The Origin of Tc Enhancement in Heterostructure Cuprate Superconductors
Abstract
:1. Introduction
2. The Phenomenology of Cuprate Heterostructures
3. The Role of Apical Oxygen
4. Model and methods

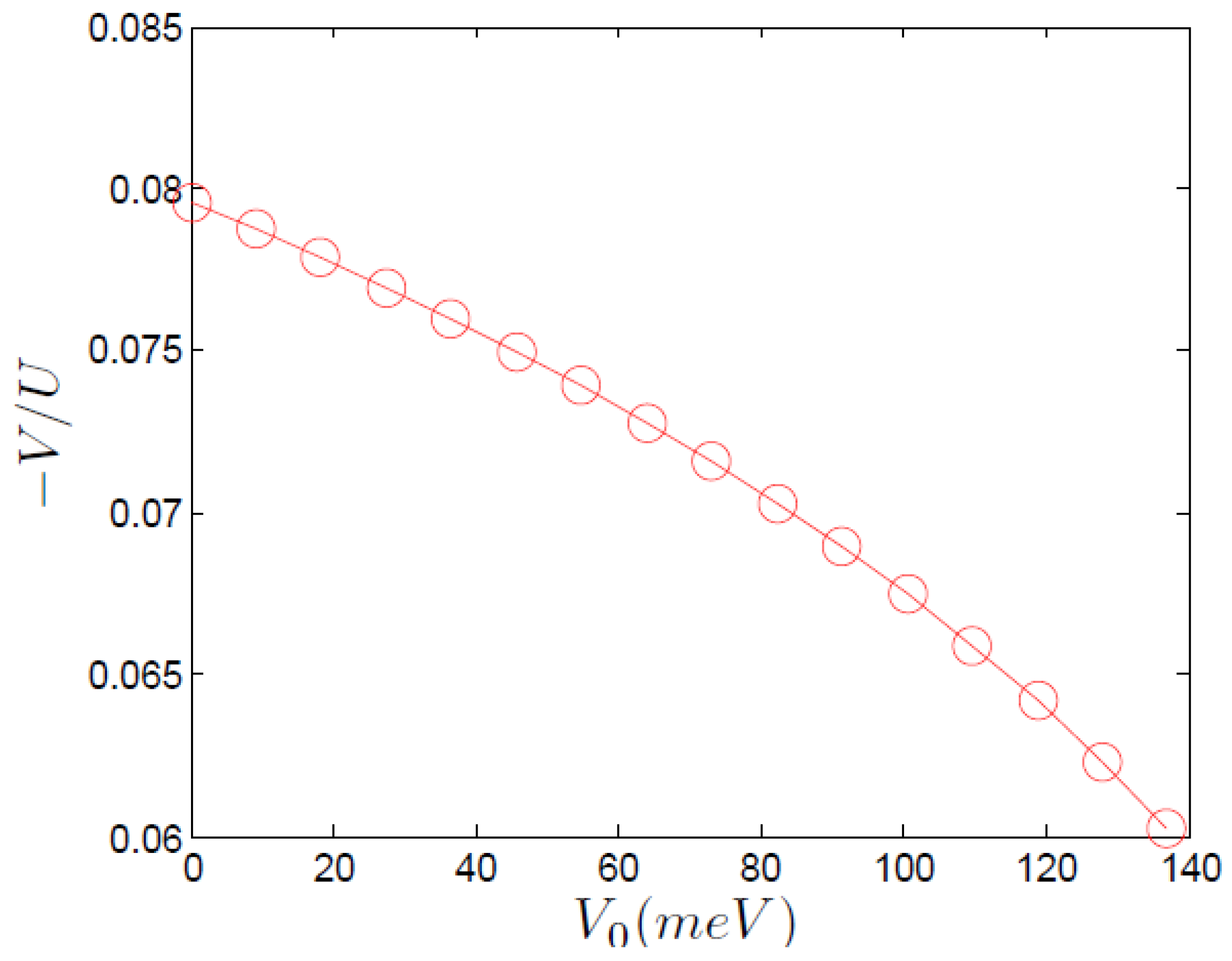
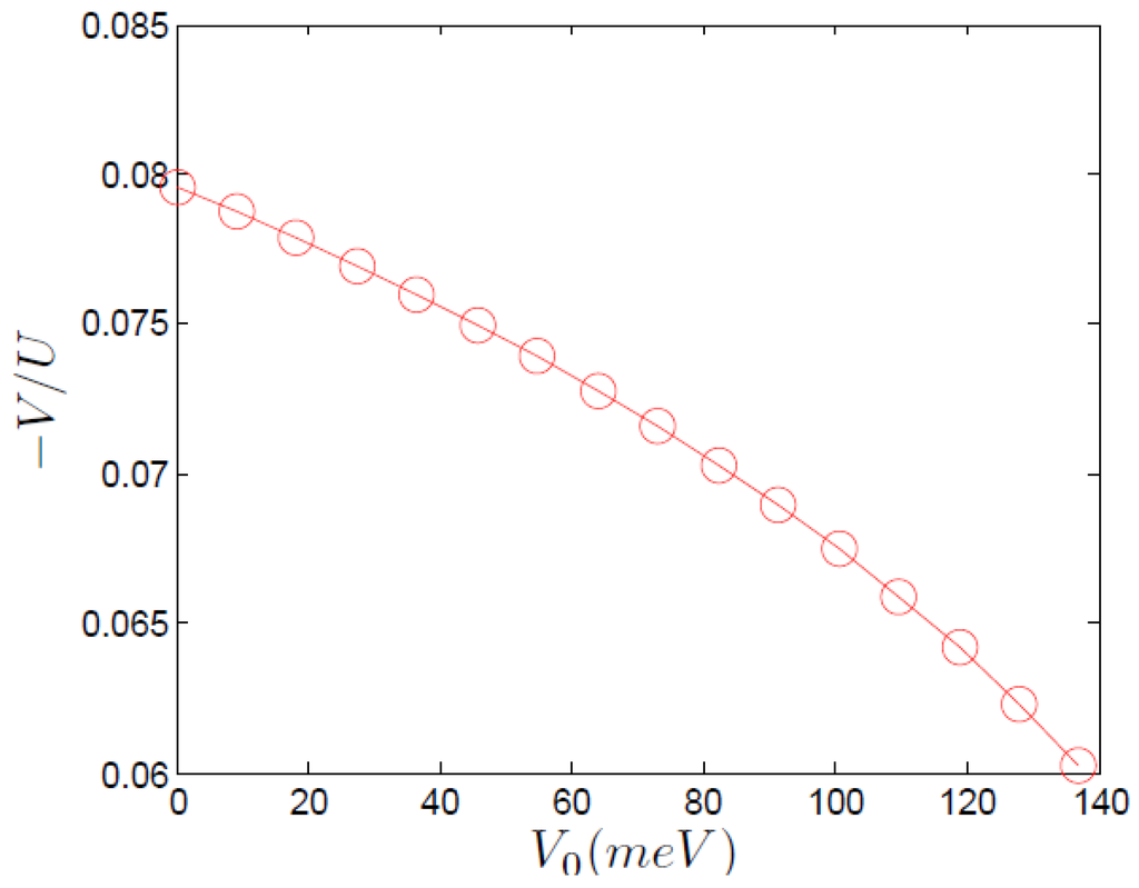
5. Results and Discussion

6. Suggested Experiments
7. Summary
Acknowledgments
References
- Yuli, O.; Asulin, I.; Millo, O.; Orgad, D.; Iomin, L.; Koren, G. Enhancement of the Superconducting Transition Temperature of La2−xSrxCuO4 Bilayers: Role of Pairing and Phase Stiffness. Phys. Rev. Lett. 2008, 101, 057005. [Google Scholar] [CrossRef] [PubMed]
- Gozar, A.; Logvenov, G.; Fitting Kourkoutis, L.; Bollinger, A. T.; Giannuzzi, L. A.; Muller, D. A.; Bozovic, I. High-temperature interface superconductivity between metallic and insulating copper oxides. Nature 2008, 455, 782. [Google Scholar] [CrossRef] [PubMed]
- Li, Z.Z.; Rifi, H.; Vaurès, A.; Megtert, S.; Raffy, H. Synthesis of Bi2Sr2CaCu2O8/Bi2Sr2CuO6 superlattices with a Tc enhancement effect. Phys. Rev. Lett. 1994, 72, 4033–4036. [Google Scholar] [CrossRef] [PubMed]
- Bozovic, I.; Logvenov, G.; Belca, I.; Narimbetov, B.; Sveklo, I. Epitaxial Strain and Superconductivity in La2−xSrxCuO4 Thin Films. Phys. Rev. Lett. 2002, 89, 107001. [Google Scholar] [CrossRef] [PubMed]
- Koren, G.; Millo, O. Enhancement of the superconducting transition temperature of La2−xSrxCuO4 and La1.875Ba0.125CuO4 bilayers: Bilayer and reference film prepared on the same wafer. Phys. Rev. B 2010, 81, 134516. [Google Scholar] [CrossRef]
- Berg, E.; Orgad, D.; Kivelson, S. A. Route to high-temperature superconductivity in composite systems. Phys. Rev. B 2008, 78, 094509. [Google Scholar] [CrossRef]
- Goren, L.; Altman, E. Enhancement of the superconducting transition temperature in cuprate heterostructure. Phys. Rev. B 2009, 79, 174509. [Google Scholar] [CrossRef]
- Hosseini, A.; Broun, D.M.; Sheehy, D.E.; Davis, T.P.; Franz, M.; Hardy, W.N.; Liang, R.; Bonn, D.A. Survival of the d-Wave Superconducting State near the Edge of Antiferromagnetism in the Cuprate Phase Diagram. Phys. Rev. Lett. 2004, 93, 107003. [Google Scholar] [CrossRef] [PubMed]
- Pereg-Barnea, T.; Turner, P.J.; Harris, R.; Mullins, G.K.; Bobowski, J.S.; Raudsepp, M.; Liang, R.; Bonn, D.A.; Hardy, W.N. Absolute values of the London penetration depth in YBa2Cu3O6+y measured by zero field ESR spectroscopy on Gd doped single crystals. Phys. Rev. B 2004, 69, 184513. [Google Scholar] [CrossRef]
- Homes, C.C.; Dordevic, S.V.; Bonn, D.A.; Liang, R.; Hardy, W.N.; Timusk, T. Coherence, incoherence, and scaling along the c axis of YBa2Cu3O6+x. Phys. Rev. B 2005, 71, 184515. [Google Scholar] [CrossRef]
- Zhou, H.; Yacoby, Y.; Pindak, R.; Butko, V.; Logvenov, G.; Bozovic, I. Anomalous Expansion of the Copper-Apical Oxygen Distance in Superconducting La2CuO4 - La1.55Sr0.45CuO4 Bilayers. Proceedings of the National Academy of Sciences 2010, 107, 8103. [Google Scholar] [CrossRef] [PubMed]
- Logvenov, G.; Gozar, A.; Bozovic, I. High-Temperature Superconductivity in a Single Copper-Oxygen Plane. Science 2009, 326, 699. [Google Scholar] [CrossRef] [PubMed]
- Radović, Z.; Božović, N.; Božović, I. Photoinduced expansion of cuprate superconductors: Evidence of strong electron-lattice coupling. Phys. Rev. B 2008, 77, 092508. [Google Scholar] [CrossRef]
- Norman, M.R.; Randeria, M.; Ding, H.; Campuzano, J.C. Phenomenological models for the gap anisotropy of Bi2Sr2CaCu2O8 as measured by angle-resolved photoemission spectroscopy. Phys. Rev. B 1995, 52, 615–622. [Google Scholar] [CrossRef]
- Onari, S.; Arita, R.; Kuroki, K.; Aoki, H. Phase diagram of the two-dimensional extended Hubbard model: Phase transitions between different pairing symmetries when charge and spin fluctuations coexist. Phys. Rev. B 2004, 70, 094523. [Google Scholar] [CrossRef]
- Alexandrov, A.S. Theory of Superconductivity, from weak to strong coupling, 1st ed.; Series in Condensed Matter; Institute of Physics, 2003. [Google Scholar]
- Esirgen, G.; Bickers, N.E. Fluctuation-exchange theory for general lattice Hamiltonians. Phys. Rev. B 1997, 55, 2122–2143. [Google Scholar] [CrossRef]
- Esirgen, G.; Bickers, N.E. Fluctuation exchange analysis of superconductivity in the standard three-band CuO2 model. Phys. Rev. B 1998, 57, 5376–5393. [Google Scholar] [CrossRef]
- Yin, W.G.; Ku, W. Tuning the in-plane electron behavior in high- Tc cuprate superconductors via apical atoms: A first-principles Wannier-states analysis. Phys. Rev. B 2009, 79, 214512. [Google Scholar] [CrossRef]
- Weber, C.; Haule, K.; Kotliar, G. Apical oxygens and correlation strength in electron and hole doped copper oxides. arXiv:1005.3100, unpublished 2010, 1, 1. [Google Scholar] [CrossRef]
- Scalapino, D.J. The case for dx2−y2 pairing in the cuprate superconductors. Physics Reports 1995, 250, 329. [Google Scholar] [CrossRef]
- Wang, Y.; Li, L.; Ong, N.P. Nernst effect in high-Tc superconductors. Phys. Rev. B 2006, 73, 024510. [Google Scholar] [CrossRef]
- Li, L.; Wang, Y.; Komiya, S.; Ono, S.; Ando, Y.; Gu, G.D.; Ong, N.P. Diamagnetism and Cooper pairing above Tc in cuprates. Phys. Rev. B 2010, 81, 054510. [Google Scholar] [CrossRef]
© 2011 by the authors; licensee MDPI, Basel, Switzerland. This article is an open access article distributed under the terms and conditions of the Creative Commons Attribution license (http://creativecommons.org/licenses/by/3.0/).
Share and Cite
Bergman, D.L.; Pereg-Barnea, T. The Origin of Tc Enhancement in Heterostructure Cuprate Superconductors. Materials 2011, 4, 1835-1845. https://doi.org/10.3390/ma4101835
Bergman DL, Pereg-Barnea T. The Origin of Tc Enhancement in Heterostructure Cuprate Superconductors. Materials. 2011; 4(10):1835-1845. https://doi.org/10.3390/ma4101835
Chicago/Turabian StyleBergman, Doron L., and Tamar Pereg-Barnea. 2011. "The Origin of Tc Enhancement in Heterostructure Cuprate Superconductors" Materials 4, no. 10: 1835-1845. https://doi.org/10.3390/ma4101835
APA StyleBergman, D. L., & Pereg-Barnea, T. (2011). The Origin of Tc Enhancement in Heterostructure Cuprate Superconductors. Materials, 4(10), 1835-1845. https://doi.org/10.3390/ma4101835
