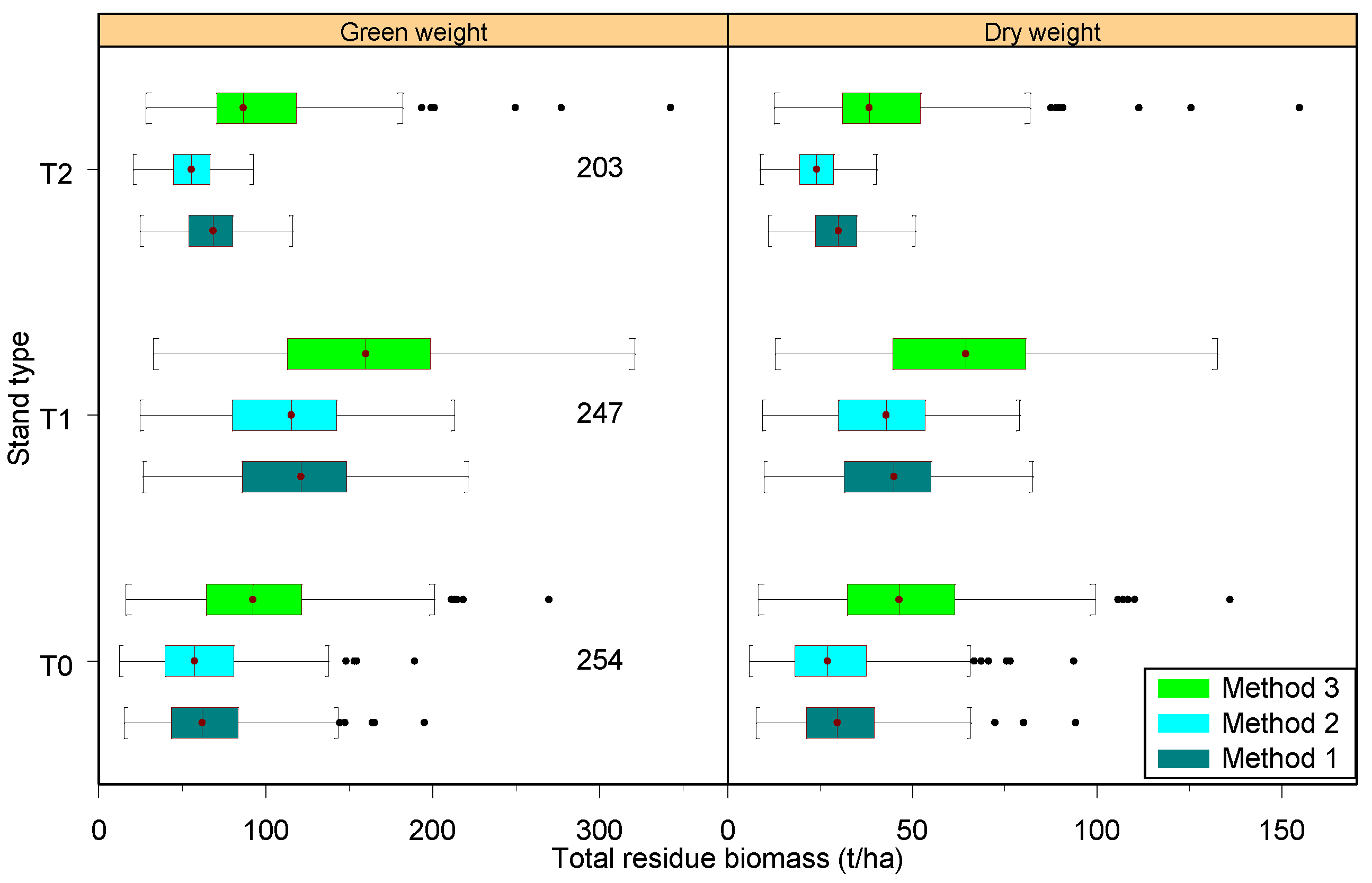
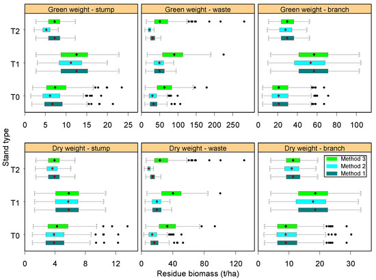
6.2. Estimates and Spatial Maps of Residue Biomass
6.3. Accuracy of Residue Biomass Estimation through Indirect Validation
7. Discussion
8. Conclusions
Author Contributions
Funding
Institutional Review Board Statement
Informed Consent Statement
Data Availability Statement
Acknowledgments
Conflicts of Interest
References
- Hall, J.P. Sustainable production of forest biomass for energy. For. Chron. 2002, 78, 391–396. [Google Scholar] [CrossRef] [Green Version]
- Sims, R.E. Bioenergy to mitigate for climate change and meet the needs of society, the economy and the environment. Mitig. Adapt. Strateg. Glob. Chang. 2003, 8, 349–370. [Google Scholar] [CrossRef]
- Acuña, E.; Cancino, J.; Rubilar, R.; Silva, L. Volume, physical characteristics and costs of harvest residue utilization of Pinus radiata as an energy source. Custos Agronegócio 2017, 13, 442–463. [Google Scholar]
- Han, H.-S.; Jacobson, A.; Bilek, E.T.; Sessions, J. Waste to Wisdom: Utilizing forest residues for the production of bioenergy and biobased products. Appl. Eng. Agric. 2018, 34, 5–10. [Google Scholar] [CrossRef]
- Campbell, R.M.; Anderson, N.M. Comprehensive comparative economic evaluation of woody biomass energy from silvicultural fuel treatments. J. Environ. Manag. 2019, 250, 109422. [Google Scholar] [CrossRef]
- Hanssen, S.V.; Daioglou, V.; Steinmann, Z.J.; Frank, S.; Popp, A.; Brunelle, T.; Lauri, P.; Hasegawa, T.; Huijbregts, M.A.; Van Vuuren, D.P. Biomass residues as twenty-first century bioenergy feedstock—A comparison of eight integrated assessment models. Clim. Chang. 2020, 163, 1569–1586. [Google Scholar] [CrossRef] [Green Version]
- Liu, W.; Hou, Y.; Liu, W.; Yang, M.; Yan, Y.; Peng, C.; Yu, Z. Global estimation of the climate change impact of logging residue utilization for biofuels. For. Ecol. Manag. 2020, 462, 118000. [Google Scholar] [CrossRef]
- Van Holsbeeck, S.; Brown, M.; Srivastava, S.K.; Ghaffariyan, M.R. A Review on the Potential of Forest Biomass for Bioenergy in Australia. Energies 2020, 13, 1147. [Google Scholar] [CrossRef] [Green Version]
- Kallio, A.M.I. Wood-based textile fibre market as part of the global forest-based bioeconomy. For. Policy Econ. 2021, 123, 102364. [Google Scholar] [CrossRef]
- Titus, B.D.; Brown, K.; Helmisaari, H.-S.; Vanguelova, E.; Stupak, I.; Evans, A.; Clarke, N.; Guidi, C.; Bruckman, V.J.; Varnagiryte-Kabasinskiene, I. Sustainable forest biomass: A review of current residue harvesting guidelines. Energy Sustain. Soc. 2021, 11, 10. [Google Scholar] [CrossRef]
- Spinelli, R.; Visser, R.; Björheden, R.; Röser, D. Recovering energy biomass in conventional forest operations: A review of integrated harvesting systems. Curr. For. Rep. 2019, 5, 90–100. [Google Scholar] [CrossRef]
- Ghaffariyan, M.R.; Dupuis, É. Analyzing the impacts of harvesting methods on the quantity of harvest residues: An Australian case study. Forests 2021, 12, 1212. [Google Scholar] [CrossRef]
- Strandgard, M.; Acuna, M.; Turner, P.; Mirowski, L. Use of modelling to compare the impact of roadside drying of Pinus radiata D.Don logs and logging residues on delivered costs using high capacity trucks in Australia. Biomass Bioenergy 2021, 147, 106000. [Google Scholar] [CrossRef]
- Ghaffariyan, M.R. Remaining slash in different harvesting operation sites in Australian plantations. Silva Balc. 2013, 14, 83–93. [Google Scholar]
- Ghaffariyan, M.R.; Apolit, R. Harvest residues assessment in pine plantations harvested by whole tree and cut-to-length harvesting methods (A case study in Queensland, Australia). Silva Balc. 2015, 16, 113–122. [Google Scholar]
- Laitila, J.; Asikainen, A.; Hotari, S. Residue recovery and site preparation in a single operation in regeneration areas. Biomass Bioenergy 2005, 28, 161–169. [Google Scholar] [CrossRef]
- Berry, M.; Sessions, J. Evaluating the Economic Incentives of Biomass Removal on Site Preparation for Different Harvesting Systems in Australia. Forests 2020, 11, 1370. [Google Scholar] [CrossRef]
- Mead, D.J. Sustainable Management of Pinus Radiata Plantations; Food and Agriculture Organization of the United Nations (FAO): Rome, Italy, 2013; p. 264. [Google Scholar]
- Burdon, R.; Libby, W.; Brown, A. Domestication of Radiata Pine; Springer: Berlin/Heidelberg, Germany, 2017; Volume 83. [Google Scholar]
- Downham, R.; Gavran, M. Australian Plantation Statistics 2020 Update. 2020. Available online: https://www.awe.gov.au/abares/research-topics/forests/forest-economics/plantation-and-log-supply (accessed on 15 July 2021).
- Smethurst, P.J.; Nambiar, E.K.S. Distribution of carbon and nutrients and fluxes of mineral nitrogen after clear-felling a Pinus radiata plantation. Can. J. For. Res. 1990, 20, 1490–1497. [Google Scholar] [CrossRef]
- Strandgard, M.; Mitchell, R. Comparison of cost, productivity and residue yield of cut-to-length and fuel-adapted harvesting in a Pinus radiata D. Don final harvest in Western Australia. N. Z. J. For. Sci. 2019, 49, 12. [Google Scholar] [CrossRef] [Green Version]
- Qiao, X.; Bi, H.; Li, Y.; Ximenes, F.; Weston, C.J.; Volkova, L.; Ghaffariyan, M.R. Additive predictions of aboveground stand biomass in commercial logs and harvest residues for rotation age Pinus radiata plantations in New South Wales, Australia. J. For. Res. 2021, 32, 2265–2289. [Google Scholar] [CrossRef]
- Ghaffariyan, M.R.; Brown, M.; Acuna, M.; Sessions, J.; Gallagher, T.; Kühmaier, M.; Spinelli, R.; Visser, R.; Devlin, G.; Eliasson, L.; et al. An international review of the most productive and cost-effective forest biomass recovery technologies and supply chains. Renew. Sustain. Energy Rev. 2017, 74, 145–158. [Google Scholar] [CrossRef]
- Lock, P.; Whittle, L. Future Opportunities for Using Forest and Sawmill Residues in Australia; Australian Bureau of Agricultural and Resource Economics and Sciences (ABARES): Canberra, Australia, 2018; p. 83.
- Ghaffariyan, M.R.; Acuna, M.; Brown, M. Analysing the effect of five operational factors on forest residue supply chain costs: A case study in Western Australia. Biomass Bioenergy 2013, 59, 486–493. [Google Scholar] [CrossRef]
- Zamora-Cristales, R.; Sessions, J. Modeling harvest forest residue collection for bioenergy production. Croat. J. For. Eng. J. Theory Appl. For. Eng. 2016, 37, 287–296. [Google Scholar]
- Ghaffariyan, M.R.; Sessions, J.; Brown, M.W. Collecting harvesting residues in pine plantations using a mobile chipper in Victoria (Australia). Silva Balc. 2014, 15, 81–95. [Google Scholar]
- Wang, X.; Bi, H.; Ximenes, F.; Ramos, J.; Li, Y. Product and Residue Biomass Equations for Individual Trees in Rotation Age Pinus radiata Stands under Three Thinning Regimes in New South Wales, Australia. Forests 2017, 8, 439. [Google Scholar] [CrossRef] [Green Version]
- Ghaffariyan, M.R.; Sessions, J.; Brown, M.W. Evaluating productivity, cost, chip quality and biomass recovery for a mobile chipper in Australian roadside chipping operations. J. For. Sci. 2012, 58, 530–535. [Google Scholar] [CrossRef] [Green Version]
- Ghaffariyan, M.R.; Spinelli, R.; Magagnotti, N.; Brown, M. Integrated harvesting for conventional log and energy wood assortments: A case study in a pine plantation in Western Australia. South. For. J. For. Sci. 2015, 77, 249–254. [Google Scholar] [CrossRef]
- Priddle, J. Computer-Controlled Optimisation in Cut-to-Length Harvesting Systems and Associated Data Flows. 2005. Available online: https://gottsteintrust.org/projects-reports/report/41-computer-controlled-optimisation-in-cut-to-length-harvesting-systems-and-associated-data-flows (accessed on 15 July 2021).
- Skogforsk. StanForD 2010—Moderne Kommunikation mit Forstmaschinen. Available online: https://www.skogforsk.se/cd_20190114162016/contentassets/1a68cdce4af1462ead048b7a5ef1cc06/stanford-2010-german.pdf (accessed on 6 June 2021).
- Kemmerer, J.; Labelle, E.R. Using harvester data from on-board computers: A review of key findings, opportunities and challenges. Eur. J. For. Res. 2020, 140, 1–17. [Google Scholar] [CrossRef]
- Kiljunen, N. Estimating dry mass of logging residues from final cuttings using a harvester data management system. Int. J. For. Eng. 2002, 13, 17–25. [Google Scholar] [CrossRef]
- Palander, T.; Vesa, L.; Tokola, T.; Pihlaja, P.; Ovaskainen, H. Modelling the stump biomass of stands for energy production using a harvester data management system. Biosyst. Eng. 2009, 102, 69–74. [Google Scholar] [CrossRef]
- Vesa, L.; Palander, T. Modeling stump biomass of stands using harvester measurements for adaptive energy wood procurement systems. Energy 2010, 35, 3717–3721. [Google Scholar] [CrossRef]
- Woo, H.; Acuna, M.; Choi, B.; Han, S.-K. FIELD: A Software Tool That Integrates Harvester Data and Allometric Equations for a Dynamic Estimation of Forest Harvesting Residues. Forests 2021, 12, 834. [Google Scholar] [CrossRef]
- Snowdon, P.; Eamus, D.; Gibbons, P.; Keith, H.; Raison, J.; Kirschbaum, M. Synthesis of Allometrics, Review of Root Biomass, and Design of Future Woody Biomass Sampling Strategies; Australian Greenhouse Office: Canberra, Australia, 2000; p. 133.
- Bi, H.; Long, Y.; Turner, J.; Lei, Y.; Snowdon, P.; Li, Y.; Harper, R.; Zerihun, A.; Ximenes, F. Additive prediction of aboveground biomass for Pinus radiata (D. Don) plantations. For. Ecol. Manag. 2010, 259, 2301–2314. [Google Scholar] [CrossRef]
- Dupuis, É.; Ghaffariyan, M. Quantitative and qualitative analysis of harvesting residues in Australian plantations. In Proceedings of the ANZ Biochar Conference, Online, 16–17 July 2020. [Google Scholar]
- Lu, K.; Bi, H.; Watt, D.; Strandgard, M.; Li, Y. Reconstructing the size of individual trees using log data from cut-to-length harvesters in Pinus radiata plantations: A case study in NSW, Australia. J. For. Res. 2018, 29, 13–33. [Google Scholar] [CrossRef] [Green Version]
- Shan, C.; Bi, H.; Watt, D.; Li, Y.; Strandgard, M.; Ghaffariyan, M.R. A new model for predicting the total tree height for stems cut-to-length by harvesters in Pinus radiata plantations. J. For. Res. 2021, 32, 21–41. [Google Scholar] [CrossRef] [Green Version]
- Rasinmäki, J.; Melkas, T. A method for estimating tree composition and volume using harvester data. Scand. J. For. Res. 2005, 20, 85–95. [Google Scholar] [CrossRef]
- Bollandsås, O.M.; Maltamo, M.; Gobakken, T.; Lien, V.; Næssset, E. Prediction of Timber Quality Parameters of Forest Stands by Means of Small Footprint Airborne Laser Scanner Data. Int. J. For. Eng. 2011, 22, 14–23. [Google Scholar] [CrossRef]
- Maltamo, M.; Hauglin, M.; Næsset, E.; Gobakken, T. Estimating stand level stem diameter distribution utilizing harvester data and airborne laser scanning. Silva Fenn. 2019, 53, 10075. [Google Scholar] [CrossRef]
- Karjalainen, T.; Mehtätalo, L.; Packalen, P.; Gobakken, T.; Næsset, E.; Maltamo, M. Field calibration of merchantable and sawlog volumes in forest inventories based on airborne laser scanning. Can. J. For. Res. 2020, 50, 1352–1364. [Google Scholar] [CrossRef]
- Knott, J.; Ryan, P. Development and Practical Application of a Soils Database for the Pinus Plantations of the Bathurst Region; Research Paper No. 11; Forestry Commission of New South Wales: Sydney, Australia, 1990; p. 85. [Google Scholar]
- Anon. Forest Management Plan. Available online: https://www.forestrycorporation.com.au/__data/assets/pdf_file/0010/660628/forest-management-plan-softwood-plantations.pdf (accessed on 15 June 2021).
- Skogforsk. Standard for Forest Data and Communications. 2007. Available online: https://www.skogforsk.se/contentassets/b063db555a664ff8b515ce121f4a42d1/stanford_maindoc_070327.pdf (accessed on 6 June 2021).
- Arlinger, J.; Nordström, M.; Möller, J.J. StanForD 2010: Modern Communication with Forest Machines; Skogforsk: Uppsala, Sweden, 2012; Volume 785. [Google Scholar]
- Lindroos, O.; Ringdahl, O.; La Hera, P.; Hohnloser, P.; Hellström, T.H. Estimating the position of the harvester head–a key step towards the precision forestry of the future? Croat. J. For. Eng. 2015, 36, 147–164. [Google Scholar]
- Asaeedi, S.; Didehvar, F.; Mohades, A. α-Concave hull, a generalization of convex hull. Theor. Comput. Sci. 2017, 702, 48–59. [Google Scholar] [CrossRef]
- Leech, J. Estimating crown width from diameter at breast height for open-grown radiata pine trees in South Australia. Aust. For. Res. 1984, 14, 333–337. [Google Scholar]
- Hauglin, M.; Hansen, E.; Sørngård, E.; Næsset, E.; Gobakken, T. Utilizing accurately positioned harvester data: Modelling forest volume with airborne laser scanning. Can. J. For. Res. 2018, 48, 913–922. [Google Scholar] [CrossRef]
- Söderberg, J.; Wallerman, J.; Almäng, A.; Möller, J.J.; Willén, E. Operational prediction of forest attributes using standardised harvester data and airborne laser scanning data in Sweden. Scand. J. For. Res. 2021, 36, 306–314. [Google Scholar] [CrossRef]
- García, O. Estimating top height with variable plot sizes. Can. J. For. Res. 1998, 28, 1509–1517. [Google Scholar] [CrossRef]
- García, O. Scale and spatial structure effects on tree size distributions: Implications for growth and yield modelling. Can. J. For. Res. 2006, 36, 2983–2993. [Google Scholar] [CrossRef] [Green Version]
- Zhou, M.; Lei, X.; Duan, G.; Lu, J.; Zhang, H. The effect of the calculation method, plot size, and stand density on the top height estimation in natural spruce-fir-broadleaf mixed forests. For. Ecol. Manag. 2019, 453, 117574. [Google Scholar] [CrossRef]
- Bi, H. Trigonometric variable-form taper equations for Australian eucalypts. For. Sci. 2000, 46, 397–409. [Google Scholar]
- Nash, J.E.; Sutcliffe, J.V. River flow forecasting through conceptual models part I—A discussion of principles. J. Hydrol. 1970, 10, 282–290. [Google Scholar] [CrossRef]
- Wackerly, D.; Mendenhall, W.; Scheaffer, R.L. Mathematical Statistics with Applications; Duxbury Press: London, UK, 1996; p. 329. [Google Scholar]
- Loague, K.; Green, R.E. Statistical and graphical methods for evaluating solute transport models: Overview and application. J. Contam. Hydrol. 1991, 7, 51–73. [Google Scholar] [CrossRef]
- Mayer, D.; Butler, D. Statistical validation. Ecol. Model. 1993, 68, 21–32. [Google Scholar] [CrossRef]
- Vanclay, J.K. Modelling Forest Growth and Yield: Applications to Mixed Tropical Forests; CABI Publishing: Wallingford, UK, 1994; p. 336. [Google Scholar]
- Huang, S.; Yang, Y.; Wang, Y. A critical look at procedures for validating growth and yield models. In Modelling Forest Systems; CABI Publishing: Oxford, UK, 2003; pp. 271–292. [Google Scholar]
- Bi, H. The self-thinning surface. For. Sci. 2001, 47, 361–370. [Google Scholar]
- Stone, C.; Penman, T.; Turner, R. Managing drought-induced mortality in Pinus radiata plantations under climate change conditions: A local approach using digital camera data. For. Ecol. Manag. 2012, 265, 94–101. [Google Scholar] [CrossRef]
- Walsh, D.; Wiedemann, J.; Strandgard, M.; Ghaffariyan, M.R.; Skinnell, J. ‘FibrePlus’ Study: Harvesting Stemwood Waste Pieces in Pine Clearfall; Bulletin 18; CRC for Forestry: Tasmania, Australia, 2011. [Google Scholar]
- Smith, C.; Lowe, A.; Skinner, M.; Beets, P.; Schoenholtz, S.; Fang, S. Response of radiata pine forests to residue management and fertilisation across a fertility gradient in New Zealand. For. Ecol. Manag. 2000, 138, 203–223. [Google Scholar] [CrossRef]
- Turner, J.; Lambert, M.J.; Hopmans, P.; McGrath, J. Site variation in Pinus radiata plantations and implications for site specific management. New For. 2001, 21, 249–282. [Google Scholar] [CrossRef]
- Garrett, L.; Beets, P.; Clinton, P.; Smaill, S. National series of long-term intensive harvesting trials in Pinus radiata stands in New Zealand: Initial biomass, carbon and nutrient pool data. Data Brief 2019, 27, 104757. [Google Scholar] [CrossRef]
- Garrett, L.; Smith, C.; Beets, P.; Kimberley, M. Early rotation biomass and nutrient accumulation of Pinus radiata forests after harvest residue management and fertiliser treatment on contrasting types of soil. For. Ecol. Manag. 2021, 496, 119426. [Google Scholar] [CrossRef]










| Stand Type | Grid Cells | M | Green Weight | Dry Weight | ||||||||
|---|---|---|---|---|---|---|---|---|---|---|---|---|
| Total (t/ha) | Residue (t/ha) | Stump (%) | Waste (%) | Branch (%) | Total (t/ha) | Residue (t/ha) | Stump (%) | Waste (%) | Branch (%) | |||
| T0 | 254 | 1 | 387.8 | 66.0 | 10.9 | 53.9 | 35.2 | 205.4 | 31.4 | 13.1 | 55.7 | 31.2 |
| 2 | 386.2 | 62.6 | 10.9 | 52.8 | 36.3 | 204.3 | 29.3 | 14.4 | 52 | 33.6 | ||
| 3 | 364.0 | 96.7 | 8.2 | 67.7 | 24.1 | 188.6 | 48.6 | 9.4 | 70.3 | 20.3 | ||
| T1 | 247 | 1 | 604.1 | 117.6 | 10.3 | 42.2 | 47.5 | 265.1 | 43.5 | 13.0 | 45.8 | 41.3 |
| 2 | 609.4 | 111.6 | 10.1 | 43.4 | 46.6 | 267.1 | 42.1 | 13.4 | 45.9 | 40.7 | ||
| 3 | 611.4 | 156.4 | 7.8 | 56.0 | 36.1 | 266.1 | 63.0 | 9.1 | 62.0 | 28.9 | ||
| T2 | 203 | 1 | 420.8 | 68.8 | 10.5 | 45.3 | 44.2 | 196.9 | 29.8 | 13.1 | 48.2 | 38.7 |
| 2 | 417.4 | 56.2 | 9.5 | 40.2 | 50.3 | 194.8 | 24.4 | 15.1 | 39.8 | 45.2 | ||
| 3 | 425.8 | 97.9 | 8.1 | 58.5 | 33.5 | 196.0 | 43.5 | 9.9 | 61.3 | 28.9 | ||
| Fresh Weight | Dry Weight | |||||||||
|---|---|---|---|---|---|---|---|---|---|---|
| MEE (t/ha) | MPEE (%) | MAEE (t/ha) | MSEE | MEE (t/ha) | MPEE (%) | MAEE (t/ha) | MSEE | |||
| M1 | ||||||||||
| total | 0.79 | 0.11 | 12.23 | 358.95 | 0.98 | 2.99 | 0.99 | 7.42 | 119.74 | 0.99 |
| residue | −3.22 | −2.53 | 10.97 | 190.34 | 0.88 | −0.45 | −1.11 | 4.96 | 41.14 | 0.91 |
| stump | −0.58 | −3.23 | 2.03 | 6.56 | 0.78 | −0.34 | −4.08 | 0.40 | 0.27 | 0.91 |
| waste | −1.41 | −1.75 | 8.72 | 119.46 | 0.85 | 0.25 | 0.49 | 4.75 | 38.89 | 0.86 |
| branch | −1.53 | −2.6 | 2.71 | 10.25 | 0.91 | −0.33 | −1.81 | 0.64 | 0.56 | 0.96 |
| M2 | ||||||||||
| total | 0.06 | 0.02 | 8.03 | 130.23 | 0.99 | 0.08 | 0.02 | 4.36 | 38.71 | 1.00 |
| residue | 0.17 | 0.42 | 9.24 | 137.96 | 0.91 | 0.13 | 0.47 | 4.25 | 32.58 | 0.93 |
| stump | 0.04 | 1.00 | 1.65 | 4.48 | 0.85 | 0.01 | 0.15 | 0.17 | 0.05 | 0.98 |
| waste | 0.09 | 0.72 | 7.21 | 86.00 | 0.89 | 0.12 | 1.20 | 4.02 | 29.14 | 0.89 |
| branch | 0.03 | 0.12 | 1.38 | 3.41 | 0.97 | −0.00 | 0.02 | 0.35 | 0.22 | 0.98 |
| M3 | ||||||||||
| total | 29.24 | 4.84 | 42.83 | 3030.59 | 0.87 | 18.03 | 5.80 | 23.43 | 902.61 | 0.89 |
| residue | −67.69 | −30.26 | 68.32 | 7279.76 | −3.71 | −34.84 | −34.45 | 34.96 | 1860.37 | −3.23 |
| stump | −0.58 | −3.23 | 2.03 | 6.56 | 0.78 | −0.34 | −4.08 | 0.40 | 0.27 | 0.91 |
| waste | −68.81 | −44.94 | 69.31 | 7683.04 | −8.73 | −37.08 | −48.65 | 37.24 | 2199.26 | −7.17 |
| branch | −1.53 | −2.6 | 2.71 | 10.25 | 0.91 | −0.33 | −1.81 | 0.64 | 0.56 | 0.96 |
Publisher’s Note: MDPI stays neutral with regard to jurisdictional claims in published maps and institutional affiliations. |
© 2022 by the authors. Licensee MDPI, Basel, Switzerland. This article is an open access article distributed under the terms and conditions of the Creative Commons Attribution (CC BY) license (https://creativecommons.org/licenses/by/4.0/).
Share and Cite
Li, W.; Bi, H.; Watt, D.; Li, Y.; Ghaffariyan, M.R.; Ximenes, F. Estimation and Spatial Mapping of Residue Biomass following CTL Harvesting in Pinus radiata Plantations: An Application of Harvester Data Analytics. Forests 2022, 13, 428. https://doi.org/10.3390/f13030428
Li W, Bi H, Watt D, Li Y, Ghaffariyan MR, Ximenes F. Estimation and Spatial Mapping of Residue Biomass following CTL Harvesting in Pinus radiata Plantations: An Application of Harvester Data Analytics. Forests. 2022; 13(3):428. https://doi.org/10.3390/f13030428
Chicago/Turabian StyleLi, Wenjing, Huiquan Bi, Duncan Watt, Yun Li, Mohammad Reza Ghaffariyan, and Fabiano Ximenes. 2022. "Estimation and Spatial Mapping of Residue Biomass following CTL Harvesting in Pinus radiata Plantations: An Application of Harvester Data Analytics" Forests 13, no. 3: 428. https://doi.org/10.3390/f13030428
APA StyleLi, W., Bi, H., Watt, D., Li, Y., Ghaffariyan, M. R., & Ximenes, F. (2022). Estimation and Spatial Mapping of Residue Biomass following CTL Harvesting in Pinus radiata Plantations: An Application of Harvester Data Analytics. Forests, 13(3), 428. https://doi.org/10.3390/f13030428
