Fatigue Life Prediction Based on Crack Closure and Equivalent Initial Flaw Size
Abstract
:1. Introduction
2. The Concept of Equivalent Initial Flaw Size (EIFS)


3. Fatigue Life Prediction Based on Crack Closure and Equivalent Initial Flaw Size
3.1. Life Prediction for Smooth Specimens


3.2. Life Prediction for Circular-Hole Specimens
3.3. Plasticity Correction
4. Model Validation for Smooth and Circular-Hole Specimens
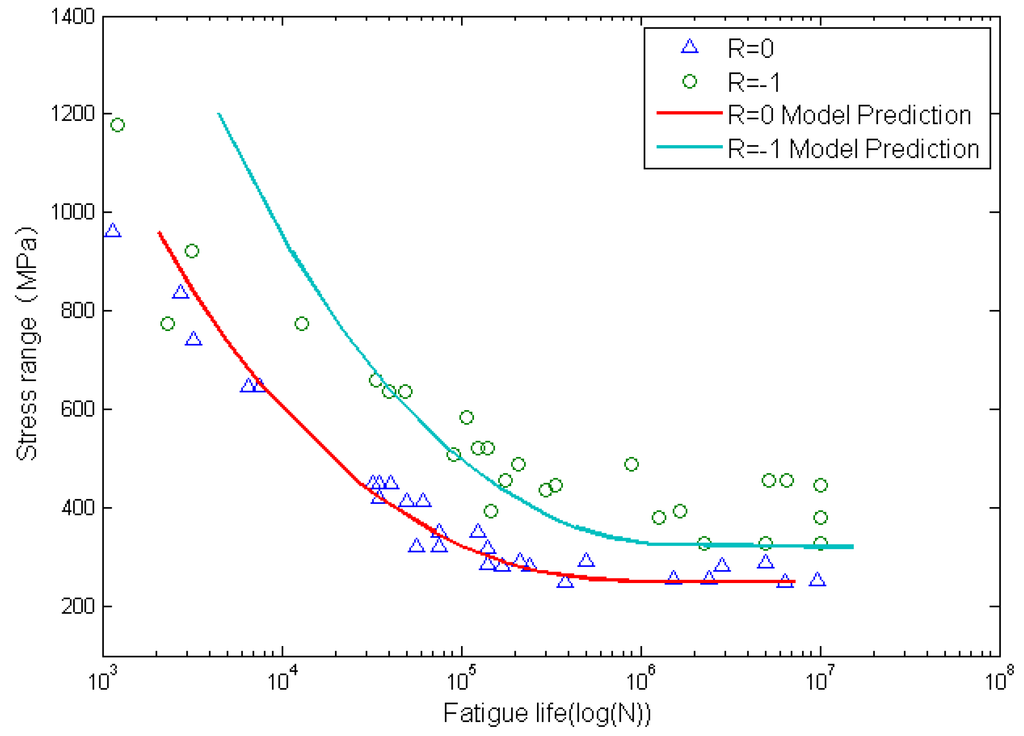
4.1. Life Prediction for Smooth and Circular-Hole Al2024-T3 Specimens
| Specimen Type | R | Width (mm) | Thickness (mm) | Hole diameter (mm) |
|---|---|---|---|---|
| Smooth | 0 | 25.4 | 2.3 | / |
| 0.1 | 10.0 | 5.0 | / | |
| Notched | 0/−1 | 50.8 | 2.3 | 3.2 |

| Material | R | △Kth (MPa) | △σs (MPa) | △σh (MPa) | EIFSs (μm) | EIFSh (μm) |
|---|---|---|---|---|---|---|
| Al2024-T3 | 0 | 1.9136 | 200 | 112 | 50.69 | 23.87 |
| 0.1 | 1.6502 | 170 | / | 53.34 | / | |
| −1 | 3.7802 | / | 110 | / | 110.4 |


4.2. Life Prediction of Smooth and Circular-Hole Al7075-T6 Specimens
| Specimen Type | R | Width (mm) | Thickness (mm) | Hole Diameter (mm) |
|---|---|---|---|---|
| Smooth | 0 | 25.4 | 2.3 | / |
| −1 | 50.8 | 4.8 | / | |
| Notched | 0/−1 | 50.8 | 2.3 | 1.6 |

| Material | R | △Kth (MPa) | △σs (MPa) | △σh (MPa) | EIFSs (μm) | EIFSh (μm) |
|---|---|---|---|---|---|---|
| Al7075-T6 | 0 | 1.3007 | 205 | 121 | 22.95 | 9.59 |
| −1 | 2.1551 | 415 | 130 | 11.06 | 19.88 |


4.3. Life Prediction of Smooth and Circular-Hole Ti-6Al-4V Specimens
| Specimen Type | R | Width (mm) | Thickness (mm) | Hole Diameter (mm) |
|---|---|---|---|---|
| Smooth | 0/−1 | 25.4 | 1.6 | / |
| Notched | 0/−1 | 50.8 | 1.6 | 1.6 |

| Material | R | △Kth (MPa) | △σs (MPa) | △σh (MPa) | EIFSs (μm) | EIFSh (μm) |
|---|---|---|---|---|---|---|
| Ti-6Al-4V | 0 | 1.7590 | 500 | 250 | 6.92 | 4.04 |
| −1 | 2.2032 | 690 | 320 | 5.36 | 3.87 |


5. Discussion and Conclusions
- (1)
- The value of △Kth is dependent on the stress ratio even if the crack closure effect is considered. Consequently, the value of EIFS is also dependent on the stress ratio.
- (2)
- The factors that affect the value of EIFS include the geometrical configuration, the surface condition, and the material properties. For the same material, fatigue life is affected by many factors, and, based on these, the value of EIFS which represents the initial quality should be different.
- (3)
- The crack initiation mechanism of the same material may be different under different stress levels, and its influence on model predictions should be further studied.
Acknowledgments
Author Contributions
Conflicts of Interest
References
- Lim, J.-Y.; Hong, S.-G.; Lee, S.-B. Application of local stress–strain approaches in the prediction of fatigue crack initiation life for cyclically non-stabilized and non-Masing steel. Int. J. Fatigue 2005, 27, 1653–1660. [Google Scholar] [CrossRef]
- Krasnowski, B.; Rotenberger, K.; Spence, W. A damage tolerance method for helicopter dynamic components. J. Am. Helicopter Soc. 1991, 36, 52–60. [Google Scholar] [CrossRef]
- Merati, A.; Eastaugh, G. Determination of fatigue related discontinuity state of 7000 series of aerospace aluminum alloys. Eng. Fail Anal. 2007, 14, 673–685. [Google Scholar] [CrossRef]
- Forth, S.C.; Everett, R.A.; Newman, J.A. (Eds.) A Novel Approach to Rotorcraft Damage Tolerance. In Proceedings of the Sixth Joint FAA/DoD/NASA Conference on Aging Aircraft, San Francisco, CA, USA, 16–19 September 2002.
- Liu, Y.; Mahadevan, S. Probabilistic fatigue life prediction using an equivalent initial flaw size distribution. Int. J. Fatigue 2009, 31, 476–487. [Google Scholar] [CrossRef]
- Newman, J.; Phillips, E.P.; Swain, M. Fatigue-life prediction methodology using small-crack theory. Int. J. Fatigue 1999, 21, 109–119. [Google Scholar] [CrossRef]
- Newman, J.C.; Annigeri, B.S. Fatigue-life prediction method based on small-crack theory in an engine material. J. Eng. Gas Turbines Power 2012, 134. [Google Scholar] [CrossRef]
- Newman, J., Jr. Fatigue-life prediction metliodology using a crack-closure IVIodel. J. Eng. Mater. Technol. 1995, 117, 433–439. [Google Scholar] [CrossRef]
- Elber, W. The significance of fatigue crack closure. Astm Stp. 1971, 486, 230–243. [Google Scholar]
- Newman, J.C., Jr. A crack-closure model for predicting fatigue crack growth under aircraft spectrum loading. ASTM STP 748 1981, 53–84. [Google Scholar]
- Newman, J.J. A crack opening stress equation for fatigue crack growth. Int. J. Fract. 1984, 24, R131–R135. [Google Scholar] [CrossRef]
- Vasudevan, A.; Sadananda, K.; Louat, N. Reconsideration of fatigue crack closure. Scr. Metall. Mater. 1992, 27, 1673–1678. [Google Scholar] [CrossRef]
- Zhang, J.Z.; Zhang, J.Z.; Meng, Z.X. Direct high resolution in situ SEM observations of very small fatigue crack growth in the ultra-fine grain aluminium alloy IN 9052. Scr. Mater. 2004, 50, 825–828. [Google Scholar] [CrossRef]
- Riemelmoser, F.; Pippan, R. Crack closure: A concept of fatigue crack growth under examination. Fatigue Fract. Eng. Mater. Struct. 1997, 20, 1529–1540. [Google Scholar] [CrossRef]
- Zhang, W.; Liu, Y. In situ SEM testing for crack closure investigation and virtual crack annealing model development. Int. J. Fatigue 2012, 43, 188–196. [Google Scholar] [CrossRef]
- Zhang, W.; Liu, Y. Investigation of incremental fatigue crack growth mechanisms using in situ SEM testing. Int. J. Fatigue 2012, 42, 14–23. [Google Scholar] [CrossRef]
- Antunes, F.; Chegini, A.; Branco, R.; Camas, D. A numerical study of plasticity induced crack closure under plane strain conditions. Int. J. Fatigue 2015, 71, 75–86. [Google Scholar] [CrossRef]
- Zhang, J.; Bowen, P. On the finite element simulation of three-dimensional semi-circular fatigue crack growth and closure. Eng. Fract. Mech. 1998, 60, 341–360. [Google Scholar] [CrossRef]
- Budiansky, B.; Hutchinson, J. Analysis of closure in fatigue crack growth. J. Appl. Mech. 1978, 45, 267–276. [Google Scholar] [CrossRef]
- Chen, D.-L.; Weiss, B.; Stickler, R. A new evaluation procedure for crack closure. Int. J. Fatigue 1991, 13, 327–331. [Google Scholar] [CrossRef]
- Chen, D.; Weiss, B.; Stickler, R. Effect of stress ratio and loading condition on the fatigue threshold. Int. J. Fatigue 1992, 14, 325–329. [Google Scholar] [CrossRef]
- Chen, D.; Weiss, B.; Stickler, R. The effective fatigue threshold: significance of the loading cycle below the crack opening load. Int. J. Fatigue 1994, 16, 485–491. [Google Scholar] [CrossRef]
- Chen, D.; Weiss, B.; Stickler, R. Contribution of the cyclic loading portion below the opening load to fatigue crack growth. Mater. Sci. Eng. A 1996, 208, 181–187. [Google Scholar] [CrossRef]
- Chen, D.; Weiss, B.; Stickler, R. A model for crack closure. Eng. Fract. Mech. 1996, 53, 493–509. [Google Scholar] [CrossRef]
- Pearson, S. Initiation of fatigue cracks in commercial aluminium alloys and the subsequent propagation of very short cracks. Eng. Fract. Mech. 1975, 7, 235–247. [Google Scholar] [CrossRef]
- Kitagawa, H.; Takahashi, S. (Eds.) Applicability of Fracture Mechanics to Very Small Cracks or the Cracks in the Early Stage. In Proceedings of the Second International Conference on Mechanical Behavior of Materials ASM, Metals Park, OH, USA, 16–20 August 1976; pp. 627–631.
- Miller, K.J.; de Los Rios, E. The Behaviour of Short Fatigue Cracks; Mechanical Engineering Publications: Suffolk, UK, 1986. [Google Scholar]
- El Haddad, M.; Topper, T.; Smith, K. Prediction of non propagating cracks. Eng. Fract. Mech. 1979, 11, 573–584. [Google Scholar] [CrossRef]
- Consortium, N. Fatigue Crack Growth Computer Program NASGRO® Version 3.0. User Manual, JSC-22267B; NASA Technical Report; NASA: Houston, TX, USA, 2001. [Google Scholar]
- Forman, R.; Shivakumar, V.; Cardinal, J.; Williams, L.; McKeighan, P. Fatigue Crack Growth Database for Damage Tolerance Analysis; Final Report No. DOT/FAA/AR-05/15; US Department of Transportation Federal Aviation Administration (FAA), Office of Aviation Research: Washington, DC, USA, 2005. [Google Scholar]
- Forman, R.; Shivakumar, V.; Newman, J. Fatigue Crack Growth Computer Program NASA/FLAGRO Version 2.0; Johnson Space Center Report JSC-22267A; NASA: Houston, TX, USA, 1993. [Google Scholar]
- Newman, J., Jr.; Raju, I. Stress-intensity factor equations for cracks in three-dimensional finite bodies subjected to tension and bending loads. Comput. Methods Mech. Fract. 1986, 2, 311–334. [Google Scholar]
- Schijve, J. Fatigue of Structures and Materials; Springer: Dordrecht, The Netherland, 2001. [Google Scholar]
- Newman, J.; Raju, I. Stress-intensity factor equations for cracks in three-dimensional finite bodies. ASTM STP 791 1983, 238–265. [Google Scholar]
- Huang, X.; Torgeir, M.; Cui, W. An engineering model of fatigue crack growth under variable amplitude loading. Int. J. Fatigue 2008, 30, 2–10. [Google Scholar] [CrossRef]
- Rodopoulos, C.; Curtis, S.; de Los Rios, E.; SolisRomero, J. Optimisation of the fatigue resistance of 2024-T351 aluminium alloys by controlled shot peening—methodology, results and analysis. Int. J. Fatigue 2004, 26, 849–856. [Google Scholar] [CrossRef]
- Zhao, T.; Jiang, Y. Fatigue of 7075-T651 aluminum alloy. Int. J. Fatigue 2008, 30, 834–849. [Google Scholar] [CrossRef]
- Noroozi, A.; Glinka, G.; Lambert, S. A study of the stress ratio effects on fatigue crack growth using the unified two-parameter fatigue crack growth driving force. Int. J. Fatigue 2007, 29, 1616–1633. [Google Scholar] [CrossRef]
- Boyce, B.; Ritchie, R. Effect of load ratio and maximum stress intensity on the fatigue threshold in Ti–6Al–4V. Eng. Fract. Mech. 2001, 68, 129–147. [Google Scholar] [CrossRef]
- Dolley, E.; Lee, B.; Wei, R. The effect of pitting corrosion on fatigue life. Fatigue Fract. Eng. Mater. Struc. 2000, 23, 555–560. [Google Scholar] [CrossRef]
- Sankaran, K.; Perez, R.; Jata, K. Effects of pitting corrosion on the fatigue behavior of aluminum alloy 7075-T6: Modeling and experimental studies. Mater. Sci. Eng. A 2001, 297, 223–229. [Google Scholar] [CrossRef]
- Chamos, A.; Pantelakis, S.G.; Spiliadis, V. Fatigue behaviour of bare and pre-corroded magnesium alloy AZ31. Mater. Des. 2010, 31, 4130–4137. [Google Scholar] [CrossRef]
- Hatamleh, O.; Lyons, J.; Forman, R. Laser and shot peening effects on fatigue crack growth in friction stir welded 7075-T7351 aluminum alloy joints. Int. J. Fatigue 2007, 29, 421–434. [Google Scholar] [CrossRef]
- Farrahi, G.; Lebrijn, J.; Couratin, D. Effect of shot peening on residual stress and fatigue life of a spring steel. Fatigue Fract. Eng. Mater. Struct. 1995, 18, 211–220. [Google Scholar] [CrossRef]
- Zhang, X.; Liu, D. Effect of shot peening on fretting fatigue of Ti811 alloy at elevated temperature. Int. J Fatigue 2009, 31, 889–893. [Google Scholar] [CrossRef]
- Zhu, X.; Shyam, A.; Jones, J.; Mayer, H.; Lasecki, J.; Allison, J. Effects of microstructure and temperature on fatigue behavior of E319-T7 cast aluminum alloy in very long life cycles. Int. J. Fatigue 2006, 28, 1566–1571. [Google Scholar] [CrossRef]
- Shirani, M.; Härkegård, G. Fatigue life distribution and size effect in ductile cast iron for wind turbine components. Eng. Fail. Anal. 2011, 18, 12–24. [Google Scholar] [CrossRef]
- Marines, I.; Bin, X.; Bathias, C. An understanding of very high cycle fatigue of metals. Int. J. Fatigue 2003, 25, 1101–1107. [Google Scholar] [CrossRef]
- Chandran, K.R.; Chang, P.; Cashman, G. Competing failure modes and complex S–N curves in fatigue of structural materials. Int. J. Fatigue 2010, 32, 482–491. [Google Scholar] [CrossRef]
- Przybyla, C.; McDowell, D. Microstructure-sensitive extreme-value probabilities of high-cycle fatigue for surface vs. subsurface crack formation in duplex Ti–6Al–4V. Acta Mater. 2012, 60, 293–305. [Google Scholar] [CrossRef]
- Zuo, J.; Wang, Z.; Han, E. Effect of microstructure on ultra-high cycle fatigue behavior of Ti–6Al–4V. Mater. Sci. Eng. A 2008, 473, 147–152. [Google Scholar] [CrossRef]
© 2015 by the authors; licensee MDPI, Basel, Switzerland. This article is an open access article distributed under the terms and conditions of the Creative Commons by Attribution (CC-BY) license (http://creativecommons.org/licenses/by/4.0/).
Share and Cite
Wang, Q.; Zhang, W.; Jiang, S. Fatigue Life Prediction Based on Crack Closure and Equivalent Initial Flaw Size. Materials 2015, 8, 7145-7160. https://doi.org/10.3390/ma8105367
Wang Q, Zhang W, Jiang S. Fatigue Life Prediction Based on Crack Closure and Equivalent Initial Flaw Size. Materials. 2015; 8(10):7145-7160. https://doi.org/10.3390/ma8105367
Chicago/Turabian StyleWang, Qiang, Wei Zhang, and Shan Jiang. 2015. "Fatigue Life Prediction Based on Crack Closure and Equivalent Initial Flaw Size" Materials 8, no. 10: 7145-7160. https://doi.org/10.3390/ma8105367
APA StyleWang, Q., Zhang, W., & Jiang, S. (2015). Fatigue Life Prediction Based on Crack Closure and Equivalent Initial Flaw Size. Materials, 8(10), 7145-7160. https://doi.org/10.3390/ma8105367
