Static and Sliding Frictions of Roundwood Exposed to Different Levels of Processing and Their Impact on Transportation Logistics
Abstract
1. Introduction
2. Materials and Methods
2.1. Test Setup
2.2. Test Measurements
2.3. Data Evaluation
2.4. Weather Data
3. Results
3.1. Mass Loss of Test Logs after 7 and 21 Days
3.2. Correlation between Pulling Force and Log Mass
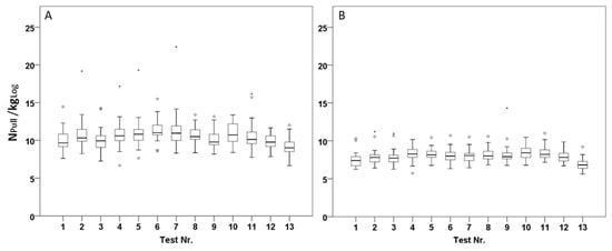
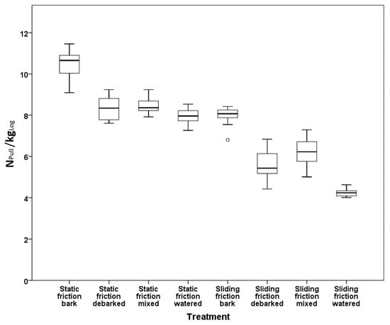
3.3. Static and Sliding Frictions Overview
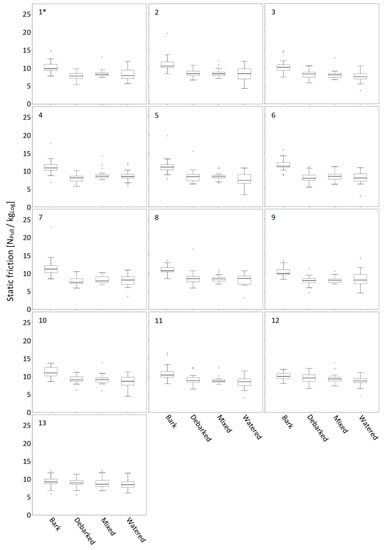
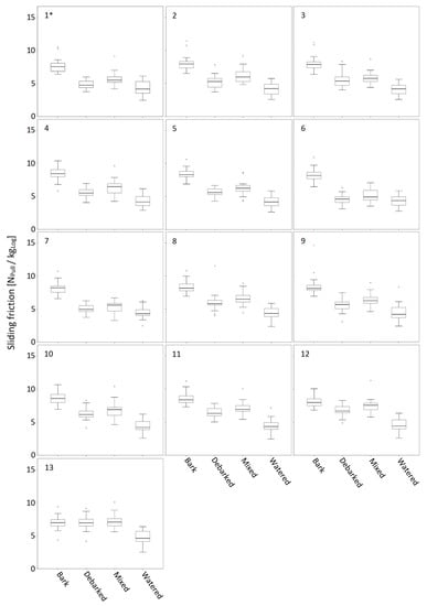
3.4. Development of Static and Sliding Frictions Single Test Wise Comparison
3.5. Influence of Debarking Treatment on Load Volume and Mass
4. Discussion
4.1. Study Design and Measurement System
4.2. Static and Sliding Frictions
4.3. Load Mass and Volume
5. Conclusions
Author Contributions
Funding
Acknowledgments
Conflicts of Interest
References
- Bundesverband Güterkraftverkehr Logistik und Entsorgung (BGL) e.V. (2019). Available online: https://www.bgl-ev.de/web/mensch_umwelt_verkehr/verkehrssicherheit/verkehrssicherheit2.htm (accessed on 13 June 2019).
- DEKRA Automobil GmbH. Dekra Verkehrssicherheits Report 2018—Güterverkehr; ETM Corporate Publishing: Stuttgart, Germany, 2018; 76p. [Google Scholar]
- Statista Forst- und Holzwirtschaft. 161p. Available online: https://de.statista.com/statistik/daten/studie/152173/umfrage/entwicklung-des-holzeinschlags-seit-dem-jahr-1998/ (accessed on 8 February 2019).
- Jagelcak, J.; Gnap, J. Different measures for load securing create barriers in international road freight transport. Arch. Transp. Syst. Telemat. 2011, 4, 10–17. [Google Scholar]
- Strauß, M. Unfall: Holz-Lkw verliert Ladung. Volksstimme. Available online: https://www.volksstimme.de/lokal/salzwedel/unfall-holz-lkw-verliert-ladung (accessed on 8 July 2019).
- Abendzeitung. Holz-Lkw kippt auf A92 um—Lange Staus. Abendzeitung München. Available online: https://www.abendzeitung-muenchen.de/inhalt.zwischen-erding-und-freising-lkw-unfall-auf-a92-behinderungen-bis-zum-mittag.88436ae0-9739-4713-8f6f-404916abfc44.html (accessed on 8 July 2019).
- Monaco, K.; Williams, E. Assessing the determinants of safety in the trucking industry. J. Transp. Stat. 2000, 3, 69–80. [Google Scholar]
- Quinlan, M. Report of Inquiry into Safety in the Long Haul Trucking Industry; Motor Accidents Authority of New South Wales: Sydney, Australia, 2001; ISBN 1876958065. [Google Scholar]
- Singh, S.P.; Antle, J.; Singh, J.; Topper, E.; Grewal, G. Load Securement and Packaging Methods to Reduce Risk of Damage and Personal Injury for Cargo Freight in Truck, Container and Intermodal Shipments. J. Appl. Packag. Res. 2014, 6, 6. [Google Scholar] [CrossRef]
- McKinnon, A.C. The economic and environmental benefits of increasing maximum truck weight: The British experience. Transp. Res. Part D Transp. Environ. 2005, 10, 77–95. [Google Scholar] [CrossRef]
- Jacob, B.; Feypell-de La Beaumelle, V. Improving truck safety: Potential of weigh-in-motion technology. IATSS Res. 2010, 34, 9–15. [Google Scholar] [CrossRef]
- Zhang, P.; Nagae, T.; McCormick, J.; Ikenaga, M.; Katsuo, M.; Nakashima, M. Friction-based sliding between steel and steel, steel and concrete, and wood and stone. In Proceedings of the 14th World Conference on Earthquake Engineering, Beijing, China, 12–17 October 2008. [Google Scholar]
- Koubek, R.; Dedicova, K. Friction of Wood on Steel. Master’s Thesis, Linnaeus University, Växjö, Sweden, 2014. Available online: http://www.diva-portal.org/smash/record.jsf?dswid=6017&pid=diva2%3A729796&c=8&searchType=SIMPLE&language=en&query=Friction+of+Wood+on+Steel&af=%5B%5D&aq=%5B%5B%5D%5D&aq2=%5B%5B%5D%5D&aqe=%5B%5D&noOfRows=50&sortOrder=author_sort_asc&sortOrder2=title_sort_asc&onlyFullText=false&sf=all (accessed on 26 June 2019).
- Carroll, A.; Forster, B.; Hurling, R.; Nageleisen, L.M.; Ravn, H.P.; Weed, A.; Schroeder, M.; Grégoire, J.; Marini, L.; Økland, B.; et al. Climate drivers of bark beetle outbreak dynamics in Norway spruce forests. Ecography 2017, 40, 1426–1435. [Google Scholar]
- De Groot, M.; Diaci, J.; Ogris, N. Forest management history is an important factor in bark beetle outbreaks: Lessons for the future. For. Ecol. Manag. 2019, 433, 467–474. [Google Scholar] [CrossRef]
- Hinze, J.; John, R.; Delb, H. Spreading Dynamics of the European Spruce Bark Beetle in the Black Forest National Park; FVA Annual Report; Forest Research Institute: Freiburg, Germany, 2017; pp. 28–29. [Google Scholar]
- Abschlussbericht. Nährstoffentzüge bei Holzernte minimieren durch die Nutzung von entrindenden Harvesterfällköpfen (Debarking Head); Bundesministerium für Ernährung und Landwirtschaft: Bonn, German, 2018; 100p. [Google Scholar]
- Verein Deutscher Ingenieure e.V. Securing of loads on road vehicles—Determination of coefficients of friction. VDI 2700, Part 14; Beuth Verlag: Berlin, Germany, 2011; 20p. [Google Scholar]
- Korten, S.; Eberhardinger, A. Entwicklungen Für den Rundolztransport. Logistik—Holz Kommt in Fahrt, LWF Aktuell 2008; Bavarian State Institute of Forestry: Freising, Germany, 2008; Volume 65, pp. 16–18. ISSN 1435–4098. [Google Scholar]
- Erler, J.; Dög, M. Funktiogramme für Holzernteverfahren. Forsttechnische Informationen KWF 2009, 61, 14–17. [Google Scholar]
- Reisinger, K.; Höldrich, A.; Kuptz, D.; Hartmann, H. Poster: Umrechnungsfaktoren verschiedener Raummaße für Scheitholz. Technologie- und Förderzentrum im Kompetenzzentrum für Nachwachsende Rohstoffe. Available online: www. tfz.bayern.de (accessed on 8 July 2019).
- German Federal Ministry of Transport and Digital Infrastructure. Schedule of Fines and Penalties. Available online: https://www.bussgeldkatalog.org/zuladung-lkw (accessed on 8 July 2019).
- Baas, P.H.; Mueller, T.H.; Milliken, P. Load Security Testing of Logs A Summary Report for the Log Transport Safety Council; Transport Engineering Research New Zealand Limited: Manukau City, New Zealand, 2004. [Google Scholar]
- Korten, S.; Eberhardinger, A. Mehr Effizienz im Rundholztransport. LWF Aktuell 2008; Bavarian State Institute of Forestry: Freising, Germany, 2008; Volume 65, pp. 12–13. ISSN 1435–4098. [Google Scholar]
- Koirala, A.; Kizha, A.R.; Roth, B.E. Perceiving Major Problems in Forest Products Transportation by Trucks and Trailers: A Cross-sectional Survey. Eur. J. For. Eng. 2017, 3, 23–34. [Google Scholar]













| Treatment | Static friction | |||||
|---|---|---|---|---|---|---|
| Average Test Session 1 | Average Test Session 12 | Average Test Session 13 | Minimum | Maximum | Overall Average | |
| Bark | 9.94 | 9.94 | 9.20 | 9.20 | 11.45 | 10.52 |
| Debarked | 7.61 | 9.24 | 8.92 | 7.61 | 9.24 | 8.31 |
| Mixed | 8.31 | 9.24 | 8.76 | 8.44 | 9.24 | 8.44 |
| Watered | 7.83 | 8.62 | 8.41 | 7.44 | 8.62 | 8.09 |
| Treatment | Sliding friction | |||||
|---|---|---|---|---|---|---|
| Average Test Session 1 | Average Test Session 2 | Average Test Session 13 | Minimum | Maximum | Overall Average | |
| Bark | 7.54 | 7.93 | 6.89 | 6.89 | 8.42 | 7.99 |
| Debarked | 4.77 | 6.63 | 6.92 | 4.42 | 6.92 | 5.60 |
| Mixed | 5.51 | 7.29 | 7.03 | 5.01 | 7.29 | 6.20 |
| Watered | 4.16 | 4.59 | 4.63 | 4.08 | 4.63 | 4.32 |
| Machine | Tare Mass [t] | Loading Capacity [t] | Loaded Mass [t] | Lorry Width [m] | Loading Height [m] | Lorry Length [m] | Load Volume Capacity [m3] | Correction Factor |
|---|---|---|---|---|---|---|---|---|
| (A) Truck | 11.9 | 6.1 | 18.0 | 2.27 | 2.4 | 5.1 | 16.7 | 0.6 |
| Trailer | 4.9 | 19.1 | 24.0 | 2.27 | 2.4 | 5.1 | 16.7 | 0.6 |
| (B) Truck | 7.5 | 7.5 | ||||||
| Trailer | 5.3 | 27.2 | 36.0 | 2.4 | 2.4 | 13 | 44.9 | 0.6 |
| Machine | Day | Additional Loaded m3 [%] | Cargo Mass Difference for Full Loaded Lorry Bark/Debarked [%] |
|---|---|---|---|
| A) Truck/Trailer 2.4 m max. load height | 1 | 1.1% | −2.3% |
| 7 | 2.2% | −4.4% | |
| 21 | 6.8% | −10.5% | |
| B) Truck/Trailer 2.4 m max. load height | 1 | 3.4% | 0% |
| 7 | 7% | 0% | |
| 21 | 11% | −6.9% |
© 2019 by the authors. Licensee MDPI, Basel, Switzerland. This article is an open access article distributed under the terms and conditions of the Creative Commons Attribution (CC BY) license (http://creativecommons.org/licenses/by/4.0/).
Share and Cite
Heppelmann, J.B.; Labelle, E.R.; Wittkopf, S. Static and Sliding Frictions of Roundwood Exposed to Different Levels of Processing and Their Impact on Transportation Logistics. Forests 2019, 10, 568. https://doi.org/10.3390/f10070568
Heppelmann JB, Labelle ER, Wittkopf S. Static and Sliding Frictions of Roundwood Exposed to Different Levels of Processing and Their Impact on Transportation Logistics. Forests. 2019; 10(7):568. https://doi.org/10.3390/f10070568
Chicago/Turabian StyleHeppelmann, Joachim B., Eric R. Labelle, and Stefan Wittkopf. 2019. "Static and Sliding Frictions of Roundwood Exposed to Different Levels of Processing and Their Impact on Transportation Logistics" Forests 10, no. 7: 568. https://doi.org/10.3390/f10070568
APA StyleHeppelmann, J. B., Labelle, E. R., & Wittkopf, S. (2019). Static and Sliding Frictions of Roundwood Exposed to Different Levels of Processing and Their Impact on Transportation Logistics. Forests, 10(7), 568. https://doi.org/10.3390/f10070568

