Next Article in Journal
Applying Recommender Systems to Predict Personalized Film Age Ratings for Parents
Previous Article in Journal
Perfect Roman Domination: Aspects of Enumeration and Parameterization
Previous Article in Special Issue
Research on a Fast Image-Matching Algorithm Based on Nonlinear Filtering
 
 
Font Type:
Arial Georgia Verdana
Font Size:
Aa Aa Aa
Line Spacing:
Column Width:
Background:
Article

A Complex Network Epidemiological Approach for Infectious Disease Spread Control with Time-Varying Connections

1
CUCEI—University Center of Exact Sciences and Engineering, Universidad de Guadalajara, Guadalajara 44430, Mexico
2
Tecnologico Nacional de Mexico, Campus Nochistlan, Nochistlan 99900, Mexico
3
CUCSUR—University Center of the South Coast, Universidad de Guadalajara, Guadalajara 44100, Mexico
*
Author to whom correspondence should be addressed.
Algorithms 2024, 17(12), 577; https://doi.org/10.3390/a17120577
Submission received: 30 October 2024 / Revised: 7 December 2024 / Accepted: 12 December 2024 / Published: 14 December 2024

Abstract

This work introduces an impulsive neural control algorithm designed to mitigate the spread of epidemic diseases. The objective of this paper is the development of a vaccination strategy based on a PIN-type impulsive controller based on an online-trained neural identifier to control the spread of infectious diseases under a complex network approach with time-varying connections where each node represents a population of individuals whose dynamics are defined by the MSEIR epidemiological model. Considering an unknown model of the system, a neural identifier is designed that provides a nonlinear model for the complex network trained through an extended Kalman filter algorithm. Simulation results are presented by applying the proposed control scheme for a complex network parameterized as infectious diseases.

Graphical Abstract

1. Introduction

Complex networks can be defined as a set of elements called nodes that are interconnected with each other through links. The number of nodes is often too large, which makes the individual nature of each node and link somewhat complex. The meaning of both nodes and links can vary depending on the desired approach. Given this, the nodes of a complex network can be, for example, people, and the link between these people can be any situation where they have spoken to each other, or they can be dynamic systems with interconnections between them where the states of one system can influence those of the other system [1,2,3,4].
The intrinsic phenomena of complex networks, like the loss of connections, cannot be captured using fixed connections. The significance of dynamic complex networks lies in their practical relevance, as the interactions within these systems and their interconnected nodes are typically dynamic rather than static. There are interesting studies on complex networks with time-varying connections, especially [5], in which the variations of the connections were considered bounds. Furthermore, in the study [6], a complex network with variant connections was synchronized through impulse. However, both works are focused on continuous-time complex networks.
The interconnection of systems in our world occurs naturally. One example is the way that different lifeforms relate and interact with each other, matter itself is naturally interconnected, or even key aspects of modern life such as the internet are examples of these interconnections; this highlights the importance of studying complex networks, which have numerous valuable applications, including infectious disease modeling, autonomous vehicles, mobile robotics, and electric systems, among others [1,2,3,4].
As previously mentioned, nodes of a complex network can be described as systems with their own dynamics, and the network as a whole can also be viewed as a dynamic system. In control theory, the goal is for dynamic systems to have a desired behavior, and this is achieved through the design of controllers. There are many different types of algorithms to achieve this goal, some are developed using traditional methods based on mathematical models, while others are designed using modern methodologies such as those based on neural networks; the use of any particular methodology is based on the control design. A commonly used control algorithm for complex networks is PIN-type control, where only a limited number of nodes of the network are locally controlled. This type of control methodology is used since the alternative of controlling every single node locally can be impossible when dealing with a great number of nodes in a network or when controlling every node is deemed unnecessary. PIN-type control has been widely studied previously and has been improved by being combined with other control methodologies such as sliding mode control, inverse optimal control or neural networks. On the other hand, impulse control is a methodology that is not specific to complex networks where control signals are not applied continuously but rather in time instants defined by the application requirements. This type of control is well suited for the control of biomedical systems since treatment medication as well as vaccination schemes are typically administered in an impulse manner at determined time intervals [1,2,3,4].
Furthermore, infectious disease transmission is a complex phenomenon where numerous factors intervene such as the host and pathogen environment, exposed population, and population dynamics, among many other aspects [7]. The goal of epidemiological mathematics is to model the implantation and expansion of pathogens in each population. The most frequently used model that describes the transmission of diseases by microparasites is the compartmental model where each individual of a closed community (where no immigration or emigration occurs) is classified into a compartment according to their health status in relation to the progression of the disease. In 1927, Kendrick and McCormick introduced the SIR model. Since then, numerous differential equation models have been analyzed and proposed that describe the spread of diseases caused by different infectious agents [7]. Even though, as mentioned before, these types of compartmental models are used for closed communities, the reality is that the notion of closed or isolated communities is hard to imagine since we live in an interconnected world, both physically and digitally. In this context, this work considers personal interaction as a complex network where the interconnections are considered as the individuals that travel due to work, school, or any other everyday related activities that lead to the spread of infectious diseases under the complex network scheme. Also, every node in the network can represent an individual, a population, a country or even a continent. The previous statements reflect the current dynamics of infectious diseases in a globalized and increasingly globalized world. Furthermore, it is important to consider that the interconnections described previously are time-varying since the number of people and their travel habits vary; consequently, the connections of the complex network must be considered to be time-varying as well. It is also important to consider disturbances, uncertainties, and unmodeled dynamics that can be present in each node of the network that will undoubtedly modify the dynamics of each node [7]. Although, in the case of infectious diseases, the trivial solution consists of providing treatment or vaccination for 100% of the population; in the scenario of an unexpected outbreak or an epidemic or pandemic scenario, such a solution becomes impossible. Therefore, in this work, a PIN-type control is proposed that determines which nodes are more relevant from a control standpoint without the need to introduce a control signal for every node, which in turn allows control over the evolution of infections in a fast and efficient manner. The mathematical analysis of this type of controller was presented in [8] for the case of chaotic systems.
Recent research using complex networks to represent epidemiological models has proven that these techniques are highly precise when compared to classic methodologies. Some studies have introduced complex networks using an SIR model, and in some cases, they even consider vaccination schemes in the model. This article proposes use of the MSEIR model, where the disease spread occurs within a complex network, considering that the nodes represent interconnected populations. Control of the network is impulsive-type due to the proposed scheme where vaccines are applied every 120 days. The model is able to adapt to real-world data using an identifier designed with a neural network which improves its ability to predict the disease behavior [8,9,10]. The proposed methodology requires a mathematical model of the complex network, which in turn requires a mathematical model of the node; in this case, the model is obtained through a neural identifier which is trained online using an extended Kalman filter that has proven to be an excellent training algorithm for neural identifiers. The use of this neural identifier allows for time variations in the interconnections of the network to be “compensated” for in addition to the unmodeled dynamics of each node, their parametric uncertainties, and their disturbances. In these types of environments, where real situations are represented, it is crucial to ensure that the generated output of the system is reliable in unexpected or nonlinear situations.
The main contribution of this work relies on designing a control law that does not require control in all the complex network nodes, as the proposed approach is not constrained to all nodes with the same dynamics. Moreover, the proposed methodology can deal with uncertainties in node dynamics due to the use of neural identifiers. Finally, the proposed methodology can be applied to complex networks with time-varying connections. To the best of our knowledge, there is no published work that can handle all these situations at the same time in the complex network literature.
This work is organized as follows: First, basic concepts in epidemiology and the MSEIR compartmental model are introduced along with a definition of each variable and parameter. An introduction is given to the basic concepts of complex networks as well as the use of a neural network for the dynamic modeling of each node in the complex network with the intent of considering uncertainties, disturbances, and unmodeled dynamics in the model. Next, the PIN-type control strategy is presented with the objective of reducing infection and controlling the spread of infectious diseases without the need to control all nodes in the network, allowing the spread of infectious diseases to be under control and making more efficient use of existing initial treatment or vaccination resources. Furthermore, simulation results are presented followed by an analysis of results and, lastly, the conclusions of this research work are presented.

2. MSEIR Model

Many different types of models have been used to capture infectious disease evolution, within a wide range of approaches. From the seminal paper [11] compartment models have been adopted as a well-established methodology even when this kind of model suffers limitations about the kind of phenomena considered in compartment models linked to the fact that most of the mechanisms driving/influencing the progress of an epidemic are unknown. However, in order to show the applicability of the proposed scheme in this paper it is considered a compartmental model in order to obtain simulation results, considering that this network can be parametrized with real-world data from an epidemic scenario. In such cases, the use of the neural identifier is a beneficial methodology to consider all real-world phenomena that are not considered in compartmental models.
Compartmental models are generally composed of five compartments labeled with the letters M, S, E, I, and R. The letter M represents individuals with passive immunity, which is temporary for certain diseases and is acquired by newborns through antibodies transferred from the mother (M). With the disappearance of these antibodies, the individuals move to the (S) susceptible class. The compartment S includes every individual that can be infected. When an individual from the S class has adequate contact with an infected person (defined as any activity that results in the infection of the susceptible individual) it is moved to the (E) exposed compartment. In this compartment, the individuals are in the latency phase, i.e., infected but still incapable of transmitting the disease. After this phase, the subject is moved to the (I) infectious class and is now capable of infecting others. After this period, they are moved to the (R) recovered compartment, becoming temporarily or permanently immune to the disease. Class R also includes the individuals that die due to the disease itself [7]. The acronyms used to refer to the different epidemiological models are based on flow patterns between the compartments: SI, SIS, SEI, SEIS, SIR, SIRS, SEIR, SEIRS, MSEIR, MSEIRS, etc.
In this work, it is assumed that a recovered individual gains lifelong immunity. The birth and death rates are represented by b and are assumed to stay constant, keeping the total population ( N = S + M + E + I + R ) constant as well, this assumption is made only for academic proposes. The rate b S increases the number of individuals in the susceptible class S since newborns from susceptible mothers are also susceptible, these individuals are not a part of the M class. Evidently, the remaining individuals fall into one of the other remaining classes where, as mentioned before, the class M is where the passive immunity b N S individuals are located. The time it takes for individuals to transition between classes varies for each case, depending on their health conditions and individual life characteristics where δ M , μ S , and ϵ E represent the transfer out of M, S, and E, respectively, and γ I is the rate of recovery from individuals in the infectious class I as shown in Figure 1.
According to [12], the dynamic model of the compartmental system MSEIR is defined by the following set of ordinary differential equations
M ˙ ( t ) = b ( N S ( t ) ) ( δ + b ) M ( t ) S ˙ t = b S t + δ M t β N S t I t b S ( t ) E ˙ t = β N S t I t ϵ + b I ( t ) I ˙ t = ϵ E t γ + b I ( t ) R ˙ t = γ I t b R ( t )
where, depending on the progression of the disease, time t can be expressed in hours, days, weeks, months, or years. Furthermore, the value of each parameter of the model is defined by the type of infectious disease that is represented. Because of this, if we consider S = N M I R , then it is possible to eliminate the equation for S, considering m = M N , e = E N , i = I N , and r = R N , the following simplified model is obtained
m ˙ t = b e t + i t + r t δ m ( t ) e ˙ t = β i t 1 m t e t i t r t ϵ + b e ( t ) i ˙ t = ϵ e t γ + b i ( t ) r ˙ t = γ i t b r ( t )
Therefore, model (2) represents the dynamics of each node of the network, with its respective evolution and parameters. Now, the problem statement is presented:

3. Problem Statement

In this paper, the control of the propagation of infectious diseases is analyzed through a complex network approach where each node of the network represents a population of individuals who maintain interpersonal contact with other populations due to their everyday activities, whether academic, work-related, or recreational, that nowadays complicate the control of the spread of infectious diseases [13]. In this case, the nodes of a complex network are considered dynamic which are presented in (2) and are described by the MSEIR model. Each node represents a different population with dynamics particular to each population that have some common interaction during an epidemic outbreak. Moreover, this work considers the interconnections between nodes as time-varying as well as the presence of uncertainties, disturbances, and unmodeled dynamics in each node, thus, while model (2) represents the nominal dynamics of each node it cannot be considered a sufficient reliable model for the control design (vaccination scheme or disease treatment), therefore, a neural model is proposed that is based in data allowing for the access to a valid mathematical model. Lastly, with a valid mathematical model, it is possible to design a controller (vaccination scheme or disease treatment), thus, an impulse control is chosen which allows the control law to be applied only at specific time instances as vaccination schemes are typically carried out as well as the administration of medication for infectious disease treatment. Another relevant aspect of this control scheme is that it is not applied to every node only to the subset of nodes known as PIN nodes which allows for more efficient use of available resources for vaccination or treatment which is of great importance at the beginning of an epidemic. In the following sections, the basic concepts of each of the elements of the proposed methodology are presented as shown in Figure 2.

3.1. Complex Networks

The dynamic model of a complex network that has a linear and diffusive connection can be expressed as follows:
x ˙ i = f i x i + j = 1 N c i j a i j Γ x j , i = 1 , 2 , , N
where
  • functions f i ( x i ) represent the i node dynamics and are described according to model (2) of the MSEIR model for i = 1 , 2 , , N .
  • the state vector of the i-node of dimension n is expressed by x i = x i 1 x i n T .
  • c i j is the coupling force of node i and node j.
  • a i j expresses the state of a node interconnection; when a connection between the i node and the j node exists, a i j is assigned a value of 1, whereas a i j = 0 when there is no connection between the nodes.
  • a i i = k i with k i represents the number of connections to i node.
  • Γ is a fixed matrix that defines the manner in which different components of the state vector are linked.

3.2. Neural Identifier

While the nominal model that represents the dynamics of each node is given by (2), it has already been mentioned that these dynamics can be affected by uncertainties as parameters of the MSEIR model can be measured online, and because of this, these parameters are subject to delays as well as high measurement errors. Additionally, other dynamics can occur that are not necessarily considered in the model (2) which can be defined by habit changes as well as cultural and social factors among other phenomena that occur during an epidemic. It is well known that artificial neural networks are considered to be a well-established methodology to model unknown dynamic nonlinear systems [14]. Therefore, in this work, the same neural identifier is considered, in a more complex and challenging scenario that is difficult to solve using conventional methodologies, under phenomena that are not considered for previous publications. Then, now it is defined the following neural identifier:
x ^ l k + 1 = w l z l x l k , u l k , l = 1 , 2 , , n
This iterative equation is implemented for each state variable of the nodes to be controlled, with z l x l k , u l k known as the vector that contains all the neural network high order terms. This neural equation must be implemented for every state variable of each node that is updated with a sampling time according to update of state variable of each node, which means values of M,E,I,R in (2). In other words, it only requires the measurement of the state variables but not model parameters (2) nor its disturbances (effects of interconnections and interactions) or the presence of unmodeled dynamics, this allows a model to be obtained that matches with the dynamics of the measured data that also adapts online through a learning algorithm based on the Kalman filter [13,15].
w l k + 1 = w l k + K l k x ˜ l k
where the identification error x ˜ l k = x l k x ^ l k is defined as the difference that exists between the real state system and the value of the identified state for each node; the matrix K l k represents the Kalman gain which is defined as follows:
K l k = P l k H l T k R l k + H l k P l k H l T k 1
with H l k being the matrix that contains the derivative of the output of each node with respect to the corresponding weight vector and P l k represents the process covariance matrix which is updated as follows:
P l k + 1 = P l k K l k H l k P l k + Q l k
where diagonal matrix R k represents measurement error covariance matrix and Q k represents the process error covariance matrix. It is important to consider that the state of the neural network as well as the neural network’s synaptic weights are randomly initialized.

4. Impulse PIN-Type Control

Epidemic diseases are a complex phenomenon in which numerous factors have effects, and due to their dynamic nature in terms of propagation, control theory methods are an area of science that provide us with interesting and useful alternatives for the distribution of vaccines or treatments. In these types of systems [15], constant or impulsive controllers can be developed to control the spread of infectious diseases. For the case of constant control, vaccine application occurs in a constant period of time 0 p 1 , where 95% of the entire population needs to be vaccinated in order to fully eradicate the disease [16], resulting in a high-cost solution. On the other hand, impulse control, as its name implies, applies a periodical vaccination to a portion p of the population for a very short period of time [15,16,17,18,19], this is named as impulsive dynamical control [13], modeled as follows:
x ˙ t = f c x t , x 0 = x 0 , t t k
Δ x ( t ) = f d ( x ( t ) ) , t = t k
In an impulse control scheme, control inputs are introduced at established time instances, where t 0 , x ( t ) D n , D is an open set with 0 D , Δ x ( t ) x ( t + ) x ( t ) , with x ( t + ) x ( t ) + f d ( x ( t ) ) = [ lim ε 0 x ( t + ε ) ] , f c : D n is continuous, f d : D n is continuous and T = { t k } is the reset set with t k , t k < t k + 1 , k = 1 , 2 , .
The dynamics of f c ( · ) are assumed to ensure that the solution of (8) is continuous with respect to both t and x 0 in time interval t k . Equation (8) is referred to as the continuous-time dynamic while (9) is the impulsive control law. The function s t , τ , x 0 represents the solution of x ( t ) subject to (8) and (9) for t τ with an initial value defined as x = x 0 . Finally, the point x e D is the equilibrium of (8) and (9) if and only if s t , τ , x e = x e for all τ 0 and t τ . It should be noted that x e D is an equilibrium of (8) and (9) if and only if f c x e = 0 and f d x e = 0 .
x ˙ t = f c x t + G c x t u c t , x 0 = x 0 t t k
Δ x t = f d x t + G d x t u d t , t = t k
where u c · and u d · are restricted to a class of admissible hybrid controls consisting of measurable functions such that u c t , u d t k U c × U d for all t 0 and t k , t k < t k + 1 , k = 1 , 2 , , L 1 c : n with L 1 c x 0 , L 1 d : D in addition to L 1 d x 0 , x n and R 2 d : D P m d .
J x 0 , u c · , u d · = 0 L 1 c x t + u c T t R 2 c x t u c t d t + k Z [ 0 , ) L 1 d x t k + u d T t k R 2 d x t k u d t k
Then, the solution x t 0 of the closed-loop system (10) and (11) is globally asymptotically stable with the optimal hybrid feedback control law.
u c t = ϕ c x = 1 2 R 2 c 1 x G c T x V T x , t t k
u d t = ϕ d x = 1 2 R 2 d x + P 2 x 1 P 12 T x , t = t k
and (12), with
L 1 c x = ϕ c T x R 2 c x ϕ c x V x f c x L 1 d x = ϕ d T x R 2 d x + P 2 x ϕ d x V x + f d x + V x
for
J x 0 , ϕ c x · , ϕ d x · = min ( u c ( · ) , u d ( · ) ) C ( x 0 ) J x 0 · , ( u c ( · ) , u d · J x 0 , ϕ c x · , ϕ d x · = V x 0 , x 0 n
where ϕ c : D U c , ϕ d : D U d and u c t , u d t k = ϕ c x t , ϕ d x t k satisfying (10) and (11) for x ( t ) , t 0 .
J x 0 , ϕ c x · , ϕ d x · = J x 0 , u c · , u d · J x 0 , ϕ c x · , ϕ d x · = V x 0 , x 0 n
Model (1) considers an impulsive controller (10) and (11) with state variables M, S, E, I, and R with t = t k and k = 1 , 2 , , and a control law (13) and (14), as follows:
φ x = 1 1 + e x
where x t = M , S , E , I , R T and a b s · is in ϕ d x t to maintain a positive sign. Since the computed control is impulsive, ϕ c x t in (18) can be considered to be zero.
ϕ d x t = a b s 1 2 R 2 d x + P 2 x 1 P 12 T x
where p 1 = p S t and p 2 = p I t are the vaccination rates and treated individuals rates, respectively, at each recovery time t for (19). Lastly, the control parameters are considered to be the following:
p 1 k p 2 k = 0.5 R 2 d S ^ k + P 2 I ^ k 1 P 12 S ^ k

5. Numeric Results

This section presents the simulation results for an epidemiological system using a complex network approach where each node represents a population whose dynamic evolutions are defined by the MSEIR model (2) with ten nodes and all nodes have a certain degree of connectivity as shown in Figure 3; however, such connections are considered time-varying and are updated daily.
Results of the scheduled vaccination strategy are obtained using MATLAB©. An impulse controller is designed which is updated weekly based on expressions (19) and (20), starting on day 60 after the first infected individual and 365 days are simulated. The parameters for the controller are selected as
R 2 d = 15 0 0 10 , P 2 = 1 0 0 1 , P 12 = 5 1
Matrix P 2 directly affects the vaccination strategy. R 2 d and P 12 affect the node dynamics to be controlled by MSEIR. Simulations show that the dynamics of the MSEIR model are parameterized in the case of infection caused by the SARS COVID-19 virus. The parameters are selected as follows N = 10,000 , b = 0.025 , δ = 1 180 , ϵ = 114 and γ = 17 with the time unit given in days, considering a life expectancy of 76 years and under the assumption that 65% of the population of nodes 1 and 2 will be vaccinated during months 2 and 12 while also considering that the mother give immunity to their offspring during the first 6 months. The initial values for the simulation of the MSEIR model are selected as m ( 0 ) = 0.0045 , e ( 0 ) = 0 , i ( 0 ) = 50 , N, and r ( 0 ) = 0.65 , β = 4.5 and α = 0.5 .
In the case of this network without a controller, the following behavior is detected:
  • As a result of the disease not being contained, the behavior of Class M stays constant while class S exhibits an ascending trend during simulation time. Also, the behavior of node three is more noticeable than other nodes, which can be expected since, in addition to being the largest node, it is also where the disease begins and starts to spread to the other nodes.
  • Class E presents a growth of exposed individuals since there is no control of the disease. As time advances the number of exposed individuals decreases.
  • The model parameters used in this work determine that the number of infected individuals tends to reduce substantially if the individuals remain in class E and the number of people in class, I remain low, although this might not be the case. The quantity of people in class R is high, but it is lower compared to the class R of the number of individuals who received treatment.
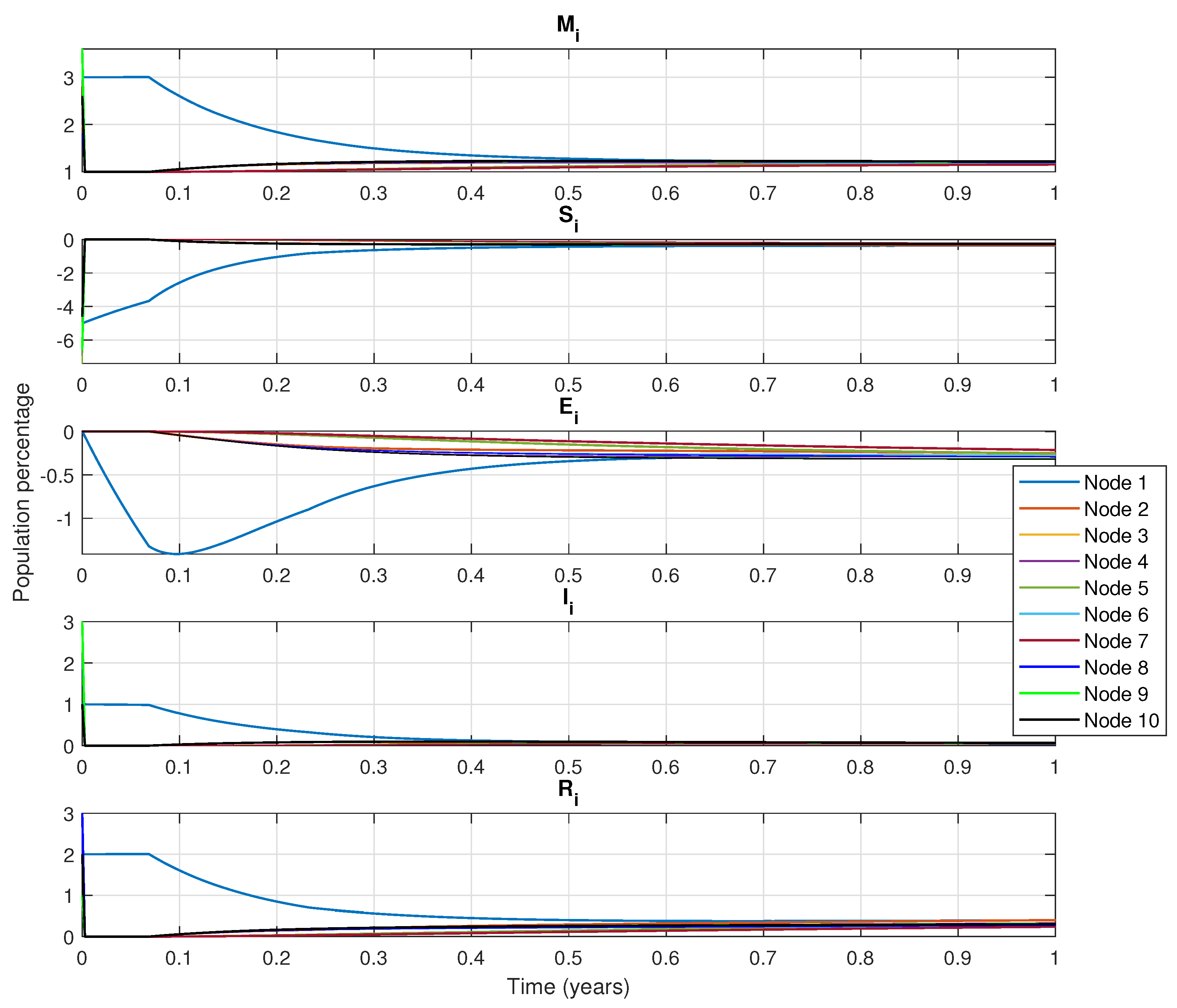
Figure 4 presents the simulation results of the network with a control algorithm. It is important to highlight that the dynamic population considers all the nodes. The disease originates from the node number three and spreads to the other nodes. Also, the control inputs (PIN nodes) are considered as node one and node two. Control measures start in node three since this node is the largest, with vaccines administered to a small portion of the population in order to decrease the infection rate.
  • Figure 4 shows the decline that in passive immunity (class M) in node three. This occurs because vaccination targets the susceptible population, which includes women of reproductive age, where the reduced probability of infection is considered. In contrast, at node five the number of births increases over time. If the mother is unvaccinated, she may eventually contract the disease which can temporarily deliver passive immunity to her newborn.
  • Class S, node three shows that the susceptible population is initially the largest as the propagation begins here. Once vaccination begins, the number of susceptible individuals starts to decrease considerably due to vaccination being applied until day 300, when individuals who were in class S (susceptible) transition to class E (exposed) or class I (infected). Four other nodes remain susceptible for a period. The exposed population increases as contact between node three and other nodes allows the disease to spread. Class E in node three increases first, but as the disease progresses the number of people exposed is reduced (Figure 4).
  • For class I, because the spread of the disease starts in node three, this node presents the largest number of infected populations. Since nodes one and four have fewer connections, the disease spreads slower, producing fewer infected individuals. Over time, the number of infected individuals decreases significantly across all nodes as they move to the recovered class R. In class R, there is a strong inclination towards recuperation, particularly in node three. As a result, other nodes recover as well, although the control nodes experience a faster recovery. It is important to mention that class R includes both recovered individuals and those who have died from the disease. As simulation time progresses, the recuperated population remains constant across every node.
  • Figure 4 also shows the estimated vaccination treatment in the PIN nodes (nodes one and two) as well as the rest of the nodes that do not have control inputs. From this figure class S tends to decrease while class I remains constant with no increase once vaccinations begin.

6. Discussion

The simulation results obtained in Section 3 are an academic example that illustrates the applicability of the proposed scheme for a complex network with a great number of nodes that require access to an appropriate computational equipment, which is out of the scope of this work. However, it is important to note that each node used in this scheme, represents a population that can be composed of thousands of individuals.
The results presented in Figure 4 indicate that the infected population decreases to a low level. While it does not reach zero, it remains significantly lower than scenarios without treatment or vaccination. This outcome is achieved with only two out of the ten nodes in the network implementing time-varying connections and the dynamics of each node is defined by the MSEIR epidemiological model. The total vaccinated and treated population is relatively small, as only a limited percentage of the susceptible and infected populations receive vaccines or treatment in nodes 1 and 2; this is illustrated in Figure 5 and Figure 6, respectively. When this vaccinated and treated population is compared to the total population of the respective nodes, the proportion becomes even smaller.
This paper considers an important and timely topic by proposing an innovative control strategy to mitigate the spread of infectious diseases through a complex network approach with time-varying connections adding a novel computational dimension to epidemic modeling and providing a relevant and practical context. However, there are still open opportunities to improve the proposed methodology mainly from a theoretical point of view. As well as its application to different epidemic situations.

Comparison

In order to show the applicability of the proposed scheme, a comparative analysis of the proposed methodology against existing ones is included. It is important to note that, to be best of our knowledge, any comparison of existing methodologies is not suitable, since the methodology proposed in this paper is an impulsive PIN-control with nonlinear dynamics for each node; furthermore, the proposed methodology also considers time-varying connections, where the variation profile is considering unknown in the controller design. In this case, both the uncontrolled nodes and the time-varying connections are absorbed and compensated by the neural identifier which is used only for controlled (pinning) nodes. The proposed controller operates only with local information for each pinning node to control the entire complex network. Table 1 includes a comparative analysis of four different complex networks parameterized as an infectious disease simulated by an MSEIR system, with 5, 10, 20, and 80 nodes under six different control schemes:
  • All node neural control for time-invariant connections (TICC)
  • All Node Neural Control for time-variant connections (TVCC)
  • Pinning Neural Control for time-invariant connections (TICC)
  • Pinning Proportional Control for time-invariant connections (TICC)
  • Pinning Proportional Control for time-variant connections (TVCC)
Most studies on the control of complex networks focus on time-invariant connections, and the use of PID control and its variations for achieving consensus in networked systems has been extensively explored. To enable a comparative analysis, this paper includes a proportional control approach, however, it is well known that such a type of controller is not robust to unknown time-variant connections compared to the approach proposed in this paper [20,21]. Also, this comparative analysis considers the case of control in all the nodes of the networks which is a relaxed scenery for a control methodology, such methodology is only included for comparison purposes since the main objective of this paper is to design a pinning control approach for time-varying connection dynamic complex network.
From the results included in Table 1, it is possible to note that a traditional proportional controller is not capable of achieving the control objective (consensus of all network nodes to an infectious level I = 0 ) with a pinning strategy. The best performance is obtained with an all-node control strategy; however, it requires a controller in all nodes, which is not our control objective. Finally, our control approach develops an adequate consensus performance with a limited set of control nodes, ensuring that the main goal of the controller is achieved with a reduced control strategy.
While these results are promising, the MSEIR model still requires validation and comparison with real population data from cities or towns. By analyzing time series data from various population areas, the behavior of the model can be assessed and verified. This aspect of the study is ongoing.

7. Conclusions

This work presents a vaccination methodology based on the MSEIR compartmental model for epidemics. A controller for the vaccination strategy using a PIN-type impulse strategy is designed. The impulse control was placed in nodes 1 and 2 of the network which are the nodes that have the highest levels of connectivity and have strong connections. It is important to mention that the model dynamic behavior with this type of control is applied to a complex network where the MSEIR epidemiological model defines the dynamics of each node. However, the connectivity of the network is considered unknown and time-varying for which the use of a neural identifier trained online is proposed to produce the mathematical model for each node, which is then used to design the controller which in this case represents the vaccination scheme. The proposed methodology allows for a balance in the spread of the disease.

Author Contributions

A.Y.A.: Supervision, project administration, review, editing, funding acquisition. G.M.-G.: Writing, review, and editing. N.F.R.: Methodology and implementation of the simulation results. O.D.S.: Supervision, review, and editing. J.G.A.: Studied state-of-the-art, methodology, implementation of the simulation results, and writing. All authors have read and agreed to the published version of the manuscript.

Funding

This research was funded by CONAHCYT Mexico through project PCC-2022-319619.

Data Availability Statement

Data are contained within the article.

Acknowledgments

The authors also thank Universidad de Guadalajara and Tecnologico Nacional de Mexico for their support in this research.

Conflicts of Interest

The authors declare no conflicts of interest. The funders had no role in the design of the study; in the collection, analyses, or interpretation of data; in the writing of the manuscript; or in the decision to publish the results.

References

  1. Chen, G.; Wang, X.; Li, X. Fundamentals of Complex Networks: Models, Structures and Dynamics, 1st ed.; Wiley: Singapore, 2015. [Google Scholar]
  2. Newman, J. The Structure and Function of Complex Networks. SIAM Rev. 2003, 45, 167–256. [Google Scholar] [CrossRef]
  3. Newman, M.; Barabási, A.; Watts, D. The Structure and Dynamics of Networks, 1st ed.; Princeton University Press: Princeton, NJ, USA, 2006. [Google Scholar]
  4. Boccaletti, S.; Latora, V.; Moreno, Y.; Chavez, M.; Hwang, D.-U. Complex Networks: Structure and Dynamics. Phys. Rep. 2006, 424, 175–308. [Google Scholar] [CrossRef]
  5. Zhang, Y.; Yan, W.; Yang, Q. Synchronization Control of Time-Varying Complex Dynamic Network with Nonidentical Nodes and Coupling Time-Delay. Math. Probl. Eng. 2014, 2014, 461635. [Google Scholar] [CrossRef]
  6. Leng, H.; Wu, Z. Impulsive Synchronization of a Network with Time-Varying Topology and Delay. Adv. Differ. Equ. 2017, 2017, 299. [Google Scholar] [CrossRef]
  7. Anderson, R.M.; May, R.M. Infectious Diseases of Humans: Dynamics and Control; Oxford University Press: Oxford, UK, 1991. [Google Scholar]
  8. Li, X.; Wang, X.; Chen, G. Pinning a complex dynamical network to its equilibrium. IEEE Trans. Circuits Syst. I Regul. Pap. 2004, 51, 2074–2087. [Google Scholar] [CrossRef]
  9. Wang, X.; Su, H. Pinning control of complex networked systems: A decade after and beyond. Annu. Rev. Control 2014, 38, 103–111. [Google Scholar] [CrossRef]
  10. Suarez, O.; Vega, C.; Sanchez, E.; Chen, G.; Elvira-Ceja, J.; Rodriguez, D. Neural sliding-mode pinning control for output synchronization for uncertain general complex networks. Automatica 2020, 112, 108694. [Google Scholar] [CrossRef]
  11. Kermack, W.O.; McKendrick, A.G.; Walker, G.T. A contribution to the mathematical theory of epidemics. Proc. R. Soc. Lond. Ser. A Contain. Pap. Math. Phys. Charact. 1927, 115, 700–721. [Google Scholar]
  12. Haddad, W.; Chellaboina, V.; Nersesov, S. Impulsive and Hybrid Dynamical Systems, 1st ed.; Princeton University Press: Princeton, NJ, USA, 2006. [Google Scholar]
  13. Hernandez-Vargas, E.A.; Velasco-Hernández, J.X. Mathematical Modelling, Simulations, and AI for Emergent Pandemic Diseases; Academic Press: Cambridge, MA, USA, 2023. [Google Scholar]
  14. Ramirez, N.F.; Ríos-Rivera, D.; Hernandez-Vargas, E.A.; Alanis, A.Y. Inverse Optimal Impulsive Neural Control for Complex Networks Applied to Epidemic Diseases. Systems 2022, 10, 204. [Google Scholar] [CrossRef]
  15. Rios-Rivera, D.; Rios, J.D.; Sanchez, O.D.; Alanis, A.Y. Impulsive Pinning Control of Discrete-Time Complex Networks with Time-Varying Connections. Mathematics 2022, 10, 4051. [Google Scholar] [CrossRef]
  16. Hethcote, H.W. The mathematics of infectious diseases. SIAM Rev. 2000, 42, 599–653. [Google Scholar] [CrossRef]
  17. Li, Y.; Cui, J. The effect of constant and pulse vaccination on SIS epidemic models incorporating media coverage. Commun. Nonlinear Sci. Numer. Simul. 2009, 14, 2353–2365. [Google Scholar] [CrossRef]
  18. Liu, X.; Stechlinski, P. Pulse and constant control schemes for epidemic models with seasonality. Nonlinear Anal. Real World Appl. 2011, 12, 931–946. [Google Scholar] [CrossRef]
  19. Lu, Z.; Chi, X.; Chen, L. The effect of constant and pulse vaccination on SIR epidemic model with horizontal and vertical transmission. Math. Comput. Model. 2002, 36, 1039–1057. [Google Scholar] [CrossRef]
  20. Yang, C.-L.; Suh, C.-S. On controlling dynamic complex networks. Phys. D Nonlinear Phenom. 2022, 441, 133499. [Google Scholar] [CrossRef]
  21. Gu, H.; Liu, P.; Lü, J.; Lin, Z. PID Control for Synchronization of Complex Dynamical Networks with Directed Topologies. IEEE Trans. Cybern. 2021, 51, 1334–1346. [Google Scholar] [CrossRef]
Figure 1. Basic elements of the compartmental model in infectious diseases.
Figure 1. Basic elements of the compartmental model in infectious diseases.
Algorithms 17 00577 g001
Figure 2. Schematic representation of the proposed methodology.
Figure 2. Schematic representation of the proposed methodology.
Algorithms 17 00577 g002
Figure 3. Graphic representation of a complex network with ten nodes.
Figure 3. Graphic representation of a complex network with ten nodes.
Algorithms 17 00577 g003
Figure 4. Dynamic evolution for the complex network with epidemiological MSEIR model for each node.
Figure 4. Dynamic evolution for the complex network with epidemiological MSEIR model for each node.
Algorithms 17 00577 g004
Figure 5. Proposed treatment for node 1.
Figure 5. Proposed treatment for node 1.
Algorithms 17 00577 g005
Figure 6. Proposed treatment for node 2.
Figure 6. Proposed treatment for node 2.
Algorithms 17 00577 g006
Table 1. Controller comparative analysis.
Table 1. Controller comparative analysis.
Simulation CaseNumber of NodesAverage Absolute ErrorError Standard Deviation
All Node Neural Control (TICC)5 1.6117 × 10 5 2.1981 × 10 6
10 8.3432 × 10 6 1.1087 × 10 6
20 9.2308 × 10 6 1.2627 × 10 6
80 1.0098 × 10 5 1.3814 × 10 6
All Node Neural Control (TVCC)5 0.0539 6.3989 × 10 4
10 0.0460 4.4217 × 10 4
20 0.0597 6.3153 × 10 4
80 0.0611 7.7512 × 10 4
Pinning Neural Control (TICC)5 0.0075 3.6965 × 10 4
10 0.0136 4.3424 × 10 4
20 0.0157 3.3183 × 10 4
80 0.0172 4.4303 × 10 4
All Node Neural Control (TVCC)5 0.0198 3.6965 × 10 4
10 0.0254 6.4048 × 10 4
20 0.0457 2.126 × 10 4
80 0.0648 4.4303 × 10 4
Pinning Proportional Control (TICC)5 0.1017 2.6879 × 10 2
10 0.3254 5.0476 × 10 2
Pinning Proportional Control (TVCC)5 0.3597 6.3759
104 9.3485
Disclaimer/Publisher’s Note: The statements, opinions and data contained in all publications are solely those of the individual author(s) and contributor(s) and not of MDPI and/or the editor(s). MDPI and/or the editor(s) disclaim responsibility for any injury to people or property resulting from any ideas, methods, instructions or products referred to in the content.

Share and Cite

MDPI and ACS Style

Alanis, A.Y.; Munoz-Gomez, G.; Ramirez, N.F.; Sanchez, O.D.; Alvarez, J.G. A Complex Network Epidemiological Approach for Infectious Disease Spread Control with Time-Varying Connections. Algorithms 2024, 17, 577. https://doi.org/10.3390/a17120577

AMA Style

Alanis AY, Munoz-Gomez G, Ramirez NF, Sanchez OD, Alvarez JG. A Complex Network Epidemiological Approach for Infectious Disease Spread Control with Time-Varying Connections. Algorithms. 2024; 17(12):577. https://doi.org/10.3390/a17120577

Chicago/Turabian Style

Alanis, Alma Y., Gustavo Munoz-Gomez, Nancy F. Ramirez, Oscar D. Sanchez, and Jesus G. Alvarez. 2024. "A Complex Network Epidemiological Approach for Infectious Disease Spread Control with Time-Varying Connections" Algorithms 17, no. 12: 577. https://doi.org/10.3390/a17120577

APA Style

Alanis, A. Y., Munoz-Gomez, G., Ramirez, N. F., Sanchez, O. D., & Alvarez, J. G. (2024). A Complex Network Epidemiological Approach for Infectious Disease Spread Control with Time-Varying Connections. Algorithms, 17(12), 577. https://doi.org/10.3390/a17120577

Note that from the first issue of 2016, this journal uses article numbers instead of page numbers. See further details here.

Article Metrics

Back to TopTop