You are currently viewing a new version of our website. To view the old version click .
Forests
  • Article
  • Open Access

Published: 18 February 2021

Competition for Light Affects Alfalfa Biomass Production More Than Its Nutritive Value in an Olive-Based Alley-Cropping System

,
,
,
and
1
Institute of Life Sciences, Sant’Anna School of Advanced Studies, 56127 Pisa, Italy
2
Department of Agriculture, Food and Environment, University of Pisa, 56124 Pisa, Italy
3
Center for Agri-Environmental Research “Enrico Avanzi”, University of Pisa, 56122 Pisa, Italy
4
Dipartimento di Scienze Agrarie e Ambientali-Produzione, Territorio, Agroenergia, Università degli Studi di Milano, Via Celoria 2, 20133 Milano, Italy
This article belongs to the Special Issue Analyses and Design of Fruit-Tree Based Agroforestry Systems

Abstract

Cropping among trees with perennial legumes is one option for increasing agro-ecosystem services, such as improving the nitrogen supply and increasing soil protection by herbaceous vegetation. Moreover, cropping under the canopy of olive trees should diversify the farm production, compared to the traditional fallow management. Among perennial legumes, alfalfa (Medicago sativa L.) produces abundant biomass under Mediterranean rainfed condition. Based on this, a two-year field experiment was implemented in southern Tuscany in a rainfed olive orchard to test the competition for light effects on alfalfa biomass production and nutritive value. Light availability under the tree canopy was measured by hemispherical photos. In both years, the alfalfa yield of under-canopy varied according to the tree presence. A significant relationship between biomass production and light availability was recorded. The nutritive value of under-canopy alfalfa was similar to that of the open-grown alfalfa. However, same significant differences did however occur, between shaded and sole crop. When differences were found, under-canopy herbage was characterised by a higher content of crude protein and a lower content of fibre with respect to open-grown. In a hilly silvoarable olive orchard, alfalfa biomass accumulation was reduced mainly due to scarce light availability, therefore tree management such as pruning and plantation layout can enhance the herbage productivity. Studying shade tolerant forage legumes in order to enhance the yield and nutritive value of herbage production in rainfed agroforestry systems is essential.

1. Introduction

In coming years, sustainable agriculture will face the issue of feeding nine billion of people while limiting the environmental risks of cropping practices [1,2]. Agroforestry, “the practice of deliberately integrating woody vegetation (trees or shrubs) with crop and/or animal systems to benefit from the resulting ecological and economic interactions” [3], is considered as a suitable agroecological practice able to enhance the efficiency of cropping systems [4,5,6]. In the Mediterranean basin, traditional agroforestry systems such as Dehesa in Spain, Montado in Portugal and Meriagos in Sardinia island, where cork oak (Quercus suber L.) and holm oak (Quercus ilex L.) are present as scattered trees inside grassland or cropland [7]. Alley-cropping is a silvoarable systems based on the intercropping of crops and wide-row trees [8].
In Italy, olive tree (Olea europaea L.) is the most widely planted tree crop, covering an area of 1.16 million ha, and often also cultivated in agroforestry systems [9,10]. Indeed, differently from the more recent intensive or super-intensive olive orchards (from 300 to 1600 plants ha−1), traditional olive orchards in Italy are characterized by low-density tree populations (100–300 ha−1) [11], allowing the exploitation of the understory layers for feed and food production [10]. Eichhorn et al. [12] identified an area of 20.000 ha in central Italy (Umbria and Lazio Region) of silvoarable olive orchard land use. In the hilly areas of central Italy, the soil of olive orchards is usually covered by a low-productive natural vegetation, during winter and spring, while, in summer, farmers perform surface tillage to decrease water competition between herbaceous plants and trees. However, tillage operations may reduce the nutrient content of orchard soils [13,14] also the herbicide application contributes to increase the loss of soil nutrients. Moreover, the tillage of topsoil of the olive orchard alleys can exacerbate the water based erosion risk in hilly areas [15]. In recent years, the increasing trend of storms frequency in the Mediterranean basin [16] is also leading to a redesign of cropping systems towards more soil-friendly approaches [17]. Therefore, the vegetation cover of the soil in the olive orchard alley can enhance the provision of agro-ecosystem services, such as (i) reducing soil erosion, (ii) increasing soil carbon stock, (iii) decreasing nutrient leaching [18], while improving income diversification of farmers.
Intercropping tree crops with legumes, and in particular perennial legume species, it is one way to improve the sustainability of Mediterranean silvoarable systems. In a no N-fixing tree-based system such as olive orchard, intercropping with legumes can increase N content in the soil by biological N fixation [19,20] reducing the requirement of mineral N fertilizer. Perennial legumes, can also provide a continuos soil cover compared to annual species [21].
In the Mediterranean basin, the most relevant perennial legume is alfalfa (Medicago sativa L.), a forage species able to produce abundant biomass even under rainfed conditions, while developing a deep and vigorous root systems. There is interest in alfalfa cultivation in alley-cropping system with the aim to obtain a more comfortable environment for grazing animals [22]. Perennial forage species provide a more sustainable fodder than annual forage crops, balancing the greenhouse gas (GHG) emissions associated with livestock farming by stocking carbon in roots [23]. Moreover, a deep and vigorous root system of a perennial legume reduces the risk of nutrients leaching and soil erosion. In addition, perennial crops require less tillage, herbicides and fertilizers applications than annual crops [24]. In grassland-based livestock systems, increasing the share of legumes in the meadow allows to decrease the input level, such as N fertilizers and tillage, while increasing the nutritional value of herbage [25,26].
Facilitations, positive synergies, or limitations, negative interaction, between tree and crop in agroforestry systems mainly depend on functional tree group [27], soil fertility level [28] and climate condition [29]. Tree and herbaceous layers interact for resources: light, water and nutrients as well. Generally, the under-canopy soil is characterized by a higher nutrient and organic matter content [30], originated by the humification of leaf litter [31]. Previous researches about the intercropping of legumes and trees reported contrasting results about the nutritive value of the forage productions, whereas the productivity of legumes were usually reduced due the competition for resources such water, nutrients and light, in particular [32,33,34]. In fact, several authors reported that the yield of other legumes, such as soybean (Glycine Max L.), in alley-cropping is more affected by the competition for light than for water [32,33,35].
The aim of this work was to investigate the suitability of alfalfa cropping in an olive-based alley-cropping system under Mediterranean rainfed conditions by assessing biomass production and quality (i) according to different position in the alley and (ii) in comparison with the open-grown alfalfa.

2. Materials and Methods

2.1. Description of Experimental Site

In 2014 and 2015 a plot experiment for the cultivation of alfalfa an olive orchard alley was conducted in Manciano (42°32.512′, 11°26.684′, and 110 m alt.) in southern Tuscany, Italy. The trial was established in a 70-year-old rainfed olive orchard and in a control field consisting in an open-grown alfalfa meadow arranged in three plots located in a bordering field. The layout of the olive orchard is 5 m between trees and 10 m between rows and it is located in a uniform terrain with a slope of 9% and South-East aspect. Tree rows were planted according to the terrain aspect (following the direction of the slope). The soil texture of the olive orchards and the bordering field was clay-loam with a pH value of 7.9 while the soil organic matter content was 24 and 13 g kg−1, the total nitrogen content was 1.4 and 1.1 g kg−1, the available phosphorus content was 8 and 4 mg P2O5 olsen kg−1, and the exchangeable potassium was 295 and 203 mg K2O kg−1, respectively.
During the ten years prior to the trial, no fertilization and tillage occurred in the olive orchard alleys, and they were used as a natural pasture for the grazing of dairy ewes. Conversely, the bordering field was managed according to the typical four-year crop rotation of the area aimed at producing fodder and grain: three-years of oat-clover annual mixture (Avena byzhantina L. and Trifolium alexandrinum L.) followed by durum wheat (Triticum durum Desf.). The preparation of soil for the oat-clover mixture consisted in a minimum tillage with disk harrow, while deep ploughing (35–45 cm) followed by disk harrowing was usually carried out for durum wheat. Annually, 18 and 46 kg ha−1 of nitrogen (N) and phosphorus (P2O5) were applied at the mixture seeding, with an addiction of 35 kg ha−1 of N at the end of winter period. Similarly, also the same fertilization rate at the seeding was adopted for wheat, while 92 kg ha−1 N were applied at the end of the tillering stage.
In January 2014, the central portion of two side by side alleys (about 7 m wide) of the olive orchard and the bordering control field were tilled (chisel ploughing and disk harrowing). Then, alfalfa (Cultivar Messe) was sown (seed dose 40 kg ha−1). Before sowing, occurred on 20th March 2014, the soil of both alley-cropping system (ACS) and full-sun system (FSS) was fertilized with 32, 96 and 96 kg ha−1 of N, P2O5 and K2O, respectively. The experimental layout in ACS consisted in three randomized plots and each of them was allotted in three sub-plots covering a surface of 2.4 m × 10 m each corresponding to different positions of the alley (P): central position (CA), north-facing side (NA) and south-facing side (SA). The FSS was composed by three plots (2.4 m length and 10 m wide).

2.2. Field Data Collection and Chemical Analysis

Meteorological data was collected using a public wheatear station (42°36.0218’, 11°31.1098’) of the regional administration (www.cfr.regione.toscana.it). During the establishment year, the alfalfa plots were managed according to a four-harvest cycle. Harvest dates were: the 23th June, 30th July, 5th September, and 20th October. In 2015 the alfalfa was harvested six times: 30th April, 28th May, 23th June, 31th July, 16th September, and 22th October. In both years, the alfalfa was always harvested when 10% of the crop reached the flowering stage. At each harvest time (H), three areas of 0.25 m2 in each ACS plot (n = 9) were sampled, cutting the herbage at 3 cm fixed height from the ground. In the FSS, an area of 0.25 m2 in each plot (n = 3) was sampled. The herbage fresh weight was determined for all the samples. Then, the samples were partitioned between alfalfa and weeds, and alfalfa biomass subsamples were placed in a forced-draft oven at a temperature of 60 °C in order to determine the dry matter content (DM) and the above-ground dry biomass production (AGB). Chemical analysis for assessing the nutritive value of the herbage were conducted on milled samples (1 mm). The crude protein content (CP) was determined by the AOAC method [34]. The neutral detergent fibre (NDF), the acid detergent fibre (ADF) and the acid detergent lignin (ADL) content were determined with the Van Soest method [36].

2.3. Light Transmittance Data Collection

In august 2015, the under-canopy available light transmittance (ALT) was estimated by means of 144 hemispherical photos in order to evaluate the ALT variation as a function of the distance from the tree rows in each plot. Thus, a regular grid was designed according to the distance from the tree of 0, 1, 3, and 5 m (Figure 1). Overall, the 144 photos were obtained by a digital camera (Nikon Coolpix 4500, Minato, Tokyo, Japan) fitted with a 180° fish-eye lens (Nikon FC-E8, Minato, Tokyo, Japan). The images were taken with an aperture setting of f9.6, aperture priority mode, auto-exposure, auto-focus, at maximum resolution of 4 megapixel. The images were processed by the Gap Light Analyzer 2.0 free software (GLA; [37]) in order to measure the average ALT in the alfalfa growing period (March–October). ALT data spatialization was performed using the inverse distance weighting interpolation with QGIS software version 2.18.14 [38], in order to obtain maps of ALT with a pixel resolution of 10 cm × 10 cm and to measure the average value of each investigated plots (Figure 1).
Figure 1. Spatial distribution of available light transmittance in the alley-cropping system (ACS) experiment site. Red dots represent point of hemispherical photo grid, while black dashed lines represent the sub-plots: (NA) north-facing side of the alley, (SA) south-facing side of the alley and (CA) central part of the alley. Labels inside alley plots indicate the average value of available light transmittance of each plot.
In order to assess the effect of light reduction on alfalfa biomass production, the shade levels under the olive tree canopy were calculated for each plot of ACS as reported in the following equation:
Sh = 1 − fALT,
where Sh is the shade level at herbaceous layer in the alley-cropping system and fALT is the fraction of ALT.

2.4. Statistical Analysis

Statistical analysis was performed using R software [39] aiming to assess the effect of position (P) in the alley and harvest time (H) on alfalfa ABG, CP, NDF, ADF and ADL content in ACS, as well as the response of alfalfa grown in the two-cropping system (CS), ACS and FSS, for the same parameters.
Firstly, the effect of P and H was determined using the lme() function for linear mixed-effect models of the “nlme” R package [40], with factors P (n = 2) and H (n = 10) as fixed effects and plot (n = 3) and the interaction between plot and H as random effects. Tukey’s HSD post hoc test was carried out by pairwise multiple comparisons using the “emmeans” R package [41] with the emmeans() function. Bartlett’s test was used to check the homogeneity of variance and the Shapiro–Wilk test to check the normality of residuals. Data transformation was not performed.
Secondly, the different behaviour of alfalfa between the two cropping systems (CS), in terms of productivity and nutritive value, was analysed using the t-test() function for the two samples Welch’s t-test.
Lastly, in order to evaluate the impact of Sh on annual alfalfa yield, a regression analysis between annual alfalfa AGB and Sh levels in ACS and FSS plots, was performed. Shapiro–Wilk test was performed to check the normality of residuals for year 2014 and 2015 separately, and data transformation was not necessary.

3. Results

3.1. Meteorological Data

During 2014, the cumulative rainfall observed from the sowing of alfalfa (20 March) until the last harvest (10 October) was 478 mm, a value similar to the long-term average 1961–1990 (480 mm). In the same period, the monthly rainfall was slightly lower than the long-term average (1961–1990) in all months, with the exception of June and July when the precipitation was higher than the average values (89 vs. 40 mm, and 175 vs. 31 mm for June and July, respectively) (Figure 2). In 2015, the cumulative rainfall in the growing period (1st March–22th October) was 491 mm. In the two years of study, the distribution of rainfall was different: (i) in 2014 during spring (March, April, and May) cumulative rainfall was 168 mm while in 2015 was 246 mm; (ii) during summer (June, July and August) cumulative rainfall was 315 mm in 2014 and 113 mm in 2015; (iii) during autumn (September and October) it was 41 and 177 mm in 2014 and 2015, respectively. The average of the daily mean temperature from March to October was 19.2 and 19.9 °C in 2014 and 2015, respectively. July and August 2015 were warmer than in 2014, with an increase of monthly mean temperature from 23.3 and 23.9 °C to 27.3 and 25.7 °C, respectively (Figure 2). The mean temperature recorded in the long-term was lower in both months, 19.1 and 22.05 °C in July and August, respectively.
Figure 2. March 2014–October 2015 and long-term 1971–2000 monthly rainfall, minimum, mean and maximum monthly air temperature in Manciano (Grosseto, Italy). The graph is presented according to Bagnouls and Gaussen [42], in order to identify the occurrence of dry condition, i.e., when rainfall is equal to or lower than twice the monthly mean air temperature.

3.2. Alfalfa Biomass Production Per Harvest Time in the Alley-Cropping System

In both years of the study, the alfalfa AGB in ACS was affected by P and H, while the interaction between factors was not significant (Table 1). During the establishment year (2014), alfalfa plots were harvested four times (from June to October) while during the second year of study, alfalfa plots were harvested six times (from April to October). Regarding the effect of P, alfalfa cumulative yield (all harvest dates) was significantly higher in CA than NA and SA (p < 0.0001), while these latter did not differ. Regarding the effect of H, the highest alfalfa yields were recorded in June 2015, April 2015 and June 2014, with an AGB of 1.53 ± 0.16, 1.36 ± 0.18, and 1.35 ± 0.13 Mg DM Ha−1, respectively. The lowest yields were observed in October 2014, September 2015, and October 2015, having an AGB of 0.66 ± 0.06, 0.30 ± 0.05, and 0.50 ± 0.08 Mg DM Ha−1, respectively.
Table 1. p values of the fixed effects, position and harvest, and their interaction on the under-canopy alfalfa on the above-ground biomass production (AGB), the crude protein (CP), the neutral detergent fibre content (NDF), the acid detergent fibre content (ADF), and the acid detergent lignin (ADL) content.
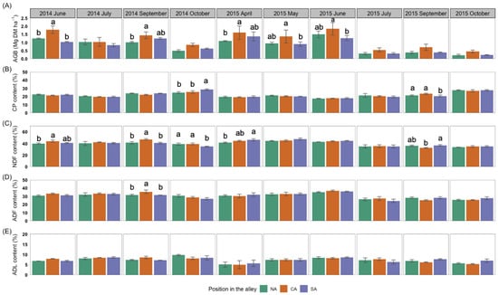
In 2014, in each harvest time, the AGB was higher in CA than in NA and SA, but only in June and September 2014 significant differences were recorded (Figure 3A). In particular, in June AGB of alfalfa was significantly lower for NA and SA compared to CA, while in September only NA had significantly lower AGB than CA. During the second year of the study (2015), alfalfa AGB per harvest time showed the same pattern as in 2014. Indeed, in each harvest time, the AGB was higher in CA than in NA and SA. Significant differences in AGB were recorder in April, May, and June. In particular: (i) in April NA was significantly lower than CA, (ii) in May SA was significantly lower than CA while NA was slightly significantly lower than CA (p = 0.0574), and (iii) in June SA was significantly lower than CA (Figure 3A).
Figure 3. Average value of: (A) alley-cropping alfalfa above-ground biomass (AGB), (B) crude protein (CP), (C) neutral detergent fibre (NDF), (D) acid detergent fibre (ADF), and (E) acid detergent lignin (ADL) content per harvest time (from June 2014 to October 2015) of investigated position in the alley: north-facing side (NA), central part (CA) and south-facing side (SA). Vertical bars indicate standard error of the mean. Same letters indicate that treatments are not different at the 0.05 probability level according to Tukey’s HSD Test.

3.3. Nutritive Value of Alfalfa Per Harvest Time in the Alley-Cropping System

In ACS, the under-canopy alfalfa CP content was not affected by the position in the alley while it significantly varied according to harvest time. The interaction between factors P and H was not significant. The average CP content was 21.94 ± 0.57, 21.89 ± 0.67 and 21.60 ± 0.55 (%DM) in NA, SA and CA, respectively. The highest CP content values were measured in October 2014 and 2015 (26.20 ± 0.81 and 27.40 ± 0.49 %DM, respectively). The lowest CP content values were recorded in July 2014 and June 2015 (19.92 ± 0.28 and 17.68 ± 0.25 %DM, respectively). CP varied significantly among positions in the alley just in September 2015, when SA was higher than CA (Figure 3B).
Regarding NDF content in the under-canopy alfalfa, this parameter was affected by both factors P, H and their interaction. The NDF content in the two years of the study averaged 39.23 ± 0.77, 40.14 ± 0.94, 40.81 ± 0.96 (%DM) in NA, SA and CA. The NDF content varied according to harvest time from 34.34 ± 0.64 to 43.89 ± 1.00 in October and April 2015, respectively. Significant differences were observed among positions in June, September and October 2014, and April and September 2015 (Figure 3C). Indeed, during 2014, NDF content of CA was significantly higher than NA in June, than both NA and SA in September, than SA in October. In April and September 2015, the content of NDF was significantly the highest in SA.
The ADF content of the ACS alfalfa did not vary among Ps but just among Hs and again the interaction between factors was not significant (Table 1). On average, ADF varied from 25.93 ± 1.11 to 35.84 ± 0.39 in July and June 2015, respectively. Only in September 2014 a significant difference among Ps was recorded, with the highest value occurring in CA (Figure 3D).
Similarly to ADF, the ADL content (Figure 3E) of the ACS alfalfa did not significantly vary among Ps but just among Hs, while the interaction between factors was not significant (Table 1). The ADL content varied among Hs from 5.27 ± 0.82 to 0.72 ± 0.22 in April 2015 and October 2014, respectively.

3.4. Comparison between Alley-Cropping and Full-Sun Systems

In the study conditions, where cropping system were not replicated, statical analysis showed significant differences on the AGB accumulation of alfalfa. In eight out of ten harvests, the AGB from the under-canopy alfalfa cultivated in ACS was lower than from the FSS (Table 2). No difference in phenology development was observed at harvest times. On average, the biomass accumulation reduction was about 56% in terms of DM. The highest reduction between FSS and ACS alfalfa was observed in October 2015 (about 76%) whereas no significant reduction was measured in June 2014 (about 47%) and May 2015 (about 46%).
Table 2. Average values and standard error of the alfalfa above-ground biomass production (AGB), the neutral detergent fibre content (NDF), the acid detergent fibre content (ADF), and the acid detergent lignin (ADL) content, in the two cropping systems: alley-cropping (ACS) and full-sun (FSS), and harvest times (from June 2014 to October 2015). Different letters indicate significant differences, p-value < 0.05, based on the two samples Welch’s t-test.
Regarding the nutritive value of alfalfa, statistical analysis showed several significant differences for CP, NDF, ADF, and ADL content between the cultivation in FSS and ACS. However, the magnitude of variation of CP, NDF, ADF, and ADL content in the investigated plots was less than that observed for the AGB variable. In particular, the alfalfa CP content was significantly higher in ACS only in October 2014 (up to 34% increase). The alfalfa NDF content in the investigated plots of alfalfa was significantly lower in ACS than in FSS in two harvest times out of ten (September 2014 and June 2015). With the same pattern, the alfalfa ADF content in the investigated plots of alfalfa was significantly lower in ACS than in FSS in three harvest times out of ten (September 2014, June 2015 and July 2015). Alfalfa ADL content was lower in ACS than FSS only in September 2014 (Table 2). The higher reduction of NDF, ADF, and ADL content in ACS alfalfa was recorded in September 2014 (−23%, −27%, and −29%, respectively).

3.5. Alfalfa Biomass Production According to Light Avialbility

The annual AGB accumulation of alfalfa was computed as the sum of all harvests for each position, and for the open-grown alfalfa plots. Annual AGB was correlated with the average values of the fraction of shade (Sh) at the herbaceous level, and for the open-grown alfalfa a value of 100% of ALT (Sh equal to 0) was used. Annual AGB was significantly correlated with Sh in both years, 2014 and 2015, as reported in Figure 4. Pooling data from both years, a 62% reduction of the annual AGB was registered in NA and SA positions compared to the open-grown alfalfa whit a Sh of 0.51 and 0.38 in NA and SA, respectively. Moreover, in the central position of the alley the annual AGB was reduced by 47% respect to the full-sun alfalfa with average Sh of 0.27. In the study conditions, where cropping systems were not replicated, the linear negative correlation between Sh and annual AGB was significant for both years of the study (p < 0.001) with a p-value of the Shapiro–Wilk normality test of the residuals equal to 0.91 and 0.09 in 2014 and 2015, respectively. The parameters of the linear models are reported in Figure 4.
Figure 4. Linear regression of annual alfalfa above-ground biomass (AGB) accumulation in 2014 and 2015 with fraction of shade at the herbaceous layer. Colored lines indicate linear models and green and grey shades indicate standard error bounds for 2014 and 2015 data: NA means north-facing side, CA means central part, and SA means south-facing side of the alley, while FSS means alfalfa of the full-sun system.

4. Discussion

The aim of this study was to evaluate the response of alfalfa in an olive-based alley system under typical Mediterranean conditions. In both years of the study, wet meteorological conditions allowed the growth and the re-growth of alfalfa in rainfed conditions.
Our results showed that alfalfa biomass production was negatively affected by the tree presence mainly due to the reduction of light availability at herbaceous layer. Several authors have shown that the alfalfa yield potential was negatively affected when cultivated beneath the tree canopy in other agro-ecosystem. McGraw et al. [43] observed an alfalfa yield reduction in a 20 years-old black walnut (Juglans nigra L.) alley-cropping system in North America. Similar results were reported by Varella et al. [44] in a radiata pine agroforestry field trial, with a 7 m × 7 m layout in New Zealand. In our experiment, under-canopy alfalfa yielded less in the crop-tree interface zone than in the central part of the alley, showing that competition for resources is higher close to the trees. McGraw et al. [43] observed that alfalfa, in an alley-cropping practice, delayed the maturity and reduced the biomass production linearly as the distance from the trees decreased. Our two-year results highlighted that alfalfa biomass accumulation reduction was negatively correlated with available light transmittance above the herbaceous layer with a linear relationship. Varella et al. [44] in a two-year field trial, measured a yield reduction of alfalfa of about 70%, caused by a 49% decrease in mean daily photosynthetic photon flux density transmittance compared to full-sun light. In our experiment, a reduction of 30%–40% of available light transmittance corresponded to a reduction of about 50% of under-canopy alfalfa yield compared to the open-grown alfalfa.
The negative effect of a reduction in light availability was observed also on other legume species. Perry et al. [45], assessing the feasibility of the roughage production under the tree canopies in Nebraska, showed that the yield of birdsfoot trefoil (Lotus corniculatus L.) increased as light transmittance increased. Kyriazopoulos et al. [46] showed that yield reduction of Trifolium subterraneum L. cultivated in pots was caused by shade.
Several authors obtained similar results also in grass-legume mixtures. Devkota et al. [47] reported decreased understory herbage biomass, from light to heavy shade treatments, of about 20–60%, in an alder-based (Alnus cordata L.) agroforestry system in New Zealand. The mixture meadow Trifolium repens L. and Lolium perenne L. was negatively affected by light reduction under shade cloths and slats [48]. In particular, shade level of about 80% lowered the biomass productivity of the meadow by nearly 50%.
In the Mediterranean agro-environment, several authors reported a negative effect of reduced light availability on legumes growth beneath the canopy of several trees: Several authors [29,49,50,51] reported a decreasing trend of the production of legume species under the canopy of oaks in the Iberian dehesa. Mahieu et al. [20], based on the results of a field trial conducted in southern France, showed that chickpea (Cicer arietinum L.) produced a higher biomass per plant (as sum of above and below ground) in the middle part of a walnut alley, if compared to sole crop. More recently, Mantino et al. [33] showed that the light reduction in a poplar (Populus spp. L.) short rotation coppice alley-cropping system with a 13.5 m wide alley, had a detrimental effect on soybean grain production. Moreover, in this study, the correlation between annual biomass accumulation and available light transmittance was observed in both years, despite a difference of 200 mm of rain fallen during the summer season. These results suggest that ALT affects alfalfa biomass production more than other factors, such as soil water content, as reported by other authors for other herbaceous crops cultivated in agroforestry systems [32,33,35,45].
In our study, the nutritive value of alfalfa was slightly affected by the tree presence. As previously reported [43], a low variability was observed for CP, NDF, ADF, and ADL contents between under-canopy and open-grown alfalfa.
Previous studies showed a positive effect of tree presence and under-canopy light reduction on the CP content of several forage crops: Cubera et al. [49] showed increased CP content in a grass-legume mixture cultivated under the canopy of oaks in a Portuguese agrosilvopastoral system; Kyriazopoulos et al. [46] showed that the CP content of grass, legume, and their mixture increased with shade intensity in a pot trial. Conversely, Perry et al. [45] highlighted that the CP content of birdsfoot trefoil (Lotus corniculatus L.) did not respond to ALT in the under-canopy layer of two tree plantations in Nebraska. According to previous studies, our results highlighted that when a significant difference occurred (in 2 out of 10 harvests) the CP content was higher in under-canopy alfalfa, compared to open-grown alfalfa. Additionally, the significant differences found among under-canopy alfalfa plots highlighted a different response of alfalfa cultivated in the tree-crop interface than in the center of the alley.
Concerning fibre content, during the two years of study, differences were observed for NDF and ADF content between under-canopy and open-grown alfalfa. A similar behaviour was observed also for lignin content. Generally, the NDF, ADF, and ADL were lower in the under-canopy than in open-grown alfalfa, and it corresponded to a higher CP content and then a higher nutritive value of the herbage. Our results are in contrast with results reported by Ehret et al. [48] who found no influence of shade on fibre content in a binary grass-legume mixture in an artificial shade plot experiment. Kyriazopoulos et al. [46] reported that shade did not affect NDF and ADF content of a binary grass-legume mixture while the authors reported an increasing trend of ADL content in shaded pots.

5. Conclusions

Biomass reduction of alfalfa cultivated in the alley of an olive orchard mainly depended on light availability and thus on tree spacing and size. The nutritive value of the under-canopy alfalfa showed a general improvement compared to the sole crop cultivated in full sun. However, our results showed that: (i) the alfalfa biomass accumulation was negatively affected at all harvest times by the tree presence and (ii) the improving of nutritive value in terms of crude protein, fibre and lignin content was less important than the yield reduction and it did not occur always. In accordance with past studies, competition for light seems to be more important than competition for water between legumes and trees.
All this considered, the development of shade tolerant legumes should be fostered in order to enhance the yield and the nutritive value of the under-canopy herbage mass, allowing a more efficient use of land. Tree management, such as pruning, tree training system, and orchard layout, can enhance the herbage productivity increasing the light availability at the herbaceous layer. However, this might reduce the productivity of the tree crop. Further studies are needed in order to: (i) investigate the complex interactions between trees and crops, addressing the possible competition for water and nutrient, (ii) assess the effect of alfalfa in a wide olive tree plantation on the olive productivity, and (iii) investigate the effects of tree shade on the anti-nutritional factors (i.e., saponins and tannins) in alfalfa grown in agroforestry systems.

Author Contributions

Conceptualization, A.M., C.T. and E.B.; methodology, A.M., C.T., G.R., M.M. and E.B.; formal analysis, A.M.; investigation, A.M., C.T. and G.R.; resources, G.R., M.M. and E.B.; data curation, A.M.; writing—original draft preparation, A.M. and G.R.; writing—review and editing, A.M., C.T., G.R., M.M. and E.B.; supervision, M.M. and G.R. All authors have read and agreed to the published version of the manuscript.

Funding

This research received no external funding.

Institutional Review Board Statement

Not applicable.

Data Availability Statement

Data supporting the findings of this study are available on request from the corresponding author.

Conflicts of Interest

The authors declare no conflict of interest.

References

  1. Lutz, W.; Sanderson, W.; Scherbov, S. The end of world population growth. Nature 2001, 412, 543–545. [Google Scholar] [CrossRef]
  2. Pulina, G.; Francesconi, A.H.D.; Mele, M.; Ronchi, B.; Stefanon, B.; Sturaro, E.; Trevisi, E. Sfamare un mondo di nove miliardi di persone: Le sfide per una zootecnia sostenibile. Ital. J. Agron. 2011, 6, 39–44. [Google Scholar] [CrossRef]
  3. Burgess, P.J.; Rosati, A. Advances in European agroforestry: Results from the agforward project. Agrofor. Syst. 2018, 92, 801–810. [Google Scholar] [CrossRef]
  4. Pretty, J.; Bharucha, Z.P. Sustainable intensification in agricultural systems. Ann. Bot. 2014, 114, 1571–1596. [Google Scholar] [CrossRef]
  5. Wezel, A.; Casagrande, M.; Celette, F.; Vian, J.F.; Ferrer, A.; Peigné, J. Agroecological practices for sustainable agriculture: A review. Agron. Sustain. Dev. 2014, 34, 1–20. [Google Scholar] [CrossRef]
  6. Altieri, M.A.; Nicholls, C.I.; Henao, A.; Lana, M.A. Agroecology and the design of climate change-resilient farming systems. Agron. Sustain. Dev. 2015, 869–890. [Google Scholar] [CrossRef]
  7. den Herder, M.; Moreno, G.; Mosquera-Losada, R.M.; Palma, J.H.N.; Sidiropoulou, A.; Santiago Freijanes, J.J.; Crous-Duran, J.; Paulo, J.A.; Tomé, M.; Pantera, A.; et al. Current extent and stratification of agroforestry in the European Union. Agric. Ecosyst. Environ. 2017, 241, 121–132. [Google Scholar] [CrossRef]
  8. Status, C.; Prospects, F. Agroforestry in Europe; Rigueiro-Rodróguez, A., McAdam, J., Mosquera-Losada, M.R., Eds.; Advances in Agroforestry; Springer: Dordrecht, The Netherlands, 2008; Volume 6, ISBN 978-1-4020-8271-9. [Google Scholar]
  9. Paolotti, L.; Boggia, A.; Castellini, C.; Rocchi, L.; Rosati, A. Combining livestock and tree crops to improve sustainability in agriculture: A case study using the Life Cycle Assessment (LCA) approach. J. Clean. Prod. 2016, 131, 351–363. [Google Scholar] [CrossRef]
  10. Paris, P.; Camilli, F.; Rosati, A.; Mantino, A.; Mezzalira, G.; Dalla Valle, C.; Franca, A.; Seddaiu, G.; Pisanelli, A.; Lauteri, M.; et al. What is the future for agroforestry in Italy? Agrofor. Syst. 2019, 93, 2243–2256. [Google Scholar] [CrossRef]
  11. Famiani, F.; Gucci, R. Modern Olive Orchard Design: Moderni Modelli Olivicoli; Accademia Nazionale dell’ Olivo e dell’ Olio di Spoleto, Ed.; Colla-na: Spoleto, Italy, 2014; Volume VII. [Google Scholar]
  12. Eichhorn, M.P.; Paris, P.; Herzog, F.; Incoll, L.D.; Liagre, F.; Mantzanas, K.; Mayus, M.; Moreno, G.; Papanastasis, V.P.; Pilbeam, D.J.; et al. Silvoarable systems in Europe-Past, present and future prospects. Agrofor. Syst. 2006, 67, 29–50. [Google Scholar] [CrossRef]
  13. Ferreira, I.Q.; Arrobas, M.; Claro, A.M.; Rodrigues, M.A. Soil management in rainfed olive orchards may result in conflicting effects on olive production and soil fertility. Spanish J. Agric. Res. 2013, 11, 472–480. [Google Scholar] [CrossRef]
  14. Gucci, R.; Caruso, G.; Bertolla, C.; Urbani, S.; Taticchi, A.; Esposto, S.; Servili, M.; Sifola, M.I.; Pellegrini, S.; Pagliai, M.; et al. Changes of soil properties and tree performance induced by soil management in a high-density olive orchard. Eur. J. Agron. 2012, 41, 18–27. [Google Scholar] [CrossRef]
  15. Durán Zuazo, V.H.; Rodríguez Pleguezuelo, C.R. Soil-erosion and runoff prevention by plant covers. A review. Agron. Sustain. Dev. 2008, 28, 65–86. [Google Scholar] [CrossRef]
  16. Vallebona, C.; Pellegrino, E.; Frumento, P.; Bonari, E. Temporal trends in extreme rainfall intensity and erosivity in the Mediterranean region: A case study in southern Tuscany, Italy. Clim. Chang. 2014, 128, 139–151. [Google Scholar] [CrossRef]
  17. Panagos, P.; Borrelli, P.; Poesen, J.; Ballabio, C.; Lugato, E.; Meusburger, K.; Montanarella, L.; Alewell, C. The new assessment of soil loss by water erosion in Europe. Environ. Sci. Policy 2015, 54, 438–447. [Google Scholar] [CrossRef]
  18. Palma, J.H.N.; Graves, A.R.; Bunce, R.G.H.; Burgess, P.J.; de Filippi, R.; Keesman, K.J.; van Keulen, H.; Liagre, F.; Mayus, M.; Moreno, G.; et al. Modeling environmental benefits of silvoarable agroforestry in Europe. Agric. Ecosyst. Environ. 2007, 119, 320–334. [Google Scholar] [CrossRef]
  19. Anglade, J.; Billen, G.; Garnier, J. Relationships for estimating N 2 fixation in legumes: Incidence for N balance of legume-based cropping systems in Europe. Ecosphere 2015, 6, 1–24. [Google Scholar] [CrossRef]
  20. Mahieu, S.; Metay, A.; Brunel, B.; Dufour, L. Nitrogen fluxes in chickpea grown in Mediterranean agroforestry systems. Agrofor. Syst. 2015, 90, 313–324. [Google Scholar] [CrossRef]
  21. Vallebona, C.; Mantino, A.; Bonari, E. Exploring the potential of perennial crops in reducing soil erosion: A GIS-based scenario analysis in southern Tuscany, Italy. Appl. Geogr. 2016, 66, 119–131. [Google Scholar] [CrossRef]
  22. Mele, M.; Mantino, A.; Antichi, D.; Mazzoncini, M.; Ragaglini, G.; Cappucci, A.; Serra, A.; Pelleri, F.; Chiarabaglio, P.; Mezzalira, G.; et al. Agroforestry system for mitigation and adaptation to climate change: Effects on animal welfare and productivity. Agrochimica 2019, 2019, 91–98. [Google Scholar]
  23. Soussana, J.F.; Tallec, T.; Blanfort, V. Mitigating the greenhouse gas balance of ruminant production systems through carbon sequestration in grasslands. Animal 2010, 4, 334. [Google Scholar] [CrossRef]
  24. Glover, J.D.; Reganold, J.P.; Bell, L.W.; Borevitz, J.; Brummer, E.C.; Buckler, E.S.; Cox, C.M.; Cox, T.S.; Crews, T.E.; Culman, S.W.; et al. Agriculture. Increased food and ecosystem security via perennial grains. Science 2010, 328, 1638–1639. [Google Scholar] [CrossRef]
  25. Lüscher, A.; Mueller-Harvey, I.; Soussana, J.F.; Rees, R.M.; Peyraud, J.L. Potential of legume-based grassland-livestock systems in Europe: A review. Grass Forage Sci. 2014, 69, 206–228. [Google Scholar] [CrossRef]
  26. Mantino, A.; Ragaglini, G.; Nassi, O.; Di Nasso, N.; Tozzini, C.; Taccini, F.; Bonari, E.; Di Nasso, N.; Tozzini, C.; Taccini, F.; et al. Alfalfa (Medicago sativa l.) overseeding on mature switchgrass (panicum virgatum l.) stand: Biomass yield and nutritive value after the establishment year. Ital. J. Agron. 2016, 11, 143–148. [Google Scholar] [CrossRef]
  27. Rivest, D.; Paquette, A.; Moreno, G.; Messier, C. A meta-analysis reveals mostly neutral influence of scattered trees on pasture yield along with some contrasted effects depending on functional groups and rainfall conditions. Agric. Ecosyst. Environ. 2013, 165, 74–79. [Google Scholar] [CrossRef]
  28. Moreno, G. Response of understorey forage to multiple tree effects in Iberian dehesas. Agric. Ecosyst. Environ. 2008, 123, 239–244. [Google Scholar] [CrossRef]
  29. Moreno, G.; Obrador, J.J.; García, A. Impact of evergreen oaks on soil fertility and crop production in intercropped dehesas. Agric. Ecosyst. Environ. 2007, 119, 270–280. [Google Scholar] [CrossRef]
  30. Seddaiu, G.; Porcu, G.; Ledda, L.; Paolo, P.; Agnelli, A.; Corti, G. Soil organic matter content and composition as influenced by soil management in a semi-arid Mediterranean agro-silvo-pastoral system. Agric. Ecosyst. Environ. 2013, 167, 1–11. [Google Scholar] [CrossRef]
  31. Rossetti, I.; Bagella, S.; Cappai, C.; Caria, M.C.; Lai, R.; Roggero, P.P.; Martins da Silva, P.; Sousa, J.P.; Querner, P.; Seddaiu, G. Isolated cork oak trees affect soil properties and biodiversity in a Mediterranean wooded grassland. Agric. Ecosyst. Environ. 2015, 202, 203–216. [Google Scholar] [CrossRef]
  32. Rivest, D.; Cogliastro, A.; Vanasse, A.; Olivier, A. Production of soybean associated with different hybrid poplar clones in a tree-based intercropping system in southwestern Québec, Canada. Agric. Ecosyst. Environ. 2009, 131, 51–60. [Google Scholar] [CrossRef]
  33. Mantino, A.; Volpi, I.; Micci, M.; Pecchioni, G.; Bosco, S.; Dragoni, F.; Mele, M.; Ragaglini, G. Effect of tree presence and soil characteristics on soybean yield and quality in an innovative alley-cropping system. Agronomy 2019, 10, 52. [Google Scholar] [CrossRef]
  34. AOAC. Official Methods of Analysis. In Association of Official Analytical Chemists, Gaithersburg, Maryland; AOAC: Rockville, MD, USA, 1990. [Google Scholar]
  35. Reynolds, P.E.; Simpson, J.A.; Thevathasan, N.V.; Gordon, A.M. Effects of tree competition on corn and soybean photosynthesis, growth, and yield in a temperate tree-based agroforestry intercropping system in southern Ontario, Canada. Ecol. Eng. 2007, 29, 362–371. [Google Scholar] [CrossRef]
  36. van Soest, P.J.; Robertson, J.B.; Lewis, B.A. Polysaccharides in Relation to Animal Nutrition. J. Dairy Sci. 1991, 74, 3583–3597. [Google Scholar] [CrossRef]
  37. Frazer, G.; Canham, C.; Lertzman, K. Gap Light Analyzer (GLA), Version 2.0: Imaging Software to Extract Canopy Structure and Gap Light Transmission Indices from True-Colour fisheye Photographs, Users Manual and Program Documentation; Millbrook: New York, NY, USA, 1999; p. 36. [Google Scholar]
  38. QGIS Development Team. QGIS Geographic Information System. Open Source Geospat. Found. Proj. 2016. Available online: https://www.qgis.org/en/site/ (accessed on 1 February 2021).
  39. R Core Team. R: A Language and Environment for Statistical Computing. R Found. Stat. Comput. 2018. Available online: https://www.gbif.org/zh/tool/81287/r-a-language-and-environment-for-statistical-computing (accessed on 10 February 2015).
  40. Pinheiro, J.; Bates, D.; DebRoy, S.; Sarkar, D.; R Core Team. {nlme}: Linear and Nonlinear Mixed Effects Models. R Package Version 2006, 3, 109. [Google Scholar]
  41. Lenth, R.; Singmann, H.; Love, J.; Buerkner, P.; Herve, M. Emmeans: Estimated marginal means. R package version 1.4.4. Am. Stat. 2020, 34, 216–221. [Google Scholar]
  42. Bagnouls, F.; Gaussen, H. Les climats biologiques et leur classification. Annales Géographie 1957, 66, 193–220. [Google Scholar] [CrossRef]
  43. McGraw, R.L.; Stamps, W.T.; Houx, J.H.; Linit, M.J. Yield, maturation, and forage quality of alfalfa in a black walnut alley-cropping practice. Agrofor. Syst. 2008, 74, 155–161. [Google Scholar] [CrossRef]
  44. Varella, A.C.; Moot, D.J.; Pollock, K.M.; Peri, P.L.; Lucas, R.J. Do light and alfalfa responses to cloth and slatted shade represent those measured under an agroforestry system? Agrofor. Syst. 2011, 81, 157–173. [Google Scholar] [CrossRef]
  45. Perry, M.E.L.; Schacht, W.H.; Ruark, G.A.; Brandle, J.R. Tree canopy effect on grass and grass/legume mixtures in eastern Nebraska. Agrofor. Syst. 2009, 77, 23–35. [Google Scholar] [CrossRef]
  46. Kyriazopoulos, A.P.; Abraham, E.M.; Parissi, Z.M.; Koukoura, Z.; Nastis, A.S. Forage production and nutritive value of Dactylis glomerata and Trifolium subterraneum mixtures under different shading treatments. Grass Forage Sci. 2012, 68, 72–82. [Google Scholar] [CrossRef]
  47. Devkota, N.R.; Kemp, P.D.; Hodgson, J.; Valentine, I.; Jaya, I.K.D. Relationship between tree canopy height and the production of pasture species in a silvopastoral system based on alder trees. Agrofor. Syst. 2009, 76, 363–374. [Google Scholar] [CrossRef]
  48. Ehret, M.; Graß, R.; Wachendorf, M.; Graß, R.; Wachendorf, M. The effect of shade and shade material on white clover/perennial ryegrass mixtures for temperate agroforestry systems. Agrofor. Syst. 2015, 89, 557–570. [Google Scholar] [CrossRef]
  49. Cubera, E.; Manuel Nunes, J.; Madeira, M.; Gazarini, L. Influence of Quercus ilex trees on herbaceous production and nutrient concentrations in southern Portugal. J. Plant Nutr. Soil Sci. 2009, 172, 565–571. [Google Scholar]
  50. Gea-Izquierdo, G.; Montero, G.; Cañellas, I. Changes in limiting resources determine spatio-temporal variability in tree–grass interactions. Agrofor. Syst. 2009, 76, 375–387. [Google Scholar] [CrossRef]
  51. López-Carrasco, C.; López-Sánchez, A.; San Miguel, A.; Roig, S. The effect of tree cover on the biomass and diversity of the herbaceous layer in a Mediterranean dehesa. Grass Forage Sci. 2015, 70, 639–650. [Google Scholar] [CrossRef]
Publisher’s Note: MDPI stays neutral with regard to jurisdictional claims in published maps and institutional affiliations.

Article Metrics

Citations

Article Access Statistics

Multiple requests from the same IP address are counted as one view.