Abstract
A traditional semiconductor (WO3) was synthesized from different precursors via hydrothermal crystallization targeting the achievement of three different crystal shapes (nanoplates, nanorods and nanostars). The obtained WO3 microcrystals were analyzed by the means of X-ray diffraction (XRD), scanning electron microscopy (SEM) and diffuse reflectance spectroscopy (DRS). These methods contributed to the detailed analysis of the crystal morphology and structural features. The synthesized bare WO3 photocatalysts were totally inactive, while the P25/WO3 composites were efficient under UV light radiation. Furthermore, the maximum achieved activity was even higher than the bare P25’s photocatalytic performance. A correlation was established between the shape of the WO3 crystallites and the observed photocatalytic activity registered during the degradation of different substrates by using P25/WO3 composites.
1. Introduction
WO3 is a well-known semiconductor with a large applicability spectrum. Its color can vary from yellow, green, bluish and grayish depending on the oxidation state of the tungsten atoms in the crystal structure. It is a widely studied transition metal oxide with a light absorption maximum ≈ 480 nm (the band gap of WO3 is ≈2.6 eV [1], yellowish color), stable under acidic and oxidative conditions and most importantly, it is considered harmless. Over the years, WO3 nanomaterials were applied as pigments for paints [2], gas-, humidity- and moisture sensors [3], important components of energy efficient (smart) windows, antiglare automobile rear-view mirrors and sunroofs [4]. WO3 is capable of electrochromism, which is an optical modulation between blue color and transparent, a feature that occurs upon ion-electron double injection and extraction [5].
WO3 nanocrystallites can be synthesized using various methods, the most common being the ones using hydrothermal crystallization. Tungsten trioxide shows four well-known crystal phases: tetragonal, orthorhombic, monoclinic and triclinic. The most frequently obtained crystal phase is monoclinic [6]. Tungsten trioxide has been widely studied as a potential photocatalyst, although the photoactivity of WO3 is relatively low (compared to TiO2) [7] and can be significantly enhanced if it is applied in composite systems with noble metals or other semiconductor oxides [8].
The main advantages of WO3 are that it can be synthesized relatively easy; it absorbs and reflects light (its color can vary from yellow, green to blue and white/grey) at a much broader spectral range compared to TiO2. The band-gap of WO3 is narrower compared to TiO2, which means that WO3 requires lower energy photons in the heterogeneous photocatalytic process [9].
The synthesis of WO3 semiconductors has received significant attention in the last few years. Most of these studies were focused on the morphology of WO3 obtained by hydrothermal crystallization, which is a frequently used preparation procedure. In some cases, it can behave also as a charge separator [10] meaning that this semiconductor can enhance other semiconductors’ charge separation efficiency; therefore, it is a viable option for composite systems [11,12,13]. WO3 can form composites with noble metals such as Pt, Au or with other semiconductors like TiO2, ZnO or even NiO. The most widely used combinations are those with TiO2 and noble metals. The above listed composites were used as gas sensors [14,15] or as very efficient photocatalysts [16].
The morphology of WO3 can be influenced with the temperature of the hydrothermal crystallization, the precursors’ structure and solvent’s polarity, pH, etc. [17,18,19]. Tungsten trioxide can be synthesized starting from a larger variety of precursors including: tungstic acid, sodium tungstate and ammonium metatungstate. These compounds were already proved to yield different crystal geometries of WO3 [1,20,21].
In this work, WO3 photocatalysts were obtained from three different precursors via hydrothermal crystallization. The morphology, structure and photocatalytic activity of WO3 were studied and WO3/TiO2 composites were prepared and their photoactivity was evaluated and the activity-morphology-structure relationship was established.
2. Results
2.1. Photocatalytic Activity
Data from the literature shows that WO3 photocatalysts’ activity was usually very low, excepting some specific cases [18]. To verify this, the photocatalytic activity of the bare WO3 nanocrystals were tested both under UV and visible light. As Figure 1 and Figure 2 shows, (only the degradation of phenol under visible light and of oxalic acid under UV light are shown) the synthesized semiconductors were not active compared to Evonik Aeroxide P25 TiO2 (later on, the commercial product will be denoted as P25), which was active also under both visible- and UV light. The visible light activity can be attributed to the presence of a small fraction of rutile crystal phase in P25 [22,23].
Figure 1.
Photodegradation of oxalic acid under UV light using bare WO3.
Figure 2.
Photode gradation of phenol under visible light with WO3 microcrystallites.
The inactivity of the WO3 nano- and microcrystals possibly resides in the following issues:
a.) large particle size of the synthesized WO3. Although the obtained microcrystals have hierarchical structure, their secondary morphology was in the micrometer range. It is already known in the case of titania that, over a certain particle size, the overall photocatalytic activity decreases (some of the largest titania crystals which are known to have good photocatalytic activity are Aldrich rutile and Aldrich anatase, each of them having a crystal size above 100 nm [24].
b.) the absence of an electron acceptor. In some cases, an electron acceptor (e.g., noble metal nanocrystals) can enhance the activity of a semiconductor [6], which was missing from our composite system (from the WO3’s point of view).
As it can be seen, the bare WO3 crystallites are not active at all under UV/visible light. However, WO3 is known also for electrochromic properties, which are based on its electron acceptor capacity. This was exploited in composite systems in which TiO2 is in contact with WO3. The composites were obtained according to the Section 4.3.
The best way to examine the influence of the chosen WO3s on the photocatalytic activity of titania is to choose a very active, vastly documented photocatalyst. Therefore, the best option is P25. It is known to degrade the majority of organic contaminants (phenol, 4-chlorophenol, dichloroacetic acid, dimethylamine, trichloroethylene, acid orange 7, methylene blue, methanol, etc. [25]) and is considered the most unselective photocatalyst, producing lower amounts of intermediate compounds.
2.2. Phenol Conversion Rates
After 1 h, P25 degraded 54.3% of the total phenol concentration. From Figure 3, it can be observed that there were two types of composites (the short names for the obtained WO3s can be found in the experimental section). Some of their efficiency was lower than the efficiency of P25: WO3-NWH + P25 (27.5% degraded phenol), WO3-COM + P25 (25.4% degraded phenol), WO3-AMT + P25 (33.4% degraded phenol) and WO3-HW5 + P25 (45.3% degraded phenol). WO3-HW + P25 was the only composite with slightly superior activity compared to P25, showing a 63.9% phenol decomposition efficiency. According to other published data, this result is interesting, as the WO3-TiO2 composites’ efficiency towards phenol was reported to be lower [6] compared to that of the bare TiO2. Higher activity was achieved only when a third composite component (noble metals—Au or Pt) was also introduced or the TiO2-WO3 interparticle contact was maximized by the adjustment of the semiconductors’ surface charge [16,26,27]. The main reason for which the degradation curves were plotted separately after 1 h and 2 h was that, after one hour, the degradation rates were not influenced significantly by the intermediates’ concentration.
Figure 3.
Degradation curves of phenol using WO3-P25 composites under UV light, after 2 h (a); and 1 h (b).
After 2 h, the reference photocatalyst degraded 86.8% of the organic pollutant. WO3-NWH + P25 (44.4% degraded phenol), WO3-COM + P25 (49.1% degraded phenol), WO3-AMT + P25 (58.7% degraded phenol), and WO3-HW5 + P25 composite (66.7% degraded phenol) remained less photoactive than P25. WO3-HW + P25 was the only composite that showed a comparable efficiency towards phenol degradation, achieving 87.2% degradation. The degradation efficiency values of P25 and WO3-HW + P25 were much closer after 2 h (1 h of degradation: 54.3% vs. 63.9%; 2 h of degradation: 86.8% vs. 87.2%).
2.3. Reaction Rates of the Phenol Degradation
The reference photocatalyst showed 8.90 × 10−3 mmol·dm−3·min−1 initial reaction rate, which was inferior compared to WO3-COM + P25 – 11.18 × 10−3 mmol·dm−3·min−1. Interestingly, the initial reaction rate of WO3-HW + P25 composite was nearly identical with the value shown by P25 – 8.86 × 10−3 mmol·dm−3·min−1. Although the WO3-COM + P25 showed the highest initial reaction rate, after 2 h it degraded only 50% of the phenol, while WO3-HW + P25 removed 87.2%. The reaction rates of the other composites were noticeably lower than the value obtained for P25. The differences and inconsistencies shown between the degradation yields and initial reaction rates raised the following important aspect: the activity values of the composites were dependent from the chosen model pollutant—representative examples are methylene blue, rhodamine B, malachite green, 2-chloro-phenol, 2-nitro-phenol and phenol, which show an affinity at different levels towards WO3 [28,29,30,31,32,33].
Nevertheless, different substrates also mean different degradation pathways. It is remarkable that a pollutant with a relatively simple structure such as phenol itself degrades through different intermediates in different proportions when the same type of composite is applied (the difference in these cases is usually just the composite build-up). However, fortunately, there are common intermediates in the degradation pathways, such as hydrochinon, pyrocatechol and resorcinol [34,35]. The end products, of course, in each of these reactions are water and CO2. Hence, in order to get more information about the activity of these nanomaterials, another model pollutant is needed.
2.4. Reaction of the Methyl-Orange Degradation
From Figure 4, it was observed that the WO3-P25 composites showed different photocatalytic activities. The most important aspect was that, in the first hour of the photodegradation tests, the MO concentration decreased linearly. After 2 h, WO3-NWH + P25 degraded 57.7%, WO3-COM + P25 – 59.5%, WO3-HW + P25 – 67.3% of the total MO. The two best performing nanocomposites were WO3-HW5 + P25 (76.3% degraded MO) and WO3-AMT + P25 (84.6% degraded MO), while P25 removed 82.8% of the MO (Table 1).
Figure 4.
Degradation curves of methyl-orange using WO3-P25 composites under UV light, after 2 h.
Table 1.
The obtained materials’ photocatalytic activity and structural properties.
The highest reaction rate was shown by WO3-COM + P25 (5.02 mmol·dm−3·min−1) and the lowest by WO3-NWH + P25 (0.35 mmol·dm−3·min−1). Although there was a significant difference between the two reaction rates, they only degraded ≈ 60% of MO, emphasizing again the importance of the degradation pathway of a given model pollutant. Similar incoherence was observed when comparing WO3-AMT + P25 and P25 (84.6% vs. 82.8% MO degradation/ 1.66 mmol·dm−3·min−1, 2.26 mol·dm−3·min−1). However, there are cases, when the obtained reaction rates and degradation yields showed a similar trend: WO3-HW + P25 (1.01 mmol·dm−3·min−1) vs. WO3-HW5 + P25 (1.06 mol·dm−3·min−1) and 67.3% MO degradation vs. 76.3% MO degradation.
As it was shown in this section, based upon the photodegradation results, the following main question arises: If the base photocatalyst was the same in all of the cases (Evonik Aeroxide P25) and the composites’ composition was also constant, which morpho-structural parameter was responsible for the different photocatalytic activity?
3. Discussions of the Photocatalytic Activity Results in the Frame of the Structural and Morphological Features
3.1. Morphological Aspects of the Obtained WO3 Microcrystals
The morphology of the WO3 (WO3-HW; WO3-HW5) crystals synthesized from tungstic acid was rod-like, accompanied sometimes by nanosheets (Figure 5). The crystal size was ≈1 μm, which were built from very small polycrystalline nanoparticles with d ≈ 20 nm. This material “construction” was also observed by Liang Zhou and coworkers [20]. Using sodium tungstate as the precursor, the morphology of the tungsten trioxide (WO3-NWH) crystals were fiber-like [21]. Their individual length was ≈3–4 μm. Taking a closer look, it was observed that these fibers were, in fact, fiber bundles (“built” from ≈12–14 smaller nanofibers) composed from much smaller d = 40–50 nm fibers. Finally, the morphology of the microcrystals (WO3-AMT) obtained from ammonium metatungstate (AMT) was star-like [1]. These stars’ mean diameter was ≈3–4 μm and were composed from microfibers of ≈3–4 μm length. These were built from several smaller nanowires with a diameter =10–15 nm (Figure 5).
Figure 5.
SEM micrographs of WO3-HW, WO3-HW5 (a;b); WO3-NWH (c;d;g); and WO3-AMT (e;f;h)—the yellow dotted arrows are marking the wire boundaries.
3.2. Crystalline Structure of the Shape-Tailored WO3
From the XRD patterns, the crystal phase composition and crystal size of the WO3 nanocrystals were evaluated. WO3-COM and WO3-AMT contained only the monoclinic crystal phase, while WO3-NWH contained exclusively WO3·0.33H2O hexagonal partial hydrate. Interestingly, WO3-HW and WO3-HW5 semiconductors contained both of the previously mentioned crystal phases in different amounts (Figure 6, Table 1). The crystal size values determined from the XRD patterns were well-correlated with the observations made in the previous section of the paper (except for the WO3-COM, which was not shown separately; the determined crystal size was 20 nm). More precisely, in the case of the hierarchically structured materials (stars made from thin wires, WO3-AMT and wire bundles made from smaller wires, WO3-NWH), the small fibers’ diameter values determined by XRD (55 nm, WO3-NWH; 30–35 nm, WO3-AMT) were in the same range as the ones determined by SEM (40–50 nm, WO3-NWH; 10–15 nm, WO3-AMT). The differences in the values can be attributed to the fibers’ asymmetrical nature (length/diameter ratio is extremely high—10–15 nm vs. 2–3 µm in sample WO3-AMT). Another important aspect was noticed when WO3-HW and WO3-HW5 was compared. If the H2O2 amount was high (WO3-HW), the monoclinic phase was present in 9.6 wt.%, while the hexagonal hydrate was 90.3 wt.%. When the H2O2 content was lowered, the hexagonal hydrate was still the dominant crystal phase of the powders with a more pronounced content of monoclinic WO3: 63.6 wt.% vs. 36.3 wt.% (monoclinic WO3).
Figure 6.
XRD patterns of the obtained WO3.
It is known that the monoclinic crystal phase of WO3 is very stable, and it is thermodynamically favored if no chemical “constraints” (e.g., shaping agents) are present during the crystallization procedure. If a partial hydrate, such as WO3·0.33H2O, is desired, then a high ionic strength medium is required, where the ionic strength is determined by a joint cation and foreign anion (e.g., Na+/Cl− Na2WO4—precursor/NaCl ionic strength modifier). These strategies were proven to be efficient, as it was shown in Figure 6 and Table 1. However, to modify the ratio of these two crystal phases, a more elaborate method is required, such as the intermediate peroxo-complex approach, which yields a different ratio of the two crystal phases depending on the H2O2 content, and it was also proven to be successful. Therefore, the next step is to verify if this crystal phase/morphology changes are related to the materials’ optical properties (band-gap value).
3.3. Optical Properties of the Individual WO3 and Composites
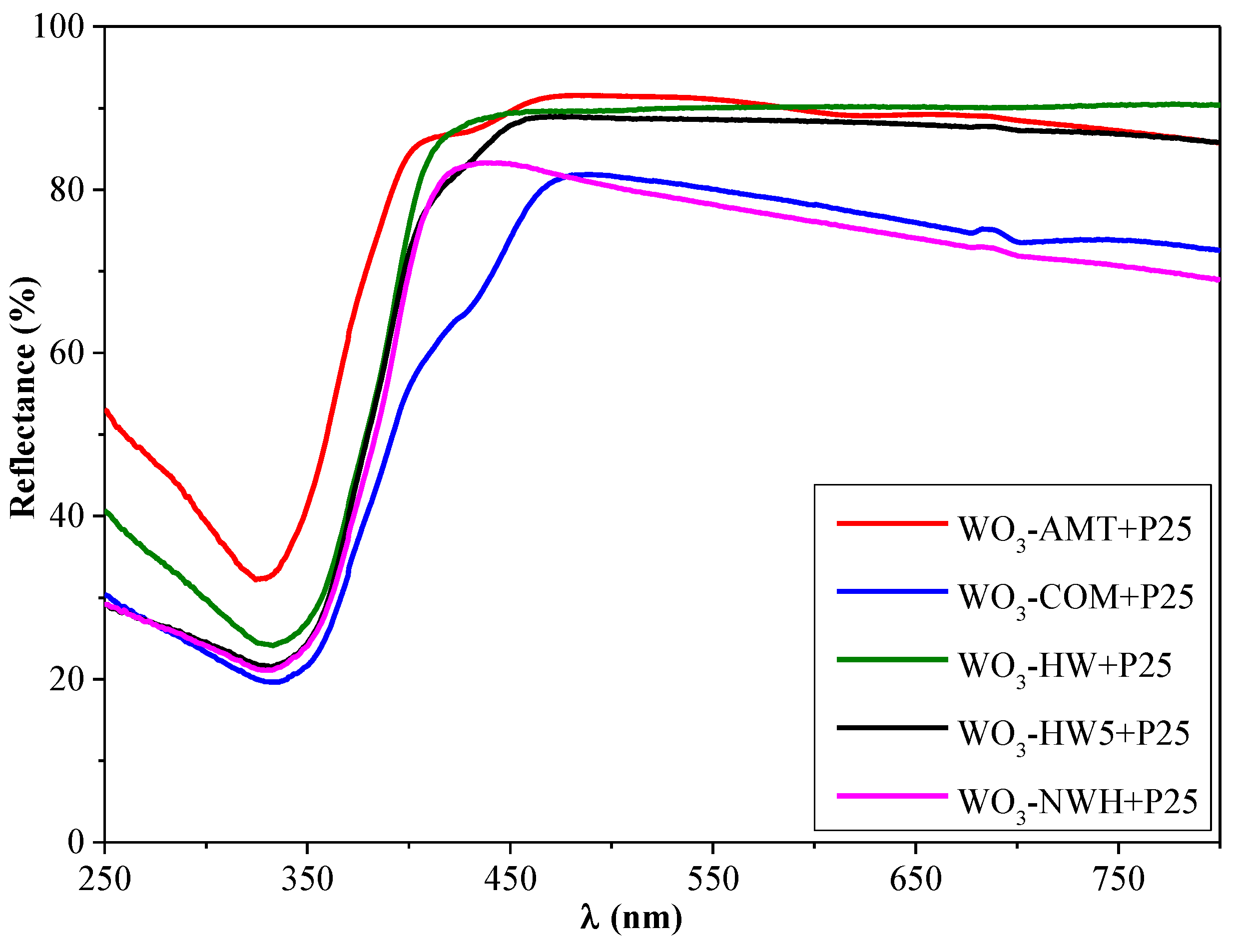
The band-gap value estimated using the light absorption threshold was 450 nm (2.75 eV) for WO3-HW5, 460 nm (2.69 eV) for WO3-NWH, 475 nm (2.61 eV) for WO3-COM, and 550 nm (2.25 eV) for WO3-AMT. The lowest band-gap energy was estimated for WO3-AMT (interestingly, there was a break in the light absorption threshold of this material, which may require additional experimental work to be explained) and WO3-COM, both of them containing only the monoclinic polymorph of WO3. This was followed by the pure hexagonal partial hydrate containing WO3-NWH, and, finally by the WO3-HW and HW5, which contained both of the previously mentioned crystal phases. Figure 7 shows that, as the two phases were simultaneously present, a unique synergistic change was observable in the UV-Vis spectra, marked by an intensive blue shift of 50 nm (compared to WO3-NWH) and 100 nm (compared to WO3-AMT). Furthermore, in WO3-HW5, a more significant amount (36.3 wt. %) of monoclinic WO3 was also evidenced, and it was marked in the spectrum by a small break in the absorption threshold (visible also in the spectrum of WO3-AMT). In the case of the WO3-P25 composites, the band-gap values established were further blue shifted, due to the presence of TiO2, although the spectral features of the WO3 were still discernible (Figure 8). The band-gap values were summarized in Table 1.
Figure 7.
The reflectance spectra of the commercial and synthesized WO3.
Figure 8.
The reflectance spectra of the commercial and synthesized WO3-TiO2 composites.
3.4. The Structure-Morphology-Photocatalytic Activity Relationship
The correlation between the observed photocatalytic activities and the investigated parameters can be made at three different levels, each of them suggesting new investigation pathways concerning WO3 containing nanocomposites activity-tuning possibilities.
The first approach, which was already discussed in Section 2.1, was the visible light activity potential and the light absorption properties’ relationship (Section 3.3). Although all the bare WO3 showed visible light absorption properties (including the fact that their band-gap values were in the visible light region), no visible light activity was observable, neither in the degradation of phenol nor in the degradation of oxalic acid. Additionally, the composites prepared with P25 were also totally inactive under visible light. This result points out the fact that the WO3 crystals main role was in the charge separation process.
The second level approach considers the relationship between the crystals’ structure and the obtained photocatalytic efficiencies. It is already known in the case of TiO2 that the photocatalytic activity is strongly dependent on the crystal phase composition (the famous anatase/rutile ratio— perfect synergism of the two crystal phases in P25). Therefore, a similar behavior was expected, if the crystal phase composition of the charge separator composite component (in the present case, WO3) was altered. In the case of phenol degradation, a small amount (≈9 wt. %) of monoclinic WO3 was sufficient to boost (doubling the efficiency) the activity of WO3·0.33H2O. If the amount of the monoclinic crystal phase increased further, the activity decreased gradually (Figure 9). The crystal phase composition had a reverse effect when the chosen model pollutant was MO. Pure monoclinic WO3 was the best choice to achieve maximum efficiency, because, with the increase of the WO3·0.33H2O content, the activity decreased gradually.
Figure 9.
Degradation efficiencies vs. crystal phase composition/morphology.
The third level approach lies in the morphological control of the WO3 crystals. The most representative evidence for the efficiency of shape tailoring was shown in Figure 9. WO3-COM + P25 showed lower photocatalytic efficiency in every one of the investigated cases (phenol and MO degradation). Both WO3-COM and WO3-AMT contained only monoclinic WO3, and their crystal size was in the same range. The main difference was in the fact that WO3-AMT contained uniform microstars that were formed from very fine nanowire bundles. This hierarchical build-up makes possible a high efficiency charge transport, which favors the separation of the photogenerated charge carriers. Furthermore, this property is exploitable not just in photocatalysis but also in development of gas sensors.
4. Materials and Methods
4.1. Chemicals
Tungstic acid (H2WO4, Sigma Aldrich, 99%), sodium tungstate dihydrate (Na2WO4·2H2O, Sigma Aldrich, 99%), ammonium metatungstate hydrate (AMT) ((NH4)6H2W12O40·xH2O, Sigma Aldrich, 99.99%), hydrogen peroxide (H2O2, Sigma Aldrich, 30%), hydrochloric acid (HCl, NORDCHIM, 37%, 12 M), sodium chloride (NaCl, NORDCHIM, 99.5%) were used as received. For the determination of the photocatalytic activity aqueous solution of phenol (C6H5OH, 99%, Reanal), and oxalic acid (C2H2O4, Aldrich, 98%) was used.
4.2. Synthesis of the WO3 Semiconductors
4.2.1. Synthesis of WO3 Nanoplates-Intermediate Peroxo-Complex Approach
For the experiment, 2.5 g of H2WO4 was dissolved in a mixture of 30 mL 30 wt. % hydrogen peroxide (H2O2) and 10 mL of distilled water under stirring (24 h) to form a clear, pale-yellow solution [20]. 2.5 g of H2WO4 was dissolved in a mixture of 20 mL 30 wt. % hydrogen peroxide (H2O2) and 20 mL of distilled water under stirring (24 h) to form a clear/ colorless solution. Then, both of the solutions were hydrothermally treated at 180 °C for 24 h, and a white colloidal suspension was obtained. The products were collected and washed by centrifugation for 3 × 10 min at 5000 rpm, with distilled water. The washed precipitate was dried at 40 °C for 24 h. The nanocrystallites synthesized from tungstic acid were named WO3-HW and WO3-HW5. The HW abbreviation comes from the tungstic acid’s molecular formula H2WO4.
4.2.2. Synthesis of WO3-High Ionic Strength Approach
For this part of the experiment, 3.29 g of Na2WO4·2H2O and 1.16 g of NaCl were dissolved in 75 mL distilled water under stirring. The pH of the suspension was adjusted to 2 with 3 M HCl aqueous solution. The suspension was stirred at room temperature for 24 h. Then, the mixture was hydrothermally treated at 180 °C for 24 h, and a green precipitate was finally obtained. The obtained product was collected and washed by centrifugation: for 3 × 10 min at 5000 rpm with distilled water. After centrifugation, the product was dried at 40 °C for 24 h [21]. The sample obtained from sodium tungstate dihydrate was named WO3-NWH. The NWH abbreviation comes from the sodium tungstate dihydrate molecular formula Na2WO4·2H2O.
4.2.3. Synthesis of WO3 Nanostars-Low Mobility Anion Approach
For this part of the experiment, 0.77 g AMT and 0.53 mL HCl was dissolved in 12.5 mL of distilled water. The solution was stirred for 15 min, then hydrothermally treated at 180 °C for 4 h, and a yellow colloidal suspension was obtained. The product was collected and washed by centrifugation at 1600 rpm for 15 min with distilled water. After centrifugation, the precipitate was dried for 6 h at 70 °C. Finally, the as-obtained powders were thermally treated at 500 °C for 30 min [1]. The catalyst obtained using ammonium metatungstate hydrate was named WO3-AMT. The AMT abbreviation originates from the ammonium metatungstate hydrate.
4.3. Synthesis of the WO3/TiO2 Nanocomposites
In this case, the shape controlled WO3 nanocrystallites and Evonik Aeroxide P25 (Manufacturer, City, Country) were used for the preparation of the nanocomposites. In each case, a specific ratio was established between the composite components, according to our recent work: 24% WO3 and 76% TiO2 (Evonik Aeroxide P25). The nanocomposites were prepared via mechanical mixing in an agate mortar for 3 × 5 min [6] and were named as follows: WO3 name + P25. The Evonik Aeroxide TiO2 will be referred to as P25 later on, while the commercial WO3 will be denoted as WO3-COM. The commercial tungsten trioxide was used as a reference due to its property that it was not synthesized via hydrothermal treatment, and it doesn’t contain shape tailored WO3 nano and microcrystals.
4.4. Methods and Instrumentation
Characterization Methods
The XRD patterns were recorded on a Shimadzu 6000 diffractometer (Shimadzu Corporation, Kyoto, Japan), using Cu-Kα irradiation, (λ = 1.5406 Å), equipped with a graphite monochromator. The crystal phase of the tungsten trioxide was evaluated and the crystallites’ average size was calculated using the Scherer equation [36].
For measuring the DRS spectra of the samples, a JASCO-V650 spectrophotometer (Jasco Inc., Easton, MD, USA) with an integration sphere (ILV-724) (Jasco Inc., Easton, MD, USA) was used (λ = 250–800 nm). The band gap was determined according to references [34,35,37,38].
SEM micrographs were obtained with a FEI Quanta 3D FEG Scanning Electron Microscope (FEI Inc., Dawson Creek, Canada), operating at an accelerating voltage of 25 kV.
The photocatalytic tests were performed under UV irradiation in a photoreactor (homemade) (1 g·L−1 suspension concentration, continuous air flow, continuous stirring. 6 W × 6 W UV fluorescent lamps, λmax = 365 nm, thermostated at 25 °C) under visible irradiation in a photoreactor (1 g·L−1 suspension concentration, continuous air flow, continuous stirring. 4 W × 24 W fluorescent lamps, λ > 400 nm, thermostated at 25 °C) [18]. The suspension containing the photocatalyst and the pollutant (initial concentration of phenol C0, phenol = 0.5 mM or oxalic acid C0, oxalic acid = 5 mM of methyl orange (MO) C0, MO = 125 μM; catalyst concentration Cphotocatalyst = 1 g·L−1; total volume of the suspension Vsusp = 100 mL) was continuously purged with air, assuring a constant dissolved oxygen concentration during the whole experiment. The chosen compounds are stable under UV-A, not showing any sign of photolytic (in the absence of the photocatalyst) degradation [37].
Prior to the degradation experiments, the used suspension was kept in the dark for 10 min to establish the adsorption/desorption equilibrium. For the calculation of the reaction rates, only the first five measurement points (where the influence of the degradation intermediates was insignificant) were considered, applying a pseudo-first order kinetic approach. The error of the photocatalytic degradation experiments was verified by 3 degradation experiments with the same catalyst. The maximum error (in the conversion and reaction rate values) was determined to be ±2.5%.
The concentration decrease of the chosen organic substrate (oxalic acid, phenol) was followed using an Agilent 1100 series HPLC system (Agilent Technologies, Santa Clara, CA, USA). The eluent in the case of oxalic acid was a 0.06% aqueous solution of sulfuric acid, with a 0.8 mL·min−1 flow rate, the column was Grom Resin ZH (Dr. Maisch HPLC GmbH, Ammerbuch-Entringen, Germany). In the case of phenol, the eluent was a mixture of methanol and water in 7:13 ratio, while using a BST Nucleosyl C-18 column (4 mm × 250 mm) (Merck, Kenilworth, NJ, USA). The detection wavelengths were the following: in the case of oxalic acid 206 nm and in the case of phenol 210 nm. The concentration of MO was followed using a JASCO V-650 spectrophotometer at 513 nm (Jasco Inc., Easton, MD, USA).
5. Conclusions
The present work showed that the activity of a given nanocomposite (TiO2/WO3) can be tuned by adjusting the structural and morphological properties of the charge separator component (in the present case, WO3). The structural fine-tuning was efficient if the crystal phase composition was varied. This resulted in different levels of affinity towards different types of model pollutants (phenol and methyl orange). The controlled shape manipulation was also a viable alternative to enhance the photocatalytic activity, which was proven by the comparison of commercial WO3 and shape-tailored WO3 containing the same crystal polymorph and having a similar crystal size. Although there are still questions unanswered in the present research, it is clear that there is huge potential in the photocatalytic activity enhancement by applying the approaches investigated in this work.
Acknowledgments
The authors wish to thank to the Romanian National Authority for Scientific Research, CNCS–UEFISCDI, project number PN-II-ID-PCE-2011-3-0442. István Székely acknowledges the funding provided by scholarship “Bursă de Performanță Științifică” provided by the Babeș-Bolyai University. In addition, the authors would like to thank Alexandra Csavdári for her help concerning the evaluation of the reaction rates and to Adriana Vulpoi for the SEM micrographs.
Author Contributions
István Székely performed the synthesis of the nanomaterials, and 80% of the other experimental work, and he also participated in the preparation of the manuscript; Gábor Kovács was the supervisor of the whole experimental work and contributed to the preparation of the manuscript; Lucian Baia’s main role was in the data interpretation; Virginia Danciu contributed significantly to the improvement of the manuscript and provided the necessary scientific advising. Zsolt Pap played an important role in the preparation of the manuscript as the corresponding author.
Conflicts of Interest
The authors declare no conflict of interest.
References
- Biswas, S.K.; Baeg, J.O. A facile one-step synthesis of single crystalline hierarchical WO3 with enhanced activity for photoelectrochemical solar water oxidation. Int. J. Hydrog. Energy 2013, 8, 3177–3188. [Google Scholar] [CrossRef]
- Hoel, A.; Reyes, L.F.; Heszler, P.; Lantto, V.; Granqvist, C.G. Nanomaterials for environmental applications: Novel WO3-based gas sensors made by advanced gas deposition. Curr. Appl. Phys. 2004, 4, 547–553. [Google Scholar] [CrossRef]
- Tripathi, A.; Tripathi, V.; Pandey, N.K.; Tiwari, K. Resistive Type Moisture Sensor based on WO3. Nanomat. Sens. Transduc. J. 2012, 143, 152–161. [Google Scholar]
- Dickerson, J.H.; Boccaccini, A.R. Electrophoretic Deposition of Nanomaterials; Springer: New York, NY, USA, 2011. [Google Scholar]
- Lassner, E.; Schubert, W.D. Tungsten: Properties, Chemistry, Technology of the Element, Alloys, and Chemical Compounds; Kluwer Academic: New York, NY, USA, 1999. [Google Scholar]
- Karácsonyi, É.; Baia, L.; Dombi, A.; Danciu, V.; Mogyorósi, K.; Pop, L.C.; Kovács, G.; Coșoveanu, V.; Vulpoi, A.; Simon, S.; et al. The photocatalytic activity of TiO2/WO3/noble metal (Au or Pt) nanoarchitectures obtained by selective photodeposition. Catal. Today 2013, 208, 19–27. [Google Scholar] [CrossRef]
- Riboni, F.; Bettini, L.G.; Bahnemann, D.W.; Selli, E. WO3–TiO2 vs. TiO2 photocatalysts: Effect of the W precursor and amount on the photocatalytic activity of mixed oxides. Catal. Today 2013, 209, 28–34. [Google Scholar] [CrossRef]
- Lee, W.J.; Fang, Y.K.; Ho, J.J.; Hsieh, W.T.; Ting, S.F.; Huang, D.; Fang, H.C. Effects of surface porosity on tungsten trioxide (WO3) films’ electrochromic performance. J. Electron. Mater. 2000, 29, 29–183. [Google Scholar] [CrossRef]
- Shi, F.; Liu, J.X.; Huang, X.; Yu, L.; Liu, S.H.; Feng, X.; Wang, X.K.; Shao, G.L.; Hu, S.C.; Yang, B.; et al. Hydrothermal synthesis of mesoporous WO3–TiO2 powders with enhanced photocatalytic activity. Adv. Powder Technol. 2015, 26, 1435–1441. [Google Scholar] [CrossRef]
- Tennakone, K.; Ileperuma, O.A.; Bandara, J.M.S.; Kiridena, W.C.B. TiO2 and WO3 semiconductor particles in contact: Photochemical reduction of WO3 to the non-stoichiometric blue form. Semicond. Sci. Technol. 1992, 7, 423–424. [Google Scholar] [CrossRef]
- Ke, D.; Liu, H.; Peng, T.; Liu, X.; Dai, K. Preparation and photocatalytic activity of WO3/TiO2 nanocomposite particles. Mater. Lett. 2008, 62, 447–450. [Google Scholar] [CrossRef]
- Kim, J.; Bondarchuk, O.; Kay, B.D.; White, J.M.; Dohnálek, Z. Preparation and characterization of monodispersed WO3 nanoclusters on TiO2 (110). Catal. Today 2007, 120, 186–195. [Google Scholar] [CrossRef]
- Al-Kandari, H.; Al-Kharafi, F.; Al-Awadi, N.; El-Dusouqui, O.M.; Katrib, A. Surface electronic structure–catalytic activity relationship of partially reduced WO3 bulk or deposited on TiO2. J. Electron. Spectrosc. 2006, 151, 128–134. [Google Scholar] [CrossRef]
- Williams, D.E.; Aliwell, S.R.; Pratt, K.F.E.; Caruana, D.J.; Jones, R.L.; Cox, R.A.; Hansford, G.M. Modeling the response of a tungsten oxide semiconductor as a gas sensor for the measurement of ozone. Meas. Sci. Technol. 2002, 13, 923–931. [Google Scholar] [CrossRef]
- Zhang, H.; Liu, Z.; Yang, J.; Guo, W.; Zhu, L.; Zheng, W. Temperature and acidity effects on WO3 nanostructures and gas-sensing properties of WO3 nanoplates. Mater. Res. Bull. 2014, 57, 260–267. [Google Scholar] [CrossRef]
- Baia, L.; Orbán, E.; Fodor, S.; Hampel, B.; Kedves, E.Z.; Saszet, K.; Székely, I.; Karácsonyi, É.; Réti, B.; Berki, P.; et al. Preparation of TiO2/WO3 composite photocatalysts by the adjustment of the semiconductors’ surface charge. Mater. Sci. Semicond. Proc. 2016, 42, 66–71. [Google Scholar] [CrossRef]
- Wang, X.; Zhang, H.; Liu, L.; Li, W.; Cao, P. Controlled morphologies and growth direction of WO3 nanostructures hydrothermally synthesized with citric acid. Mater. Lett. 2014, 130, 248–251. [Google Scholar] [CrossRef]
- Sungpanich, J.; Thongtem, T.; Thongtem, S. Photocatalysis of WO3 nanoplates synthesized by conventional hydrothermal and microwave-hydrothermal methods and of commercial WO3 nanorods. J. Nanomater. 2014, 2014, 1–8. [Google Scholar] [CrossRef]
- Adhikari, S.; Sarkar, D. High Efficient Electrochromic WO3 Nanofibers. Electrochim. Acta 2014, 138, 115–123. [Google Scholar] [CrossRef]
- Zhou, L.; Zou, J.; Yu, M.; Lu, P.; Wei, J.; Qian, Y.; Wang, Y.; Yu, C. Green Synthesis of Hexagonal-Shaped WO3·0.33H2O Nanodiscs, Composed of Nanosheets. Cryst. Growth Des. 2008, 8, 3993–3998. [Google Scholar] [CrossRef]
- Liu, X.; Zhang, J.; Yang, T.; Guo, X.; Wu, S. Synthesis of Pt nanoparticles functionalized WO3 nanorods and their gas sensing properties. Sens. Actuators B 2011, 156, 918–923. [Google Scholar] [CrossRef]
- Ohtani, B.; Prieto-Mahaney, O.O.; Li, D.; Abe, R. What is Degussa (Evonik) P25? Crystalline composition analysis, reconstruction from isolated pure particles and photocatalytic activity test. J. Photochem. Photobiol. A 2010, 216, 179–182. [Google Scholar] [CrossRef]
- Veréb, G.; Ambrus, Z.; Pap, Z.; Kmetykó, Á.; Dombi, A.; Danciu, V.; Cheesman, A.; Mogyorósi, K. Comparative study on UV and visible light sensitive bare and doped titanium dioxide photocatalysts for the decomposition of environmental pollutants in water. Appl. Catal. A 2012, 417–418, 26–36. [Google Scholar] [CrossRef]
- Kovács, G.; Fodor, S.; Vulpoi, A.; Schrantz, K.; Dombi, A.; Hernádi, K.; Danciu, V.; Pap, Z.; Baia, L. Polyhedral Pt vs. spherical Pt nanoparticles on commercial titanias: Is shape tailoring a guarantee of achieving high activity? J. Catal. 2015, 325, 156–167. [Google Scholar] [CrossRef]
- Ryu, J.; Choi, W. Substrate-specific photocatalytic activities of TiO2 and multiactivity test for water treatment application. Environ. Sci. Technol. 2008, 42, 294–300. [Google Scholar] [CrossRef] [PubMed]
- Bai, S.; Liu, H.; Sun, J.; Tian, Y.; Chen, S.; Song, J.; Luo, R.; Li, D.; Chen, A.; Liu, C. Improvement of TiO2 photocatalytic properties under visible light by WO3/TiO2 and MoO3/TiO2 composites. Appl. Surf. Sci. 2015, 338, 61–68. [Google Scholar] [CrossRef]
- Liu, S.; Huang, J.; Cao, L.; Li, J.; Ouyang, H.; Tao, X.; Liu, C. One-pot synthesis of TiO2–WO3 composite nanocrystallites with improved photocatalytic properties under natural sunlight irradiation. Mater. Sci. Semicond. Proc. 2014, 25, 106–111. [Google Scholar] [CrossRef]
- Aslam, M.; Iqbal, M.; Ismail, I.; Chandrasekaran, S.; Hameed, A. Morphology controlled bulk synthesis of disc-shaped WO3 powder and evaluation of its photocatalytic activity for the degradation of phenols. J. Hazard. Mater. 2014, 276, 120–128. [Google Scholar] [CrossRef] [PubMed]
- Vamvasakis, I.; Georgaki, I.; Vernardou, D.; Kenanakis, G.; Katsarakis, N. Synthesis of WO3 catalytic powders: Evaluation of photocatalytic activity under NUV/visible light irradiation and alkaline reaction pH. J. Sol-Gel Sci. Technol. 2015, 76, 120–128. [Google Scholar] [CrossRef]
- Luo, X.; Deng, F.; Min, L.; Luo, S.; Guo, B.; Zeng, G.; Au, C. Facile one-step synthesis of inorganic-framework molecularly imprinted TiO2/WO3 nanocomposite and its molecular recognitive photocatalytic degradation of target contaminant. Envir. Sci. Technol. 2013, 47, 737–744. [Google Scholar]
- DePuccio, D.P.; Botella, P.; O’Rourke, B.; Landry, C.C. Degradation of Methylene Blue Using Porous WO3, SiO2−WO3, and Their Au-Loaded Analogs: Adsorption and Photocatalytic Studies. ACS Appl. Mater. Interf. 2015, 7, 1987–1996. [Google Scholar] [CrossRef] [PubMed]
- Hu, H.; Deng, C.; Xu, J.; Zheng, Q.; Chen, G.; Ge, X. Facile synthesis of hierarchical WO3 nanocakes displaying the excellent visible light photocatalytic performance. Mater. Lett. 2015, 161, 17–19. [Google Scholar] [CrossRef]
- Vajda, K.; Saszet, K.; Kedves, Z.; Kása, Z.; Danciu, V.; Baia, L.; Magyari, K.; Hernádi, K.; Kovács, G.; Pap, Z. Shape-controlled agglomeration of TiO2 nanoparticles New insights on polycrystallinity vs. single crystals in photocatalysis. Ceram. Int. 2016, 42, 3077–3087. [Google Scholar] [CrossRef]
- Kovács, G.; Baia, L.; Vulpoi, A.; Radu, T.; Karácsonyi, É.; Dombi, A.; Hernádi, K.; Danciu, V.; Simon, S.; Pap, Z. TiO2/WO3/Au nanoarchitectures’ photocatalytic activity, “from degradation intermediates to catalysts’ structural peculiarities”, Part I: Aeroxide P25 based composites. Appl. Catal. B. Environ. 2014, 147, 508–517. [Google Scholar] [CrossRef]
- Baia, L.; Vulpoi, A.; Radu, T.; Karácsonyi, É.; Dombi, A.; Hernádi, K.; Danciu, V.; Simon, S.; Norén, K.; Canton, S.E.; et al. TiO2/WO3/Au nanoarchitectures’ photocatalytic activity “from degradation intermediates to catalysts’ structural peculiarities” Part II: Aerogel based composites—Fine details by spectroscopic means. Appl. Catal. B 2014, 148–149, 589–600. [Google Scholar] [CrossRef]
- Jenkins, R.; Snyder, R.L. Introduction to X-Ray Powder Diffractometry; John Wiley & Sons: New York, NY, USA, 1996; pp. 1417–1418. [Google Scholar]
- Pap, Z.; Danciu, V.; Cegléd, Z.; Kukovecz, Á.; Oszkó, A.; Dombi, A.; Mogyorósi, K. The influence of rapid heat treatment in still air on the photocatalytic activity of titania photocatalysts for phenol and monuron degradation. Appl. Catal. B. Environ. 2011, 101, 461–470. [Google Scholar] [CrossRef]
- Kubelka, P.; Munk, F. Ein Beitrag zur Optik der Farbanstriche. Zeits. Phys. 1931, 12, 593–601. [Google Scholar]
© 2016 by the authors; licensee MDPI, Basel, Switzerland. This article is an open access article distributed under the terms and conditions of the Creative Commons by Attribution (CC-BY) license (http://creativecommons.org/licenses/by/4.0/).








