Object Detection of Ground-Penetrating Radar Signals Using Empirical Mode Decomposition and Dynamic Time Warping
Abstract
1. Introduction
1.1. Description of Radar Wave Transmission and Reflection
1.2. Brief Description of Other Studies Using the Method to Image Wood Defects
1.3. Breakdown of the Empirical Mode Decomposition (EMD) and Dynamic Time Warping (DTW) Methodology
2. Materials
2.1. Theory of GPR Wave Propagation
2.2. Materials
2.3. GPR System
3. Processing Methods
3.1. Empirical Mode Decomposition (EMD)
- Step 1.
- Let S(t) represent the A-scan raw signal. Then, the local maximum Smax(t) and minimum Smin(t) values of the raw signal S(t) is interpolated by cubic spline lines interpolation methods. The average envelope Avg(t) of Smax(t) and Smin(t) is calculated as described in Equation (4).
- Step 2.
- S(t + 1) = S(t) − Avg(t), let O(t) be the basis function that satisfies the IMF condition. For the new data S(t + 1), if there is no negative local maxima and positive local minima, the data would be an eigenmode function, set O(t) = S(t + 1). Then, the first IMF is obtained.
- Step 3.
- The residual component could be described by Equation (5):
- Step 4.
- If S(t+1) still has at least 2 extreme points, repeat Step 1 and Step 2 until the last residual signal cannot be decomposed.
3.2. Dynamic Time Warping (DTW)
- (1)
- The selected path must start from the lower-left corner and end in the upper right corner.
- (2)
- Each matching point on the path can only be calculated by selecting points within the adjacent range.
- (3)
- The points on the regular path must be monotonically selected over time.
4. Results and Discussion
4.1. The Experimental Results on Core-Samples
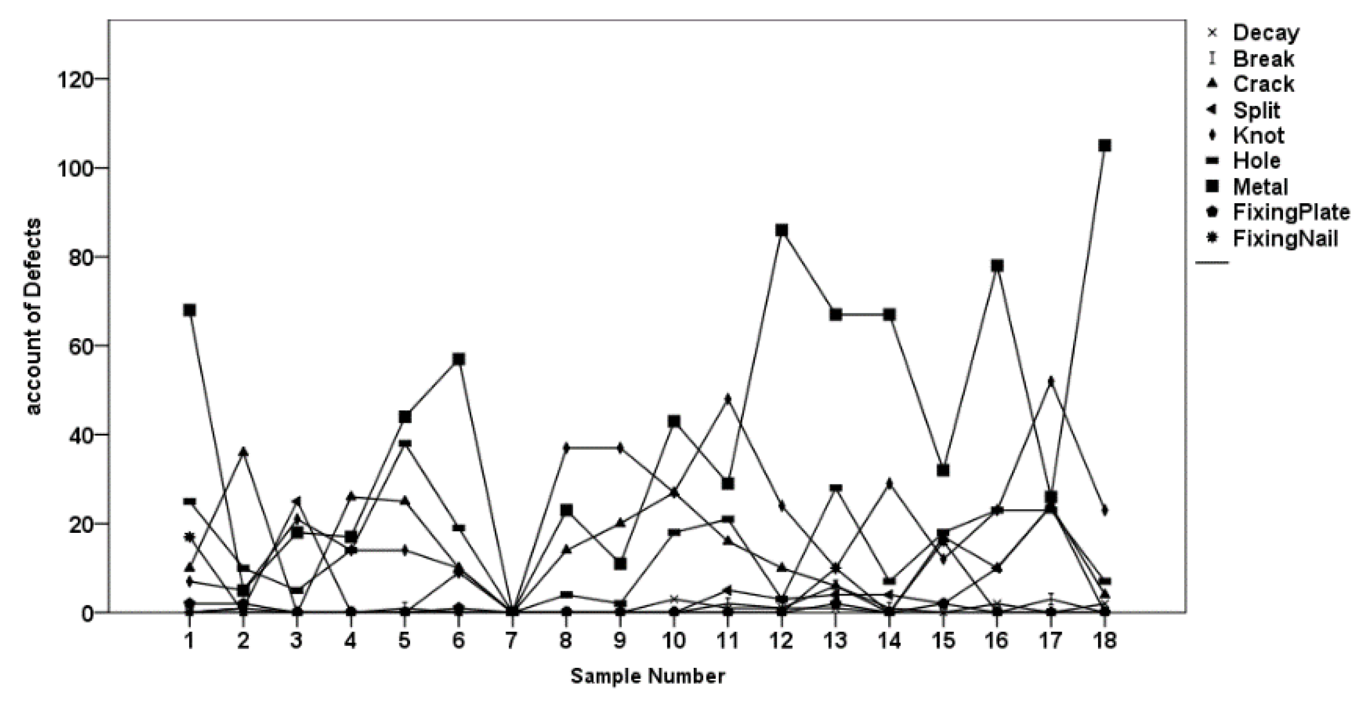
4.2. The Experimental Results on Bridge Timbers
- Even though lots of the reflected waves have been shown in the radargrams as we can see, some objects inside the wood were still not successfully observed in the radargrams. When some objects were close with each other, these waves may be covered by some special wave. For these objects, the similarity could reflect the difference among them. For some objects with obscure reflected waves that could not be located as defects on the radargrams, the processing on similarity has advantages on the extraction of defects.
- Some objects shown in the radargrams sometimes were not accurately estimated according to the similarity matrix. Nearby objects influenced the values of the object. The similarity values of the overlapped wave between objects were higher than those of the objects. Or the reflected waves of one surrounding objects with a big diameter or higher dielectronic constant (DC) influenced the comparison of similarity.
- The size of the object that was not successfully shown in the radargram and failed to be located by the peak points of the similarity matrix was commonly small. For these objects, the setup of the sampling interval in the system was also one of the factors that influence the final observation. The objects probably were unsuccessfully caught by the antenna when the sampling interval was big.
- An inaccurate decision of the defects may happen due to the complex condition surround the objects, even though some objects could be detected in both radargrams and the line chart of the similarity matrix. For example, the similarity values of a small nail were similar with a big hole, and a bigger metal bar may have similar results with two closer shorter nails.
5. Conclusions
Author Contributions
Funding
Acknowledgments
Conflicts of Interest
References
- Pettinelli, E.; Matteo, A.D.; Mattei, E.; Crocco, L.; Soldovieri, F.; Redman, J.D.; Annan, A.P. GPR response from buried pipes: Measurement on field site and tomographic reconstructions. IEEE Trans. Geosci. Remote Sens. 2009, 47, 2639–2645. [Google Scholar] [CrossRef]
- Liu, Y.; Shi, Z.; Wang, B.; Yu, T. GPR impedance inversion for imaging and characterization of buried archaeological remains: A case study at Mudu city cite in Suzhou, China. J. Appl. Geophys. 2018, 148, 226–233. [Google Scholar] [CrossRef]
- Annan, A.P. The history of ground penetrating radar. Subsurf. Sens. Technol. Appl. 2002, 3, 303–320. [Google Scholar] [CrossRef]
- Chang, C.W.; Lin, C.H.; Yuan, Q. Quantitative study of electromagnetic wave characteristic values for mortar’s crack. Constr. Build. Mater. 2018, 175, 351–359. [Google Scholar] [CrossRef]
- Xie, F.; Wu, G.G.; Lai, W.W.; Sham, J.F. Correction of multi-frequency GPR wave velocity with distorted hyperbolic reflections from GPR surveys of underground utilities. Tunn. Undergr. Space Technol. 2018, 76, 76–91. [Google Scholar] [CrossRef]
- Schad, K.C.; Schmold, D.L.; Ross, R.J. Nondestructive methods for detecting defects in softwood logs. In Research Paper FPL-RP-546; U.S. Department of Agriculture, Forest Service, Forest Products Laboratory: Madison, WI, USA, 1996. [Google Scholar]
- Brashaw, B.K. Inspection of Timber Bridge Longitudinal Decks with Ground Penetrating Radar. Ph.D. Thesis, Mississippi State University, Starkville, MS, USA, 2014; p. 3665457. [Google Scholar]
- Shapovalov, V.; Yavna, V.; Kochur, A.; Khakiev, Z.; Sulavko, S.; Daniel, D.; Kruglikov, A. Application of GPR for determining electrophysical properties of structural layers and materials. J. Appl. Geophys. 2020, 172, 103913. [Google Scholar] [CrossRef]
- Muller, W. Timber girder inspection using ground penetrating radar. Or Insight 2003, 45, 809–812. [Google Scholar] [CrossRef]
- Maï, T.C.; Razafindratsima, S.; Sbartaï, Z.M.; Demontoux, F.; Bos, F. Non-destructive evaluation of moisture content of wood material at GPR frequency. Constr. Build. Mater. 2015, 77, 213–217. [Google Scholar] [CrossRef]
- Martínez-Sala, R.; Rodríguez-Abad, I.; Diez Barra, R.; Capuz-Lladró, R. Assessment of the dielectric anisotropy in timber using the nondestructive GPR technique. Constr. Build. Mater. 2013, 38, 903–911. [Google Scholar] [CrossRef]
- Hans, G.; Redman, D.; Leblon, B.; Nader, J.; Larocque, A. Determination of log moisture content using ground penetrating radar (GPR). Part 2. Propagation velocity (PV) method. Holzforschung 2015, 69, 1125–1132. [Google Scholar] [CrossRef]
- Razafindratsima, S.; Sbartaï, Z.M.; Demontoux, F. Permittivity measurement of wood material over a wide range of moisture content. Wood Sci. Technol. 2017, 51, 1421–1431. [Google Scholar] [CrossRef]
- Xiang, L.; Zhou, H.L.; Shu, Z.; Tan, S.H.; Liang, G.Q.; Zhu, J. Gpr evaluation of the Damaoshan highway tunnel: A case study. NDT E Inter. 2013, 59, 68–76. [Google Scholar] [CrossRef]
- Huang, N.E.; Shen, Z.; Long, S.R.; Wu, M.C.; Shih, H.H.; Zheng, Q.; Yen, N.C.; Tung, C.C.; Liu, H.H. The Empirical Mode Decomposition and the Hilbert Spectrum for Nonlinear and Non-Stationary Time Series Analysis. Proc. R. Soc. Lond. A Math. Phys. Eng. Sci. 1998, 454, 903–995. [Google Scholar] [CrossRef]
- Dragomiretskiy, K.; Zosso, D. Variational Mode Decomposition. IEEE Trans. Signal Process. 2014, 62, 531–544. [Google Scholar] [CrossRef]
- Battista, B.M.; Knapp, C.; McGee, T.; Goebel, V. Application of the empirical mode decomposition and Hilbert–Huang transform to seismic reflection data. Geophysics 2007, 72, 29–37. [Google Scholar] [CrossRef]
- Narayanan, R.M.; Shastry, M.C.; Chen, P.-H.; Levi, M. Through -the-Wall Detection of Stationary Human Targets Using Doppler Radar. Prog. Electromagn. Res. B 2010, 20, 147–166. [Google Scholar] [CrossRef]
- Mallat, S. A Wavelet Tour of Signal Processing: The Sparse Way; Academic Press: Burlington, MA, USA, 2008; pp. 98–99. [Google Scholar]
- Bekara, M.; Baan, M.V.D. Random and coherent noise attenuation by empirical mode decomposition. Geophysics 2009, 74, 89–98. [Google Scholar] [CrossRef]
- Zhu, B.Z.; Yuan, L.L.; Ye, S.X. Examining the multi-timescales of European carbon market with grey relational analysis and empirical mode decomposition. Phys. A Stat. Mech. Appl. 2019, 517, 392–399. [Google Scholar] [CrossRef]
- Jazayeri, S.; Saghafi, A.; Esmaeili, S.; Tsokos, C. Automatic Object Detection using Dynamic Time Warping on Ground Penetrating Radar Signals. Expert Syst. Appl. 2019, 122, 102–107. [Google Scholar] [CrossRef]
- Ratanamahatana, C.A.; Keogh, E. Everything you know about dynamic time warping is wrong. In Proceedings of the Third Workshop on Mining Temporal and Sequential Data, in Conjunction with 10th ACM SIGKDD International Conference on Knowledge Discovery and Data Mining (KDD-2004), Seattle, WA, USA, 22–25 August 2004; pp. 22–25. [Google Scholar]
- Zhen, D.; Wang, T.; Gu, F.; Ball, A.D. Fault diagnosis of motor drives using stator current signal analysis based on dynamic time warping. Mech. Syst. Signal Process. 2013, 34, 191–202. [Google Scholar] [CrossRef]
- Parziale, A.; Diaz, M.; Ferrer, M.A.; Marcelli, A. SM-DTW: Stability Modulated Dynamic Time Warping for signature verification. Pattern Recognit. Lett. 2019, 121, 113–122. [Google Scholar] [CrossRef]
- Jain, B.J. Making the dynamic time warping distance warping-invariant. Pattern Recognit. 2019, 94, 35–52. [Google Scholar] [CrossRef]
- Tosti, F.; Ciampoli, L.B.; Calvi, A.; Alani, A.M.; Benedetto, A. An investigation into the railway ballast dielectric properties using different GPR antennas and frequency systems. NDT E Inter. 2018, 93, 131–140. [Google Scholar] [CrossRef]
- Benson, A.K. Applications of ground penetrating radar in assessing some geological hazards: Examples of groundwater contamination, faults, cavities. J. Appl. Geophys. 1995, 33, 177–193. [Google Scholar] [CrossRef]
- Wacker, J.; Mikhail, M.; Dizon, G. Evaluation of Bridge Components Salvaged from Historic Route 66 in California; Research in Progress RIP-4719-038; USDA Forest Service, Forest Products Laboratory: Madison, WI, USA, 2017; Available online: https://www.fpl.fs.fed.us/documnts/rips/fplrip-4719-038-Wacker-Mikhail-Dizon.pdf (accessed on 4 February 2020).
- Li, H.; Qin, X.; Zhao, D.; Chen, J.; Wang, P. An improved empirical mode decomposition method based on the cubic trigonometric b-spline interpolation algorithm. Appl. Math. Comput. 2018, 332, 406–419. [Google Scholar] [CrossRef]














| NO. | Diameter (mm) | Length (mm) | Volume (m3) |
|---|---|---|---|
| 1 | 68.263 | 133.350 | 4.880 × 10−4 |
| 2 | 66.675 | 133.350 | 4.880 × 10−4 |
| 3 | 68.263 | 133.350 | 4.880 × 10-4 |
| 4 | 68.263 | 133.350 | 4.880 × 10-4 |
| 5 | 68.263 | 133.350 | 4.880×10−4 |
| 6 | 68.263 | 133.350 | 4.880 × 10−4 |
| 7 | 68.263 | 133.350 | 4.880 × 10−4 |
| NO. | Moisture Content (%) | |||||
|---|---|---|---|---|---|---|
| 0 h | 2 h | 7.5 h | 24 h | 55.5 h | 120 h | |
| 1 | 6 | 14 | 20 | 27 | 35 | 46 |
| 2 | 6 | 14 | 19 | 23 | 36 | 47 |
| 3 | 6 | 15 | 21 | 28 | 35 | 45 |
| 4 | 6 | 14 | 18 | 25 | 31 | 39 |
| 5 | 6 | 14 | 19 | 26 | 33 | 42 |
| Radar-Parameter | Setting/Value | Process-Parameter | Setting/Value |
|---|---|---|---|
| Collect Model | Distance Mode | Gain Model | Manual |
| Scans/Second | 200 | Edit Gain Curve | 8 Points |
| Samples/Scan | 512 | FIR (Finite Impulse Response) Low Pass | 4000 MHz |
| Scans/In | 10.0 | FIR High Pass | 500 MHz |
| In/Mark | 120.0 | FIR Stacking | Off |
| Soil Type | Custom | FIR BG Removal | 0 |
| Time Range | 3.00 (ns) | IIR (Infinite Impulse Response) Low Pass | Off |
| Position Model | Manual | IIR High Pass | 10 MHz |
| Offset | 11.90 | IIR Stacking | 0 |
| Surface | 0 (%) | IIR BG (Background) Removal | 0 |
| Signal Floor | Off | ||
| Filters | Off |
| NO. | 1 | 2 | 3 | 4 | 5 | 6 | 8 | 9 | 10 | 11 | 12 | 13 | 14 | 15 | 16 | 17 | 18 |
|---|---|---|---|---|---|---|---|---|---|---|---|---|---|---|---|---|---|
| NM | 60 | 5 | 14 | 7 | 41 | 55 | 22 | 9 | 63 | 23 | 77 | 64 | 61 | 37 | 72 | 24 | 94 |
| NMP | 39 | 3 | 8 | 4 | 24 | 42 | 20 | 7 | 45 | 21 | 36 | 33 | 24 | 28 | 36 | 17 | 50 |
| Per (%) | 65 | 60 | 57 | 57 | 59 | 76 | 91 | 78 | 71 | 91 | 47 | 52 | 39 | 76 | 50 | 71 | 53 |
© 2020 by the authors. Licensee MDPI, Basel, Switzerland. This article is an open access article distributed under the terms and conditions of the Creative Commons Attribution (CC BY) license (http://creativecommons.org/licenses/by/4.0/).
Share and Cite
Wu, X.; Senalik, C.A.; Wacker, J.; Wang, X.; Li, G. Object Detection of Ground-Penetrating Radar Signals Using Empirical Mode Decomposition and Dynamic Time Warping. Forests 2020, 11, 230. https://doi.org/10.3390/f11020230
Wu X, Senalik CA, Wacker J, Wang X, Li G. Object Detection of Ground-Penetrating Radar Signals Using Empirical Mode Decomposition and Dynamic Time Warping. Forests. 2020; 11(2):230. https://doi.org/10.3390/f11020230
Chicago/Turabian StyleWu, Xi, Christopher Adam Senalik, James Wacker, Xiping Wang, and Guanghui Li. 2020. "Object Detection of Ground-Penetrating Radar Signals Using Empirical Mode Decomposition and Dynamic Time Warping" Forests 11, no. 2: 230. https://doi.org/10.3390/f11020230
APA StyleWu, X., Senalik, C. A., Wacker, J., Wang, X., & Li, G. (2020). Object Detection of Ground-Penetrating Radar Signals Using Empirical Mode Decomposition and Dynamic Time Warping. Forests, 11(2), 230. https://doi.org/10.3390/f11020230

