Abstract
Anthropogenically induced environmental changes, such as the persistent loss of biodiversity and decline in global forest stocks, require comprehensive, societal change towards sustainable behavior. Education is considered the key to empowering sustainable decision-making, cooperative participation, high levels of commitment, and motivation to support environmental protection. Holistic Education for Sustainable Development (ESD) approaches aim to foster eco-friendly behavior by combining knowledge acquisition with the promotion of affective drivers. The present study focuses on monitoring the individual interplay between ecological knowledge and environmental values. We compared learning outcomes within two environments: a nature-based, out-of-school setting at a local forest (study 1) and a classroom setting (study 2). Overall, 444 German 7th grade students participated in learner-centered activities on the topic of the forest ecosystem under anthropogenic influences. Following a quasi-experimental study design, we monitored pro-environmental and anthropogenic values (Preservation and Utilization) and knowledge at three test times: before (T1), directly after (T1) and six weeks after (T2) participation in the learning program. Students in both treatments acquired short- and long-term environmental knowledge regardless of the learning environment but in neither case did the learning activities intervene with individual environmental values. However, Preservation showed a positive correlation with the mean knowledge scores in both studies, while for Utilization, this relationship was reversed. A comparison of extreme groups revealed that, in both treatment groups, students with high pro-environmental values and low anthropogenic values showed a significantly better performance than their counterparts. Our findings highlight the importance of monitoring pro-environmental values when preparing educational modules for student groups independent from the learning environment.
1. Introduction
Anthropogenic activities are the direct and indirect forces of global environmental change and biodiversity loss [1]. Human influence and modification of the natural environment have led to the endangerment of almost one million floral and faunal species and set the course to the sixth mass extinction [2]. Consequently, the current geological epoch is unofficially labelled the Anthropocene (e.g., [3]). Besides wetlands and coral reefs, forest ecosystems are among the greatest victims of human impact, causing their fragmentation and destruction [1]. Shaped by their slow-growing, location-bound trees, forests are not able to adapt fast enough to keep pace with changing climate conditions [4]. This has far reaching consequences for forest inhabiting species as well as for ecosystem functioning and services.
Given the mainly anthropogenic causes, a reduction of environmental threats, like forest degradation and deforestation, is highly dependent on a socio-ecological transformation towards a sustainable consumer behavior and interaction with nature [5]. As Schultz [6] puts it, “Achieving a sustainable lifestyle depends on establishing a balance between the consumption of individuals, and the capacity of the natural environment for renewal” (p. 61). Political measures such as prohibitions, taxes, or penalties alone are insufficient for creating commitment for sustainability and environmental protection [5]. Instead, education forms the foundation for developing intrinsic motivation, abilities, values, and knowledge required for establishing eco-friendly patterns and behaviors [7]. With the primary objective of cultivating environmental literacy and responsibility, environmental education (EE) and education for sustainable development (ESD) approaches strive to raise awareness for nature conservation issues and encourage environmentally friendly behavior [8]. Accordingly, appropriate education is seen an essential means for the emergence of a sustainable society [9].
The development of environmentally responsible behavior is of a rather complex relational structure of determinants. The present study focuses on two variables that are, amongst others, considered as important drivers for sustainable development: environmental knowledge and environmental values. Environmental knowledge is commonly attributed an essential role for behavioral development and a lack of knowledge is considered as a considerable obstacle to engagement in environmentally significant behavior (e.g., [10,11,12,13]). The latter has been labeled by Schultz [14] as the knowledge-deficit theory, which is substantiated by research findings on a variety of educational initiatives on the topic of recycling. In this model “knowledge does not provide a motive for behavior, but instead it is a lack of knowledge that is a barrier to behavior” ([14], p. 78). In consequence, an exposure to environmentally relevant information and a knowledge increase may eventually lead to behavioral change. With an interval of almost 10 years, Otto and Kaiser [15] investigated the effects of learning and maturation on self-reported ecofriendly behavior in two large German adult samples and identified environmental learning as the driving force for the development of pro-environmental behaviors. However, the influence of knowledge on behavioral pattern has been questioned because structural equation analyses show rather small predictive power of knowledge on environmental behavior (e.g., [11]). However, Kaiser and Fuhrer consider knowledge as “a necessary although not a sufficient condition for ecological behavior” ([13], p. 599). Accordingly, knowledge needs to be understood as an indirect predictor rather than a direct predictor of environmentally responsible behavior, which means that its effect is mediated by other associated variables. Contemporary environmental education research considers connectedness to nature and environmental values as direct drivers of ecological behavior [7,16]. Thus, investigating the relation between these mediating variables and environmental knowledge adds value to the research efforts on how to foster ecological behaviors.
A variety of studies have repeatedly investigated the relation between environmental content knowledge and environmental values within different educational scenarios (e.g., [17,18,19,20,21,22]). Most of these studies found positive correlations between pro-environmental values and knowledge while anthropocentric values were most often negatively correlated to knowledge. Additionally, two recent studies evaluated the effects of environmental values on knowledge via structural equation modeling approaches [23,24]. In both studies, pro-environmental values turned out as positive predictors while anthropocentric values negatively predicted knowledge. These results confirmed the assumptions that pro-environmental values support knowledge acquisition whereas predominant anthropocentric values are a particular hindrance for learning within environmental education modules. The relation between the two variables is, however, not completely understood since the expected linear relations were not always detectable, especially depending on the age group examined. For example, Liefländer and Bogner [19] reported no relation between pro-environmental values and knowledge within a sample of primary school students (mean age 9.8). In comparison, Fremerey and Bogner [25] reported no correlation between knowledge and anthropocentric values in a sample of secondary school students (mean age 11.7). Additionally, in our very recent study with primary school students, structural equation modeling showed overall higher impact of anthropocentric values in comparison to pro-environmental values [24]. Presumably, anthropocentric values dominate within younger aged cohorts but compared to adolescents, primary school students are also considered more approachable through education initiatives aiming to develop pro-environmental values [24,26,27]. Thus, it appears that further investigation of the relationship between the variables within different age groups, learning environments, and relevant topics is required.
For the present study, we evaluated knowledge acquisition and the relation between knowledge and environmental values by comparing two different learning approaches. The learning activities in both environments covered the same learning contents on the forest ecosystem and its threat through anthropogenic interventions and activities. Participants of treatment 1 took part in a learning module taking place in the formal classroom setting whereas students of treatment 2 took part in an outdoor learning module during a field trip to a domestic forest. Field trips, less frequently called school excursions or instructional trips, are defined as “school or class trip with an educational intent, in which students interact with the setting, displays, and exhibits to gain an experiential connection to the ideas, concepts, and subject matter” ([28], p. 236). Commonly visited venues are zoos, museums, aquaria or natural environments like nature parks, forests or lakes [29,30]. In view of the inconsistent use and definition of the term informal learning, we use the term out-of-school learning in its broader sense as an umbrella term for various learning experiences that occur outside the structured classroom environment and outdoor learning to refer to nature-based educational approaches [31].
Outdoor learning provides first-hand experiences and authentic learning opportunities within real-life scenarios [28]. It can, thus, significantly reinforce formal learning in the classroom by adding to classroom experiences and strengthening knowledge acquired in the classroom [28,32]. In their thorough literature review on the value of field trips for environmental learning, Behrendt and Franklin [28] have summarized the advantages of experiential learning in the outdoors on students cognitive and motivational skills and even future career choices. The sensory-based learning experiences during a field trip offers the opportunity for students to train or deepen their observation skills [33]. Through connecting cognition with sensory and emotional appeal, field trips can foster the human–nature relationship, raise students’ awareness for environmental issues [34] and arouse positive attitudes, motivation and interest in the subject matter [31]. Additionally, learning in nature-based settings has shown to have a positive impact on participants’ environmental attitudes and even on pro-environmental behaviors (e.g., [35]). In consequence, field trips to natural venues are considered as comprehensive environmental education approaches which simultaneously address cognitive and motivational abilities needed to increase awareness for environmental problems and foster pro-environmental attitudes and behavior [7].
Understanding the different variables that predict environmental behavior and investigating their relationship is of high relevance for environmental education research and practice. The following study contributes to current research by comparing the efficacy of two educational approaches: a classroom module (treatment 1) and a nature-based, outdoor learning program (treatment 2) on the topic of the forest ecosystem. We apply the following research questions:
- (1)
- To what extent does the participation in the learning programs affect students’ short- and long-term knowledge acquisition on the topic of the forest ecosystem?
- (2)
- How do students of treatment 1 (classroom group) differ from students of treatment 2 (out-of-school group) concerning their cognitive achievement?
- (3)
- How do students of treatment 1 differ from students of treatment 2 concerning their environmental values?
- (4)
- Can we confirm a positive relation between pro-environmental values (Preservation) and the expected knowledge acquisition as well as a negative relation between anthropocentric values (Utilization) and knowledge?
2. Materials and Methods
2.1. Content and Design of the Learning Program
The students participated in a 3-day environmental learning program on the forest ecosystem. The materials were designed for 5–6th grade students and were offered in two educational settings: a classroom (treatment 1) and an out-of-school environment (treatment 2). Both groups participated in the same educational program and were provided with the same content and learning materials but within different learning environments.
During the first part of day one, students in the out-of-school group made a study visit to a forest while participants of treatment 1 learned in the classroom setting. The learning contents for both groups were the same: basic ecological principles of the ecosystem and the layers of forests. In the afternoon, the participants in both treatments worked self-determined in small groups up to four and prepared short presentations on aspects of the following topics: the nutrient cycle of the forest ecosystem, trees and the seasons (“a year in the life of a tree”), how ozone or acid rain threatens local forests.
During the second and third project day, the small groups worked autonomously at learning stations. A workbook contained tasks and exercises and all necessary information and material was provided at the respective workstation. The learning material was highly diverse and included, among other things, information texts, interactive presentations on the computer, natural objects like a slice of a tree trunk or learning games like a crossword puzzle.
The program of the second project day comprised seven learning stations on the functional importance of forests and the need to protect them. At the three workstations, the students learned about basics of dendrochronology (annual rings on a tree as a symbol of growth and change), selected ecosystem services of forests (such as, the use of wood for paper production or the protective functions of our woods like the provision of clean air and water or the protection against landslides and avalanches) and the recreational value of the ecosystem. The latter included rules of behavior when visiting a local forest. Additionally, three learning stations included content on paper recycling, recycled paper products and related environmental labels as well as overall principles of separating recoverable materials.
On the third day, six further learning stations were related to the topic “forests as victims and rescuers in times of climate change”. The students learned about the causes and negative effects of global climate change, the greenhouse effect, the carbon footprint of food items, reasons and dimensions of deforestation and the role of forests in the global carbon cycle.
2.2. Participants and Data Collection
Please note that the implementation of the learning program and data collection took place already well before the COVID-19 pandemic, which disrupted and changed education thoroughly. Overall, our sample consisted of 444 students from 10 Bavarian schools (Southern Germany). Of these, 204 students (Mage ± SD = 12.71 ± 0.77, 35.3% female) participated in the classroom module (treatment 1) and 115 (Mage ± SD = 12.56 ± 0.81, 49.1% female) attended the out-of-school learning program at the National Park (treatment 2). Another 124 students formed (Mage ± SD = 12.53 ± 0.75, 41.9% female) a test–retest group that completed the questionnaires at all three test times without participating in one of the learning modules. Teachers enrolled their school classes and participation required parents’ or legal guardians’ written consent.
2.3. Procedure and Instruments
Our study design comprised a pre-, post- and retention questionnaire in a paper-and-pencil format. Both treatment groups completed the test three times: one to two weeks prior to participation (T0), directly after (T1) and six weeks after attendance to the learning module (T2). The surveys took approximately 20 min each and the pre- and post-tests were performed during regular school lessons in the classroom. At all test times, we monitored the two variables knowledge and environmental values. To avoid bias, we reordered the items randomly in the post-test and retention test.
To evaluate students’ knowledge scores, we applied an ad-hoc questionnaire consisting of 15 program-specific multiple-choice items. Each question was displayed with four response options of which only one was correct (item examples are displayed in Table 1). We used the following criteria to attain content validity of our knowledge scale: we specified content areas for the items (content of the learning stations), the questions were consistent with our specific learning goals as well as the state syllabus and the scale was evaluated by experts within the working group. Moreover, item difficulty indices pi showed a suitable range from easy to difficult with an average of 0.47 and all items lay between the preferred limits of 0.2 and 0.8 [36]. A Shapiro–Wilk test confirmed a normal distribution of the difficulty levels. We calculated Coefficient H to assess the internal consistency reliability of our knowledge questionnaire [37]. Except for T0, Coefficient H was acceptable (T0 = 0.69, T1 = 0.74, T2 = 0.75).
Table 1.
Item examples of the knowledge test with difficulty indices (correct answer in bold).
Environmental values were measured using the Two Major Environmental Values Model (2-MEV) with its two higher-order factors, Preservation and Utilization [38]. Preservation reflects the view that nature protection is predicated on ecocentric and altruistic principles. Nature is attributed an intrinsic value and its protection is of paramount importance when it comes to environmental ethical question. Utilization, on the other hand, represents anthropocentric views on the environment and the tendency to overuse nature’s services and resources. Ethical decisions are justified in terms of benefits for human well-being. The 2-MEV has been repeatedly confirmed by bi-national [39,40] and cross-validation studies [41] as well as by independent research groups (e.g., [42,43,44,45]). In the present study, we used a 16-item set with 8 items for each of the two dimensions (all items are displayed in Table 2.). The participants specified their level of agreement on a 5-point Likert scale ranging from “strongly agree” to “strongly disagree”. A principal component analysis confirmed the 2-factor-structure of the instrument. With a value of 0.83, the Kaiser–Meyer–Olkin measure was well above the accepted minimum of 0.5 [46] and the Bartlett’s test of sphericity was significant (p < 0.001). We considered only factors with eigenvalues ≥ 1. Both, the Kaiser–Guttman criterion and the scree-plot yielded empirical justification for retaining two factors. All items showed factor loadings above 0.3 (Table 2, Figure 1; [46]).
Table 2.
Factor loadings of the items to the two major environmental values Utilization (UTL) and Preservation (PRE).
Figure 1.
Component plot of the 2-MEV factor solution (see Table 1 for item wording).
2.4. Statistical Analysis
We used IBM SPSS 24 for all statistical analysis. Due to the non-normal distribution of our data, we applied procedures considered to be robust against violations of the normality assumption [47,48]. We conducted all analyses using the knowledge sum scores and the 2-MEV mean scores. We used repeated measure analyses of variance (rmANOVA) to determine knowledge differences between the three test times for both treatments. The Huynh–Feldt adjustment was used to correct violations of sphericity (significant Mauchly’s test). Post-hoc analyses were Bonferroni-adjusted. Potential differences between the two treatment groups concerning their knowledge scores at the three test times as well as their increase in knowledge (T1 minus T0) and retention rate (T2 minus T0) were determined using t-tests.
To determine the effects of the treatment on students’ knowledge and 2-MEV scores, we used a multivariate analysis of covariance (MANCOVA). We defined the treatment as fixed factor, the knowledge and 2-MEV scores of T1 and T2 as dependent variables and the pre-test scores as covariate. We analyzed the effects on knowledge and environmental values in two separate MANCOVAs.
To examine relations between knowledge and environmental values, we compared sub-samples scoring extremely high or low on Utilization or Preservation concerning their cognitive achievement. The groups were determined using a quartile split based on the 2-MEV mean scores at T0. We compared the bottom 25% (low scorers) and the upper 25% (high scorers) of each environmental value using t-tests.
3. Results
3.1. Knowledge Acquisition in Both Treatment Groups (RQ1)
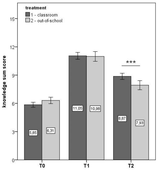
Within the treatment group 1, the repeated-measures ANOVA with Huynh–Feldt correction showed significant differences between the knowledge scores at the three test times, F(1.91, 386.91) = 468.90, p < 0.001, partial η2 = 0.70. The mean scores were MT0 ± SD = 5.85 ± 1.93; MT1 ± SD = 11.04; MT2 ± SD = 8.87 ± 2.35. The Bonferroni-adjusted post-hoc analysis revealed a significant increase of mean knowledge scores from T0 to T1 (MD = 5.20, p < 0.001) and a significant decrease between T1 and T2 (MD = −3.02, p < 0.001), but the retention score remained higher than the pre-test mean (MD = 2.18, p < 0.001).
The treatment group 2 showed the same knowledge score pattern. The rmANOVA with sphericity assumed showed a significant difference between the test times, F(2, 228) = 149.61, p < 0.001, partial η2 = 0.57. The mean scores were MT0 ± SD = 6.31 ± 1.83, MT1 ± SD = 10.98 ± 2.82 MT2 ± SD = 7.93 ± 2.62. The knowledge scores significantly increased between the pre- and post-test (MD = 4.67, p < 0.001) and decreased from post- to retention-test (MD = −3.05, p < 0.001). The knowledge retention scores were above the pre-test scores (MD = 1.62, p < 0.001).
Analysis of the test–retest group data revealed a significant knowledge score difference between the test times, F(2, 246) = 17.285, p < 0.001 partial η2 = 0.21. The mean scores were MT0 ± SD = 6.11 ± 2.14 MT1 ± SD = 6.40 ± 2.20, MT2 ± SD = 5.23 ± 2.12. The post-hoc analysis showed that the knowledge scores at T2 were significantly lower than the means at T0 (MD = −0.89, p < 0.001) and T1 (MD = −1.18, p < 0.001). Therefore, learning effects due to the repeated completion of the questionnaire are excluded. Further, unpaired t-test results showed no significant differences between the knowledge mean scores of the treatment groups and the test–retest sample at T0 (treatment 1 vs. test–retest: t(242.24) = 1.18, p = 0.230; treatment 2 vs. test–retest: t(237.31) = 0.75, p = 0.458). The differences at T1 and T2 were significantly different between the groups (treatment 1 vs. test–retest T1: t(297.68) = 17.38, p < 0.001; treatment 1 vs. test–retest T2: t(284.45) = 14.53, p < 0.001; treatment 2 vs. test–retest T1: t(213.20) = 14.01, p < 0.001; treatment 2 vs. test–retest T2: t(220.81) = 8.70, p < 0.001).
3.2. Effect of the Treatment on Participants’ Knowledge and Environmental Values (RQ2 and RQ3)
There was a statistically significant effect of the treatment on the combined dependent variables knowledge at T1 and T2 when controlling for the knowledge sum score at T0 (F(2, 313) = 7.12, p = 0.001, Wilks’ Λ = 0.96, partial η2 = 0.04). Post-hoc univariate ANOVAs were conducted for every dependent variable. Results show no statistically significant difference between the teaching methods at T1, F(1, 314) = 0.035, p = 0.82, but a significant difference at T2, F(1, 314) = 11.62, p = 0.001, partial η2 = 0.036, with an explained variance of 14% (Figure 2). The Tukey HSD post-hoc analysis revealed that the classroom group scored significantly higher than the out-of-school group (MDT2 = 0.94, 95%-CI [0.40, 1.49]).
Figure 2.
Knowledge sum scores at all test times for both treatment groups; error bars show 95% CI; *** p ≤ 0.001.
Concerning the effect of the treatment on environmental values, we found a statistically significant difference between the groups on the combined dependent variables Utilization and Preservation at T1 and T2 when controlling for the means at T0 (F(4, 280) = 3.40, p < 0.001, Wilks’ Λ = 0.95, partial η2 = 0.05). The post-hoc univariate ANOVAs results reveal no statistically significant difference between the treatments for Preservation and Utilization at T1, Preservation: F(1, 283) = 0.62, p = 0.43; Utilization: F(1, 0283) = 0.06, p = 0.80. At T2, the treatment showed an effect for Preservation (F(1, 283) = 9.87, p < 0.01 partial η2 = 0.034) with an explained variance of 37%, but there was no difference between the Utilization scores (F(1, 283) = 0.19, p = 0.66). The Tukey HSD post-hoc analysis revealed that at T2 the classroom group scored higher on Preservation than the out-of-school group (MD = 0.21, 95%-CI [0.08, 0.35]).
3.3. Relation between Environmental Values and Knowledge (RQ4)
The comparisons between the cognitive performance of participants with low or high environmental value scores were analyzed using t-tests (Figure 3). In the classroom group, students scoring high on preservation (n = 47) showed significantly higher knowledge scores at T1 and T2 than participants with low preservation scores (n = 52), T1: t(97) = 2.53, p < 0.05; T2: t(97) = 4.10, p < 0.001. The mean difference at T1 was 1.44 (95%-CI [0.31, 2.57]) and 1.66 (95%-CI [0.85, 2.46]) at T2. At test time T0, there was no significant difference between the groups, T0: t(97) = 0.92, p = 0.36. The same pattern was found between the preservation sub-samples of the out-of-school group. At T1 and T2, students with high preservation scores (n = 24) showed higher knowledge scores than the participants scoring low on preservation (n = 29), T1: t(51) = 2.47, p < 0.05; T2: t(51) = 2.87, p < 0.01. The mean differences were 1.93 (95%-CI [0.36, 3.54]) at T1 and 1.92 (95%-CI [0.58, 3.26]) at T2.

Figure 3.
Knowledge sum scores of both treatments classified after participants’ affiliation to the extreme groups (high or low Utilization or Preservation scores); error bars show 95% CI; * p ≤ 0.05, ** p ≤ 0.01; *** p ≤ 0.001.
At all test times, participants of the classroom group scoring low on Utilization (n = 51) showed significantly higher knowledge scores than participants with high Utilization scores (n = 61), T0: t(110) = 3.58, p = 0.001; T1: t(110) = 3.65, p < 0.001; T2: t(110) = 2.61, p = 0.01. The mean difference was 1.28 (95%-CI [0.57, 1.98]) at T0, 1.83 (95%-CI [0.83, 2.82]) at T1 and 1.09 (95%-CI [0.26, 1.92]) at T2. In the out-of-school group, only at T1 and T2, the sub-sample scoring low on Utilization (n = 24) showed significantly higher knowledge scores than the participants scoring high on Utilization (n = 29), T1: t(51) = 4.02, p < 0.001; T2: t(51) = 4.56, p < 0.001. There was no significant difference at T0, t(51) = 0.41, p = 0.69. The mean difference between the Utilization sub-samples was 3.13 (95%-CI [1.57, 4.69]) at T1 and 3.21 (95%-CI [1.79, 4.63]) at T2.
Additionally, we compared the cognitive performance of the participants of each treatment, who scored high on Preservation. We found no significant knowledge score differences between the sub-samples of the treatments, T0: t(74) = 1.89, p = 0.06; T1: t(74) = 0.86, p = 0.39; T2: t(74) = 1.20, p = 0.23. Additionally, we found no statistically significant differences between the students of both treatments scoring low on Utilization, T0: t(72) = 0.51, p = 0.61; T1: t(72) = 1.54, p = 0.13; T2: t(72) = 0.83, p = 0.41.
4. Discussion
The results of our study indicate that our environmental learning programs are effective in developing environmental knowledge on the forest ecosystem and anthropogenic impacts on the environment. Participants in the nature-based and the classroom module, showed substantial knowledge increase from pre- to post-test. Although the knowledge means in both treatments decreased slightly at the retention test, they remained well above the pre-test scores. This pattern of learning and retention is consistent with environmental education literature across diverse educational settings and learning approaches including different content areas. For example, Fančovičová and Prokop [49] examined learning outcomes of an out-of-school learning module on plants and report a moderate knowledge drop in the retention test. Similar results were found by Schumm and Bogner [50] within a student-centered, hands-on classroom approach dealing with the topic of energy consumption and renewable technologies. The same pattern was identified in a recent study on learning effects of a classroom-module covering the topic of the endangerment and conservation of biodiversity at the example of domestic forests [51]. Cognitive processes underlying learning and knowledge retention may be responsible for this common finding. What is remembered in the short-term must be transferred into long-term memory [52]. Information loss during this time-dependent process possibly leads to a divergence between short-term and retention knowledge.
Evaluating the effectiveness of different learning environments is challenging because numerous factors may influence learning even when participants are provided with identical contents. Although both groups had shown similar pre-knowledge levels, in contrast to our expectations the nature-based module has not shown its advantage compared to a classroom instruction and the classroom group marginally outperformed the out-of-school group in the retention test. This is quite in contrast to previous studies which often have demonstrated positive effects of out-of-school learning environments. However, studies comparing the learning success of different educational settings are usually not based on a comparable pre–post-retention-test design as long-term retention effects are not monitored. Just a few took care of such a more complex testing pattern such as Fančovičová and Prokop [49], who report that a field trip to a meadow led to an increase in participants attitudes and knowledge while the classroom control group showed no such effects. Accordingly, students participating in an out-of-school learning program on primate conservation showed overall higher knowledge as well as interest levels than the control group in the classroom [53]. Additionally, Sturm and Bogner [54] evaluated a learning module on birds and bird flight within two different learning environments. The in-school group showed less knowledge acquisition and retention than the group who participated in the same learning activities in a museum.
Nevertheless, there are also contrasting results: Raab and Bogner [20] compared a classroom and an out-of-school approach on the topic of microplastics and measured retention performance. The classroom group outperformed the out-of-school subsample in the retention test. They found no significant differences between the groups in the pre- and post-test. Comparable results were reported by Geier and Bogner [55], who evaluated a youth camp approach. The treatment group showed lower retention knowledge scores than the control group in the classroom.
Out-of-school experiences are considered beneficial for environmental learning [56] and are claimed to enhance long-term knowledge retention [57]. However, Rickinson et al. [57] have identified three key categories of factors which affect learning in nature-based environments: program factors, participant factors and place factors. Put briefly and simply, learning outcomes in nature-based experiences are dependent on the characteristics and design of the pedagogical approach, the prior experiences or knowledge, motivational or demographic characteristics of the learners and the location itself, particularly the degree of familiarity of the learners with the natural environment. Building on these interrelated assumptions, we derive potential reasons for our results.
One possible explanation is the so-called novel-field-trip phenomenon [58]. It refers to an effect which occurs in out-of-school contexts when learners encounter an educational setting that is fundamentally different to a classroom experience. Students are easily distracted by the unfamiliar surroundings and learning conditions outdoors and “will spend most of the time acquainting themselves, rather than concentrating on other learning” ([16], p. 30). In a recent study, Boeve-de Pauw, van Hoof and Van Petegem [16] investigated the effect of novelty on environmental learning during a school field trip and conclude that a high level of novelty can considerably interfere with learning. In our case, all participants certainly already had visited a forest before, but not necessarily for learning purposes. The forest as a nature-based educational setting did probably not develop its full potential benefits because the students were not familiar with learning in such out-of-school environments. The field trip combined with the cognitive learning activities could have overwhelmed the students and may have led to a situation in which they literally could not see the forest for the trees.
A further possible reason for our result refers to program factors. A recent review of research on nature-based education concludes that there is strong empirical evidence that nature-based instruction is more effective than traditional classroom instruction [59]. However, even in classroom settings, traditional teaching approaches based on teacher-centered direct instruction have also shown to fall behind student-centered, hands-on learning (e.g., [60,61]). Kuo et al. ([59], p. 5) claim that “the frequency of positive findings on nature-based instruction likely reflects the combination of a better pedagogy and a better educational setting”. To compare the different approaches in our study, we conducted the same, student-centered, and hands-on learning activities in the two different educational settings. Following the assumption made by Raab and Bogner [20], we assume that students’ cognitive performance resulted primarily from our pedagogical approach, and, in this case, the learning environment did not play a decisive role.
In both learning environments, the 3-day program was effective in achieving cognitive learning effects, but none of the groups showed a change in environmental values. However, the result is not unexpected since sustainably changing pro-environmental values through participation in a single learning module is a rather unrealistic ambition. Out-of-school approaches are generally considered to promote conservation values [59] but the success depends on the complex interrelation between the factors mentioned above for cognitive outcomes. In particular, heterogeneity of learning prerequisites of the participants, the content and duration of the learning program and the frequency of occupation with the natural environment seem to be decisive. Decreases in Utilization, i.e., anthropocentric values, have been reported even for 1-day programs, while Preservation scores did not change [62]. An effective and lasting change towards pro-environmental values is considered to require long-term learning modules (at least lasting several days) or students need to be repeatedly confronted with nature-based environmental learning [63].
Our results are in line with the literature and previous findings on the linear relationships between environmental values and knowledge. Students with high Preservation scores performed better in the post- and retention-test than those scoring lower on Preservation. Additionally, participants with low anthropocentric values obtained better knowledge results than their counterparts with high Utilization scores. Most studies focusing on secondary school students have consistently reported a positive linear relation between Preservation and content knowledge. This has been shown for classroom (e.g., [22,64]) and for out-of-school learning approaches (e.g., [18,25]). In our present study with secondary school students, we could again confirm the general assumption of a positive relation between Preservation and knowledge in both environments, in and out-of-school.
An exception to this current finding seems to apply especially for younger aged, primary school samples in out-of-school learning environments because studies monitoring this age cohort have repeatedly found no relation between Preservation and knowledge. Liefländer and Bogner [19] and Schneiderhan and Bogner [24] evaluated out-of-school learning programs on aquatic ecology and water supply addressing primary school samples. In both studies, Preservation was not related to knowledge scores measured after module participation. Schönfelder and Bogner [21] compared learning outcomes of authentic, out-of-school learning activities on bees with digital learning in the classroom. They found no relation between Preservation and knowledge in the younger-aged sample in the out-of-school environment (10–13 years old from primary and secondary schools). Additionally, Raab and Bogner [20] compared primary school students’ learning outcomes within a classroom and an out-of-school setting. The comparison of extreme groups revealed no relation between Preservation and knowledge in the outreach group. It has been previously assumed that these deviations from the general assumptions are possibly caused by participants’ age [27] and response bias, particularly social desirability bias [65]. Younger children tend to score higher on lie scales, i.e., they are more likely to give socially desirable answers which do not necessarily reflect their actual values. However, it seems also likely, that the above-mentioned circumstances such as the novelty effect and related distraction applies particularly to younger children. Other factors that influence cognitive learning might take center stage, while environmental values play a subordinate role.
However, a number of potential study limitations need to be considered when interpreting the results. First, one important shortfall lies in the recruitment of school classes through convenience sampling since students were not randomly selected for the study. A random selection of schools was invited, and teachers enrolled their classes for participation in the project. The procedure gives well-known advantages, but also creates potential bias. Second, the overall sample of 444 students is rather large but the findings from our accessible population are not representative of the target population, i.e., all German 7th grade students. Consequently, more studies comparing different age groups in different learning environments are needed to shed light on our assumptions.
5. Conclusions
Educational efforts are of vital importance for a development towards sustainability. Studies comparing the learning outcomes of nature-based vs. classroom approaches are infrequent but critical for making appropriate educational decisions. Both approaches in our study lead to significant cognitive learning outcomes, in and out of school. Most presumably, it was the pedagogical approach rather than the learning site that was decisive for students’ performance. Our results show for both educational sites that the content of the module was especially appealing for students with high pro-environmental values and participants with low anthropogenic attitudes and tendencies to exploit natural resources. These students benefitted the most from participating in the learning activities and outperformed their counterparts. The learning program did, thus, better address those participants already holding pro-environmental values.
From these main findings, we conclude for environmental program developers that modules should be prepared based on the particular learning requirements of the participants. A focus on conservation issues may better appeal to students with pro-environmental values while students with anthropocentric world views are left behind. The latter would rely on exceptional support because otherwise, the performance gap between the groups will steadily increase during the school career. Utilitarian perspectives should thus be addressed and critically questioned to prevent a steady increase of different levels of achievement. Due to the heterogeneity within school classes, it would be advisable to monitor the manifestation of environmental values in advance, to develop specific learning activities that meet the needs of the target audience. It must be noted that the reasons for differences in students’ performance are manifold and are presumably linked to resource allocations. Children who are most in need are all too often left behind, and the result is a widening of the achievement gap. Although we agree that education is and will continue to be one of the primary means to create social equity, we think that this serious issue is rather too complex and is beyond the scope of this manuscript. We could not do justice to the seriousness of this issue in current education systems because it is multifaceted and highly country specific.
The novelty of nature-based learning environments might interfere with the participants’ cognitive performance and recall ability. One way to increase the output and to foster familiarity with out-of-school learning is to carry out field trips more frequently. This is desirable but rather difficult to implement in school practice where teachers usually and increasingly face serious time pressure. In contrast to classroom approaches, it appears reasonable to reduce the learning content at out-of-school sites to give learners the opportunity to become acquainted with the environment and to become able to see the forest for the trees.
Author Contributions
Conceptualization, J.S.-O.; methodology, J.S.-O.; software, F.X.B.; validation, J.S.-O. and F.X.B.; formal analysis, J.S.-O.; investigation, J.S.-O.; resources, F.X.B.; data curation, F.X.B.; writing—original draft preparation, J.S.-O.; writing—review and editing, F.X.B.; visualization, J.S.-O.; supervision, F.X.B.; funding acquisition, F.X.B. All authors have read and agreed to the published version of the manuscript.
Funding
This research was funded by the German Federal Ministry of Education and Research (BMBF) within the programs “Qualitätsoffensive Lehrerbildung” (under grant agreement no. 01JA160) and by the “MINT-Lehramt PLUS” program of the “Elitenetzwerk Bayern” (ENB) under grant agreement no. S-NW-2015-316. The APC was funded by the German Research Foundation (DFG) and the University of Bayreuth in the funding program Open Access Publishing under grant agreement no. LA 2159/8-6.
Institutional Review Board Statement
The study was conducted in accordance with the Declaration of Helsinki and the protocol was approved by the Ethics Committee of the Bavarian State Ministry for Education and Cultural Affairs (BayStMUK).
Informed Consent Statement
Informed consent was obtained from all parents or legal guardians of the participants involved in the study.
Data Availability Statement
The data presented in this study are available on request from Didaktik-Biologie@uni-bayreuth.de, Department of Biology Education, University of Bayreuth. The data are not publicly available due to the protection of participants’ privacy.
Acknowledgments
The authors would like to thank all participating students and their teachers for their time and effort. We are grateful to A. Kossack for developing the learning activities and collecting the data.
Conflicts of Interest
The authors declare no conflict of interest. The funders had no role in the design of the study, in the collection, analyses, or interpretation of data, in the writing of the manuscript, or in the decision to publish the results.
References
- Intergovernmental Science-Policy Platform on Biodiversity and Ecosystem Services, IPBES. Summary for Policymakers of the Global Assessment Report on Biodiversity and Ecosystem Services. 2019. Available online: https://zenodo.org/record/3553579/files/ipbes_global_assessment_report_summary_for_policymakers.pdf (accessed on 6 July 2021).
- Ceballos, G.; Ehrlich, P.R.; Sills, J. The misunderstood sixth mass extinction. Science 2018, 360, 1080–1081. [Google Scholar] [CrossRef]
- Waters, C.N.; Zalasiewicz, J.; Summerhayes, C.; Barnosky, A.D.; Poirier, C.; Gałuszka, A.; Cearreta, A.; Edgeworth, M.; Ellis, E.C.; Ellis, M.; et al. The Anthropocene is functionally and stratigraphically distinct from the Holocene. Science 2016, 351, aad2622. [Google Scholar] [CrossRef] [PubMed]
- Thom, D.; Rammer, W.; Seidl, R. Disturbances catalyze the adaptation of forest ecosystems to changing climate conditions. Glob. Chang. Biol. 2017, 23, 269–282. [Google Scholar] [CrossRef] [PubMed] [Green Version]
- Ehrlich, P.R.; Pringle, R.M. Where does biodiversity go from here? A grim business-as-usual forecast and a hopeful portfolio of partial solutions. Proc. Natl. Acad. Sci. USA 2008, 105, 11579–11586. [Google Scholar] [CrossRef] [PubMed] [Green Version]
- Schultz, P.W. Inclusion with Nature: The Psychology of Human-Nature Relations. In Psychology of Sustainable Development; Springer: Boston, MA, USA, 2002; pp. 61–78. [Google Scholar]
- Otto, S.; Pensini, P. Nature-based environmental education of children: Environmental knowledge and connectedness to nature, together, are related to ecological behaviour. Glob. Environ. Chang. 2017, 47, 88–94. [Google Scholar] [CrossRef]
- Farmer, J.; Knapp, D.; Benton, G.M. An Elementary School Environmental Education Field Trip: Long-Term Effects on Ecological and Environmental Knowledge and Attitude Development. J. Environ. Educ. 2007, 38, 33–42. [Google Scholar] [CrossRef]
- Hauff, M.; von Kuhnke, C. (Eds.) Sustainable Development Policy: A European Perspective; Routledge: London, UK, 2017. [Google Scholar]
- Bord, R.J.; O’Connor, R.E.; Fisher, A. In what sense does the public need to understand global climate change? Public Underst. Sci. 2000, 9, 205–218. [Google Scholar] [CrossRef]
- Frick, J.; Kaiser, F.G.; Wilson, M. Environmental knowledge and conservation behavior: Exploring prevalence and structure in a representative sample. Personal. Individ. Differ. 2004, 37, 1597–1613. [Google Scholar] [CrossRef]
- Gifford, R. The dragons of inaction: Psychological barriers that limit climate change mitigation and adaptation. Am. Psychol. 2011, 66, 290–302. [Google Scholar] [CrossRef]
- Kaiser, F.G.; Fuhrer, U. Ecological Behavior’s Dependency on Different Forms of Knowledge. Appl. Psychol. 2003, 52, 598–613. [Google Scholar] [CrossRef]
- Schultz, P.W. Knowledge, Information, and Household Recycling: Examining the Knowledge-Deficit Model of Behavior Change; National Academy Press: Washington, DC, USA, 2002; ISBN 0-309-50118-0. [Google Scholar]
- Otto, S.; Kaiser, F.G. Ecological behavior across the lifespan: Why environmentalism increases as people grow older. J. Environ. Psychol. 2014, 40, 331–338. [Google Scholar] [CrossRef]
- Boeve-de Pauw, J.; van Hoof, J.; van Petegem, P. Effective field trips in nature: The interplay between novelty and learning. J. Biol. Educ. 2019, 53, 21–33. [Google Scholar] [CrossRef]
- Boeve-de Pauw, J.; van Petegem, P. The Effect of Flemish Eco-Schools on Student Environmental Knowledge, Attitudes, and Affect. Int. J. Sci. Educ. 2011, 33, 1513–1538. [Google Scholar] [CrossRef]
- Dieser, O.; Bogner, F.X. How individual environmental values influence knowledge acquisition of adolescents within a week-long outreach biodiversity module. J. Glob. Res. Educ. Soc. Sci. 2017, 9, 213–224. [Google Scholar]
- Liefländer, A.K.; Bogner, F.X. Educational impact on the relationship of environmental knowledge and attitudes. Environ. Educ. Res. 2016, 24, 611–624. [Google Scholar] [CrossRef]
- Raab, P.; Bogner, F.X. Knowledge Acquisition and Environmental Values in a Microplastic Learning Module: Does the Learning Environment Matter? Stud. Educ. Eval. 2021; accepted. [Google Scholar]
- Schönfelder, M.L.; Bogner, F.X. Two ways of acquiring environmental knowledge: By encountering living animals at a beehive and by observing bees via digital tools. Int. J. Sci. Educ. 2017, 39, 723–741. [Google Scholar] [CrossRef]
- Schumm, M.F.; Bogner, F.X. How Environmental Attitudes Interact with Cognitive Learning in a Science Lesson Module. Educ. Res. Int. 2016, 2016, 1–7. [Google Scholar] [CrossRef] [Green Version]
- Baierl, T.-M.; Johnson, B.; Bogner, F.X. Assessing Environmental Attitudes and Cognitive Achievement within 9 Years of Informal Earth Education. Sustainability 2021, 13, 3622. [Google Scholar] [CrossRef]
- Schneiderhan-Opel, J.; Bogner, F.X. The Effect of Environmental Values on German Primary School Students’ Knowledge on Water Supply. Water 2021, 13, 702. [Google Scholar] [CrossRef]
- Fremerey, C.; Bogner, F.X. Cognitive learning in authentic environments in relation to green attitude preferences. Stud. Educ. Eval. 2015, 44, 9–15. [Google Scholar] [CrossRef]
- Herrmann, P.; Waxman, S.R.; Medin, D.L. Anthropocentrism is not the first step in children’s reasoning about the natural world. Proc. Natl. Acad. Sci. USA 2010, 107, 9979–9984. [Google Scholar] [CrossRef] [PubMed] [Green Version]
- Liefländer, A.K.; Bogner, F.X. The Effects of Children’s Age and Sex on Acquiring Pro-Environmental Attitudes through Environmental Education. J. Environ. Educ. 2014, 45, 105–117. [Google Scholar] [CrossRef]
- Behrendt, M.; Franklin, T. A review of research on school field trips and their value in education. Int. J. Environ. Sci. Educ. 2014, 9, 235–245. [Google Scholar]
- Kola-Olusanya, A. Free-choice environmental education: Understanding where children learn outside of school. Environ. Educ. Res. 2005, 11, 297–307. [Google Scholar] [CrossRef]
- Morag, O.; Tal, T. Assessing Learning in the Outdoors with the Field Trip in Natural Environments (FiNE) Framework. Int. J. Sci. Educ. 2012, 34, 745–777. [Google Scholar] [CrossRef]
- Tal, T.; Morag, O. Reflective Practice as a Means for Preparing to Teach Outdoors in an Ecological Garden. J. Sci. Teach. Educ. 2009, 20, 245–262. [Google Scholar] [CrossRef]
- Dillon, J.; Rickinson, M.; Teamey, K.; Morris, M.; Choi, M.Y.; Sanders, D.; Benefield, P. The value of outdoor learning: Evidence from research in the UK and elsewhere. Sch. Sci. Rev. 2006, 87, 107. [Google Scholar]
- Nabors, M.L.; Edwards, L.C.; Murray, R.K. Making the case for field trips: What research tells us and what site coordinators have to say. Education 2009, 129, 661–667. [Google Scholar]
- Palmberg, I.E.; Kuru, J. Outdoor Activities as a Basis for Environmental Responsibility. J. Environ. Educ. 2000, 31, 32–36. [Google Scholar] [CrossRef]
- Ballantyne, R.; Packer, J. Nature-based Excursions: School Students’ Perceptions of Learning in Natural Environments. Int. Res. Geogr. Environ. Educ. 2002, 11, 218–236. [Google Scholar] [CrossRef]
- Bortz, J.; Döring, N. Forschungsmethoden und Evaluation: Für Human- und Sozialwissenschaftler; Springer: Berlin/Heidelberg, Germany, 2006; ISBN 9783540333050. [Google Scholar]
- McNeish, D. Thanks coefficient alpha, we’ll take it from here. Psychol. Methods 2018, 23, 412–433. [Google Scholar] [CrossRef]
- Bogner, F.X.; Wiseman, M. Toward Measuring Adolescent Environmental Perception. Eur. Psychol. 1999, 4, 139–151. [Google Scholar] [CrossRef]
- Bogner, F.X.; Wiseman, M. Environmental Perspectives of Danish and Bavarian Pupils: Towards a methodological framework. Scand. J. Educ. Res. 1997, 41, 53–71. [Google Scholar] [CrossRef]
- Nyberg, E.; Castéra, J.; Ewen, B.M.; Gericke, N.; Clément, P. Teachers’ and Student Teachers’ Attitudes Towards Nature and the Environment—A Comparative Study Between Sweden and France. Scand. J. Educ. Res. 2020, 64, 1090–1104. [Google Scholar] [CrossRef] [Green Version]
- Wiseman, M.; Wilson, G.; Bogner, F.X. Environmental values and authoritarianism. Psychol. Res. 2012, 2, 25–31. [Google Scholar]
- Borchers, C.; Boesch, C.; Riedel, J.; Guilahoux, H.; Ouattara, D.; Randler, C. Environmental Education in Côte d’Ivoire/West Africa: Extra-Curricular Primary School Teaching Shows Positive Impact on Environmental Knowledge and Attitudes. Int. J. Sci. Educ. Part B 2014, 4, 240–259. [Google Scholar] [CrossRef]
- Braun, T.; Cottrell, R.; Dierkes, P. Fostering changes in attitude, knowledge and behavior: Demographic variation in environmental education effects. Environ. Educ. Res. 2018, 24, 899–920. [Google Scholar] [CrossRef]
- Johnson, B.; Manoli, C.C. The 2-MEV scale in the United States: A measure of children’s environmental attitudes based on the theory of ecological attitude. J. Environ. Educ. 2010, 42, 84–97. [Google Scholar] [CrossRef]
- Regmi, S.; Johnson, B.; Dahal, B.M. Analysing the Environmental Values and Attitudes of Rural Nepalese Children by Validating the 2-MEV Model. Sustainability 2020, 12, 164. [Google Scholar] [CrossRef] [Green Version]
- Field, A. Discovering Statistics Using SPSS, 3rd ed.; SAGE Publications, Inc.: London, UK, 2009; ISBN 9781847879066. [Google Scholar]
- Finch, H. Comparison of the Performance of Nonparametric and Parametric MANOVA Test Statistics when Assumptions Are Violated. Methodology 2005, 1, 27–38. [Google Scholar] [CrossRef]
- Wilcox, R. (Ed.) Introduction to Robust Estimation and Hypothesis Testing, 3rd ed.; Elsevier/Academic Press: Amsterdam, The Netherlands, 2012; ISBN 9780123869838. [Google Scholar]
- Fančovičová, J.; Prokop, P. Plants have a chance: Outdoor educational programmes alter students’ knowledge and attitudes towards plants. Environ. Educ. Res. 2011, 17, 537–551. [Google Scholar] [CrossRef]
- Schumm, M.F.; Bogner, F.X. The impact of science motivation on cognitive achievement within a 3-lesson unit about renewable energies. Stud. Educ. Eval. 2016, 50, 14–21. [Google Scholar] [CrossRef]
- Schneiderhan-Opel, J.; Bogner, F.X. The Relation between Knowledge Acquisition and Environmental Values within the Scope of a Biodiversity Learning Module. Sustainability 2020, 12, 2036. [Google Scholar] [CrossRef] [Green Version]
- Birbaumer, N.; Schmidt, R.F. Lernen und Gedächtnis. In Biologische Psychologie; Birbaumer, N., Schmidt, R.F., Eds.; Springer: Heidelberg, Germany, 2006; pp. 593–638. ISBN 3-540-25460-9. [Google Scholar]
- Seybold, B.; Braunbeck, T.; Randler, C. Primate conservation—An evaluation of two different educational programs in Germany. Int. J. Sci. Math. Educ. 2014, 12, 285–305. [Google Scholar] [CrossRef]
- Sturm, H.; Bogner, F.X. Learning at workstations in two different environments: A museum and a classroom. Stud. Educ. Eval. 2010, 36, 14–19. [Google Scholar] [CrossRef]
- Geier, C.S.; Bogner, F.X. Student-centred anti-smoking education: Comparing a classroom-based and an out-of-school setting. Learn. Env. Res 2010, 13, 147–157. [Google Scholar] [CrossRef]
- Cotton, D.R.E. Field biology experiences of undergraduate students: The impact of novelty space. J. Biol. Educ. 2009, 43, 169–174. [Google Scholar] [CrossRef]
- Rickinson, M.; Dillon, J.; Teamey, K.; Morris, M.; Choi, M.Y.; Sanders, D.; Benefield, P. A Review of Research on Outdoor Learning; Field Studies Council: Shropshire, UK, 2004; ISBN 1 85153 893 3. [Google Scholar]
- Falk, J.H.; Martin, W.W.; Balling, J.D. The novel field-trip phenomenon: Adjustment to novel settings interferes with task learning. J. Res. Sci. Teach. 1978, 15, 127–134. [Google Scholar] [CrossRef]
- Kuo, M.; Barnes, M.; Jordan, C. Do Experiences With Nature Promote Learning? Converging Evidence of a Cause-and-Effect Relationship. Front. Psychol. 2019, 10, 305. [Google Scholar] [CrossRef] [Green Version]
- Freeman, S.; Eddy, S.L.; McDonough, M.; Smith, M.K.; Okoroafor, N.; Jordt, H.; Wenderoth, M.P. Active learning increases student performance in science, engineering, and mathematics. Proc. Natl. Acad. Sci. USA 2014, 111, 8410–8415. [Google Scholar] [CrossRef] [PubMed] [Green Version]
- Granger, E.M.; Bevis, T.H.; Saka, Y.; Southerland, S.A.; Sampson, V.; Tate, R.L. The efficacy of student-centered instruction in supporting science learning. Science 2012, 338, 105–108. [Google Scholar] [CrossRef] [PubMed] [Green Version]
- Sellmann, D.; Bogner, F.X. Effects of a 1-day environmental education intervention on environmental attitudes and connectedness with nature. Eur. J. Psychol. Educ. 2013, 28, 1077–1086. [Google Scholar] [CrossRef]
- Bogner, F.X. The Influence of Short-Term Outdoor Ecology Education on Long-Term Variables of Environmental Perspective. J. Environ. Educ. 1998, 29, 17–29. [Google Scholar] [CrossRef]
- Thorn, C.; Bogner, F.X. How Environmental Values Predict Acquisition of Different Cognitive Knowledge Types with Regard to Forest Conservation. Sustainability 2018, 10, 2188. [Google Scholar] [CrossRef] [Green Version]
- Oerke, B.; Bogner, F.X. Social Desirability, Environmental Attitudes, and General Ecological Behaviour in Children. Int. J. Sci. Educ. 2013, 35, 713–730. [Google Scholar] [CrossRef] [Green Version]
Publisher’s Note: MDPI stays neutral with regard to jurisdictional claims in published maps and institutional affiliations. |
© 2021 by the authors. Licensee MDPI, Basel, Switzerland. This article is an open access article distributed under the terms and conditions of the Creative Commons Attribution (CC BY) license (https://creativecommons.org/licenses/by/4.0/).