Abstract
Control of leader growth in Christmas tree production is a critical and expensive component in developing quality trees. Producers typically hand trim leaders to a desired length. With noble and Turkish fir this practice frequently results in poor top development in the subsequent year. This study investigated the use of S-abscisic acid (S-ABA) at various rates up to 6% active ingredient (a.i.) to determine if the plant growth regulator provides predictable leader control with minimal phytotoxicity. S-ABA was effective in controlling leader extension of both noble fir and Turkish fir. Shoot growth of Turkish fir was slightly more sensitive to S-ABA than noble fir, and effective growth control was achieved at 2% a.i., versus 3% a.i. for noble fir. With Turkish fir, we achieved an 80–90% reduction in growth across all sites, depending on rate. For noble fir, we achieved a 67–88% growth reduction. The addition of a surfactant did not increase the effectiveness of S-ABA for growth control and is not recommended. Repeating S-ABA applications 2 weeks after initial application resulted in a slight increase in growth control and phytotoxicity compared to a single application at the same rate. The results suggest that S-ABA can be an effective tool in Christmas tree production to control leader growth on fir species that often produce crooked or multiple leaders in response to conventional leader pruning.
1. Introduction
Noble fir (Abies procera Rehd.) is the most widely planted and important Christmas tree species in the Pacific Northwest. Approximately 2.5 million noble fir trees are planted yearly for Christmas trees [1]. Turkish fir (A. bornmuelleriana Mattf.) and closely related Nordmann fir (A. nordmanniana (Steven) Spach) rank third in plantings in the Pacific Northwest with just over 400,000 trees planted yearly. As Christmas trees mature, leader growth becomes excessive and must be hand trimmed in order to maintain uniform tree density. Controlling the leader length on commercial true fir (Abies spp.) Christmas trees is one of the most expensive production practices associated with tree culturing. Traditionally, leader control has been performed by hand trimming the leader to a preferred length. For certain species of firs such as noble fir, Turkish fir and Nordmann fir, hand trimming seldom produces straight tops in the subsequent growing season, presumably due to alterations in the balance of internal hormones resulting in a decrease in apical dominance and orthotropic growth [2]. As a result, growers must frequently undertake costly measures to straighten leaders, such as tying up branches or leaders to wooden stakes or recutting tops, which further adds to production costs [3].
The option of utilizing a plant growth regulator (PGR) product to control leader length holds promise. A growth regulator, if it works properly, preserves the terminal buds and increases the bud density along the leader. Numerous PGRs are widely used in various horticultural applications to control stem elongation in order to produce plants of a desired size [4]. Growth regulators have also been shown to be effective in controlling shoot growth on conifers, although effectiveness of foliar sprays can be variable due to the thick cuticle often present on conifer needles [5,6,7,8]. PGRs, such as Ethephon and NAA, have shown promise, but results have been inconsistent and often leader damage is evident [9]. Danish researchers and growers have shown effective control of leader growth in Nordmann fir using S-abscisic acid (S-ABA) (Ulrik Braüner Nielsen, personal communication). S-ABA is a PGR that affects a range of plant responses including growth, stomatal regulation, cold tolerance and fruit ripening [10]. The mechanisms by which S-ABA regulates plant growth are not completely understood but likely involve interactions with other plant hormones, particularly auxin [11].
Our study evaluated the use of S-ABA for leader growth control on noble fir and Turkish fir to determine if there is an effective product rate that provides consistent leader control without phytotoxicity or other negative effects.
2. Materials and Methods
Field trials were established in 2019 and 2020 at three sites in Oregon for two Christmas tree species, noble fir and Turkish fir. Noble fir is the leading Christmas tree species in the Pacific Northwest with yearly plantings averaging around 2.5 million trees. Turkish fir is currently a minor species in terms of planting, but is increasing in popularity due to disease resistance and its ability to tolerate summer droughts. The applications of S-ABA utilized an Easy Roller unit (Easy Roller, Madsen Trees, Kjellerup, Denmark) (Figure 1) to treat the terminal leader of each tree. The unit consists of two 5 cm rollers mounted parallel on the end of two metal extensions with a clamping handle. The roller apparatus connects to a push-pump container by plastic tubing. Treatments were made by placing the two fully saturated rollers on either side of the base of the leader and lightly enclosing the leader by gently clamping the handle. A single upward swipe to the leader provided coverage of S-ABA to both sides of the leader (Figure 2).
Figure 1.
Easy Roller applicator.
Figure 2.
Applying S-ABA to a Turkish fir leader using the Easy Roller applicator.
The test sites used in the experiment were all second or third rotation Christmas tree plantations and represent a broad range of growing environments within the Willamette Valley in Oregon. Specific site characteristics including elevation and weather during the period of shoot elongation (May–July) are summarized for each site and year in Table 1.
Table 1.
Christmas tree plantation locations and weather during the period of shoot elongation (May–July) for 2019 and 2020 S-ABA trials.
In both years, we applied a liquid formulation of S-ABA (ConShapeTM SL [10% a.i.], Valent BioSciences LLC, Libertyville, IL, USA). The trials in 2019 tested a wide range of application concentrations along with an added surfactant (Table 2). We initially utilized a surfactant to improve the spread of the S-ABA along the terminal. Surfactants were not used in 2020 as it appeared that S-ABA had adequate spread, and some surfactants can damage needles. From prior experiments we noted that noble fir requires a higher concentration of S-ABA for adequate leader control than Turkish fir. In 2020, we narrowed the S-ABA rates and, for some treatments, added a second application 10 days after the initial application (Table 3). The second application was included to evaluate the impact of a treatment to the same trees after 10 days. A second treatment is a likely possibility as growers may reapply S-ABA to the same fields to ensure application to late flushing trees.
Table 2.
The 2019 application summary. S-ABA concentrations, surfactant additions and species treated.
Table 3.
The 2020 application summary. S-ABA concentrations, number of applications and species treated.
At all sites in both years, a completely randomized experimental design with a minimum of 25 trees per treatment was utilized. Selected trees met the following criteria:
- Tree height between 1.2 m to 1.8 m;
- Tree healthy and typical for species with a natural, uncut leader;
- Leader length when treated between 25.5 cm to 30.5 cm;
- Leader expected to elongate >30.5 cm, based on prior years leader length.
Measurements included leader length at time of treatment (late May/June) and leader length at the end of the growing season in August. Shoot growth was calculated as the difference between the final shoot length and the initial measurement. Untreated check (UTC) trees met the same criteria as treated trees and were evaluated in the same manner. It is important to note that shoot growth in our trials is the growth beyond an acceptable target, not the total length of the leader. We assessed control of leader growth as ‘effective’ if leader growth after treatment was less than 4 cm. Leader damage was evaluated in August on all trees. A scale of 0–4 was used to rank the degree of phytotoxicity damage to leaders (Figure 3) as follows:
Figure 3.
Leader damage ratings.
- 0 = no visible damage;
- 1 = very slight phytotoxicity, few brown needles seen;
- 2 = moderate phytotoxicity, <50% damaged noted;
- 3 = most needles damaged, >50%, terminal bud undamaged;
- 4 = high phytotoxicity damage, distortion and dead terminal bud.
For perspective on the damage ratings, a leader damage rating >2 could disqualify the tree for sale. A damage level of 4 indicated a dead terminal bud or deformed leader.
Statistical Analysis
For each species and year, leader growth and phytotoxicity data were initially pooled across farms and analyzed by two-way analysis of variance (ANOVA) to test for FARM, S-ABA and FARM × S-ABA interaction effects. In both years, interaction effects were significant (p ≤ 0.05) for either leader growth, phytotoxicity score or both. Therefore, we present all results based on one-way ANOVAs of S-ABA treatment effects by FARM. PROC UNIVARIATE was used to test all variables for normality. Where significant (p ≤ 0.05) treatment effects were indicated, means were separated by Tukey’s HSD test. All analyses were conducted using SAS ver. 9.4 (SAS Institute, Inc., Cary, NC, USA).
3. Results
For both species and both treatment years, increasing rates of S-ABA resulted in increased leader control. Similarly, increased S-ABA rates also increased the potential for leader damage. At all sites in both years, S-ABA application produced a statistically significant reduction in shoot growth, despite site difference in potential shoot growth as indicated by the shoot elongation in the UTC trees.
3.1. 2019 Trials: Effect of S-ABA at Various Rates and Added Surfactant
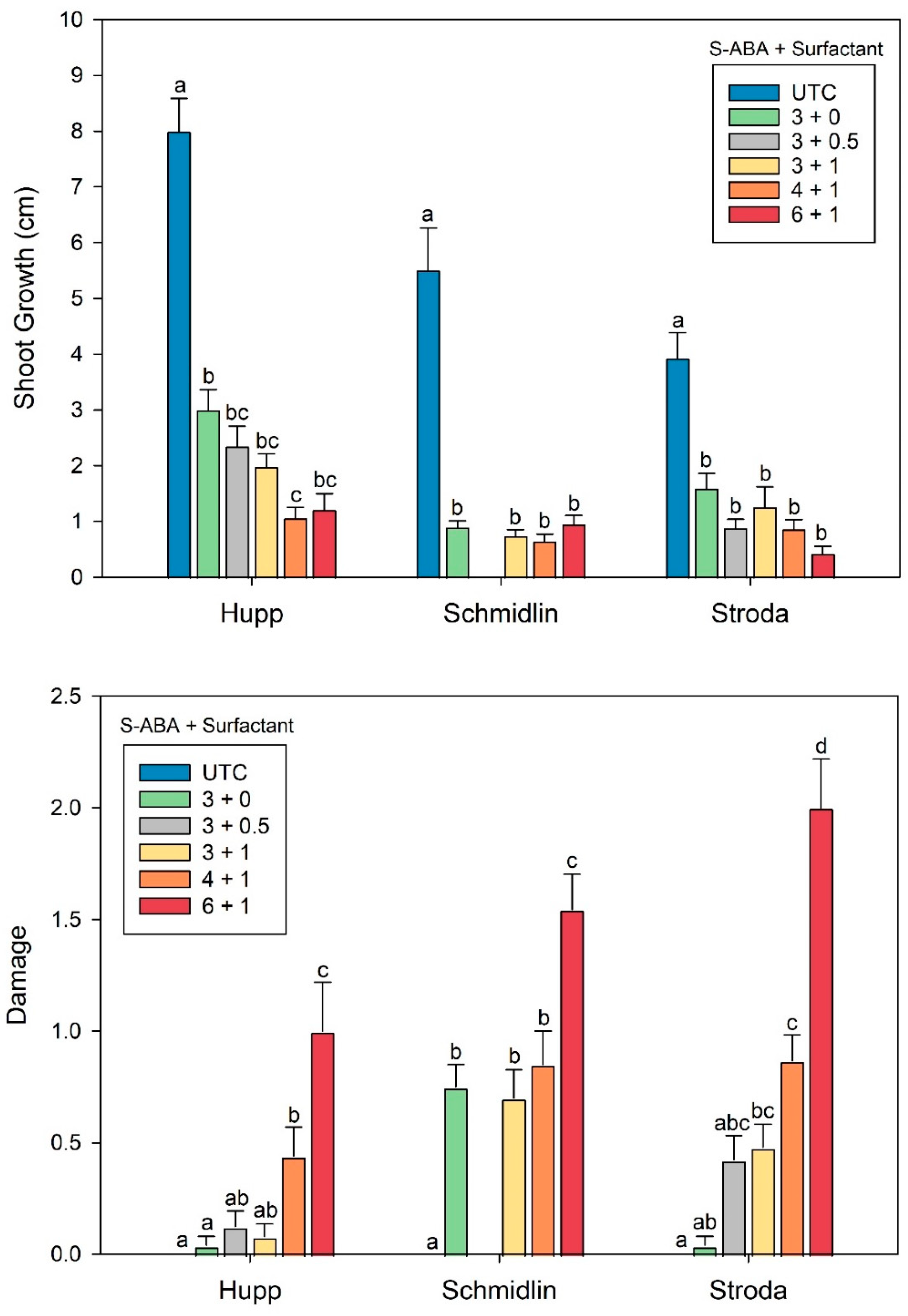
In the 2019 noble fir trials, the three test sites showed marked differences in shoot growth of the UTC trees beyond the target height, with the Hupp site averaging double (8 cm vs. 3.9 cm) the growth of the Stroda site (Figure 4).
Figure 4.
Mean shoot growth (top) and damage rating (bottom) of leaders of noble fir trees at three farms treated in 2019 with S-ABA with and without a surfactant. S-ABA concentration is in % a.i.; surfactant in mL L−1. NOTE: Error bars indicate standard error of the mean. Means within a farm indicated by the same letter are not different at p = 0.05. Mean separation by Tukey’s honestly significant difference (HSD) test. Damage rating (0 = no phytotoxicity; 4 = severe phytotoxic damage).
There is an indication that a higher surfactant rate decreased shoot growth, but the responses were not significant. All of the S-ABA rates provided statistically significant leader growth reduction relative to the UTC trees.
For noble fir, all the S-ABA rates up to 4% a.i., exhibited minimal damage. At the highest application rate (6% a.i.), mean damage rating at the Stroda site reached a level of 2.
In the 2019 Turkish fir trials, the three test sites showed marked differences in shoot growth beyond the target height (Figure 5). Here, the Schmidlin site exhibited lower excess shoot growth compared to the Stroda and Hupp sites (5.9 cm vs. 11.8 and 13.2, respectively). All S-ABA rates provided significant and acceptable shoot growth control. On Turkish fir at 4% a.i., the damage levels at two of the three sites reached unacceptable levels (>2).
Figure 5.
Mean shoot growth (top) and damage rating (bottom) of leaders of Turkish fir trees at three farms treated in 2019 with S-ABA with and without a surfactant. S-ABA concentration is in % a.i.; surfactant in mL L−1. NOTE: Error bars indicate standard error of the mean. Means within a farm indicated by the same letter are not different at p = 0.05. Mean separation by Tukey’s HSD test. Damage rating (0 = no phytotoxicity; 4 = severe phytotoxic damage).
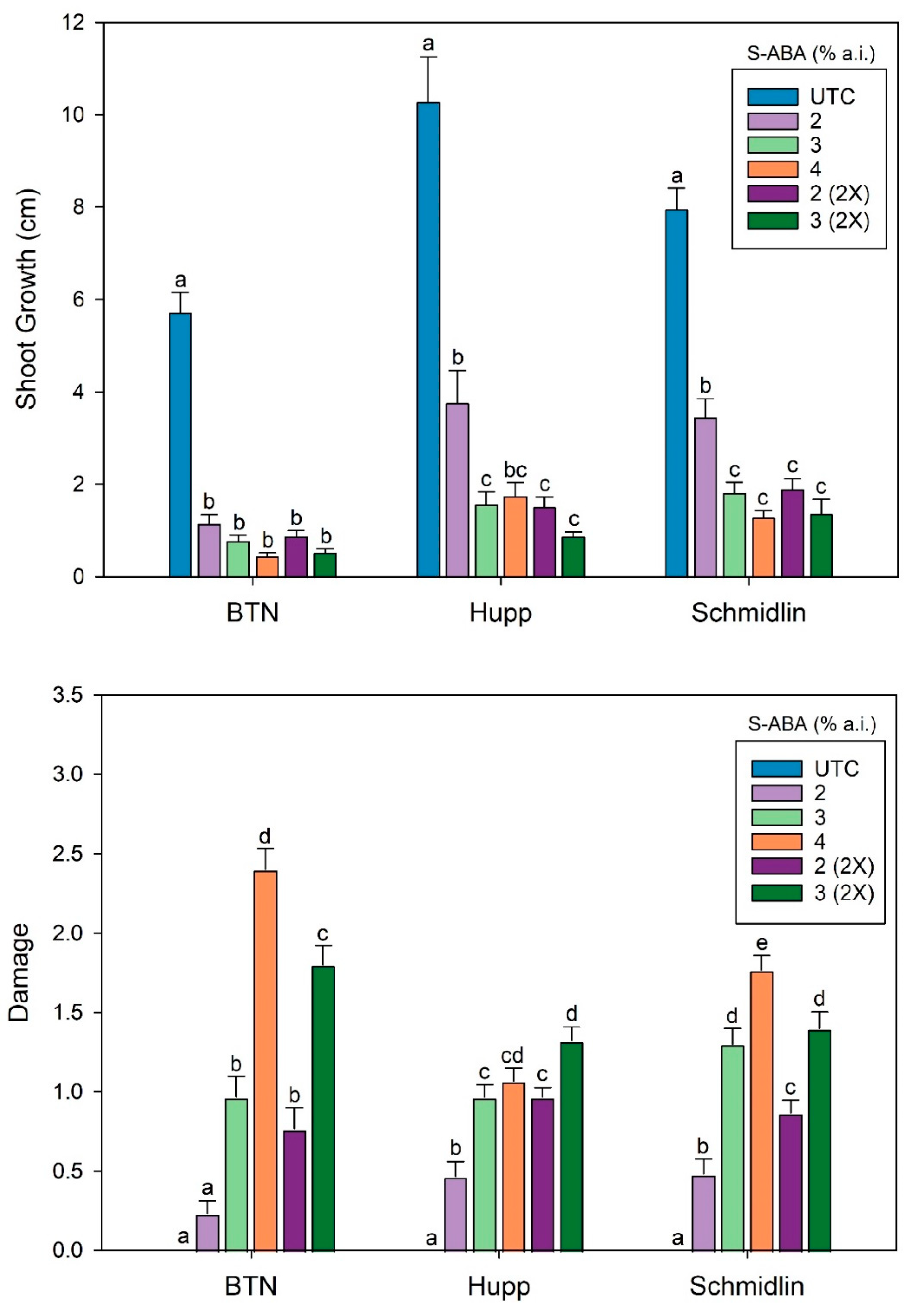
3.2. 2020 Trials: Effect of S-ABA as Single and Repeated Applications
Application of S-ABA in 2020 reduced the growth of noble fir trees compared to UTC trees at all three farms (Figure 6). The 3% a.i. rate of S-ABA provided effective leader control, based on a threshold of 4 cm or less shoot growth after treatment. Phytotoxicity increased with S-ABA rate and mean damage score at BTN indicated an unacceptable level of damage at 4% a.i. S-ABA. Repeating the 2–3% a.i rate application increased growth control at all farms and increased phytotoxicity.
Figure 6.
Mean shoot growth (top) and damage rating (bottom) of leaders of noble fir trees at three farms treated in 2020 with S-ABA applied once or as a repeated application (2×). S-ABA concentration is in % a.i. NOTE: Error bars indicate standard error of the mean. Means within a farm indicated by the same letter are not different at p = 0.05. Mean separation by Tukey’s HSD test. Damage rating (0 = no phytotoxicity; 4 = severe phytotoxic damage).
In the 2020 Turkish fir trials, S-ABA reduced shoot growth relative to UTC trees, and there was no difference (p > 0.05) in growth among the S-ABA rates or number of applications (Figure 7). Mean phytotoxicity rating increased with increasing S-ABA rate at all farms, and repeating the 2% a.i. rate application increased mean phytotoxicity score. However, none of the mean phytotoxicity scores exceeded the threshold for unacceptable damage (>2).
Figure 7.
Mean shoot growth (top) and damage rating (bottom) of leaders of Turkish fir trees at three farms treated in 2020 with S-ABA applied once or as a repeated application (2×). S-ABA concentration is in % a.i. NOTE: Error bars indicate standard error of the mean. Means within a farm indicated by the same letter are not different at p = 0.05. Mean separation by Tukey’s HSD test. Damage rating (0 = no phytotoxicity; 4 = severe phytotoxic damage).
4. Discussion
S-ABA has been shown to have a range of applications in horticultural crops, particularly in terms of improving drought tolerance [11,12] and enhancing fruit color [13]. To our knowledge, the current study is the first to examine the effect of S-ABA on leader growth in conifers. The key question in this series of experiments was to determine if there was a rate of S-ABA that provided acceptable shoot growth control with low potential leader damage. We defined acceptable growth to be less than 4 cm. This was a somewhat arbitrary selection yet easy to visualize and evaluate in production. Moreover, given that the product may be utilized across a range of sites, these data suggest that the 2–3% a.i. rate of S-ABA provides statistically significant shoot growth reduction while damage levels remain acceptable for both species. Noble fir appears to be more tolerant of higher (4–6% a.i.) rates generally than Turkish fir.
There was a wide range of potential leader growth across these sites as shown by the growth of the untreated trees. This variation in growth is typical and reflects the range of site factors across the region including rainfall, different genetic sources, soil types and nutrient management. Our study design focused only on the effects of S-ABA on growth of terminal leaders. Reductions in shoot growth of trees and other plants associated with S-ABA application can result in a shift of photosynthate resources to roots and potentially improve drought hardiness [13,14]. While determining these below-ground effects is beyond the scope of the current study, this is another potential benefit of S-ABA and worthy of future study, especially in the Pacific Northwest where summer droughts are increasing in frequency and severity.
The level of damage, whether acceptable or not, will vary among grower preference and harvest timing. We selected damage levels of ≤2 as acceptable, yet individual growers may decide that a damage level of 2 is unacceptable in harvest years, so they may scale back the a.i. rate. Damage levels of 3–4 would not be acceptable to most growers, and at both levels, there is potential bud damage which could impact growth and tree form in subsequent years. Weather conditions during the time of initial applications were typical for the region and likely did not contribute to any damage seen on leaders.
The use of surfactant did not provide a significant level of improvement in shoot growth control. A second application at the same rate 10 days apart appears to produce additional shoot reduction with some increase in damage. As long as the application rate stays between 2–3% a.i., a double application should be of little concern for growers.
5. Conclusions
Application of S-ABA can provide effective growth control in both noble and Turkish fir. Effective growth control dose varies by site and species and is a balance between achieving significant growth reduction along with minimal damage. At the 2–3% rate of S-ABA, Turkish fir exhibited a 79–86% reduction in shoot elongation across three sites and two years. Noble fir growth was reduced 67–83% across all sites in both years. For both species, the 2–3% rate showed low damage incidence in both years of the trial. Growers can expect to see 4 cm or less of leader growth following application of 2–3% a.i. S-ABA. We do not recommend the use of a surfactant as it did not improve growth control and could potentially introduce another variable when various surfactants are being used by growers.
This study could lead to a number of future research efforts including rate and timing trials on other conifer species, in-depth studies of repeated applications, and development of more precise application devices.
Author Contributions
C.L. was responsible for funding acquisition, plot development and methodology and original draft preparation. B.C. was responsible for data analysis and review. R.R. was responsible for review and presentation graphics. J.K. was responsible for data collection and curation, photos and figure preparation. Writing, review and editing—all authors. All authors have read and agreed to the published version of the manuscript.
Funding
This research was partially funded by Valent BioScience and the USDA Christmas Tree Promotion Board.
Informed Consent Statement
Not applicable.
Acknowledgments
The authors would like to thank the various growers who allowed and supported test plots on their property over the years of the study. Steen Sorenson in Denmark deserves thanks for his development of new leader control ideas along with Ulrik Nielson and Kenneth Klausen for leader control trials in Denmark.
Conflicts of Interest
The authors declare no conflict of interest. The funders had no role in the design of the study; in the collection, analyses, or interpretation of data; in the writing of the manuscript, or in the decision to publish the results.
References
- National Agricultural Statistical Service, USDA. Available online: https://www.nass.usda.gov/Statistics_by_State/Oregon/Publications/Horticulture/index.php (accessed on 23 August 2021).
- Veierskov, B.; Rasmussen, H.N.; Eriksen, B.; Hansen-Møller, J. Plagiotropism and auxin in Abies nordmanniana. Tree Physiol. 2007, 27, 149–153. [Google Scholar] [CrossRef] [PubMed][Green Version]
- Landgren, C. Developing Quality Christmas Trees in the Pacific Northwest; PNW 684; Oregon State University Extension: Corvallis, OR, USA, 2016. [Google Scholar]
- Rademacher, W. Plant growth regulators: Backgrounds and uses in plant production. J. Plant Growth Reg. 2015, 34, 845–872. [Google Scholar] [CrossRef]
- Bryan, J.A.; Seiler, J.R. Accelerating Fraser fir seedling growth with benzylaminopurine sprays. HortScience 1991, 26, 389–390. [Google Scholar] [CrossRef]
- Cazell, B.H.; Seiler, J.R. Intermittent Short Days and Chilling, and Benzylaminopurine Affect the Growth and Morphology of Fraser fir Seedlings. J. Environ. Hortic. 1992, 10, 205–207. [Google Scholar] [CrossRef]
- Duck, M.W.; Cregg, B.M.; Fernandez, R.T.; Heins, R.D.; Cardoso, F.F. Height Control of Picea spp. and Chamaecyparis lawsoniana with Uniconazole and 6-Benzyladenine. J. Environ. Hortic. 2004, 22, 165–169. [Google Scholar] [CrossRef]
- Little, C.H.A. Promoting bud development in balsam fir Christmas trees with 6-benzylaminopurine. Can. J. For. Res. 1984, 14, 447–451. [Google Scholar] [CrossRef]
- Nzokou, P.; Cregg, B.M.; O’Donnell, J. Field Note: Alternative leader control for Fraser fir and Korean fir Christmas trees. North J. Appl. For. 2008, 25, 52–54. [Google Scholar] [CrossRef][Green Version]
- Creelman, R.A. Abscisic acid physiology and biosynthesis in higher plants. Physiol. Plant. 1989, 75, 131–136. [Google Scholar] [CrossRef]
- Popko, J.; Hansh, R.; Mendek, R.; Polle, A.; Teichmann, T. The role of abscisic acid and auxin in the response of poplar to abiotic stress. Plant Biol. 2010, 12, 242–258. [Google Scholar] [CrossRef] [PubMed]
- Tworkoski, T.; Wisniewski, M.; Artlip, T. Application of BABA and s-ABA for drought resistance in apple. J. Appl. Hortic. 2011, 13, 85–90. [Google Scholar] [CrossRef]
- Creelman, R.A.; Mason, H.S.; Bensen, R.S.; Boyer, J.S.; Mullet, J.E. Water deficit and abscisic acid cause differential inhibition of shoot versus root growth in soybean seedling. Plant Physiol. 1990, 92, 205–214. [Google Scholar] [CrossRef] [PubMed]
- Zhang, J.; Jia, W.; Yan, J.; Ismail, A.M. Role of ABA in integrating plant responses to drought and salt stresses. Field Crops Res. 2006, 97, 111–119. [Google Scholar] [CrossRef]
Publisher’s Note: MDPI stays neutral with regard to jurisdictional claims in published maps and institutional affiliations. |
© 2022 by the authors. Licensee MDPI, Basel, Switzerland. This article is an open access article distributed under the terms and conditions of the Creative Commons Attribution (CC BY) license (https://creativecommons.org/licenses/by/4.0/).






