Use of Optimization Modeling to Assess the Effect of Timber and Carbon Pricing on Harvest Scheduling, Carbon Sequestration, and Net Present Value of Eucalyptus Plantations
Abstract
1. Introduction
2. Materials and Methods
2.1. Study Location and Characteristics
2.2. Stands Information
2.3. Carbon Sequestration and Release Assumptions
2.4. Optimization Model
2.4.1. Model Description and Mathematical Formulation
Objective Function
Constraints
2.4.2. Data Input
2.4.3. Model Implementation
2.4.4. Scenarios and Sensitivity Analysis
- Scenarios that included revenue only from the sale of timber (pulplogs) generated during clear-cut (SC1);
- Scenarios that included revenue from both sources, timber generated during the clear-cut, and C sequestered over the rotation length of the stands (SC2).
3. Results
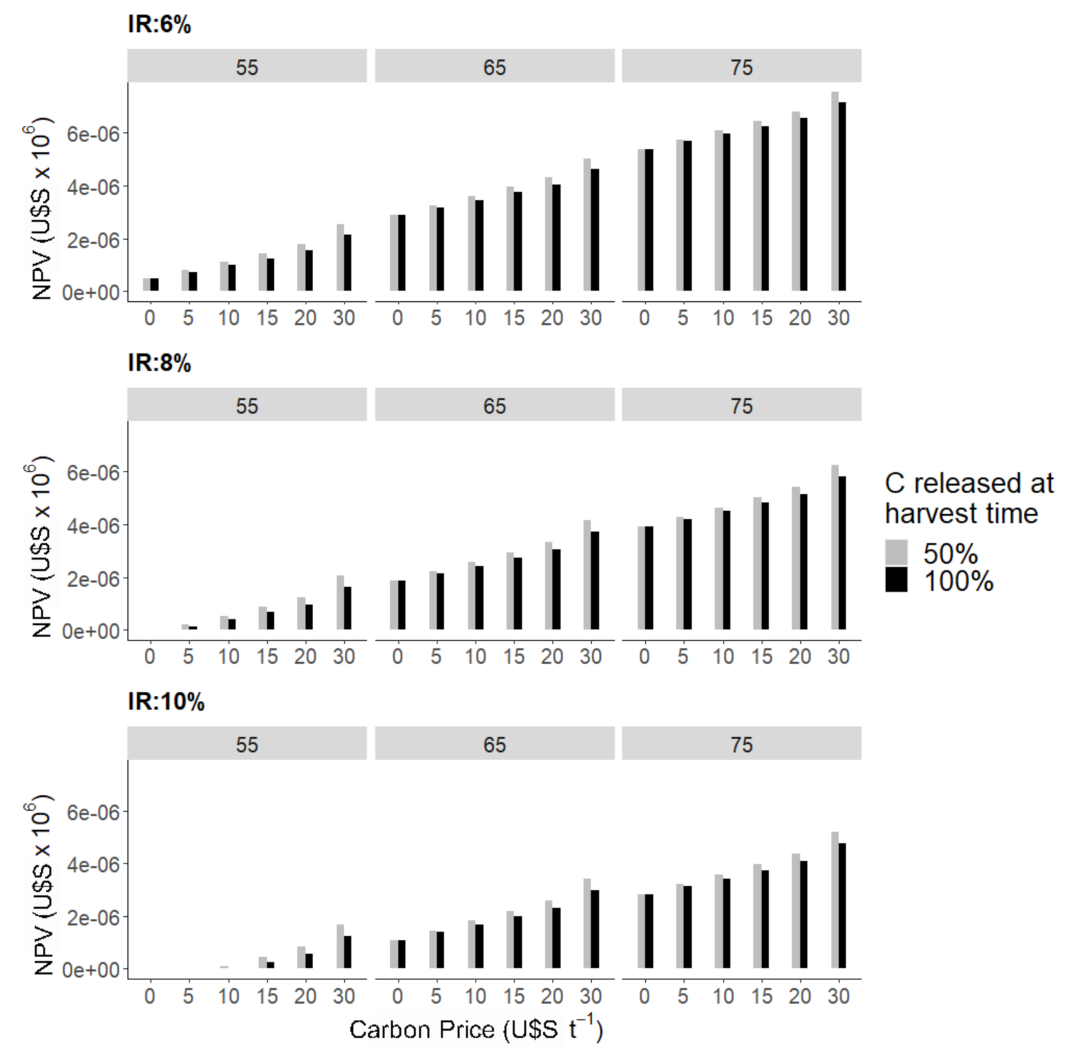
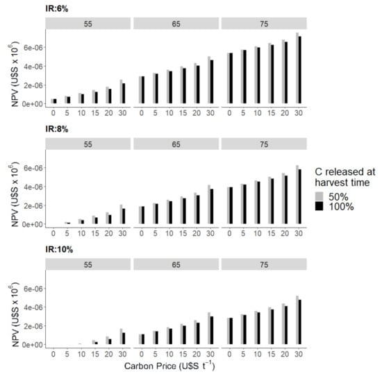
3.1. Effect of C and Timber Price, IR, and C Release Approach on NPV
3.2. Effect of C Price and Timber Price, IR, and C Release Approach on Revenue
3.3. Effect of C Price on Harvest Scheduling (Harvest Age) and Volume Harvested (Supplied) Per Period
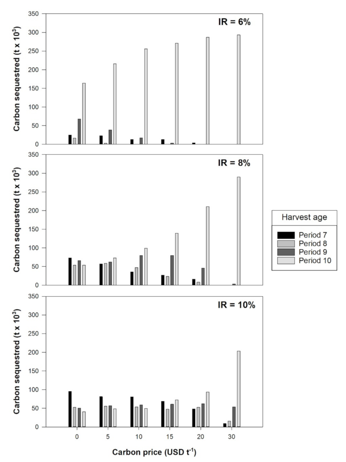
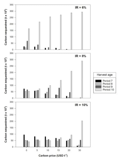
3.4. Effect of Carbon Price and IR on Carbon Sequestered
4. Discussion
5. Conclusions
Author Contributions
Funding
Acknowledgments
Conflicts of Interest
References
- Nunes, L.J.R.; Meireles, C.I.R.; Gomes, C.J.P.; Ribeiro, N.M.C.A. Forest management and climate change mitigation: A review on carbon cycle flow models for the sustainability of resources. Sustainability 2019, 11, 5276. [Google Scholar] [CrossRef]
- Kuzminyh, Y.V.; Gryaznov, S.E.; Shaitarova, O.E.; Sukonkin, S.E.; Yu Abakulina, L. Forestry Development as An Instrument for Implementing the Climate Policy of Russia. In Proceedings of the IOP Conference Series: Earth and Environmental Science, Saint Petersburg, Russia, 16–18 June 2020; Volume 574. [Google Scholar]
- Lal, R. Forest soils and carbon sequestration. For. Ecol. Manag. 2005, 220, 242–258. [Google Scholar] [CrossRef]
- Dixon, R.K.; Wisniewski, J. Global forest systems: An uncertain response to atmospheric pollutants and global climate change? Water Air Soil Pollut. 1995, 85, 101–110. [Google Scholar] [CrossRef]
- Dixon, R.K.; Brown, S.; Houghton, R.A.; Solomon, A.M.; Trexler, M.C.; Wisniewski, J. Carbon pools and flux of global forest ecosystems. Science 1994, 263, 185–190. [Google Scholar] [CrossRef] [PubMed]
- Hui, D.; Deng, Q.; Tian, H.; Luo, Y. Climate change and carbon sequestration in forest ecosystems. Handb. Clim. Chang. Mitig. Adapt. 2017, 555, 594. [Google Scholar]
- Braakhekke, M.C.; Doelman, J.C.; Baas, P.; Müller, C.; Schaphoff, S.; Stehfest, E.; Van Vuuren, D.P. Modeling forest plantations for carbon uptake with the LPJmL dynamic global vegetation model. Earth Syst. Dyn. 2019, 10, 617–630. [Google Scholar] [CrossRef]
- Acuna, M.; Ma Navarro-Cerrillo, R.; Ruiz-Gómez, F.; Lara-Gómez, M.; Pérez-Romero, J.; Varo-Martínez, M.Á.; Palacios-Rodríguez, G. How does carbon pricing impact optimal thinning schedules and net present value in Mediterranean pine plantations? For. Ecol. Manag. 2021, 482, 118847. [Google Scholar] [CrossRef]
- Pukkala, T. At what carbon price forest cutting should stop. J. For. Res. 2020, 31, 713–727. [Google Scholar] [CrossRef]
- Broz, D.; Durand, G.; Rossit, D.; Tohmé, F.; Frutos, M. Strategic planning in a forest supply chain: A multigoal and multiproduct approach. Can. J. For. Res. 2017, 47, 297–307. [Google Scholar] [CrossRef]
- Weintraub, A.; Romero, C. Operations research models and the management of agricultural and forestry resources: A review and comparison. Interfaces 2006, 36, 446–457. [Google Scholar] [CrossRef]
- Viana Céspedes, V. Optimizacion en la Planificacion de Servicios de Cosecha Forestall. Master’s Thesis, Universidad de la República, Magíster en Investigación de Operaciones, Montevideo, Uruguay, 2018. [Google Scholar]
- Acuna, M.; Sessions, J.; Zamora, R.; Boston, K.; Brown, M.; Ghaffariyan, M.R. Methods to Manage and Optimize Forest Biomass Supply Chains: A Review. Curr. For. Rep. 2019, 5, 124–141. [Google Scholar] [CrossRef]
- Pohjanmies, T.; Eyvindson, K.; Mönkkönen, M. Forest management optimization across spatial scales to reconcile economic and conservation objectives. PLoS ONE 2019, 14, e0218213. [Google Scholar] [CrossRef]
- Shan, Y.; Bettinger, P.; Cieszewski, C.J.; Li, R.T. Trends in spatial forest planning. Math. Comput. For. Nat.-Resour. Sci. 2009, 1, 86–112. [Google Scholar]
- MGAP (Ministerio de Ganadería Agricultura y Pesca); DIEA (Dirección de Estadísticas Agropecuarias). Anuario Estadístico Agropecuario 2019; Editorial Hemisferio Sur: Montevideo, Uruguay, 2019. [Google Scholar]
- Instituto Uruguay XXI Informe Anual de Comercio Exterior; Uruguay XXI: Montevideo, Uruguay, 2019. [CrossRef]
- Dieste, A. Programa de Promoción de Exportaciones de Productos de Madera. DNIMIEM-CSFM En. 2012. Available online: http://gp.gub.uy/es/node/860 (accessed on 26 December 2020).
- Resquin, F.; De Mello, J.; Fariña, I.; Mieres, J.; Assandri, L. Caracterización de la Celulosa de Especies del Género Eucalyptus Plantadas en Uruguay; Serie Técnica N 152; INIA: Montevideo, Uruguay, 2005; p. 82. [Google Scholar]
- Andreoni, M.I.; Bussoni, A. Evaluación económica de dos programas de mejoramiento genético en Eucalyptus grandis/Economic Assessment of Two Breeding Programs in Eucalyptus grandis. Agrocienc. Urug. 2014, 18, 153. [Google Scholar]
- Diaz-Balteiro, L.; Rodriguez, L.C.E. Optimal rotations on Eucalyptus plantations including carbon sequestration—A comparison of results in Brazil and Spain. For. Ecol. Manag. 2006, 229, 247–258. [Google Scholar] [CrossRef]
- Raymer, A.K.; Gobakken, T.; Solberg, B. Optimal forest management with carbon benefits included. Silva Fenn. 2011, 45, 395–414. [Google Scholar] [CrossRef]
- Quintero-Mendez, M.A.; Jerez-Rico, M. Heuristic forest planning model for optimizing timber production and carbon sequestration in teak plantations. iForest 2016, 10, 430–439. [Google Scholar] [CrossRef]
- Asante, P.; Armstrong, G.W.; Adamowicz, W.L. Carbon sequestration and the optimal forest harvest decision: A dynamic programming approach considering biomass and dead organic matter. J. For. Econ. 2011, 17, 3–17. [Google Scholar] [CrossRef]
- Enzinger, S.; Jeffs, C. Economics of forests as carbon sinks: An Australian perspective. J. For. Econ. 2000, 6, 227–249. [Google Scholar]
- Asante, P. Carbon Sequestration and the Optimal Economic Harvest Decision by Patrick Asante A Thesis Submitted to the Faculty of Graduate Studies and Research in Partial Fulfillment of the Requirements for the Degree of Doctor of Philosophy in Forest Biology and Man. Ph.D. Thesis, University of Alberta, Edmonton, AB, Canada, 2011. [Google Scholar]
- Loza-Balbuena, I. Impacto del Mercado del Carbono en la Performance Económica de Proyectos Forestales. Estudio de Caso para Uruguay. In Simposio Internacional Medición y Monitoreo de la Captura de Carbono en Ecosistemas Forestales; UACH: Valdivia, Chile, 2001; pp. 145–249. [Google Scholar]
- Castaño, J.P.; Giménez, A.; Ceroni, M.; Furest, J.; Aunchayna, R.; Bidegain, M. Caracterización Agroclimática del Uruguay 1980–2009; INIA: Montevideo, Uruguay, 2011. [Google Scholar]
- Methol, R. SAG Eucalyptus: Sistema de Apoyo A la Gestión de Plantaciones Orientadas A la Producción de Celulosa En Uruguay; INIA: Montevideo, Uruguay, 2008. [Google Scholar]
- Methol, R. SAG Grandis Sistema de Apoyo A la Gestión de Plantaciones de Eucalyptus Grandis; Serie Técnica 131; INIA: Montevideo, Uruguay, 2003. [Google Scholar]
- Toochi, E.C. Carbon sequestration: How much can forestry sequester CO2? For. Res. Eng. 2018, 2, 148. [Google Scholar] [CrossRef]
- Hirigoyen, A.; Varo-Martinez, M.A.; Rachid-Casnati, C.; Franco, J.; Navarro-Cerrillo, R.M. Stand Characterization of Eucalyptus spp. Plantations in Uruguay Using Airborne Lidar Scanner Technology. Remote Sens. 2020, 12, 3947. [Google Scholar] [CrossRef]
- Quintero-Méndez, M.A.; Jerez-Rico, M. Optimizing thinnings for timber production and carbon sequestration in planted teak (Tectona grandis L.f.) stands. For. Syst. 2019, 28, 1. [Google Scholar] [CrossRef]
- Panorama Forestal Nro 34. Available online: http://tardaguila.com.uy/web/forestal?start=16 (accessed on 26 December 2020).
- Acuna, M.; Strandgard, M.; Wiedemann, J.; Mitchell, R. Impacts of early thinning of a Eucalyptus globulus labill. Pulplog plantation in Western Australia on economic profitability and harvester productivity. Forests 2017, 8, 415. [Google Scholar] [CrossRef]
- Yan, Y. Integrate carbon dynamic models in analyzing carbon sequestration impact of forest biomass harvest. Sci. Total Environ. 2018, 615, 581–587. [Google Scholar] [CrossRef] [PubMed]
- Bourque, C.P.A.; Neilson, E.T.; Gruenwald, C.; Perrin, S.F.; Hiltz, J.C.; Blin, Y.A.; Horsman, G.V.; Parker, M.S.; Thorburn, C.B.; Corey, M.M.; et al. Optimizing carbon sequestration in commercial forests by integrating carbon management objectives in wood supply modeling. Mitig. Adapt. Strateg. Glob. Chang. 2007, 12, 1253–1275. [Google Scholar] [CrossRef]
- Rubilar, R.A.; Allen, H.L.; Fox, T.R.; Cook, R.L.; Albaugh, T.J.; Campoe, O.C. Advances in silviculture of intensively managed plantations. Curr. For. Rep. 2018, 4, 23–34. [Google Scholar] [CrossRef]
- Keleş, S. Edades óptimas de corte en bosques de álamos híbridos incluyendo captación de carbono: Un estudio de caso en Turquía. Rev. Chapingo Ser. Cienc. For. Ambiente 2016, 22, 339–349. [Google Scholar] [CrossRef]
- Olschewski, R.; Benítez, P.C. Optimizing joint production of timber and carbon sequestration of afforestation projects. J. For. Econ. 2010, 16, 1–10. [Google Scholar] [CrossRef]
- Binkley, D.; Campoe, O.C.; Alvares, C.; Carneiro, R.L.; Cegatta, Í.; Stape, J.L. The interactions of climate, spacing and genetics on clonal Eucalyptus plantations across Brazil and Uruguay. Forest Ecol. Manag. 2017, 405, 271–283. [Google Scholar] [CrossRef]
- Zhou, W.; Gao, L. The impact of carbon trade on the management of short-rotation forest plantations. For. Policy Econ. 2016, 62, 30–35. [Google Scholar] [CrossRef]
- Wang, G.B.; Deng, F.F.; Xu, W.H.; Chen, H.Y.H.; Ruan, H.H. Poplar plantations in coastal China: Towards the identification of the best rotation age for optimal soil carbon sequestration. Soil Use Manag. 2016, 32, 303–310. [Google Scholar] [CrossRef]
- Resquin, F.; Navarro-Cerrillo, R.M.; Carrasco-Letelier, L.; Casnati, C.R. Influence of contrasting stocking densities on the dynamics of above-ground biomass and wood density of Eucalyptus benthamii, Eucalyptus dunnii, and Eucalyptus grandis for bioenergy in Uruguay. For. Ecol. Manag. 2019, 438, 63–74. [Google Scholar] [CrossRef]
- Ruíz-Peinado Gertrudix, R. Modelos para la estimación del carbono en la biomasa de los sistemas forestales. Influencia de la selvicultura en los stocks de carbono. Cuad. Soc. Esp. Cienc. For. 2013, 231. [Google Scholar] [CrossRef]
- Callaghan, D.W.; Khanal, P.N.; Straka, T.J.; Hagan, D.L. Influence of forestry practices cost on financial performance of forestry investments. Resources 2019, 8, 28. [Google Scholar] [CrossRef]
- Loisel, P. Under the risk of destructive event, are there differences between timber income based and carbon sequestration based silviculture? For. Policy Econ. 2020, 120, 102269. [Google Scholar] [CrossRef]
- Romero, C.; Putz, F.E. Financial viability and carbon payment potential of large-scale silvicultural intensification in logged dipterocarp forests in Indonesia. For. Policy Econ. 2017, 85, 95–102. [Google Scholar] [CrossRef]
- Dumortier, J. The effects of uncertainty under a cap-and-trade policy on afforestation in the United States. Environ. Res. Lett. 2013, 8, 11. [Google Scholar]
- Blouin, M.; Cormier, D. Carbon and greenhouse gas accounting of forest operations in FPInterface. Int. J. For. Eng. 2012, 23, 64–69. [Google Scholar] [CrossRef]





| Field Attributes | Min | Mean | Max | Stdev | |
|---|---|---|---|---|---|
| DBH (cm) | 12.57 | 16.8 | 19.8 | 1.8 | |
| E. grandis (n = 43) | H (m) | 14.7 | 21.9 | 34.6 | 4.5 |
| AGB (Mg ha−1) | 104.7 | 218.3 | 428.9 | 74.2 | |
| Stored Carbon (Mg ha−1) | 52.87 | 110.2 | 216.5 | 37.47 | |
| Age (years) | 4.50 | 6.84 | 9.5 | 1.5 | |
| N (tree ha−1) | 986 | 1051 | 1128 | 25.2 | |
| DBH (cm) | 11.04 | 15.78 | 19.98 | 1.67 | |
| E. dunnii (n = 45) | H (m) | 9.25 | 19.92 | 29.35 | 4.05 |
| AGB (Mg ha−1) | 70.10 | 210.3 | 360.4 | 58.7 | |
| Stored Carbon (Mg ha−1) | 35.45 | 106.2 | 181.8 | 29.64 | |
| Age (years) | 4.5 | 6.28 | 8.4 | 1.20 | |
| N (tree ha−1) | 1028 | 1069 | 1103 | 16.84 |
| Term | Definition |
|---|---|
| Sets | |
| I | Forest stands, I = {1, …, 88} |
| J | Destinations, J = {1, 2} |
| T | Planning periods, T = {1, …, 15} |
| H ⊂ T | Harvesting periods, H = {7, …, 10} |
| P ⊂ T | Periods before the minimum age for harvesting, P = {1, …, 6} |
| Parameters | |
| DPL | Delivered price of logs at pulp mill—(USD m−3) |
| CP | Carbon price (USD t−1) |
| TC | Transport cost (USD t-km−1) |
| DSMij | Transport distance from stand i ∈ I to pulp mill j ∈ J (km) |
| HCih | Harvesting cost in stand i ∈ I in period h ∈ H (USD) |
| SPPCi | Site and plantation costs in stand I ∈ I (USD) |
| WCFAit | Weed control, fertilization, and ant control costs in stand i ∈ I in period t ∈T (USD) |
| AvaPLih | Pulp logs available in stand i ∈ I if harvested in period h ∈ H (m3) |
| SeqCit | Carbon sequestered in stand i ∈ I in period t ∈ T (t) |
| AccCih | Carbon accumulated in stand i ∈ I that is harvested in period h ∈ H (t) |
| ir | Interest rate (decimal) |
| Decision variables | |
| Xih | Binary variable. 1, if stand i ∈ I is harvested in period h ∈ H, 0 otherwise |
| PLDijh | Continuous variable. Pulp logs delivered from stand i ∈ I to pulp mill j∈ J in period h ∈ H (t) |
| Accounting variables | |
| RevenuePLStandi | Revenue from the sale of pulp logs generated in stand i ∈ I (USD) |
| ValueCSStandi | Value of carbon sequestered by stand i ∈ I (USD) |
| ValueCSiht | Value of carbon sequestered by stand i ∈ I in period t ∈ T, if the stand is harvested in period h ∈ H (USD) |
| ECostStandi | Establishment cost in stand i ∈ I (USD) |
| HTCostStandi | Harvesting and transport cost in stand i ∈ I (USD) |
| ValueCRStandi | Value of carbon released from stand i ∈ I (USD) |
| ValueCRiht | Value of carbon released from stand i ∈ I and period t ∈ T, if the stand is harvested in period h ∈ H (USD). |
| ValueCRStandAi | Value of carbon released from stand i ∈ I (USD) at the harvest time |
| ValueCRStandBi | Value of carbon released from stand i ∈ I (USD) over the 5 years after the harvest |
| C price (USD/t) | Interest Rate (%) | Total Revenue (M USD) | Revenue Timber (M USD) | Revenue Carbon (M USD) |
|---|---|---|---|---|
| 0 5 10 15 20 30 | 6 6 6 6 6 6 | 16.0 17.3 18.5 19.7 20.8 23.1 | 16.0 (100%) 16.2 (94%) 16.3 (88%) 16.3 (83%) 16.3 (78%) 16.3 (70%) | 0.0 (0%) 1.1 (6%) 2.2 (12%) 3.4 (17%) 4.5 (22%) 6.8 (30%) |
| 0 5 10 15 20 30 | 8 8 8 8 8 8 | 13.1 14.2 15.4 16.5 17.8 20.0 | 13.1 (100%) 13.2 (93%) 13.4 (87%) 13.5 (82%) 13.7 (77%) 13.6 (68%) | 0 (0%) 1.0 (7%) 2.0 (13%) 3.0 (18%) 4.1 (23%) 6.4 (32%) |
| 0 5 10 15 20 30 | 10 10 10 10 10 10 | 11.3 12.2 13.1 14.1 15.1 17.3 | 11.3 (100%) 11.3 (93%) 11.3 (87%) 11.4 (81%) 11.5 (76%) 11.5 (66%) | 0 (0%) 0.9 (7%) 1.8 (13%) 2.7 (19%) 3.6 (24%) 5.8 (34%) |
| Harvest Age | ||||||
|---|---|---|---|---|---|---|
| C Price (USD/t) | IR (%) | Period 7 | Period 8 | Period 9 | Period 10 | Total All Periods |
| 0 5 10 15 20 30 | 6 6 6 6 6 6 | 36,167 (11) 33,687 (9) 19,218 (5) 19,218 (4) 5804 (2) | 30,067 (4) 5449 (1) | 106,407 (17) 63,306 (8) 31,062 (4) 5941 (1) | 238,951 (56) 319,907 (70) 380,126 (79) 407,481 (83) 429,772 (86) 435,830 (88) | 411,592 422,349 430,406 432,550 435,576 435,830 |
| 0 5 10 15 20 30 | 8 8 8 8 8 8 | 116,139 (26) 89,757 (22) 54,241 (15) 39,916 (11) 23,967 (6) | 79,352 (23) 92,171 (21) 77,472 (11) 41,170 (5) 15,329 (2) | 99,155 (24) 93,794 (23) 121,949 (32) 126,845 (24) 76,348 (8) 5941 (1) | 73,094 (15) 101,379 (22) 137,919 (30) 197,098 (48) 305,800 (72) 429,431 (87) | 367,740 377,101 391,581 405,029 421,444 435,372 |
| 0 5 10 15 20 30 | 10 10 10 10 10 10 | 150,399 (39) 129,958 (32) 129,204 (31) 110,743 (24) 76,361 (18) 13,346 (4) | 76,976 (20) 82,195 (23) 79,623 (22) 72,719 (20) 86,047 (18) 28,206 (3) | 74,850 (18) 84,701 (20) 87,622 (21) 91,610 (22) 92,758 (23) 89,372 (15) | 54,657 (11) 65,577 (13) 66,607 (14) 96,590 (22) 128,076 (29) 287,069 (66) | 356,882 362,431 363,056 371,662 383,242 417,993 |
Publisher’s Note: MDPI stays neutral with regard to jurisdictional claims in published maps and institutional affiliations. |
© 2021 by the authors. Licensee MDPI, Basel, Switzerland. This article is an open access article distributed under the terms and conditions of the Creative Commons Attribution (CC BY) license (https://creativecommons.org/licenses/by/4.0/).
Share and Cite
Hirigoyen, A.; Acuna, M.; Rachid-Casnati, C.; Franco, J.; Navarro-Cerrillo, R. Use of Optimization Modeling to Assess the Effect of Timber and Carbon Pricing on Harvest Scheduling, Carbon Sequestration, and Net Present Value of Eucalyptus Plantations. Forests 2021, 12, 651. https://doi.org/10.3390/f12060651
Hirigoyen A, Acuna M, Rachid-Casnati C, Franco J, Navarro-Cerrillo R. Use of Optimization Modeling to Assess the Effect of Timber and Carbon Pricing on Harvest Scheduling, Carbon Sequestration, and Net Present Value of Eucalyptus Plantations. Forests. 2021; 12(6):651. https://doi.org/10.3390/f12060651
Chicago/Turabian StyleHirigoyen, Andrés, Mauricio Acuna, Cecilia Rachid-Casnati, Jorge Franco, and Rafael Navarro-Cerrillo. 2021. "Use of Optimization Modeling to Assess the Effect of Timber and Carbon Pricing on Harvest Scheduling, Carbon Sequestration, and Net Present Value of Eucalyptus Plantations" Forests 12, no. 6: 651. https://doi.org/10.3390/f12060651
APA StyleHirigoyen, A., Acuna, M., Rachid-Casnati, C., Franco, J., & Navarro-Cerrillo, R. (2021). Use of Optimization Modeling to Assess the Effect of Timber and Carbon Pricing on Harvest Scheduling, Carbon Sequestration, and Net Present Value of Eucalyptus Plantations. Forests, 12(6), 651. https://doi.org/10.3390/f12060651

