Effects of Crop–Hedgerow Intercropping on the Soil Physicochemical Properties and Crop Yield on Sloping Cultivated Lands in a Purple Soil of Southwestern China
Abstract
:1. Introduction
2. Materials and Methods
2.1. Site Description
2.2. Experimental Design
2.3. Sowing and Fertilizer Application
2.4. Crop Sample Harvesting and Soil Sample Analyses
2.5. Data Analysis and Statistics
3. Results
3.1. Mustard Yield as Influenced by Slope Position
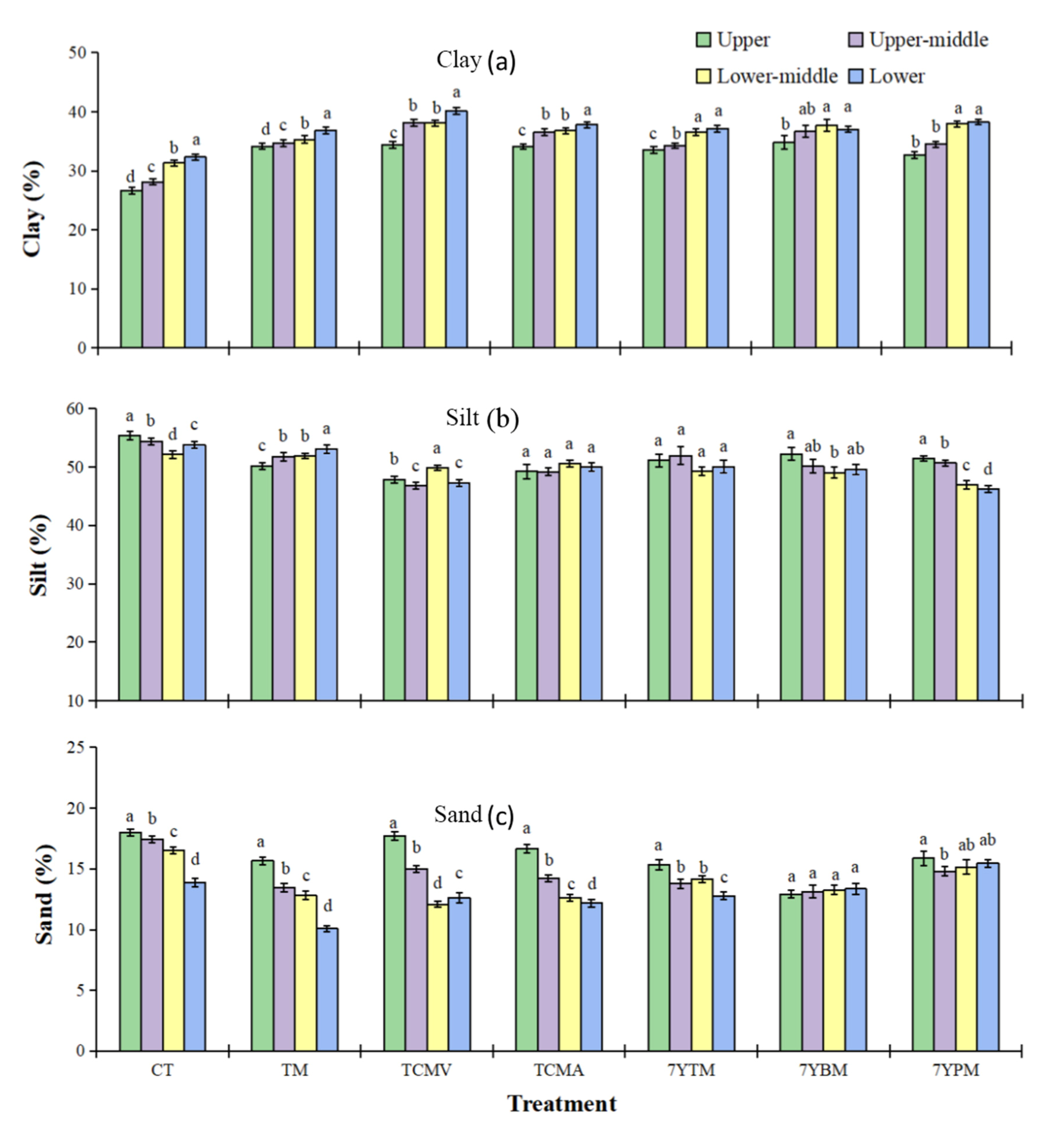
3.2. Soil Physical Properties as Influenced by Slope Position
3.3. Soil Chemical Properties as Influenced by Slope Position
3.4. Correlation between Yield and Soil Parameters
4. Discussion
4.1. Effects of Different Hedgerow Intercropping Systems on Mustard Yield and Soil Physicochemical Properties
4.2. Slope Position Affects Mustard Yield and Soil Physicochemical Properties
5. Conclusions
Author Contributions
Funding
Institutional Review Board Statement
Informed Consent Statement
Conflicts of Interest
Appendix A
| Treatment | Harvesting Fresh Mustard Yield (Mg ha−1) | Planting Density (Plants ha−1) | Converted Yield (Mg ha−1) |
|---|---|---|---|
| CT | 55.30 ± 0.22 a | 60,000 | 55.30 ± 0.22 b |
| TM | 37.62 ± 0.41 c | 40,800 | 55.32 ± 0.60 b |
| TCMV | 40.72 ± 0.74 b | 40,800 | 59.88 ± 1.10 a |
| TCMA | 41.31 ± 0.12 b | 40,800 | 60.75 ± 0.17 a |
| 7YTM | 34.72 ± 0.26 d | 40,800 | 51.05 ± 0.39 c |
| 7YPM | 24.48 ± 0.36 f | 30,000 | 38.86 ± 0.57 e |
| 7YBM | 29.13 ± 0.73 e | 35,200 | 45.52 ± 1.14 d |
| Soil Parameters | |||
|---|---|---|---|
| Bulk density | 1.34 g cm−3 | STN | 0.94 (g kg−1) |
| Clay (%) | 26.62 | AHN | 0.72 (g kg−1) |
| Silt (%) | 55.38 | SOC | 6.38 (g kg−1) |
| Sand (%) | 18.00 | pH | 6.25 |
References
- Liu, H.; Yao, L.; Lin, C.; Wang, X.; Wang, H.; Xu, W. 18-year grass hedge effect on soil water loss and soil productivity on sloping cropland. Soil Tillage Res. 2018, 177, 12–18. [Google Scholar] [CrossRef]
- Rodrigo Comino, J.; Iserloh, T.; Lassu, T.; Cerda, A.; Keestra, S.D.; Prosdocimi, M.; Brings, C.; Marzen, M.; Ramos, M.C.; Senciales, J.M.; et al. Quantitative comparison of initial soil erosion processes and runoff generation in Spanish and German vineyards. Sci. Total Environ. 2016, 565, 1165–1174. [Google Scholar] [CrossRef]
- Smetanová, A.; Follain, S.; David, M.; Ciampalini, R.; Raclot, D.; Crabit, A.; Le Bissonnais, Y. Landscaping compromises for land degradation neutrality: The case of soil erosion in a Mediterranean agricultural landscape. J. Environ. Manag. 2019, 235, 282–292. [Google Scholar] [CrossRef]
- Duan, J.; Liu, Y.; Yang, J.; Tang, C.; Shi, Z. Role of groundcover management in controlling soil erosion under extreme rainfall in citrus orchards of southern China. J. Hydrol. 2020, 582, 124290. [Google Scholar] [CrossRef]
- Qadir, M.; Quillérou, E.; Nangia, V.; Murtaza, G.; Singh, M.; Thomas, R.J.; Drechsel, P.; Noble, A.D. Economics of salt-induced land degradation and restoration. Nat. Resour. Forum. 2014, 38, 282–295. [Google Scholar] [CrossRef]
- Wessels, K.J.; Prince, S.D.; Malherbe, J.; Small, J.; Frost, P.E.; VanZyl, D. Can human-induced land degradation be distinguished from the effects of rainfall variability? A case study in South Africa. J. Arid. Environ. 2007, 68, 271–297. [Google Scholar] [CrossRef]
- Lenka, N.K.; Dass, A.; Sudhishri, S.; Patnaik, U.S. Soil carbon sequestration and erosion control potential of hedgerows and grass filter strips in sloping agricultural lands of eastern India. Agric. Ecosyst. Environ. 2012, 158, 31–40. [Google Scholar] [CrossRef]
- Cerdan, O.; Govers, G.; Le Bissonnais, Y.; Van Oost, K.; Poesen, J.; Saby, N.; Gobin, A.; Vacca, A.; Quinton, J.; Auerswald, K.; et al. Rates and spatial variations of soil erosion in Europe: A study based on erosion plot data. Geomorphology 2010, 122, 167–177. [Google Scholar] [CrossRef]
- Lin, C.; Tu, S.; Huang, J.; Chen, Y. The effect of plant hedgerows on the spatial distribution of soil erosion and soil fertility on sloping farmland in the purple-soil area of China. Soil Tillage Res. 2009, 105, 307–312. [Google Scholar] [CrossRef]
- Shi, Z.; Chen, L.; Cai, C.; Li, Z.; Liu, G. Effects of long-term fertilization and mulch on soil fertility in contour hedgerow systems: A case study on steeplands from the Three Gorges Area, China. Nutr. Cycl. Agroecosys 2009, 84, 39–48. [Google Scholar] [CrossRef]
- Zhong, S.; Han, Z.; Li, J.; Xie, D.; Yang, Q.; Ni, J. Mechanized and Optimized Configuration Pattern of Crop-Mulberry Systems for Controlling Agricultural Non-Point Source Pollution on Sloping Farmland in the Three Gorges Reservoir Area, China. Int. J. Environ. Res. Public Health 2020, 17, 3599. [Google Scholar] [CrossRef]
- Gitari, H.I.; Gachene, C.K.K.; Karanja, N.N.; Kamau, S.; Nyawade, S.; Schulte-Geldermann, E. Potato-legume intercropping on a sloping terrain and its effects on soil physico-chemical properties. Plant Soil 2019, 438, 447–460. [Google Scholar] [CrossRef]
- Asadi, H.; Raeisvandi, A.; Rabiei, B.; Ghadiri, H. Effect of land use and topography on soil properties and agronomic productivity on calcareous soils of a semiarid region, Iran. Land Degrad. Dev. 2012, 23, 496–504. [Google Scholar] [CrossRef] [Green Version]
- Kouselou, M.; Hashemi, S.; Eskandari, I.; McKenzie, B.M.; Karimi, E.; Rezaei, A.; Rahmati, M. Quantifying soil displacement and tillage erosion rate by different tillage systems in dryland northwestern Iran. Soil Use Manag. 2018, 34, 48–59. [Google Scholar] [CrossRef]
- Fan, F.; Xie, D.; Wei, C.; Ni, J.; Yang, J.; Tang, Z.; Zhou, C. Reducing soil erosion and nutrient loss on sloping land under crop-mulberry management system. Environ. Sci. Pollut. Res. 2015, 22, 14067–14077. [Google Scholar] [CrossRef]
- Zhang, Q.; Chen, S.; Dong, Y.; Liu, D.; Yang, X.; Yang, Z. Controllability of Phosphorus Losses in Surface Runoff from Sloping Farmland Treated by Agricultural Practices. Land Degrad. Dev. 2017, 28, 1704–1716. [Google Scholar] [CrossRef]
- Liu, Y.; Yang, J.; Hu, J.; Tang, C.; Zheng, H. Characteristics of the surface–subsurface flow generation and sediment yield to the rainfall regime and land-cover by long-term in-situ observation in the red soil region, Southern China. J. Hydrol. 2016, 539, 457–467. [Google Scholar] [CrossRef]
- Wu, L.; Long, T.; Li, C. The simulation research of dissolved nitrogen and phosphorus non-point source pollution in Xiao-Jiang watershed of Three Gorges Reservoir area. Water Sci. Technol. 2010, 61, 1601–1616. [Google Scholar] [CrossRef]
- Joslin, A.H.; Vasconcelos, S.S.; de Assis Oliviera, F.; Kato, O.R.; Morris, L.; Markewitz, D. A Slash-and-Mulch Improved-Fallow Agroforestry System: Growth and Nutrient Budgets over Two Rotations. Forests 2019, 10, 1125. [Google Scholar] [CrossRef] [Green Version]
- Angima, S.D.; Stott, D.E.; O’Neill, M.K.; Ong, C.K.; Weesies, G.A. Use of calliandra-Napier grass contour hedges to control erosion in central Kenya. Agric. Ecosyst. Environ. 2002, 91, 15–23. [Google Scholar] [CrossRef]
- Xia, L.; Hoermann, G.; Ma, L.; Yang, L. Reducing nitrogen and phosphorus losses from arable slope land with contour hedgerows and perennial alfalfa mulching in Three Gorges Area, China. Catena 2013, 110, 86–94. [Google Scholar] [CrossRef]
- Wang, L.; Tang, L.; Wang, X.; Chen, F. Effects of alley crop planting on soil and nutrient losses in the citrus orchards of the Three Gorges Region. Soil Tillage Res. 2010, 110, 243–250. [Google Scholar] [CrossRef]
- Wang, T.; Zhu, B.; Xia, L. Effects of Contour Hedgerow Intercropping on Nutrient Losses from the Sloping Farmland in the Three Gorges Area, China. J. Mt. Sci. Engl. 2012, 9, 105–114. [Google Scholar] [CrossRef]
- Fan, J.; Yan, L.; Zhang, P.; Zhang, G. Effects of grass contour hedgerow systems on controlling soil erosion in red soil hilly areas, Southeast China. Int. J. Sediment Res. 2015, 30, 107–116. [Google Scholar] [CrossRef]
- Adhikary, P.P.; Hombegowda, H.C.; Barman, D.; Jakhar, P.; Madhu, M. Soil erosion control and carbon sequestration in shifting cultivated degraded highlands of eastern India: Performance of two contour hedgerow systems. Agrofor. Syst. 2017, 91, 757–771. [Google Scholar] [CrossRef]
- Oshunsanya, S.O.; Li, Y.; Yu, H. Vetiver grass hedgerows significantly reduce nitrogen and phosphorus losses from fertilized sloping lands. Sci. Total Environ. 2019, 661, 86–94. [Google Scholar] [CrossRef] [PubMed]
- Chen, F.; Wang, X.; Li, X.; Wang, J.; Xie, D.; Ni, J.; Liu, Y. Using the sediment fingerprinting method to identify the sediment sources in small catchments with similar geological conditions. Agr. Ecosyst. Environ. 2019, 286, 106655. [Google Scholar] [CrossRef]
- Zhu, H.; Zhang, L.M. Field investigation of erosion resistance of common grass species for soil bioengineering in Hong Kong. Acta Geotech. 2016, 11, 1047–1059. [Google Scholar] [CrossRef]
- Hao, Y.; Lal, R.; Owens, L.B.; Izaurralde, R.C.; Post, W.M.; Hothem, D.L. Effect of cropland management and slope position on soil organic carbon pool at the North Appalachian Experimental Watersheds. Soil Tillage Res. 2002, 68, 133–142. [Google Scholar] [CrossRef]
- Dessalegn, D.; Beyene, S.; Ram, N.; Walley, F.; Gala, T.S. Effects of topography and land use on soil characteristics along the toposequence of Ele watershed in southern Ethiopia. Catena 2014, 115, 47–54. [Google Scholar] [CrossRef]
- Hosseini Bai, S.; Blumfield, T.J.; Reverchon, F. The impact of mulch type on soil organic carbon and nitrogen pools in a sloping site. Biol. Fert. Soils 2014, 50, 37–44. [Google Scholar] [CrossRef] [Green Version]
- Sánchez, I.A.; Lassaletta, L.; McCollin, D.; Bunce, R.G.H. The effect of hedgerow loss on microclimate in the Mediterranean region: An investigation in Central Spain. Agroforest. Syst. 2010, 78, 13–25. [Google Scholar] [CrossRef]
- Miheretu, B.A.; Yimer, A.A. Spatial variability of selected soil properties in relation to land use and slope position in Gelana sub-watershed, Northern highlands of Ethiopia. Phys. Geogr. 2018, 39, 230–245. [Google Scholar] [CrossRef]
- Stevenson, F.J. Nitrogen-Organic Forms; Bigham, J.M., Ed.; SSSA; ASA: Madison, WI, USA, 1996; pp. 1185–1200. [Google Scholar]
- Whalley, W.R.; Watts, C.W.; Gregory, A.S.; Mooney, S.J.; Clark, L.J.; Whitmore, A.P. The effect of soil strength on the yield of wheat. Plant Soil 2008, 306, 237–247. [Google Scholar] [CrossRef]
- Twum, E.K.A.; Nii-Annang, S. Impact of Soil Compaction on Bulk Density and Root Biomass of Quercus petraea L. at Reclaimed Post-Lignite Mining Site in Lusatia, Germany. Appl. Environ. Soil Sci. 2015, 2015, 504603. [Google Scholar] [CrossRef] [Green Version]
- Liu, T.; Luo, J.; Zheng, Z.; Li, T.; He, S. Effects of rainfall intensity on splash erosion and its spatial distribution under maize canopy. Nat. Hazards. 2016, 84, 233–247. [Google Scholar] [CrossRef]
- Schmidt, J. Wasserhaushalt und Feststofftransport an Geneigten, Landwirtschaftlich Bearbeiteten Nutzflächen. Ph.D. Thesis, Freie Universität, Berlin, Germany, 1988. [Google Scholar]
- Ketema, H.; Yimer, F. Soil property variation under agroforestry based conservation tillage and maize based conventional tillage in Southern Ethiopia. Soil Tillage Res. 2014, 141, 25–31. [Google Scholar] [CrossRef]
- Dilla, A.M.; Smethurst, P.J.; Huth, N.I.; Barry, K.M. Plot-Scale Agroforestry Modeling Explores Tree Pruning and Fertilizer Interactions for Maize Production in a Faidherbia Parkland. Forests 2020, 11, 1175. [Google Scholar] [CrossRef]
- Changere, A.; Lal, R. Slope Position and Erosional Effects on Soil Properties and Corn Production on a Miamian Soil in Central Ohio. J. Sustain. Agric. 1997, 11, 5–21. [Google Scholar] [CrossRef]
- Ajami, M.; Heidari, A.; Khormali, F.; Zeraatpisheh, M.; Gorji, M.; Ayoubi, S. Spatial Variability of Rainfed Wheat Production Under the Infuence of Topography and Soil Properties in Loess-Derived Soils, Northern Iran. Int. J. Plant Prod. 2020, 14, 597–608. [Google Scholar] [CrossRef]
- Walley, F.; Pennock, D.; Solohub, M.; Hnatowich, G. Spring wheat (Triticum aestivum) yield and grain protein responses to N fertilizer in topographically defined landscape positions. Can. J. Soil Sci. 2001, 81, 505–514. [Google Scholar] [CrossRef]
- Grant, C.A.; Moulin, A.P.; Tremblay, N. Nitrogen Management Effects on Spring Wheat Yield and Protein Concentration Vary with Seeding Date and Slope Position. Agron. J. 2016, 108, 1246–1256. [Google Scholar] [CrossRef]
- Tellen, V.A.; Yerima, B.P.K. Effects of land use change on soil physicochemical properties in selected areas in the North West region of Cameroon. Environ. Syst. Res. 2018, 7, 3. [Google Scholar] [CrossRef] [Green Version]
- Gyssels, G.; Poesen, J.; Bochet, E.; Li, Y. Impact of plant roots on the resistance of soils to erosion by water. Prog. Phys. Geog. 2005, 2, 189–217. [Google Scholar] [CrossRef] [Green Version]
- Vieira, D.C.S.; Serpa, D.; Nunes, J.P.C.; Prats, S.A.; Neves, R.; Keizer, J.J. Predicting the effectiveness of different mulching techniques in reducing post-fire runoff and erosion at plot scale with the RUSLE, MMF and PESERA models. Environ. Res. 2018, 165, 365–378. [Google Scholar] [CrossRef] [PubMed]
- Luo, J.; Zheng, Z.; Li, T.; He, S. The changing dynamics of rill erosion on sloping farmland during the different growth stages of a maize crop. Hydrol. Process. 2019, 33, 76–85. [Google Scholar] [CrossRef] [Green Version]





| Treatment | Slope Position | STN (g kg−1) | AHN (g kg−1) | SOC (g kg−1) | C/N | pH |
|---|---|---|---|---|---|---|
| CT | Upper | 0.92 ± 0.00 d | 0.67 ± 0.01 d | 7.28 ± 0.07 d | 7.90 ± 0.10 b | 7.32 ± 0.07 a |
| Upper-middle | 0.96 ± 0.00 c | 0.72 ± 0.01 c | 7.52 ± 0.08 c | 7.82 ± 0.10 b | 5.51 ± 0.05 b | |
| Lower-middle | 1.00 ± 0.01 b | 0.75 ± 0.01 b | 7.81 ± 0.08 b | 7.82 ± 0.12 b | 5.12 ± 0.05 c | |
| Lower | 1.05 ± 0.01 a | 0.79 ± 0.01 a | 8.88 ± 0.15 a | 8.45 ± 0.22 a | 5.01 ± 0.05 d | |
| Mean | 0.98 ± 0.05 B | 0.73 ± 0.04 B | 7.87 ± 0.64 B | 8.00 ± 0.30 AB | 5.01 ± 0.05 d | |
| TM | Upper | 0.94 ± 0.01 c | 0.70 ± 0.01 c | 7.48 ± 0.06 c | 7.97 ± 0.14 b | 5.74 ± 0.97 C |
| Upper-middle | 1.01 ± 0.02 b | 0.77 ± 0.02 b | 7.94 ± 0.07 b | 7.87 ± 0.21 b | 7.68 ± 0.08 b | |
| Lower-middle | 1.01 ± 0.02 b | 0.77 ± 0.01 b | 7.93 ± 0.07 b | 7.82 ± 0.18 b | 7.47 ± 0.08 c | |
| Lower | 1.12 ± 0.02 a | 0.85 ± 0.02 a | 9.49 ± 0.08 a | 8.60 ± 0.16 a | 6.90 ± 0.07 d | |
| Mean | 1.02 ± 0.07 B | 0.77 ± 0.06 B | 8.21 ± 0.80 B | 8.04 ± 0.32 A | 7.48 ± 0.38 A | |
| TCMV | Upper | 0.99 ± 0.01 c | 0.74 ± 0.02 c | 7.66 ± 0.05 c | 7.76 ± 0.02 a | 7.59 ± 0.08 a |
| Upper-middle | 1.13 ± 0.01 b | 0.86 ± 0.02 b | 8.63 ± 0.06 b | 7.61 ± 0.03 b | 7.20 ± 0.07 b | |
| Lower-middle | 1.15 ± 0.01 b | 0.87 ± 0.02 b | 8.70 ± 0.06 b | 7.58 ± 0.10 b | 6.82 ± 0.07 c | |
| Lower | 1.20 ± 0.00 a | 0.94 ± 0.02 a | 9.73 ± 0.07 a | 7.84 ± 0.05 a | 5.84 ± 0.07 d | |
| Mean | 1.13 ± 0.10 A | 0.85 ± 0.08 A | 8.68 ± 0.76 A | 7.70 ± 0.12 C | 6.86 ± 0.68 AB | |
| TCMA | Upper | 0.98 ± 0.02 c | 0.74 ± 0.01 c | 7.61 ± 0.07 c | 7.74 ± 0.15 a | 7.76 ± 0.18 a |
| Upper-middle | 1.19 ± 0.01 b | 0.90 ± 0.02 b | 8.66 ± 0.08 b | 7.28 ± 0.16 b | 7.33 ± 0.10 b | |
| Lower-middle | 1.20 ± 0.01 b | 0.90 ± 0.02 b | 8.81 ± 0.08 b | 7.30 ± 0.12 b | 6.43 ± 0.08 c | |
| Lower | 1.25 ± 0.01 a | 0.95 ± 0.02 a | 9.90 ± 0.10 a | 7.93 ± 0.08 a | 6.04 ± 0.01 d | |
| Mean | 1.16 ± 0.1 A | 0.88 ± 0.09 A | 8.75 ± 0.86 A | 7.56 ± 0.31 C | 6.83 ± 0.77 B | |
| 7YTM | Upper | 0.98 ± 0.02 c | 0.74 ± 0.02 c | 7.68 ± 0.06 c | 7.81 ± 0.11 ab | 7.90 ± 0.08 a |
| Upper-middle | 1.12 ± 0.00 b | 0.85 ± 0.01 b | 8.46 ± 0.07 b | 7.58 ± 0.06 c | 7.60 ± 0.08 b | |
| Lower-middle | 1.11 ± 0.01 b | 0.85 ± 0.02 b | 8.54 ± 0.07 b | 7.73 ± 0.07 bc | 7.03 ± 0.08 c | |
| Lower | 1.20 ± 0.01 a | 0.93 ± 0.01 a | 9.60 ± 0.08 a | 7.95 ± 0.10 a | 6.38 ± 0.07 d | |
| Mean | 1.10 ± 0.08 A | 0.84 ± 0.07 A | 8.56 ± 0.70 A | 7.77 ± 0.16 BC | 7.23 ± 0.61 AB | |
| 7YPM | Upper | 1.14 ± 0.02 c | 0.88 ± 0.02 bc | 8.04 ± 0.06 c | 7.05 ± 0.10 c | 6.94 ± 0.10 a |
| Upper-middle | 1.24 ± 0.02 a | 0.96 ± 0.04 a | 9.81 ± 0.07 a | 7.89 ± 0.09 b | 6.62 ± 0.10 b | |
| Lower-middle | 1.09 ± 0.03 d | 0.84 ± 0.02 c | 7.94 ± 0.06 c | 7.25 ± 0.18 c | 5.70 ± 0.08 c | |
| Lower | 1.18 ± 0.01 b | 0.90 ± 0.02 b | 9.61 ± 0.07 b | 8.15 ± 0.10 a | 5.02 ± 0.07 d | |
| Mean | 1.16 ± 0.06 A | 0.90 ± 0.05 A | 8.85 ± 0.90 A | 7.59 ± 0.48 C | 7.20 ± 0.61 AB | |
| 7YBM | Upper | 1.06 ± 0.04 d | 0.80 ± 0.03 c | 7.62 ± 0.04 d | 7.22 ± 0.23 b | 7.86 ± 0.12 a |
| Upper-middle | 1.13 ± 0.03 c | 0.86 ± 0.02 b | 8.74 ± 0.04 c | 7.74 ± 0.22 a | 7.56 ± 0.12 b | |
| Lower-middle | 1.18 ± 0.01 b | 0.90 ± 0.20 b | 8.72 ± 0.04 b | 7.39 ± 0.09 b | 7.00 ± 0.11 c | |
| Lower | 1.25 ± 0.01 a | 0.96 ± 0.02 a | 9.76 ± 0.07 a | 7.84 ± 0.09 a | 6.35 ± 0.10 d | |
| Mean | 1.15 ± 0.08 A | 0.88 ± 0.06 A | 8.71 ± 0.79 A | 7.55 ± 0.30 C | 6.08 ± 0.80 C |
| Position | WMS | BD | Silt | Sand | Clay | STN | AHN | SOC | C/N | |
|---|---|---|---|---|---|---|---|---|---|---|
| WMS | 0.735 ** | - | - | - | - | - | - | - | - | - |
| BD | −0.866 ** | −0.541 ** | - | - | - | - | - | - | - | - |
| Silt | −0.183 ns | −0.027 ns | 0.367 ** | - | - | - | - | - | - | - |
| Sand | −0.598 ** | −0.597 ** | 0.623 ** | 0.031 ns | - | - | - | - | - | - |
| Clay | 0.509 ** | 0.412 ** | −0.664 ** | −0.739 ** | −0.658 ** | - | - | - | - | - |
| STN | 0.601 ** | 0.445 ** | −0.823 ** | −0.436 ** | −0.582 ** | 0.706 ** | - | - | - | - |
| AHN | 0.590 ** | 0.421 ** | −0.816 ** | −0.440 ** | −0.596 ** | 0.715 ** | 0.971 ** | - | - | - |
| SOC | 0.769 ** | 0.581 ** | −0.898 ** | −0.324 ** | −0.619 ** | 0.627 ** | 0.882 ** | 0.872 ** | - | - |
| C/N | 0.399 ** | 0.329 ** | −0.212 ns | 0.214 ns | −0.125 ns | −0.118 ns | −0.173 ns | −0.137 ns | 0.310 ** | - |
| pH | −0.698 ** | −0.537 ** | 0.492 ** | −0.056 ns | 0.204 ns | −0.073 ns | −0.324 ** | −0.307 ** | −0.428 ** | −0.247 * |
Publisher’s Note: MDPI stays neutral with regard to jurisdictional claims in published maps and institutional affiliations. |
© 2021 by the authors. Licensee MDPI, Basel, Switzerland. This article is an open access article distributed under the terms and conditions of the Creative Commons Attribution (CC BY) license (https://creativecommons.org/licenses/by/4.0/).
Share and Cite
Lei, P.; Ni, C.; Chen, F.; Wang, S.; Zhong, S.; Tan, S.; Ni, J.; Xie, D. Effects of Crop–Hedgerow Intercropping on the Soil Physicochemical Properties and Crop Yield on Sloping Cultivated Lands in a Purple Soil of Southwestern China. Forests 2021, 12, 962. https://doi.org/10.3390/f12080962
Lei P, Ni C, Chen F, Wang S, Zhong S, Tan S, Ni J, Xie D. Effects of Crop–Hedgerow Intercropping on the Soil Physicochemical Properties and Crop Yield on Sloping Cultivated Lands in a Purple Soil of Southwestern China. Forests. 2021; 12(8):962. https://doi.org/10.3390/f12080962
Chicago/Turabian StyleLei, Ping, Chengsheng Ni, Fangxin Chen, Sheng Wang, Shouqin Zhong, Shaojun Tan, Jiupai Ni, and Deti Xie. 2021. "Effects of Crop–Hedgerow Intercropping on the Soil Physicochemical Properties and Crop Yield on Sloping Cultivated Lands in a Purple Soil of Southwestern China" Forests 12, no. 8: 962. https://doi.org/10.3390/f12080962
APA StyleLei, P., Ni, C., Chen, F., Wang, S., Zhong, S., Tan, S., Ni, J., & Xie, D. (2021). Effects of Crop–Hedgerow Intercropping on the Soil Physicochemical Properties and Crop Yield on Sloping Cultivated Lands in a Purple Soil of Southwestern China. Forests, 12(8), 962. https://doi.org/10.3390/f12080962

