Perfect Roman Domination: Aspects of Enumeration and Parameterization †
Abstract
1. Introduction
| Problem name: Unique Response Roman Domination (URRD) Given: A graph and Question: Is there a unique response Roman dominating function f on G with ? |
| Problem name: Perfect Roman Domination (PRD) Given: A graph and Question: Is there a perfect Roman dominating function f on G with ? |
2. Enumerating Minimal Perfect Roman Domination
- 1.
- .
- 2.
- .
- 3.
- .
| Problem name: Extension Perfect Roman Domination (Ext PRD) Given: A graph and . Question: Is there a minimal perfect Roman dominating function g on G with ? |
- 1.
- .
- 2.
- .
- 3.
- is a minimal dominating set on .
3. Complexity and Enumeration in Special Graph Classes
3.1. Interval Graphs
- is connected to the function by setting and .
- , where is the auxiliary perfect Roman dominating function which we will construct from in the induction step.
- If , then is a perfect Roman dominating function on G. If f is a minimum, then is a minimum perfect Roman dominating function on G.
3.2. Split Graphs
- 1.
- and ;
- 2.
- .
| Problem name: Perfect Code (PC for short) Given: A graph and Question: Is there a perfect code D on G with ? |
3.3. Cobipartite Graphs
3.4. Remarks on Enumeration of Unique Response Roman Dominating Functions in Split Graphs
- ;
- and ;
- and .
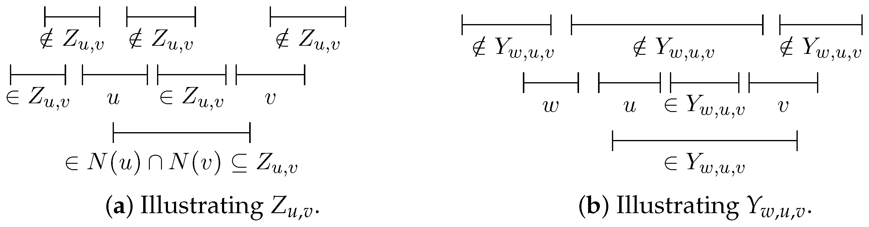
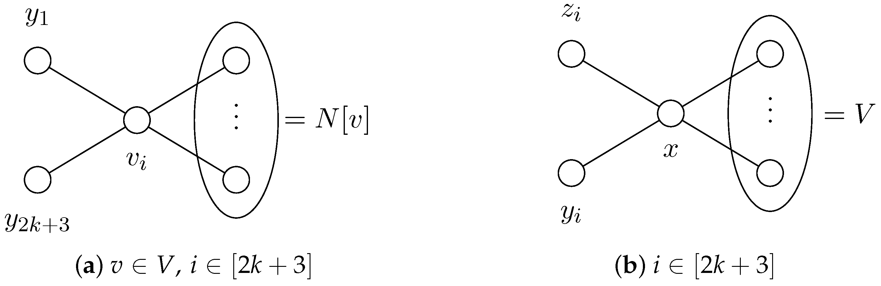
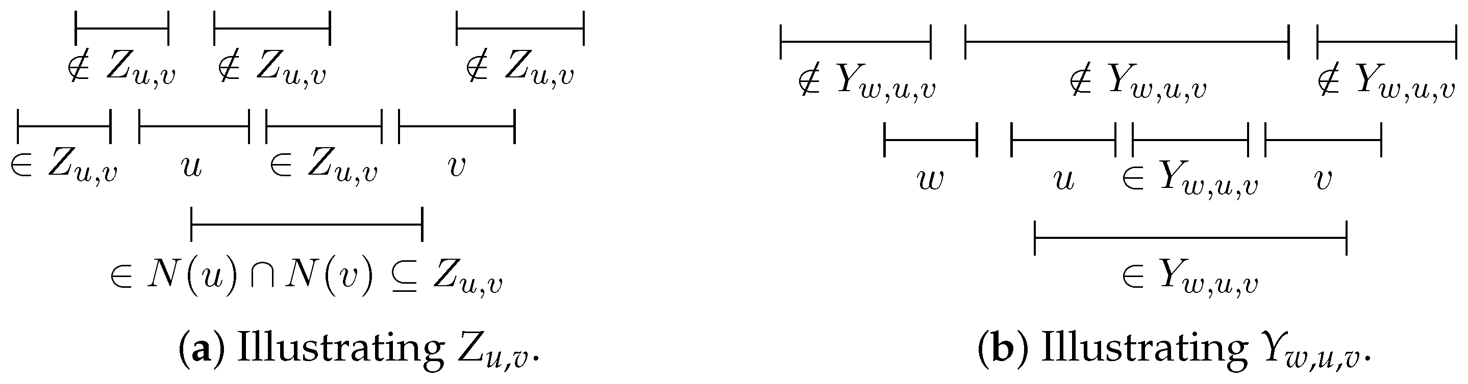
3.5. Chordal Bipartite Graphs
| Problem name: One-in-Three 3SAT Given: Set X of variables, set C of clauses over X with at most three literals. Question: Is there a truth assignment such that each clause in C has exactly one true literal? |
- ;
- ;
- for .
- ;
- ;
- ;
- ;
- ;
- .
- ;
- .
4. Parameterized Complexity
4.1. Clique Width and Treewidth
- Create a graph of one isolate vertex.
- Build the disjoint union of two labeled graphs.
- Connect each vertex with label i with each vertex of label j by an edge.
- Relabel vertices with label i to j.
4.2. Solution Size
- Guess the vertices in and then and write them (as symbols) on the tape. We separate the vertices via the symbol . This takes steps.
- Also, in time , M can check if twice the number of -symbols (left of the separator ) plus the number of -symbols (right to ) is at most k. If not, M stops in a non-final state.
- Check if we enumerated any vertex in twice (in steps). If this is the case, then the machine stops in a non-final state.Otherwise, we know now that the -symbols together with the -symbols that we guess do define a function f of weight .
- Check for each pair of vertices () if . This condition is clearly necessary if f should be a perfect Roman dominating function. For this check, we need table T. If , is impossible and we can stop in a non-final state. Otherwise, M checks element by element of if it is in . Altogether, this needs at most many steps.
- For each , M computes (at most steps). Use these numbers to compute (with basic arithmetics)Finally, M uses Lemma 5 to check if f is a perfect Roman dominating function, i.e., if . □
- Guess the vertices in and then . We split the vertices via a special symbol (this takes at most steps).
- Check if vertices in have distance 2 to the vertices in and distance 3 to the vertices in (in at most steps). If this is the case, then the machine stops in a non-final state.
- Check if we enumerated vertices in twice (in at most steps). If this is the case, then the machine stops in a non-final state.
- If , then f is a minimal unique response Roman dominating function (as each vertex is only dominated once). This can be computed in k steps.
4.3. Dual Parameterization
5. Final Remarks
Author Contributions
Funding
Data Availability Statement
Acknowledgments
Conflicts of Interest
References
- Dreyer, P.A. Applications and Variations of Domination in Graphs. Ph.D. Thesis, Rutgers University, New Brunswick, NJ, USA, 2000. [Google Scholar]
- Fernau, H. Roman Domination: A parameterized perspective. Int. J. Comput. Math. 2008, 85, 25–38. [Google Scholar] [CrossRef]
- Liedloff, M.; Kloks, T.; Liu, J.; Peng, S.L. Efficient algorithms for Roman domination on some classes of graphs. Discret. Appl. Math. 2008, 156, 3400–3415. [Google Scholar] [CrossRef]
- Liu, C.H.; Chang, G.J. Roman domination on strongly chordal graphs. J. Comb. Optim. 2013, 26, 608–619. [Google Scholar] [CrossRef]
- Peng, S.L.; Tsai, Y.H. Roman Domination on Graphs of Bounded Treewidth. In Proceedings of the 24th Workshop on Combinatorial Mathematics and Computation Theory, Nantou, Taiwan, 27–28 April 2007; pp. 128–131. [Google Scholar]
- Shang, W.; Wang, X.; Hu, X. Roman domination and its Variants in Unit Disk Graphs. Discret. Math. Algorithms Appl. 2010, 2, 99–106. [Google Scholar] [CrossRef]
- Stewart, I. Defend the Roman Empire. Sci. Am. 1999, 281, 136,137,139. [Google Scholar] [CrossRef]
- Chellali, M.; Haynes, T.W.; Hedetniemi, S.T.; McRae, A.A. Roman {2}-domination. Discret. Appl. Math. 2016, 204, 22–28. [Google Scholar] [CrossRef]
- Abdollahzadeh Ahangar, H.; Chellali, M.; Sheikholeslami, S.M. On the double Roman domination in graphs. Discret. Appl. Math. 2017, 232, 1–7. [Google Scholar] [CrossRef]
- Banerjee, S.; Henning, M.A.; Pradhan, D. Algorithmic results on double Roman domination in graphs. J. Comb. Optim. 2020, 39, 90–114. [Google Scholar] [CrossRef]
- Beeler, R.A.; Haynes, T.W.; Hedetniemi, S.T. Double Roman domination. Discret. Appl. Math. 2016, 211, 23–29. [Google Scholar] [CrossRef]
- Hennings, M.; Yeo, A. Total Domination in Graphs; Springer: Berlin/Heidelberg, Germany, 2013. [Google Scholar]
- Haynes, T.W.; Hedetniemi, S.; Henning, M.A. (Eds.) Topics in Domination in Graphs; Developments in Mathematics Series; Springer: Berlin/Heidelberg, Germany, 2020; Volume 64. [Google Scholar]
- Haynes, T.W.; Hedetniemi, S.T.; Henning, M.A. Structures of Domination in Graphs; Developments in Mathematics Series; Springer: Berlin/Heidelberg, Germany, 2021; Volume 66. [Google Scholar]
- Henning, M.A.; Klostermeyer, W.F.; MacGillivray, G. Perfect Roman domination in trees. Discret. Appl. Math. 2018, 236, 235–245. [Google Scholar] [CrossRef]
- Rubalcaba, R.R.; Slater, P.J. Roman dominating influence parameters. Discret. Math. 2007, 307, 3194–3200. [Google Scholar] [CrossRef][Green Version]
- Mann, K.; Fernau, H. Perfect Roman Domination: Aspects of Enumeration and Parameterization. In Proceedings of the Combinatorial Algorithms (Proceeding 35th International Workshop on Combinatorial Algorithms IWOCA), Ischia, Italy, 1–3 July 2024; Rescigno, A.A., Vaccaro, U., Eds.; Springer: Berlin/Heidelberg, Germany, 2024; LNCS Volume 14764, pp. 354–368. [Google Scholar]
- Cabrera Martínez, A.; Puertas, M.; Rodríguez-Velázquez, J. On the 2-Packing Differential of a Graph. Results Math. 2021, 76, 157. [Google Scholar] [CrossRef]
- Banerjee, S.; Chaudhary, J.; Pradhan, D. Unique Response Roman Domination: Complexity and Algorithms. Algorithmica 2023, 85, 3889–3927. [Google Scholar] [CrossRef]
- Banerjee, S.; Keil, J.M.; Pradhan, D. Perfect Roman domination in graphs. Theor. Comput. Sci. 2019, 796, 1–21. [Google Scholar] [CrossRef]
- Fernau, H.; Golovach, P.A.; Sagot, M. Algorithmic Enumeration: Output-sensitive, Input-Sensitive, Parameterized, Approximative (Dagstuhl Seminar 18421). Dagstuhl Rep. 2018, 8, 63–86. [Google Scholar]
- Wasa, K. Enumeration of Enumeration Algorithms. arXiv 2016, arXiv:1605.05102. [Google Scholar] [CrossRef]
- Abu-Khzam, F.N.; Fernau, H.; Mann, K. Minimal Roman Dominating Functions: Extensions and Enumeration. Algorithmica 2024, 86, 1862–1887. [Google Scholar] [CrossRef]
- Kratochvíl, J.; Křivánek, M. On the Computational Complexity of Codes in Graphs. In Proceedings of the Mathematical Foundations of Computer Science (MFCS), Carlsbad, Czech Republic, 29 August–2 September 1988; Chytil, M., Janiga, L., Koubek, V., Eds.; Springer: Berlin/Heidelberg, Germany, 1988; LNCS Volume 324, pp. 396–404. [Google Scholar]
- Casel, K.; Fernau, H.; Ghadikolaei, M.K.; Monnot, J.; Sikora, F. Abundant Extensions. In Proceedings of the Algorithms and Complexity—12th International Conference (CIAC), Virtual, 10–12 May 2021; Calamoneri, T., Corò, F., Eds.; Springer: Berlin/Heidelberg, Germany, 2021; LNCS Volume 12701, pp. 3–17. [Google Scholar] [CrossRef]
- Chellali, M.; Haynes, T.W.; Hedetniemi, S.M.; Hedetniemi, S.T.; McRae, A.A. A Roman Domination Chain. Graphs Comb. 2016, 32, 79–92. [Google Scholar] [CrossRef]
- Döcker, J. Monotone 3-Sat-(2,2) is NP-complete. arXiv 2019, arXiv:1912.08032. [Google Scholar] [CrossRef]
- Strozecki, Y. Enumeration Complexity. EATCS Bull. 2019, 129. [Google Scholar]
- Abu-Khzam, F.N.; Fernau, H.; Mann, K. Roman Census: Enumerating and Counting Roman Dominating Functions on Graph Classes. In Proceedings of the 48th International Symposium on Mathematical Foundations of Computer Science (MFCS), Bordeaux, France, 28 August–1 September 2023; Leroux, J., Lombardy, S., Peleg, D., Eds.; Leibniz International Proceedings in Informatics (LIPIcs). Schloss Dagstuhl—Leibniz-Zentrum für Informatik: Wadern, Germany, 2023; Volume 272, pp. 1–15. [Google Scholar]
- Golumbic, M.C. Interval Graphs. In Annals of Discrete Mathematics; Elsevier: Amsterdam, The Netherlands, 2004; Volume 57, Chapter 8; pp. 171–202. [Google Scholar]
- Fellows, M.R.; Hoover, M.N. Perfect domination. Australas. J. Comb. 1991, 3, 141–150. [Google Scholar]
- Lu, C.L.; Tang, C.Y. Weighted efficient domination problem on some perfect graphs. Discret. Appl. Math. 2002, 117, 163–182. [Google Scholar] [CrossRef]
- Trejo-Sánchez, J.A.; Madera-Ramírez, F.A.; Fernández-Zepeda, J.A.; López-Martínez, J.L.; Flores-Lamas, A. A fast approximation algorithm for the maximum 2-packing set problem on planar graphs. Optim. Lett. 2023, 17, 1435–1454. [Google Scholar] [CrossRef]
- Targhi, E.E.; Rad, N.J.; Volkmann, L. Unique response Roman domination in graphs. Discret. Appl. Math. 2011, 159, 1110–1117. [Google Scholar] [CrossRef]
- Junosza-Szaniawski, K.; Rzążewski, P. On the number of 2-packings in a connected graph. Discret. Math. 2012, 312, 3444–3450. [Google Scholar] [CrossRef][Green Version]
- Marino, A. Analysis and Enumeration. Algorithms for Biological Graphs; Atlantis Studies in Computing; Atlantis Press: Paris, France, 2015; Volume 6. [Google Scholar]
- Courcelle, B.; Engelfriet, J.; Rozenberg, G. Handle-rewriting hypergraph grammars. J. Comput. Syst. Sci. 1993, 46, 218–270. [Google Scholar] [CrossRef]
- Downey, R.G.; Fellows, M.R. Fundamentals of Parameterized Complexity; Texts in Computer Science; Springer: Berlin/Heidelberg, Germany, 2013. [Google Scholar]
- Courcelle, B.; Makowsky, J.; Rotics, U. Linear time solvable optimization problems on Graphs of Bounded Clique-Width. Theory Comput. Syst. 2000, 33, 125–150. [Google Scholar] [CrossRef]
- Golumbic, M.C.; Rotics, U. On the Clique-Width of Some Perfect Graph Classes. Int. J. Found. Comput. Sci. 2000, 11, 423–443. [Google Scholar] [CrossRef]
- Cattanéo, D.; Perdrix, S. The Parameterized Complexity of Domination-Type Problems and Application to Linear Codes. In Proceedings of the Theory and Applications of Models of Computation (TAMC), Singapore, 11–13 April 2014; Gopal, T.V., Agrawal, M., Li, A., Cooper, S.B., Eds.; Springer: Berlin/Heidelberg, Germany, 2014; LNCS Volume 8402, pp. 86–103. [Google Scholar]
- Cesati, M. The Turing way to parameterized complexity. J. Comput. Syst. Sci. 2003, 67, 654–685. [Google Scholar] [CrossRef]
- Guo, J.; Hüffner, F.; Niedermeier, R. A structural view on parameterizing problems: Distance from triviality. In Proceedings of the International Workshop on Parameterized and Exact Computation IWPEC 2004, Bergen, Norway, 14–17 September 2004; Downey, R., Fellows, M., Dehne, F., Eds.; Springer: Berlin/Heidelberg, Germany, 2004; LNCS Volume 3162, pp. 162–173. [Google Scholar]
- Fernau, H. Extremal Kernelization: A Commemorative Paper. In Proceedings of the Combinatorial Algorithms, IWOCA 2017, Newcastle, Australia, 17–21 July 2017; Brankovic, L., Ryan, J., Smyth, W.F., Eds.; Springer: Berlin/Heidelberg, Germany, 2018; LNCS Volume 10765, pp. 24–36. [Google Scholar]





| Graph Class | PRD | URRD |
|---|---|---|
| chordal | NP-complete [20] | NP-complete [19] |
| interval | P Theorem 6 | P [19] |
| split | NP-complete Theorem 8 | P Theorem 7 |
| cobipartite | P Theorem 10 | P Lemma 2 |
| bipartite | NP-complete [20] | NP-complete [18] |
| chordal bipartite | NP-complete Theorem 13 | NP-complete Theorem 13 |
| distance-hereditary | P Theorem 14 | P [19] |
| cographs | P [20] | P [19] |
| bounded treewidth | P Theorem 15 | P Theorem 17 |
Disclaimer/Publisher’s Note: The statements, opinions and data contained in all publications are solely those of the individual author(s) and contributor(s) and not of MDPI and/or the editor(s). MDPI and/or the editor(s) disclaim responsibility for any injury to people or property resulting from any ideas, methods, instructions or products referred to in the content. |
© 2024 by the authors. Licensee MDPI, Basel, Switzerland. This article is an open access article distributed under the terms and conditions of the Creative Commons Attribution (CC BY) license (https://creativecommons.org/licenses/by/4.0/).
Share and Cite
Mann, K.; Fernau, H. Perfect Roman Domination: Aspects of Enumeration and Parameterization. Algorithms 2024, 17, 576. https://doi.org/10.3390/a17120576
Mann K, Fernau H. Perfect Roman Domination: Aspects of Enumeration and Parameterization. Algorithms. 2024; 17(12):576. https://doi.org/10.3390/a17120576
Chicago/Turabian StyleMann, Kevin, and Henning Fernau. 2024. "Perfect Roman Domination: Aspects of Enumeration and Parameterization" Algorithms 17, no. 12: 576. https://doi.org/10.3390/a17120576
APA StyleMann, K., & Fernau, H. (2024). Perfect Roman Domination: Aspects of Enumeration and Parameterization. Algorithms, 17(12), 576. https://doi.org/10.3390/a17120576

