Experimental Approach Alters N and P Addition Effects on Leaf Traits and Growth Rate of Subtropical Schima superba (Reinw. ex Blume) Seedlings
Abstract
:1. Introduction
2. Materials and Methods
2.1. Experimental Design
2.1.1. Experiment 1 with a Field Approach
2.1.2. Experiment 2 with a Pot Approach
2.2. Measurements of Leaf Photosynthetic Parameters
2.3. Measurements of Leaf Other Traits
2.4. Data Analysis
3. Results
3.1. Leaf Photosynthetic Performance
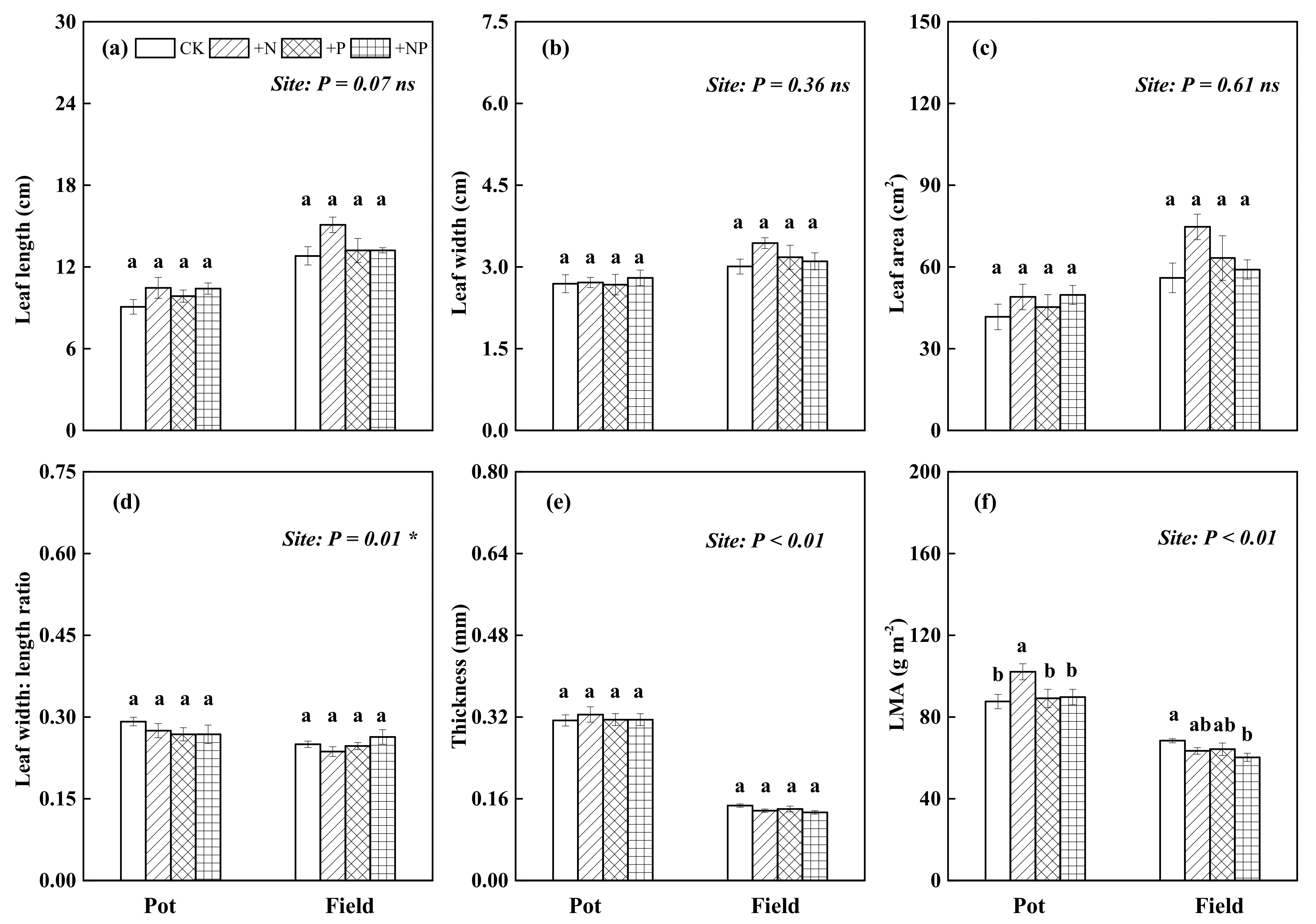
3.2. Leaf Morphological Traits
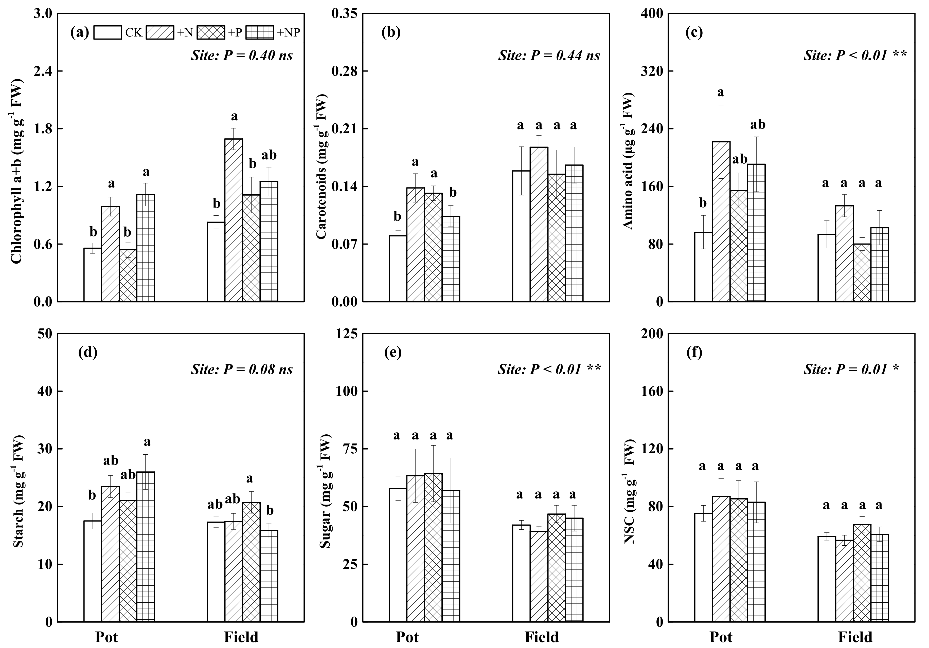
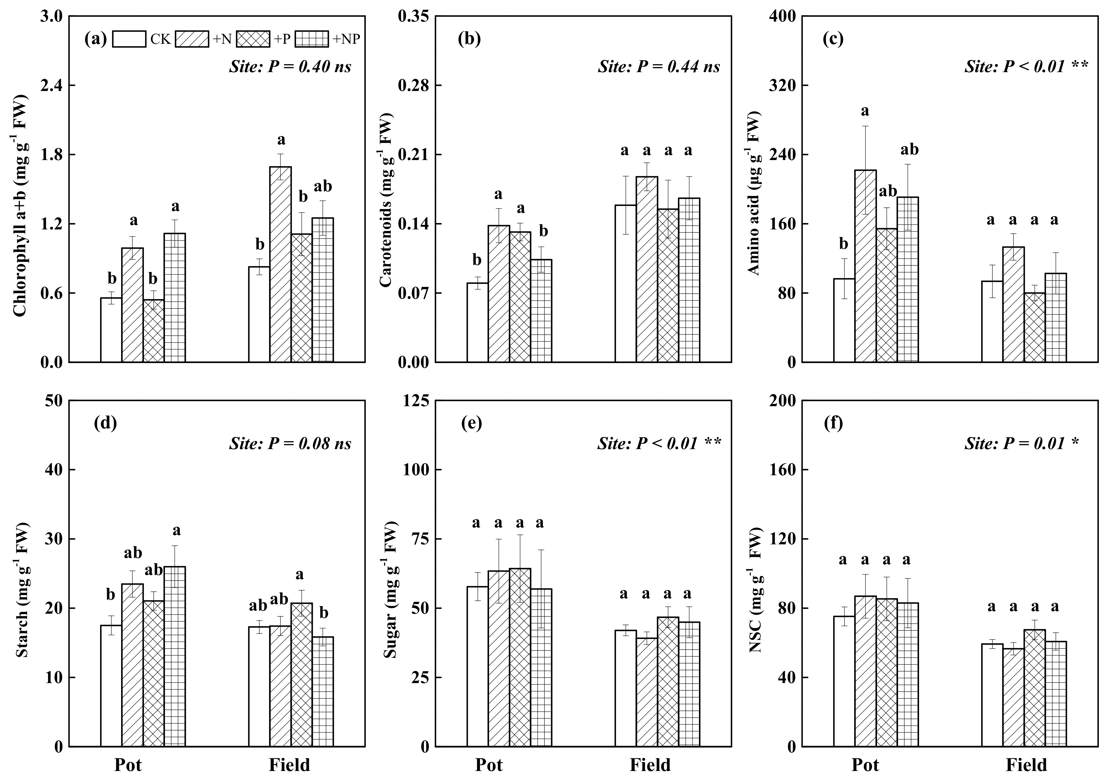
3.3. Leaf Biochemical Traits
3.4. Leaf Physiological Traits
3.5. Relationship between Leaf Traits and Seedling Growth
4. Discussion
4.1. N Addition Strongly Altered Leaf Traits and Limited Tree Growth Compared to P Addition
4.2. Experimental Approach Altered the Effect of Fertilization on Leaf Traits and Tree Growth
4.3. Relationships between Tree Growth and Leaf Traits Were Weaker in the Field Than in the Pot
5. Conclusions
Author Contributions
Funding
Acknowledgments
Conflicts of Interest
Appendix A
| RGR | Pmax | WUEi | Vcmax | Jmax | LSP | LCP | Length | Width | Area | W:L | Thickness | LMA | ||
| RGR | −0.36 | −0.04 | 0.30 | 0.10 | −0.12 | −0.35 | 0.10 | 0.31 | 0.22 | −0.03 | −0.10 | −0.31 | ||
| Pmax | 0.45 * | 0.47 | 0.34 | 0.28 | 0.59 * | 0.25 | 0.42 | 0.36 | 0.38 | −0.29 | −0.30 | −0.17 | ||
| WUEi | 0.15 | −0.05 | 0.01 | 0.02 | 0.32 | 0.18 | 0.54 | 0.32 | 0.42 | −0.50 | −0.30 | 0.05 | ||
| Vcmax | 0.46 * | 0.72 ** | 0.04 | 0.60 * | 0.37 | −0.24 | −0.02 | 0.26 | 0.09 | 0.09 | 0.18 | −0.10 | ||
| Jmax | 0.43 * | 0.80 ** | −0.02 | 0.95 ** | 0.46 | −0.11 | 0.29 | 0.33 | 0.29 | 0.17 | −0.14 | −0.35 | ||
| LSP | 0.18 | 0.22 | −0.16 | 0.04 | 0.09 | 0.41 | 0.48 | 0.66 * | 0.55 | −0.48 | 0.22 | −0.13 | ||
| LCP | −0.21 | −0.11 | −0.31 | −0.01 | −0.06 | 0.37 | −0.11 | −0.17 | −0.20 | −0.33 | −0.18 | 0.12 | ||
| Length | 0.43 * | −0.23 | −0.12 | 0.08 | 0.02 | 0.08 | −0.16 | 0.86 ** | 0.95 ** | −0.59 * | −0.23 | −0.34 | ||
| Width | 0.12 | −0.19 | 0.15 | −0.29 | −0.30 | 0.20 | −0.15 | 0.55 ** | 0.96 ** | −0.60 * | 0.09 | −0.34 | ||
| Area | 0.30 | −0.26 | −0.01 | −0.10 | −0.13 | 0.17 | −0.16 | 0.91 ** | 0.84 ** | −0.61 * | −0.06 | −0.34 | ||
| W:L | −0.18 | 0.10 | 0.44 * | −0.23 | −0.22 | 0.02 | −0.14 | −0.39 | 0.45 * | −0.03 | 0.06 | −0.34 | ||
| Thickness | 0.14 | 0.12 | −0.04 | −0.11 | 0.02 | 0.24 | 0.22 | 0.11 | 0.50 * | 0.33 | 0.46 * | 0.24 | ||
| LMA | 0.57 ** | 0.45 * | −0.18 | 0.37 | 0.40 | 0.38 | 0.42 * | 0.17 | 0.08 | 0.16 | −0.07 | 0.52 ** | ||
| TC | −0.21 | −0.46 * | −0.08 | −0.51 * | −0.51 * | −0.20 | 0.21 | −0.12 | 0.07 | −0.07 | −0.04 | 0.02 | −0.20 | |
| TN | 0.28 | 0.31 | −0.02 | 0.46 * | 0.39 | 0.40 | −0.20 | 0.26 | 0.10 | 0.22 | −0.12 | −0.24 | 0.02 | |
| TP | −0.27 | −0.34 | −0.36 | −0.52 * | −0.44 * | 0.06 | 0.28 | −0.22 | −0.41 * | −0.35 | −0.34 | −0.14 | −0.16 | |
| PNUE | 0.18 | 0.42 * | −0.02 | 0.04 | 0.14 | −0.15 | 0.10 | −0.34 | −0.10 | −0.30 | 0.21 | 0.33 | 0.41 * | |
| PPUE | 0.47 * | 0.84 * | 0.01 | 0.74 * | 0.77 * | 0.21 | −0.01 | −0.04 | 0.08 | 0.01 | 0.26 | 0.36 | 0.62 * | |
| C/N | −0.29 | −0.44 * | 0.15 | −0.57 * | −0.56 * | −0.37 | 0.09 | −0.21 | 0.05 | −0.13 | 0.20 | 0.18 | −0.08 | |
| C/P | 0.26 | 0.37 | 0.19 | 0.55 ** | 0.47 * | 0.09 | 0.05 | 0.18 | 0.41 * | 0.33 | 0.38 | 0.38 | 0.36 | |
| N/P | 0.34 | 0.43 * | 0.05 | 0.61 ** | 0.53 ** | 0.37 | −0.05 | 0.27 | 0.28 | 0.32 | 0.11 | 0.08 | 0.25 | |
| Chl a + b | 0.55 ** | 0.25 | −0.04 | 0.45 * | 0.37 | 0.27 | −0.19 | 0.33 | 0.10 | 0.26 | −0.12 | −0.11 | 0.20 | |
| Car | 0.18 | 0.25 | −0.39 | 0.20 | 0.26 | 0.48 * | 0.00 | 0.11 | −0.04 | 0.05 | −0.14 | 0.06 | 0.25 | |
| AAs | 0.31 | 0.24 | −0.20 | 0.35 | 0.34 | 0.35 | 0.34 | 0.07 | 0.02 | 0.06 | −0.06 | 0.26 | 0.55 ** | |
| Starch | 0.39 | 0.04 | −0.04 | 0.11 | −0.01 | 0.33 | 0.10 | 0.37 | 0.36 | 0.40 | 0.04 | −0.06 | 0.26 | |
| Sugar | 0.04 | −0.19 | −0.11 | 0.05 | −0.09 | −0.15 | 0.32 | 0.36 | 0.27 | 0.36 | −0.07 | 0.07 | 0.27 | |
| NSC | 0.12 | −0.17 | −0.11 | 0.07 | −0.09 | −0.08 | 0.32 | 0.42 * | 0.33 | 0.43 * | −0.06 | 0.05 | 0.31 | |
| TC | TN | TP | PNUE | PPUE | C/N | C/P | N/P | Chl a + b | Car | AA | Starch | Sugar | NSC | |
| RGR | −0.30 | −0.10 | −0.49 | −0.38 | −0.25 | 0.04 | 0.56 | 0.46 | 0.01 | −0.02 | −0.28 | 0.06 | −0.01 | 0.01 |
| Pmax | 0.02 | 0.09 | 0.22 | 0.94 ** | 0.90 ** | −0.12 | −0.30 | −0.23 | 0.10 | −0.21 | −0.06 | 0.14 | −0.17 | −0.09 |
| WUEi | 0.36 | 0.13 | −0.24 | 0.41 | 0.62 * | −0.14 | 0.17 | 0.22 | 0.10 | 0.12 | 0.03 | 0.14 | −0.02 | 0.03 |
| Vcmax | −0.22 | −0.33 | −0.40 | 0.39 | 0.43 | 0.32 | 0.35 | 0.14 | 0.09 | −0.06 | −0.34 | −0.08 | −0.49 | −0.43 |
| Jmax | 0.01 | 0.39 | −0.34 | 0.11 | 0.41 | −0.41 | 0.40 | 0.55 | 0.60 * | 0.14 | 0.20 | −0.11 | −0.11 | −0.13 |
| LSP | 0.03 | 0.02 | −0.27 | 0.50 | 0.66 * | −0.08 | 0.16 | 0.15 | 0.10 | −0.40 | −0.36 | 0.30 | −0.34 | −0.17 |
| LCP | 0.53 | 0.08 | 0.12 | 0.23 | 0.19 | −0.04 | −0.11 | −0.06 | −0.11 | −0.40 | −0.33 | −0.19 | −0.33 | −0.34 |
| Length | 0.08 | 0.41 | −0.28 | 0.22 | 0.58 * | −0.51 | 0.23 | 0.41 | 0.44 | 0.09 | 0.35 | 0.24 | −0.04 | 0.06 |
| Width | −0.15 | 0.10 | −0.44 | 0.23 | 0.52 | −0.22 | 0.34 | 0.37 | 0.34 | −0.06 | 0.02 | 0.39 | −0.21 | −0.03 |
| Area | −0.07 | 0.24 | −0.35 | 0.21 | 0.54 | −0.36 | 0.26 | 0.37 | 0.39 | 0.02 | 0.19 | 0.42 | −0.06 | 0.10 |
| W:L | −0.52 | 0.28 | 0.50 | −0.34 | −0.53 | −0.20 | −0.38 | −0.29 | 0.01 | 0.29 | 0.10 | −0.42 | 0.44 | 0.20 |
| Thickness | −0.34 | −0.50 | −0.18 | −0.18 | −0.26 | 0.48 | 0.02 | −0.23 | −0.31 | −0.06 | −0.35 | 0.15 | −0.22 | −0.12 |
| LMA | 0.55 | −0.68 * | −0.32 | 0.11 | 0.02 | 0.71 ** | 0.24 | −0.02 | −0.49 | −0.28 | −0.11 | 0.32 | −0.18 | −0.03 |
| TC | −0.03 | −0.39 | 0.08 | 0.28 | 0.08 | 0.41 | 0.45 | 0.21 | 0.05 | 0.28 | −0.14 | −0.39 | −0.37 | |
| TN | −0.41 * | 0.33 | −0.23 | −0.01 | −0.99 ** | −0.19 | 0.24 | 0.55 | 0.30 | 0.52 | −0.32 | 0.43 | 0.23 | |
| TP | 0.40 | −0.39 | 0.16 | −0.20 | −0.28 | −0.97 ** | −0.81 ** | −0.18 | −0.03 | 0.05 | −0.14 | 0.47 | 0.33 | |
| PNUE | 0.16 | −0.64 * | 0.07 | 0.86 ** | 0.21 | −0.26 | −0.33 | −0.09 | −0.28 | −0.18 | 0.21 | −0.27 | −0.15 | |
| PPUE | −0.50 * | 0.33 | −0.61 * | 0.30 | −0.04 | 0.10 | 0.13 | 0.24 | −0.12 | 0.05 | 0.20 | −0.34 | −0.21 | |
| C/N | 0.53 * | −0.87 ** | 0.30 | 0.58 ** | −0.44 * | 0.15 | −0.27 | −0.57 | −0.28 | −0.51 | 0.22 | −0.44 | −0.28 | |
| C/P | −0.34 | 0.37 | −0.89 ** | −0.05 | 0.73 ** | −0.36 | 0.90 ** | 0.23 | 0.05 | 0.03 | 0.02 | −0.38 | −0.30 | |
| N/P | −0.45 * | 0.86 ** | −0.68 ** | −0.45 * | 0.64 ** | −0.80 ** | 0.77 ** | 0.50 | 0.21 | 0.33 | −0.09 | −0.18 | −0.18 | |
| Chl a + b | −0.26 | 0.77 ** | −0.38 | −0.42 * | 0.40 | −0.67 ** | 0.41 * | 0.73 ** | 0.70 * | 0.66 * | −0.29 | −0.14 | −0.22 | |
| Car | −0.10 | 0.33 | 0.17 | −0.13 | 0.27 | −0.36 | −0.05 | 0.23 | 0.47 * | 0.68 * | −0.44 | 0.03 | −0.14 | |
| AA | −0.10 | 0.27 | −0.18 | −0.11 | 0.55 ** | −0.40 | 0.48 * | 0.50 * | 0.50 * | 0.44 * | −0.25 | 0.21 | 0.08 | |
| Starch | −0.08 | 0.49 * | −0.20 | −0.28 | 0.22 | −0.41 * | 0.31 | 0.54 ** | 0.47 * | 0.13 | 0.42 * | 0.36 | 0.66 * | |
| Sugar | 0.07 | −0.17 | −0.20 | 0.03 | −0.01 | 0.12 | 0.20 | −0.02 | −0.14 | −0.07 | −0.10 | 0.12 | 0.94 ** | |
| NSC | 0.05 | −0.06 | −0.23 | −0.03 | 0.04 | 0.03 | 0.25 | 0.09 | −0.03 | −0.04 | −0.01 | 0.33 | 0.98 ** |
References
- Pan, Y.; Birdsey, R.A.; Fang, J.Y.; Houghton, R.; Kauppi, P.E.; Kurz, W.A.; Phillips, O.L.; Shvidenko, A.; Lewis, S.L.; Canadell, J.G. A large and persistent carbon sink in the world’s forests. Science 2011, 333, 988–993. [Google Scholar] [CrossRef] [PubMed] [Green Version]
- Rogelj, J.; Meinshausen, M.; Knutti, R. Global warming under old and new scenarios using IPCC climate sensitivity range estimates. Nat. Clim. Chang. 2012, 2, 248–253. [Google Scholar] [CrossRef]
- Domke, G.M.; Oswalt, S.N.; Walters, B.F.; Morin, R.S. Tree planting has the potential to increase carbon sequestration capacity of forests in the United States. Proc. Natl. Acad. Sci. USA 2020, 117, 24649–24651. [Google Scholar] [CrossRef] [PubMed]
- Chen, F.S.; Niklas, K.J.; Liu, Y.; Fang, X.M.; Wan, S.Z.; Wang, H.M. Nitrogen and phosphorus additions alter nutrient dynamics but not resorption efficiencies of Chinese fir leaves and twigs differing in age. Tree Physiol. 2015, 35, 1106–1117. [Google Scholar] [CrossRef] [PubMed] [Green Version]
- Jiang, L.; Kou, L.; Li, S. Decomposition of leaf mixtures and absorptive-root mixtures synchronously changes with deposition of nitrogen and phosphorus. Soil Biol. Biochem. 2019, 138, 107602. [Google Scholar] [CrossRef]
- Bauer, G.A.; Bazzaz, F.A.; Minocha, R.; Long, S.; Magill, A.; Aber, J.; Berntson, G.M. Effects of chronic N additions on tissue chemistry, photosynthetic capacity, and carbon sequestration potential of a red pine (Pinus resinosa Ait.) stand in the NE United States. For. Ecol. Manag. 2004, 196, 173–186. [Google Scholar] [CrossRef]
- Jiang, J.; Wang, Y.P.; Liu, F.C.; Du, Y.; Zhuang, W.; Chang, Z.B.; Yu, M.X.; Yan, J.H. Antagonistic and additive interactions dominate the responses of belowground carbon-cycling processes to nitrogen and phosphorus additions. Soil Biol. Biochem. 2021, 156, 108216. [Google Scholar] [CrossRef]
- Mao, Q.G.; Lu, X.K.; Mo, H.; Gundersen, P.; Mo, J.M. Effects of simulated N deposition on foliar nutrient status, N metabolism and photosynthetic capacity of three dominant understory plant species in a mature tropical forest. Sci. Total Environ. 2018, 610, 555–562. [Google Scholar] [CrossRef]
- Valladares, F.; Chico, J.M.; Aranda, I.; Balaguer, L.; Dizengremel, P.; Manrique, E.; Dreyer, E. The greater seedling high-light tolerance of Quercus robur over Fagus sylvatica is linked to a greater physiological plasticity. Trees 2002, 16, 395–403. [Google Scholar] [CrossRef]
- Zhu, F.F.; Lu, X.K.; Mo, J.M. Phosphorus limitation on photosynthesis of two dominant understory species in a lowland tropical forest. J. Plant Ecol. 2014, 7, 526–534. [Google Scholar] [CrossRef] [Green Version]
- Bu, W.S.; Chen, F.S.; Wang, F.C.; Fang, X.M.; Mao, R.; Wang, H.M. The species-specific responses of nutrient resorption and carbohydrate accumulation in leaves and roots to nitrogen addition in a subtropical mixed plantation. Can. J. For. Res. 2019, 49, 826–835. [Google Scholar] [CrossRef]
- Lambers, H.; Martinoia, E.; Renton, M. Plant adaptations to severely phosphorus-impoverished soils. Curr. Opin. Plant Biol. 2015, 25, 23–31. [Google Scholar] [CrossRef] [PubMed] [Green Version]
- Marenco, R.A.; Camargo, M.A.B.; Antezana-vera, S.A.; Oliveira, M.F. Leaf trait plasticity in six forest tree species of central Amazonia. Photosynthetica 2017, 55, 679–688. [Google Scholar] [CrossRef]
- Vitousek, P.M.; Porder, S.; Houlton, B.Z.; Chadwick, O.A. Terrestrial phosphorus limitation: Mechanisms, implications, and nitrogen–phosphorus interactions. Ecol. Appl. 2010, 20, 5–15. [Google Scholar] [CrossRef] [Green Version]
- Turner, B.L.; Brenes-Arguedas, T.; Condit, R. Pervasive phosphorus limitation of tree species but not communities in tropical forests. Nature 2018, 555, 367–370. [Google Scholar] [CrossRef] [PubMed]
- Jiang, L.; Tian, D.; Ma, S.H.; Zhou, X.L.; Xu, L.C.; Zhu, J.X.; Jing, X.; Zheng, C.Y.; Shen, H.H.; Zhou, Z.; et al. The response of tree growth to nitrogen and phosphorus additions in a tropical montane rainforest. Sci. Total Environ. 2018, 618, 1064–1070. [Google Scholar] [CrossRef]
- Alvarez-Clare, S.; Mack, M.C. Do foliar, litter, and root nitrogen and phosphorus concentrations reflect nutrient limitation in a lowland tropical wet forest? PLoS ONE 2015, 10, e0123796. [Google Scholar] [CrossRef]
- Mao, Q.G.; Chen, H.; Gurmesa, G.A.; Gundersen, P.; Ellsworth, D.S.; Gilliam, F.S.; Wang, C.; Zhu, F.F.; Ye, Q.; Mo, J.M.; et al. Negative effects of long-term phosphorus additions on understory plants in a primary tropical forest. Sci. Total Environ. 2021, 798, 149306. [Google Scholar] [CrossRef] [PubMed]
- Gonzales, K.; Yanai, R. Nitrogen-phosphorous interactions in young northern hardwoods indicate P limitation: Foliar concentrations and resorption in a factorial N by P addition experiment. Oecologia 2019, 189, 829–840. [Google Scholar] [CrossRef] [PubMed]
- Wright, S.J.; Turner, B.L.; Yavitt, J.B.; Harms, K.E.; Kaspari, M.; Tanner, E.V.J.; Bujan, J.; Griffin, E.A.; Mayor, J.R.; Pasquini, S.C.; et al. Plant responses to fertilization experiments in lowland, species-rich, tropical forests. Ecology 2018, 99, 1129–1138. [Google Scholar] [CrossRef]
- Waring, B.G. A meta-analysis of climatic and chemical controls on leaf litter decay rates in tropical forests. Ecosystems 2012, 15, 999–1009. [Google Scholar] [CrossRef]
- Gundersen, P.; Emmett, B.A.; Kjonaas, O.J.; Koopmans, C.J.; Tietema, A. Impact of nitrogen deposition on nitrogen cycling in forests: A synthesis of NITREX data. For. Ecol. Manag. 1998, 101, 37–55. [Google Scholar] [CrossRef]
- Feng, Z.; Uddling, J.; Tang, H.; Zhu, J.; Kobayashi, K. Comparison of crop yield sensitivity to ozone between open-top chamber and free-air experiments. Glob. Chang. Biol. 2018, 24, 2231–2238. [Google Scholar] [CrossRef]
- Lu, X.K.; Vitousek, P.M.; Mao, Q.G.; Gilliam, F.S.; Luo, Y.Q.; Zhou, G.Y.; Zou, X.M.; Bai, E.; Scanlon, T.M.; Hou, E.Q.; et al. Plant acclimation to long-term high nitrogen deposition in an N-rich tropical forest. Proc. Natl. Acad. Sci. USA 2018, 115, 5187–5192. [Google Scholar] [CrossRef] [Green Version]
- Mo, Q.F.; Li, Z.A.; Sayer, E.J.; Lambers, H.; Li, Y.W.; Zou, B.; Tang, J.W.; Heskel, M.; Ding, Y.Z.; Wang, F.M. Foliar phosphorus fractions reveal how tropical plants maintain photosynthetic rates despite low soil phosphorus availability. Funct. Ecol. 2019, 33, 503–513. [Google Scholar] [CrossRef] [Green Version]
- Zhang, R.; Pan, H.; He, B.; Chen, H.; Zhou, Z. Nitrogen and phosphorus stoichiometry of Schima superba under nitrogen deposition. Sci. Rep. 2018, 8, 13669. [Google Scholar] [CrossRef]
- Zhang, Z.; Zhao, Y.; Zhang, X.; Tao, S.; Fang, X.; Lin, X.; Chi, Y.; Zhou, L.; Wu, C. The accumulated response of deciduous Liquidambar formosana Hance and evergreen Cyclobalanopsis glauca Thunb. seedlings to simulated nitrogen additions. Front. Plant Sci. 2019, 10, 1596. [Google Scholar] [CrossRef]
- Xu, X.; Yan, L.; Xia, J. A threefold difference in plant growth response to nitrogen addition between the laboratory and field experiments. Ecosphere 2019, 10, e02572. [Google Scholar] [CrossRef]
- Zhang, R.; Zhou, Z.; Luo, W.; Wang, Y.; Feng, Z. Effects of nitrogen deposition on growth and phosphate efficiency of Schima superba of different provenances grown in phosphorus-barren soil. Plant Soil 2013, 370, 435–445. [Google Scholar] [CrossRef]
- Gan, H.; Jiao, Y.; Jia, J.; Wang, X.; Li, H.; Shi, W.; Peng, C.; Polle, A.; Luo, Z.B.; Rennenberg, H. Phosphorus and nitrogen physiology of two contrasting poplar genotypes when exposed to phosphorus and/or nitrogen starvation. Tree Physiol. 2016, 36, 22–38. [Google Scholar] [CrossRef] [PubMed] [Green Version]
- Ye, Q.; Jin, Z.F.; Chen, F.S. Ecological research in Jiulianshan forests-thematic study on water, soil and climate. Nanchang Jiangxi Sci. Tech. Press 2019, 1, 3–9. [Google Scholar]
- Soto, D.P.; Jacobs, D.F.; Salas, C.; Donoso, P.J.; Fuentes, C.; Puettmann, K.J. Light and nitrogen interact to influence regeneration in old-growth Nothofagus-dominated forests in south-central Chile. For. Ecol. Manag. 2017, 384, 303–313. [Google Scholar] [CrossRef]
- Peng, Y.; Chen, H.Y.H.; Yang, Y.; Stevens, C. Global pattern and drivers of nitrogen saturation threshold of grassland productivity. Funct. Ecol. 2020, 34, 1979–1990. [Google Scholar] [CrossRef]
- Walker, A.P.; Beckerman, A.P.; Gu, L.; Kattge, J.; Cernusak, L.A.; Domingues, T.F.; Scales, J.C.; Wohlfahrt, G.; Wullschleger, S.D.; Woodward, F.I. The relationship of leaf photosynthetic traits—Vcmax and Jmax—to leaf nitrogen, leaf phosphorus, and specific leaf area: A meta-analysis and modeling study. Ecol. Evol. 2015, 4, 3218–3235. [Google Scholar] [CrossRef] [PubMed] [Green Version]
- Hikosaka, K.; Ishikawa, K.; Borjigidai, A.; Muller, O.; Onoda, Y. Temperature acclimation of photosynthesis: Mechanisms involved in the changes in temperature dependence of photosynthetic rate. J. Exp. Bot. 2006, 57, 291–302. [Google Scholar] [CrossRef] [PubMed] [Green Version]
- Farquhar, G.D.; von Caemmerer, S.V.; Berry, J.A. A biochemical model of photosynthetic CO2 assimilation in leaves of C3 species. Planta 1980, 149, 78–90. [Google Scholar] [CrossRef] [Green Version]
- Niinemets, U.; Cescatti, A.; Rodeghiero, M.; Tosens, T. Leaf internal diffusion conductance limits photosynthesis more strongly in older leaves of Mediterranean evergreen broad-leaved species. Plant Cell Environ. 2005, 28, 1552–1566. [Google Scholar] [CrossRef]
- Kuusk, V.; Niinemets, U.; Valladares, F. A major trade-off between structural and photosynthetic investments operative across plant and needle ages in three Mediterranean pines. Tree Physiol. 2018, 38, 543–557. [Google Scholar] [CrossRef] [Green Version]
- Lichtenthaler, H.K. Chlorophylls and carotenoids: Pigments of photosynthetic biomembranes. Methods Enzymol. 1987, 148, 350–382. [Google Scholar]
- Tian, D.; Li, P.; Fang, W.J.; Xu, J.; Luo, Y.K.; Yan, Z.B.; Zhu, B.; Wang, J.J.; Xu, X.N.; Fang, J.Y. Growth responses of trees and understory plants to nitrogen fertilization in a subtropical forest in China. Biogeosciences 2017, 14, 3461–3469. [Google Scholar] [CrossRef] [Green Version]
- Hou, E.Q.; Luo, Y.Q.; Kuang, Y.W.; Chen, C.R.; Lu, X.K.; Jiang, L.F.; Luo, X.Z.; Wen, D.Z. Global meta-analysis shows pervasive phosphorus limitation of aboveground plant production in natural terrestrial ecosystems. Nat. Commun. 2020, 11, 637. [Google Scholar] [CrossRef] [Green Version]
- Bucci, S.J.; Scholz, F.G.; Goldstein, G.; Meinzer, F.C.; Franco, A.C.; Campanello, P.I.; Villalobos-Vega, R.; Bustamante, M.; Miralles-Wilhelm, F. Nutrient availability constrains the hydraulic architecture and water relations of savannah trees. Plant Cell Environ. 2006, 29, 2153–2167. [Google Scholar] [CrossRef] [PubMed] [Green Version]
- Durand, M.; Brendel, O.; Bure, C.; Le Thiec, D. Changes in irradiance and vapour pressure deficit under drought induce distinct stomatal dynamics between glasshouse and field-grown poplars. New Phytol. 2020, 227, 392–406. [Google Scholar] [CrossRef]
- Rosas, T.; Mencuccini, M.; Barba, J.; Cochard, H.; Saura-Mas, S.; Martinez-Vilalta, J. Adjustments and coordination of hydraulic, leaf and stem traits along a water availability gradient. New Phytol. 2019, 223, 632–646. [Google Scholar] [CrossRef] [PubMed]
- Mo, Q.F.; Wang, W.J.; Chen, Y.Q.; Peng, Z.T.; Zhou, Q. Response of foliar functional traits to experimental N and P addition among overstory and understory species in a tropical secondary forest. Glob. Ecol. Conserv. 2020, 23, e01109. [Google Scholar] [CrossRef]
- Wang, F.C.; Chen, F.S.; Wang, G.G.; Mao, R.; Fang, X.M.; Wang, H.M.; Bu, W.S. Effects of experimental nitrogen addition on nutrients and nonstructural carbohydrates of dominant understory plants in a Chinese fir plantation. Forests 2019, 10, 155. [Google Scholar] [CrossRef] [Green Version]
- Bloomfield, K.J.; Domingues, T.F.; Saiz, G.; Bird, M.I.; Crayn, D.M.; Ford, A.; Metcalfe, D.J.; Farquhar, G.D.; Lloyd, J. Contrasting photosynthetic characteristics of forest vs. savanna species (far North Queensland, Australia). Biogeosci. Disc. 2014, 11, 8969–9011. [Google Scholar] [CrossRef] [Green Version]
- Wuerth, M.K.R.; Pelaez-Riedl, S.; Wright, S.J.; Koerner, C. Non-structural carbohydrate pools in a tropical forest. Oecologia 2005, 143, 11–24. [Google Scholar] [CrossRef]
- Godoy, O.; Valladares, F.; Castro-Díez, P. Multispecies comparison reveals that invasive and native plants differ in their traits but not in their plasticity. Funct. Ecol. 2011, 25, 1248–1259. [Google Scholar] [CrossRef] [Green Version]
- Matzek, V.; Vitousek, P.M. N: P stoichiometry and protein:RNA ratios in vascular plants: An evaluation of the growth-rate hypothesis. Ecol. Lett. 2009, 12, 765–771. [Google Scholar] [CrossRef]
- Sun, Y.; Wang, C.T.; Chen, H.Y.H.; Luo, X.S.; Qiu, N.W.; Ruan, H.H.; Waring, B.G. Asymmetric responses of terrestrial C:N:P stoichiometry to precipitation change. Glob. Ecol. Biogeogr. 2021, 30, 1724–1735. [Google Scholar] [CrossRef]
- Kardiman, R.; Raebild, A. Relationship between stomatal density, size and speed of opening in Sumatran rainforest species. Tree Physiol. 2017, 38, 696–705. [Google Scholar] [CrossRef] [PubMed]






| Leaf Traits | Fixed Variables Statistics (p-Values) | Model Statistics | |||
|---|---|---|---|---|---|
| N Addition | P Addition | Interaction | R2m | R2c | |
| Pmax | 0.0036 | 0.0618 | 0.1194 | 0.1138 | 0.7547 |
| WUEi | 0.9033 | 0.1439 | 0.8554 | 0.0360 | 0.4515 |
| Vcmax | <0.0001 | 0.0168 | 0.2443 | 0.2541 | 0.7015 |
| Jmax | <0.0001 | 0.0065 | 0.0403 | 0.2810 | 0.7395 |
| LSP | 0.1012 | 0.7244 | 0.0564 | 0.0231 | 0.8829 |
| LCP | 0.6180 | 0.8295 | 0.3300 | 0.0039 | 0.8923 |
| Length | 0.0785 | 0.5621 | 0.3996 | 0.0042 | 0.9666 |
| Width | 0.5848 | 0.8406 | 0.7979 | 0.0004 | 0.9701 |
| Area | 0.1822 | 0.6346 | 0.7232 | 0.0046 | 0.9282 |
| W:L | 0.5930 | 0.5141 | 0.2629 | 0.0398 | 0.3134 |
| Thickness | 0.6434 | 0.3313 | 0.3840 | 0.0036 | 0.9358 |
| LMA | 0.2299 | 0.1068 | 0.1348 | 0.0301 | 0.8409 |
| TC | 0.0082 | 0.4626 | 0.1165 | 0.0261 | 0.9182 |
| TN | <0.0001 | 0.0915 | 0.6351 | 0.5930 | 0.8877 |
| TP | 0.0011 | 0.0084 | 0.0939 | 0.2461 | 0.6373 |
| N/P | <0.0001 | 0.3230 | 0.8098 | 0.3593 | 0.7790 |
| PNUE | 0.0500 | 0.0081 | 0.5526 | 0.0904 | 0.7470 |
| PPUE | 0.0002 | 0.0067 | 0.0680 | 0.3421 | 0.6038 |
| Chla + b | <0.0001 | 0.9034 | 0.3704 | 0.3161 | 0.7143 |
| Carotenoids | 0.1473 | 0.9882 | 0.0076 | 0.1163 | 0.6069 |
| Starch | 0.0783 | 0.1472 | 0.4545 | 0.1152 | 0.3388 |
| Sugar | 0.8572 | 0.8128 | 0.5850 | 0.0090 | 0.1979 |
| NSC | 0.8518 | 0.6049 | 0.5036 | 0.0159 | 0.2738 |
| AA | 0.0147 | 0.9518 | 0.2013 | 0.1557 | 0.3499 |
| Variables | CK | +N | +P | +NP |
|---|---|---|---|---|
| Pot (RGR, mm yr−1) | 24.54 ± 3.24 b | 33.57 ± 2.50 a | 24.10 ± 1.56 b | 30.62 ± 3.38 ab |
| Field (RGR, mm yr−1) | 1.55 ± 0.18 a | 1.37 ± 0.44 a | 1.67 ± 0.45 a | 2.13 ± 0.69 a |
Publisher’s Note: MDPI stays neutral with regard to jurisdictional claims in published maps and institutional affiliations. |
© 2022 by the authors. Licensee MDPI, Basel, Switzerland. This article is an open access article distributed under the terms and conditions of the Creative Commons Attribution (CC BY) license (https://creativecommons.org/licenses/by/4.0/).
Share and Cite
Ye, X.; Wang, F.; Hu, X.; Lin, Y.; Sun, R.; Liang, X.; Chen, F. Experimental Approach Alters N and P Addition Effects on Leaf Traits and Growth Rate of Subtropical Schima superba (Reinw. ex Blume) Seedlings. Forests 2022, 13, 141. https://doi.org/10.3390/f13020141
Ye X, Wang F, Hu X, Lin Y, Sun R, Liang X, Chen F. Experimental Approach Alters N and P Addition Effects on Leaf Traits and Growth Rate of Subtropical Schima superba (Reinw. ex Blume) Seedlings. Forests. 2022; 13(2):141. https://doi.org/10.3390/f13020141
Chicago/Turabian StyleYe, Xuemin, Fangchao Wang, Xiaofei Hu, Yong Lin, Rongxi Sun, Xingyun Liang, and Fusheng Chen. 2022. "Experimental Approach Alters N and P Addition Effects on Leaf Traits and Growth Rate of Subtropical Schima superba (Reinw. ex Blume) Seedlings" Forests 13, no. 2: 141. https://doi.org/10.3390/f13020141
APA StyleYe, X., Wang, F., Hu, X., Lin, Y., Sun, R., Liang, X., & Chen, F. (2022). Experimental Approach Alters N and P Addition Effects on Leaf Traits and Growth Rate of Subtropical Schima superba (Reinw. ex Blume) Seedlings. Forests, 13(2), 141. https://doi.org/10.3390/f13020141

